Biological Feasibility of a Novel Island-Type Fishway Inspired by the Tesla Valve
Featured Application
Abstract
1. Introduction
2. Materials and Methods
2.1. Experimental Subjects and Apparatus
2.2. Experimental Methodology
2.3. Swimming Trajectory Recognition and Velocity Calculation
2.4. Numerical Modeling and Validation
3. Results
3.1. Fish Passage Efficiency
3.2. The Hydraulic Environment: Refuges and Barriers
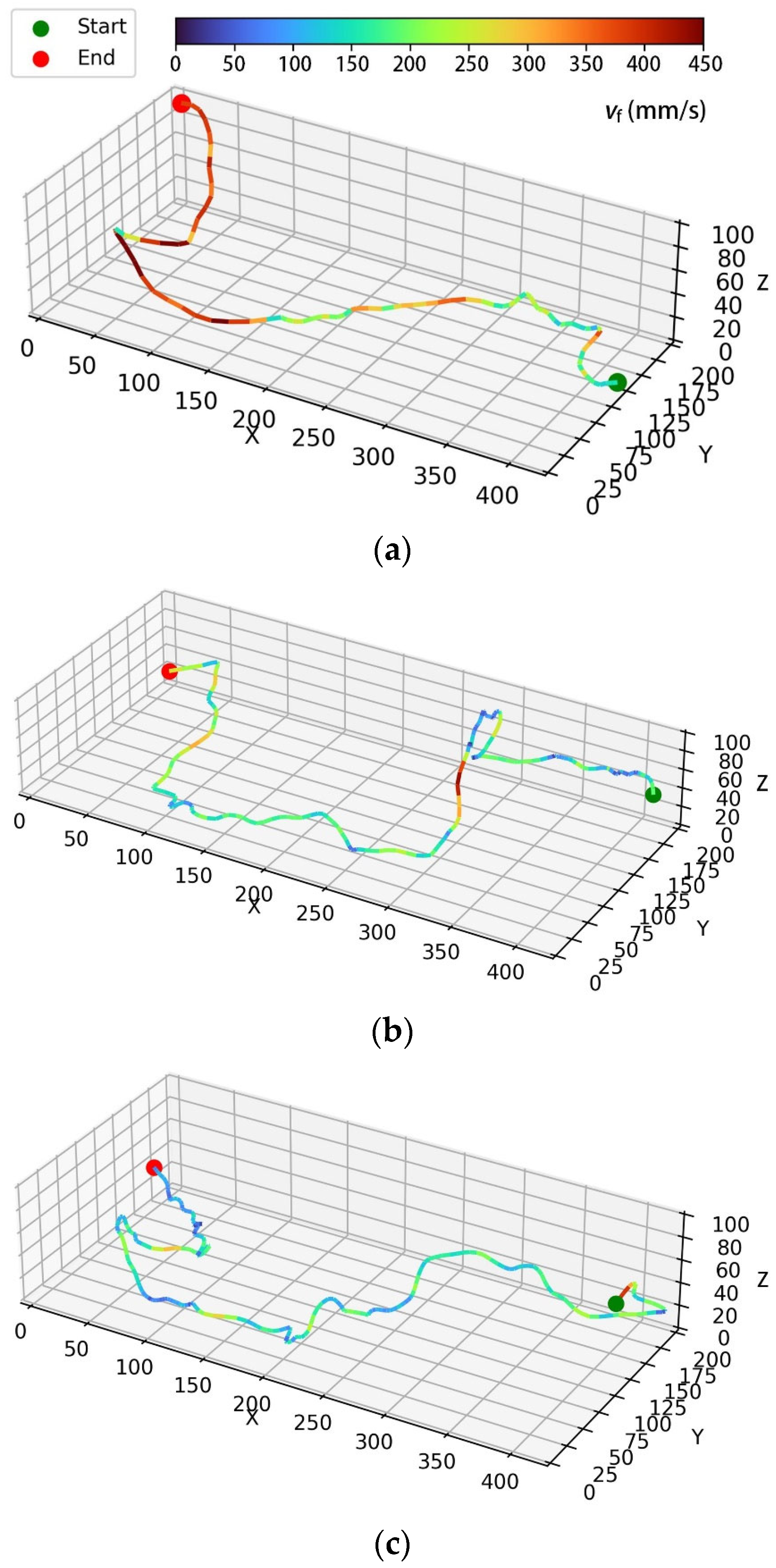
3.3. Fish Ascent Behavioral Strategy
- ①
- Rest-burst pattern
- ②
- The “Ω”-shaped bypass trajectory
- ③
- Bottom-oriented swimming
3.4. The Failure Mechanism
4. Discussion
5. Conclusions
Author Contributions
Funding
Institutional Review Board Statement
Data Availability Statement
Conflicts of Interest
References
- Ovidio, M.; Dierckx, A.; Benitez, J.P. Movement behaviour and fishway performance for endemic and exotic species in a large anthropized river. Limnologica 2023, 99, 126061. [Google Scholar] [CrossRef]
- Cooke, S.J.; Hinch, S.G. Improving the reliability of fishway attraction and passage efficiency estimates to inform fishway engineering, science, and practice. Ecol. Eng. 2013, 58, 123–132. [Google Scholar] [CrossRef]
- Lenice, S.; Dhiego, G.F.; Lucileine, A.; Oscar, A.S.; Silvia, H.S.; Suelen, F.R.P.; Patricia, S.S.; Sergio, M.; Maristela, C.M. Genetic diversity of the surubim-do-iguaçu, a giant catfish species threatened with extinction: Recommendations for species conservation. Diversity 2022, 14, 16. [Google Scholar] [CrossRef]
- Twardek, W.M.; Landsman, S.J.; Cooke, S.J. Collaboration between fish passage scientists and engineers: Insights from an international questionnaire. J. Environ. Manag. 2022, 323, 116268. [Google Scholar] [CrossRef]
- Bretón, F.; Baki, A.B.M.; Link, O.; Zhu, D.Z.; Rajaratnam, N. Flow in nature-like fishway and its relation to fish behaviour. Can. J. Civ. Eng. 2013, 40, 567–573. [Google Scholar] [CrossRef]
- Katopodis, C.; Williams, J.G. The development of fish passage research in a historical context. Ecol. Eng. 2012, 48, 8–18. [Google Scholar] [CrossRef]
- Bombač, M.; Četina, M.; Novak, G. Study on flow characteristics in vertical slot fishways regarding slot layout optimization. Ecol. Eng. 2017, 107, 126–136. [Google Scholar] [CrossRef]
- Mallen-Cooper, M.; Stuart, I.G. Optimising Denil fishways for passage of small and large fishes. Fish. Manag. Ecol. 2007, 14, 61–71. [Google Scholar] [CrossRef]
