DropSense: A Novel Imaging Software for the Analysis of Spray Parameters on Water-Sensitive Papers
Abstract
1. Introduction
2. Materials and Methods
2.1. Materials
2.2. Methods
2.2.1. Digitizing of the WSPs
2.2.2. Image Processing Software
2.2.3. Calculation of Predicted Stain Size Values
2.2.4. Droplet Deposition Analysis Software
2.2.5. Statistical Analysis Method
3. Results
3.1. Operating Times of Software
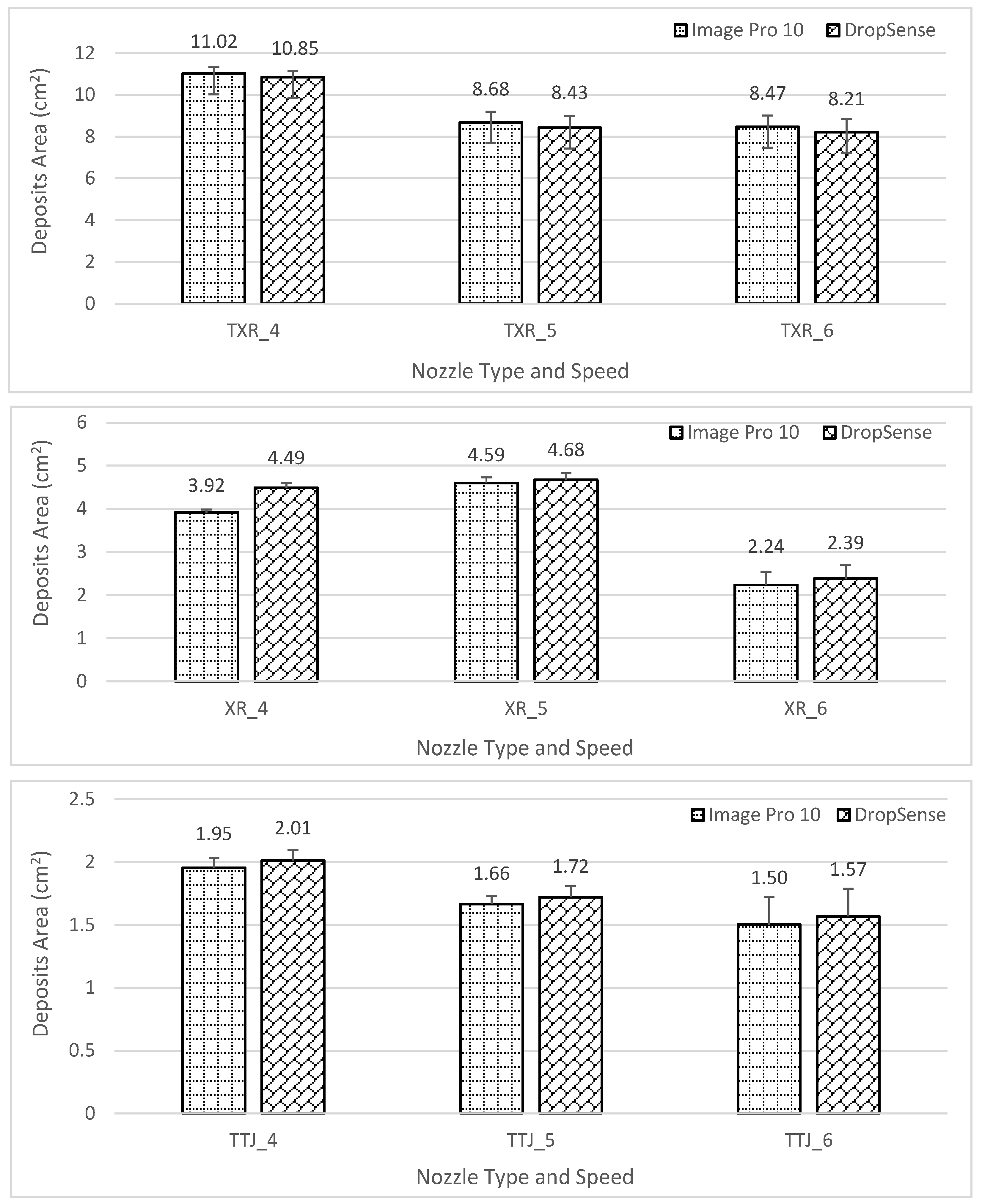
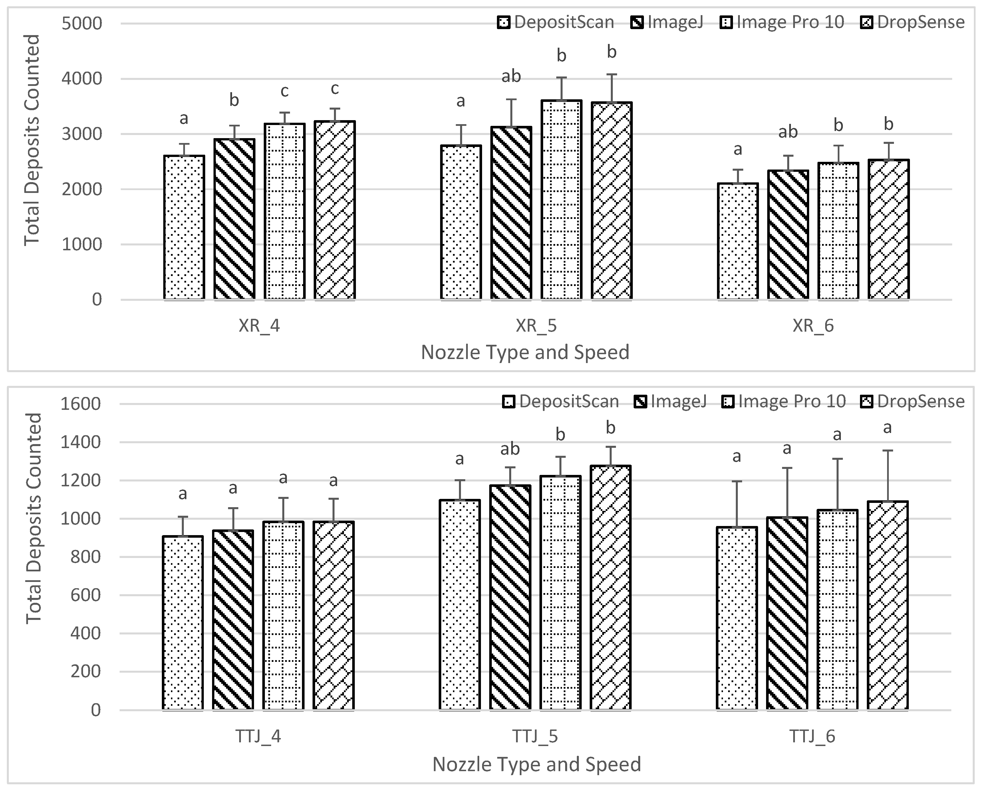
3.2. Between-Software Comparison for Spray Parameter Analysis
4. Discussion
5. Conclusions
Author Contributions
Funding
Institutional Review Board Statement
Informed Consent Statement
Data Availability Statement
Conflicts of Interest
Abbreviations
| WSP | Water-Sensitive Paper |
| ANOVA | Analysis of Variance |
| SF | Spread Factors |
| VMD | Volume Median Diameter |
References
- Cunha, M.; Carvalho, C.; Marcal, A.R.S. Assessing the ability of image processing software to analyse spray quality on water-sensitive papers used as artificial targets. Biosyst. Eng. 2012, 111, 11–23. [Google Scholar] [CrossRef]
- Xun, L.; Gil, E. A novel methodology for water-sensitive papers analysis focusing on the segmentation of overlapping droplets to better characterize deposition pattern. Crop. Prot. 2024, 176, 106492, 106492. [Google Scholar] [CrossRef]
- Cunha, J.P.A.R.; Farnese, A.C.; Olivet, J.J. Computer programs for analysis of droplets sprayed on water sensitive papers. Planta Daninha Viçosa-MG 2013, 31, 715–720. [Google Scholar] [CrossRef]
- Brandoli, B.; Spadon, G.; Esau, T.; Hennessy, P.; Carvalho, A.C.P.L.; Amer-Yahia, S.; Rodrigues, J.F., Jr. DropLeaf: A precision farming smartphone tool for real-time quantification of pesticide application coverage. Comput. Electron. Agric. 2021, 180, 105906. [Google Scholar] [CrossRef]
- Zhu, H.; Salyani, M.; Fox, R.D. A portable scanning system for evaluation of spray deposit distribution. Comput. Electron. Agric. 2011, 76, 38–43. [Google Scholar] [CrossRef]
