Next Article in Journal
Point-Cloud Filtering Algorithm for Port-Environment Perception Based on 128-Line Array Single-Photon LiDAR
Previous Article in Journal
Bioactive Hydroxyapatite–Collagen Composite Dressings for Wound Regeneration: Advances in Fabrication, Functionalization and Antimicrobial Strategies
 
 
Font Type:
Arial Georgia Verdana
Font Size:
Aa Aa Aa
Line Spacing:
Column Width:
Background:
Article

Study of the Mining Depth of Tailings Considering the Stability of Existing Open-Pit Slopes

1
School of Resources and Safety Engineering, Central South University, Yuelu, Changsha 410083, China
2
Kambove Mining SAS Co., Ltd., Likasi 1004131, Democratic Republic of the Congo
3
Changsha Dimine Technology Co., Ltd., Yuelu, Changsha 410083, China
*
Author to whom correspondence should be addressed.
Appl. Sci. 2026, 16(2), 577; https://doi.org/10.3390/app16020577
Submission received: 27 November 2025 / Revised: 22 December 2025 / Accepted: 29 December 2025 / Published: 6 January 2026

Abstract

The recovery and comprehensive utilization of tailings resources can effectively mitigate or eliminate safety hazards in the upper zones of open-pit mines. To ensure the safe recovery of accumulated tailings and enhance resource utilization efficiency, this study establishes a two-dimensional model based on the Discrete Element Method (DEM) for the overall stability of tailings recovery, which is integrated with the existing slope and ore pillar models of the open-pit mine. Leveraging the mechanical parameters of tailings and waste rock obtained from laboratory tests, this study systematically investigates the effects of tailings recovery on the stability of existing slopes. Results show that due to differences in fracture characteristics and tailings reserves, complete tailings extraction causes no landslides in some sections, but large-scale or varying landslides occur on southern/northern flank slopes in specific sections at certain excavation depths or after full extraction. Targeted recovery recommendations are proposed: “segmented excavation with bench reservation” prevents overall landslides on southern flank slopes of landslide-prone sections; 35° slope cutting ensures stability of northern flank slopes in all sections. Further field verification considering rainfall and seismic loading factors is required for practical applications.

1. Introduction

Conventional tailings are typically regarded as waste products of mining operations; however, they often contain substantial amounts of valuable elements or minerals. The recovery and comprehensive utilization of tailings resources not only convert waste into valuable assets but also alleviate pressures on natural resources and the environment, ultimately mitigating or eliminating safety hazards in the upper zones of mining pits. With appropriate recovery technologies and utilization strategies, these once-valueless materials can be transformed into economically viable resources. This approach not only improves overall resource utilization efficiency but also generates additional economic benefits for mining enterprises. Furthermore, tailings accumulation frequently causes environmental pollution, such as soil and water contamination [1]. Reusing and processing tailings can significantly reduce pollutant emissions, thereby reducing the environmental burden.
Tailings storage facilities have long been essential components of mining operations, with their structural stability closely linked to mine safety, environmental protection and the protection of nearby populations. In recent years, driven by the continuous expansion of mining activities, the scale and elevation of such facilities—particularly ultra-high tailings storage facilities—have steadily increased [2]. This expansion has heightened the prominence of slope stability issues, accompanied by a marked rise in the frequency of landslides and other failure incidents [3,4,5]. Consequently, the analysis and control of dump slope stability have become key research areas in rock mechanics, geotechnical engineering and disaster risk mitigation.
The stability analysis of tailings storage facilities is inherently interdisciplinary, encompassing geotechnical engineering, structural mechanics and hydrogeology. Traditional theoretical methods—such as the limit equilibrium method and finite element method—have been widely applied in slope stability assessment [6]. However, advances in monitoring technologies and numerical simulation techniques have driven integrated analytical approaches to become increasingly mainstream; these combine GNSS-based monitoring [7], displacement and deformation measurements [8] and numerical modeling tools (e.g., FLAC2D and coupled seepage-stress models). For instance, GNSS technology enables real-time tracking of slope deformations, providing high-precision data for landslide early warning systems, while tools like FLAC2D facilitate dynamic simulation of slope deformation mechanisms under complex conditions (e.g., rainfall infiltration [9], seismic loading [10] and surcharge variations [11]).
In recent years, extensive research has explored factors influencing the stability of tailings storage facility slopes. Rainfall infiltration is widely recognized as a critical external factor, significantly altering soil water content and pore water pressure to reduce geomaterial shear strength and trigger slope failures [12,13,14,15,16,17]. Moreover, rainfall intensity and duration directly affect the likelihood of slope instability [18,19]. Beyond external triggers, internal structural conditions—including weak basal layers [3,20], stacking configuration, overburden thickness [21,22] and tailings liquefaction susceptibility [23,24]—also play essential roles in regulating slope stability.
In summary, stability analysis of tailings dam dumps and slope slip analysis have become important research directions in mine geohazard prevention and control. To ensure safe tailings recovery, improve resource utilization efficiency and efficiently recover valuable metals (e.g., copper, cobalt) from tailings, this study takes a specific open-pit dump as the engineering background and relies on tailings shear strength parameters under different moisture contents. Using a combined approach of physical experiments and numerical modeling, a two-dimensional DEM-based model of the tailings ore body slope is established to analyze the impact of tailings mining on dump slope stability. Reasonable tailings mining recommendations are proposed to address gaps in existing tailings recovery research, aiming to enhance mine resource utilization efficiency.