- Marriner, B.A.; Baki, A.B.M.; Zhu, D.Z.; Cooke, S.J.; Katopodis, C. The hydraulics of a vertical slot fishway: A case study on the multi-species Vianney-Legendre fishway in Quebec, Canada. Ecol. Eng. 2016, 90, 190–202. [Google Scholar] [CrossRef]
- Duguay, J.M.; Lacey, R.W.J.; Gaucher, J. A case study of a pool and weir fishway modeled with OpenFOAM and FLOW-3D. Ecol. Eng. 2017, 103, 31–42. [Google Scholar] [CrossRef]
- Dodd, J.R.; Cowx, I.G.; Bolland, J.D. Efficiency of a nature-like bypass channel for restoring longitudinal connectivity for a river-resident population of brown trout. J. Environ. Manag. 2017, 204, 318–326. [Google Scholar] [CrossRef]
- Magaju, D.; Montgomery, J.; Franklin, P.; Baker, C.; Friedrich, H. Machine learning based assessment of small-bodied fish tracking to evaluate spoiler baffle fish passage design. J. Environ. Manag. 2023, 325, 116507. [Google Scholar] [CrossRef]
- Franklin, A.E.; Haro, A.; Castro-Santos, T.; Noreika, J. Evaluation of Nature-Like and Technical Fishways for the Passage of Alewives at Two Coastal Streams in New England. Trans. Am. Fish. Soc. 2012, 141, 624–637. [Google Scholar] [CrossRef]
- Ghaderi, D.; Mollazadeh, M.; Mahdizadeh, H. Influence of T shape baffles arrangement on flow hydraulic characteristics in fishways. J. Hydra. Struct. 2022, 8, 35–51. [Google Scholar] [CrossRef]
- Zeng, G.; Xu, M.; Mou, J.; Wang, K.; Ren, Y. Research on the Hydraulic Characteristics of Island Fishways by Experimental and Numerical Methods. Water 2023, 15, 2592. [Google Scholar] [CrossRef]
- Zeng, G.; Xu, M.; Mou, J.; Hua, C.; Fan, C. Application of Tesla Valve’s Obstruction Characteristics to Reverse Fluid in Fish Migration. Water 2022, 15, 40. [Google Scholar] [CrossRef]
- Dong, M.; Zeng, G.; Xu, M.; Mou, J.; Gu, Y. Influence of Valvular Structures on the Flow Characteristics in an Island-Type Fishway. Water 2024, 16, 2336. [Google Scholar] [CrossRef]
- Shi, X.; Chen, Q.; Liu, D.; Huang, Y.; Lu, B. Juvenile silver carp Hypophthalmichthys molitrix swim faster in closed surface flow than open surface flow. Environ. Biol. Fishes 2014, 97, 1411–1416. [Google Scholar] [CrossRef]
- Li, R.; Xiao, K.; Lin, S.; Wu, Z. Enhancing aquatic ecosystem monitoring through fish jumping behavior analysis and YOLOV5: Applications in freshwater fish identification. J. Environ. Manag. 2025, 391, 126413. [Google Scholar] [CrossRef]