- Nansen, C.; Ferguson, J.C.; Moore, J.; Groves, L.; Emery, R.; Garel, N.; Hewitt, A. Optimizing pesticide spray coverage using a novel web and smartphone tool. SnapCard. Agron. Sustain. Dev. 2015, 35, 1075–1085. [Google Scholar] [CrossRef]
- Ferguson, J.C.; Chechetto, R.G.; O’Donnell, C.C.; Fritz, B.K.; Hoffmann, W.C.; Coleman, C.E.; Chauhan, B.S.; Adkins, S.W.; Kruger, G.R.; Hewitt, A.J. Assessing a novel smartphone application—SnapCard, compared to five imaging systems to quantify droplet deposition on artificial collectors. Comput. Electron. Agric. 2016, 128, 193–198. [Google Scholar] [CrossRef]
- Wolf, R.E. Assessing the ability of Dropletscan to analyze spray droplets from a ground operated sprayer. Appl. Eng. Agric. 2003, 19, 525–530. [Google Scholar] [CrossRef]
- Machado, B.B.; Spadon, G.; Arruda, M.S.; Goncalves, W.N.; Carvalho, A.C.P.L.F.; Rodrigues, J.F., Jr. A smartphone application to measure the quality of pest control spraying machines via image analysis. In Proceedings of the 33rd Annual ACM Symposium on Applied Computing, Pau, France, 9–13 April 2018; ISBN 978-1-4503-5191-1/18/04. [Google Scholar]
- Özlüoymak, Ö.B.; Bolat, A. Development and assessment of a novel imaging software for optimizing the spray parameters on water-sensitive papers. Comput. Electron. Agric. 2020, 168, 105104. [Google Scholar] [CrossRef]
- Salyani, M.; Fox, R.D. Performance of Image Analysis for Assessment of Simulated Spray Droplet Distribution. Trans. ASAE 1994, 37, 1083–1089. [Google Scholar] [CrossRef]
- Rasband, W.S. ImageJ, version 1.54d; U.S. National Institutes of Health: Bethesda, MD, USA, 2008.
- Marçal, A.R.S.; Cunha, M. Image processing of artificial targets for automatic evaluation of spray quality. Trans. ASABE 2008, 51, 811–821. [Google Scholar] [CrossRef]
- Gonzalez, R.C.; Woods, R.E. Digital Image Processing, 3rd ed.; Pearson International Edition, Prentice Hall: Upper Saddle River, NJ, USA, 2008. [Google Scholar]