2. Engineering Overview

The tailings deposit of the western orebody at an open-pit mine in the Democratic Republic of Congo extends approximately 670 m east–west and 240 m north–south, with a maximum depth of 79 m and an average thickness of ~44.91 m (Figure 1). Four major cracks have developed on the southern flank slope. Table 1 summarizes the dip angles and orientations of these cracks based on field surveys. The open-pit slopes of the western orebody were formed long ago; during the transition from open-pit to underground mining, extensive surface movements occurred, accompanied by varying degrees of slope landslides. Following the completion of underground mining, the western orebody experienced prolonged slow ground deformation, resulting in the current self-adaptive stable slope angles of the open-pit slopes.
However, tailings mining will expose the original slope toe, reducing the slope’s anti-sliding capacity and increasing landslide risk. Based on the locations and orientations of monitoring points, a slope fracture characteristics model was established. From west to east, the slope was divided into seven sections at 75-m intervals (Figure 2). The southern flank slope of Section 1 contains two major fractures; Section 2 has three; Section 3 has one; Section 4 has two; Section 5 has one; Section 6 has one; and Section 7 has two major fractures (Table 2).

3. Physical and Mechanical Testing of Tailings

3.1. Experimental Design

Wet drilling was employed during sampling, resulting in the loss of the in-situ water content of the tailings. According to previous studies, the maximum water content of the tailings is approximately 25%; therefore, a 25% water content was adopted for micromechanical parameter calibration. Under original depositional conditions, the water content of the tailings increases approximately linearly with depth. To systematically characterize the physical and mechanical properties of the tailings, laboratory tests were conducted on tailings samples prepared with five water content levels (7%, 10%, 15%, 20% and 25%) (Table 3). Prior to sample preparation, the moist tailings were oven-dried and conditioned for 86 h to convert cohesive wet lumps into loose, dry granular material.

3.2. Results of Shear Strength Tests on Tailings

The direct shear tests on the tailings were conducted using an SDJ-1A hand-cranked electric direct shear apparatus. The equipment consists of a rotating handwheel, shear box, proving ring, dial gauge, transmission rod and sliding steel balls. A vertical load was applied to the upper part of the shear box containing the tailings specimen. Then, the motorized device was engaged to drive the handwheel at a constant horizontal rate, applying shear force to the sample. The test setup is illustrated in Figure 3.
The applied compressive stress ranged from 0.1 to 0.4 MPa, with an increment of 0.1 MPa. A constant shear rate of 0.8 mm/min was adopted. The dimensions of the specimens were consistent with those of the cutting ring, with a diameter of 61.8 mm and a height of 20 mm.
The dynamometer calibration coefficient was determined as 1.89 through initial adjustment. Based on Equation (1), the shear strength of tailings samples under different normal stresses was calculated. In accordance with Standard for Soil Test Methods (GB/T 50123—2019) [14], the Coulomb formula (Equation (2)) was adopted to perform linear fitting between the normal stress and shear strength derived from all test results at each water content; the intercept and slope of the fitted line represent cohesion and internal friction angle, respectively (Figure 4). Shear test results indicate that cohesion is lowest at a water content of 25% and highest at 10%. As tailings water content increases with depth, shear strength decreases toward both the surface and deeper zones (Table 4). This trend is likely attributed to the bonding effect of bound water at moderate moisture levels, which enhances particle cohesion. At higher water contents, tailings transition toward a fluid state, reducing interparticle bonding and thereby lowering cohesion.
τ f   =   C   ×   R
In Equation (1), τ f is the shear strength of the soil ( 10 3 MPa); C is the calibration coefficient of the proving ring ( 10 3 MPa/0.01 mm); and R is the dial gauge reading of the proving ring (0.01 mm).
τ = σ n tan φ + c
In Equation (2), τ is the shear strength ( 10 3 MPa); σ n is normal stress ( 10 3 MPa); φ is internal friction angle (°); c represents Cohesion ( 10 3 MPa).