- Ren, S.; He, K.; Girshick, R.; Sun, J. Faster R-CNN: Towards Real-Time Object Detection with Region Proposal Networks. arXiv 2015, arXiv:1506.01497. [Google Scholar] [CrossRef]
- Zhang, J.; Li, J.Y.; Wang, T.; Qian, Z.S. Influence of nozzle structure on the flow field of the prestage of nozzle flapper servo valve. Int. J. Hydromechatron. 2023, 6, 59–75. [Google Scholar] [CrossRef]
- Xu, M.; Long, X.; Mou, J.; Ji, B.; Ren, Y. Impact of fish locomotion on the internal flow in a jet fish pump. Ocean Eng. 2019, 187, 106227. [Google Scholar] [CrossRef]
- Nygrd, T.A.; Jahren, J.H.; Stahl, S.A. Motion trajectory estimation of salmon using stereo vision. IFAC-PapersOnLine 2022, 55, 363–368. [Google Scholar] [CrossRef]









| Case | 1 | 2 | 3 |
|---|---|---|---|
| Q (m3/h) | 5.74 | 6.35 | 7.21 |
| Water level at point a (mm) | 109 | 112 | 116 |
| Water level at point b (mm) | 125 | 128 | 132 |
| Case | t (s) | n | f (Hz) |
|---|---|---|---|
| 1 | 3.40 ± 0.45 | 16.25 ± 1.40 | 4.7 |
| 2 | 7.13 ± 0.72 | 25.35 ± 1.61 | 3.5 |
| 3 | 9.15 ± 0.79 | 32.40 ± 1.71 | 3.5 |
Disclaimer/Publisher’s Note: The statements, opinions and data contained in all publications are solely those of the individual author(s) and contributor(s) and not of MDPI and/or the editor(s). MDPI and/or the editor(s) disclaim responsibility for any injury to people or property resulting from any ideas, methods, instructions or products referred to in the content. |
© 2026 by the authors. Licensee MDPI, Basel, Switzerland. This article is an open access article distributed under the terms and conditions of the Creative Commons Attribution (CC BY) license.
Share and Cite
Dong, M.; Fan, B.; Xu, M.; Tang, Z.; Gu, Y.; Mou, J. Biological Feasibility of a Novel Island-Type Fishway Inspired by the Tesla Valve. Appl. Sci. 2026, 16, 744. https://doi.org/10.3390/app16020744
Dong M, Fan B, Xu M, Tang Z, Gu Y, Mou J. Biological Feasibility of a Novel Island-Type Fishway Inspired by the Tesla Valve. Applied Sciences. 2026; 16(2):744. https://doi.org/10.3390/app16020744
Chicago/Turabian StyleDong, Mengxue, Bokai Fan, Maosen Xu, Ziheng Tang, Yunqing Gu, and Jiegang Mou. 2026. "Biological Feasibility of a Novel Island-Type Fishway Inspired by the Tesla Valve" Applied Sciences 16, no. 2: 744. https://doi.org/10.3390/app16020744
APA StyleDong, M., Fan, B., Xu, M., Tang, Z., Gu, Y., & Mou, J. (2026). Biological Feasibility of a Novel Island-Type Fishway Inspired by the Tesla Valve. Applied Sciences, 16(2), 744. https://doi.org/10.3390/app16020744