- Vincent, L. Exact euclidean distance function by chain propagations. In Proceedings of the IEEE Conference on Computer Vision and Pattern Recognition, Maui, HI, USA, 3–6 June 1991; pp. 520–525. [Google Scholar]
- Vincent, L.; Soille, P. Watersheds in digital spaces: An efficient algorithm based on immersion simulations. IEEE Trans. Pattern Anal. Mach. Intell. 1991, 13, 583–598. [Google Scholar] [CrossRef]
- National Instruments. Morphological Segmentation. 2018. Available online: http://zone.ni.com/reference/en-XX/help/370281AE-01/nivisionconcepts/morphological_segmentation/ (accessed on 18 January 2026).
- Wadell, H. Volume, Shape, and Roundness of Rock Particles. J. Geol. 1932, 40, 443–451. [Google Scholar] [CrossRef]
- Roussillon, T.; Piégay, H.; Sivignon, I.; Tougne, L.; Lavigne, F. Automatic computation of pebble roundness using digital imagery and discrete geometry. Comput. Geosci. 2009, 35, 1992–2000. [Google Scholar] [CrossRef]
- Matthews, G.A. Pesticide Application Methods, 4th ed.; Wiley-Blackwell: Hoboken, NJ, USA, 2014. [Google Scholar]
- Pabst, W.; Gregorová, E. Characterization of particles and particle systems. ICT Prague 2007, 122, 122. [Google Scholar]
- Andrade-Eraso, C.A.; Patiño-Velasco, M.; Vásquez-López, J.; León, J.; Bolaños-Pantoja, G.; Trivi, M. Identification of Gastric Cancer from Speckle Patterns. Acta Phys. Pol. A 2011, 121, 62–64. [Google Scholar] [CrossRef]
- Van Ganse, S.; Le Floch, S. Assessment of Dissolution Kinetics and Bouyant Velocity of Two Different Gases in a Five-meter High Seawater Column. In Proceedings of the Thirty-Sixth AMOP Technical Seminar on Environmental Contamination and Response, Halifax, NS, Canada, 4–6 June 2013; pp. 37–45. [Google Scholar]
- Legrand, S.; Poncet, F.; Aprin, L.; Parthenay, V.; Donnay, E.; Carvalho, G.; Chataing-Pariaud, S.; Dusserre, G.; Gouriou, V.; Le Floch, S.; et al. Understanding HNS Behaviour in the Marine Environment. 2017. Available online: https://www.hns-ms.eu/downloads/HNS-MS_sub_report_1_lab_experiments.pdf (accessed on 18 January 2026).
- Salyani, M.; Fox, R.D. Evaluation of Spray Quality by Oil- and Water-Sensitive Papers. Trans. ASAE 1999, 42, 37–43. [Google Scholar] [CrossRef]
- Fox, R.D.; Salyani, M.; Cooper, J.A.; Brazee, R.D. Spot Size Comparisons On Oil- and Water-Sensitive Paper. Appl. Eng. Agric. 2001, 17, 131–136. [Google Scholar]
- Bouse, L.F.; Kirk, I.W.; Bode, L.E. Effect of Spray Mixture On Droplet Size. Trans. ASAE 1990, 33, 783–788. [Google Scholar] [CrossRef]
- Leiva, P.D.; Araujo, E.C. Comparacio’n de Programas de Computacio’n Para Recuento y Tipificacio’n de Impactos de Aspersio’n Sobre Tarjetas Sensibles. 2009. Available online: https://aws.agroconsultasonline.com/comentario.html/Comparaci%C3%B3n%20de%20programas%20de%20computaci%C3%B3n%20para%20recuento%20.pdf?op=d&comentario_id=13717&orden=1 (accessed on 18 January 2026).

















| Software | Spray Parameters | |||||||
|---|---|---|---|---|---|---|---|---|
| Deposits Coverage (%) | Total Deposits Counted | DV10 (µm) | DV50 (µm) | DV90 (µm) | Density (Deposits/cm2) | Deposits Area (cm2) | Relative Span | |
| Deposit Scan | ✔ | ✔ | ✔ | ✔ | ✔ | ✔ | ✖ | ✖ |
| ImageJ | ✔ | ✔ | ✖ | ✖ | ✖ | ✖ | ✖ | ✖ |
| Image-Pro 10 | ✔ | ✔ | ✖ | ✖ | ✖ | ✔ | ✔ | ✖ |
| Drop Sense | ✔ | ✔ | ✔ | ✔ | ✔ | ✔ | ✔ | ✔ |
| Software | Average Times | |
|---|---|---|
| Average Time Required to Analyze Only a Single Image | Average Time Required to Analyze 9 WSP Images in a Folder and Saving the Results | |
| DepositScan | 18.93 s | 6 min 38 s |
| ImageJ | 22.49 s | 7 min 17 s |
| Image-Pro 10 | 22.56 s | 5 min 3 s |
| DropSense | 2.72 s | 24.50 s |
Disclaimer/Publisher’s Note: The statements, opinions and data contained in all publications are solely those of the individual author(s) and contributor(s) and not of MDPI and/or the editor(s). MDPI and/or the editor(s) disclaim responsibility for any injury to people or property resulting from any ideas, methods, instructions or products referred to in the content. |
© 2026 by the authors. Licensee MDPI, Basel, Switzerland. This article is an open access article distributed under the terms and conditions of the Creative Commons Attribution (CC BY) license.
Share and Cite
Özlüoymak, Ö.B.; İtmeç, M.; Soysal, A. DropSense: A Novel Imaging Software for the Analysis of Spray Parameters on Water-Sensitive Papers. Appl. Sci. 2026, 16, 1197. https://doi.org/10.3390/app16031197
Özlüoymak ÖB, İtmeç M, Soysal A. DropSense: A Novel Imaging Software for the Analysis of Spray Parameters on Water-Sensitive Papers. Applied Sciences. 2026; 16(3):1197. https://doi.org/10.3390/app16031197
Chicago/Turabian StyleÖzlüoymak, Ömer Barış, Medet İtmeç, and Alper Soysal. 2026. "DropSense: A Novel Imaging Software for the Analysis of Spray Parameters on Water-Sensitive Papers" Applied Sciences 16, no. 3: 1197. https://doi.org/10.3390/app16031197
APA StyleÖzlüoymak, Ö. B., İtmeç, M., & Soysal, A. (2026). DropSense: A Novel Imaging Software for the Analysis of Spray Parameters on Water-Sensitive Papers. Applied Sciences, 16(3), 1197. https://doi.org/10.3390/app16031197