4. Assessment of Slope Stability Affected by Tailings Recovery

4.1. Design of Simulation Scheme

To formulate a reasonable mining plan, it is first necessary to determine the feasible mining depth of the tailings body. As illustrated in Figure 5, in Sections 1 and 2, Tailings 1 and 2 are separated by waste rock; in Section 7, Tailings 1 and 3 are similarly separated by waste rock. In Sections 3 to 6, only Tailings 1 is intersected by waste rock. The thickness of Tailings 1 is generally approximately 40 m across most sections, except for Section 6, where it thins to ~23 m.
Considering that tailings materials lack strong bench-forming characteristics during actual excavation, a top-down layered mining approach is adopted. In the numerical simulation, the excavation depth for each layer is set to 5 m. During downward excavation, if slope failure or collapse occurs, excavation is terminated at that depth. To ensure the reliability and stability of the simulation results, each excavation step in the model is simulated for a total of 30,000 time steps.

4.2. Construction of the Discrete Element Model and Calibration of Particle Mechanical Parameters

(1) 
Slope model construction
Based on the profiles shown in Figure 2, discrete element models of the tailings were established.
A two-dimensional DEM-based model was employed, with model lengths ranging from 870 to 1000 m and heights from 310 to 350 m. Given the relatively large model size, using smaller particles would lead to extremely high computational costs, rendering the simulation process challenging. Since this study focuses on the influence of tailings mining depth on slope stability, a 1 m particle size was adopted—sufficient to capture the macroscopic landslide evolution induced by tailings excavation. Continuous and discontinuous fracture features of each section were incorporated into the model via a discrete fracture network (DFN) approach. Consequently, each section model contained approximately 36,000–39,000 spherical particles and ~6000 DFN fractures. Figure 6 presents the DEM models for each section, where solid lines denote the fracture features identified during field investigations on the southern flank slope.
Among the seven sectional models, the southern flank slope of Section 1 contains two major fractures, while Section 2 includes three. These major fractures exhibit relatively steep dip angles and are the primary contributors to southern flank slope landslides during tailings mining. Consequently, particular attention is given to the major fracture characteristics of Sections 1 and 2, as well as their corresponding landslide mechanisms, in subsequent stability analyses.
(2) 
Calibration of microscopic particle parameters
As shown in Figure 7, a uniaxial compression calibration model was established. To ensure the number of particles in the model does not affect the calibration accuracy, the model’s height-to-particle diameter ratio was set to 100:1, and the width-to-particle diameter ratio to 50:1. During the calibration of linear contact model parameters, a trial-and-error method was used to iteratively adjust the parallel bond model parameters. Ultimately, the calibrated mesoscopic particle bonding parameters yielded elastic modulus and compressive strength values closely matching the average values from historical data and mechanical test results, as listed in Table 5. The corresponding error values are summarized in Table 6, with the maximum error not exceeding 5%.
In addition to calibrating the rock parameters of the aforementioned strata, it was also necessary to calibrate the parameters of tailings and waste rock. Based on the tailings shear strength parameters listed in Table 4, the contact variables of mesoscopic particles were adjusted accordingly. First, a shear test model (Figure 8) was constructed with dimensions of 50 × 50. During the shear tests, normal stresses of 0.1 MPa, 0.2 MPa, 0.3 MPa and 0.4 MPa were applied, and the shear strength under each normal stress was measured. Using the Mohr-Coulomb criterion, the cohesion and internal friction angle of the simulated samples were determined.
The calibrated shear strength parameters of the tailings and waste rock are presented in Table 7, with the fitting curves shown in Figure 9. The fitted cohesion and internal friction angle of the tailings are 14.8 × 10 3 MPa and 14.7°, respectively, while those of the waste rock are 38.5 × 10 3 MPa and 24.1°, respectively.

4.3. Analysis of the Tailings Mining Process

For the seven slope models constructed above, calculations were performed based on the proposed 5 m per stage excavation depth. Excavation was halted whenever a landslide occurred, enabling determination of the tailings mining status at the point of slope instability for each section (Figure 10).
In Section 1, Tailings 1 was fully extracted without any landslide occurrence (Figure 10a). In Section 2, when approximately 10 m of Tailings 1 remained, a large-scale landslide developed on the southern flank slope, while the northern waste rock slope exhibited relatively minor landslides with localized sliding depths of up to 4.5 m (Figure 10b).
In Section 3, full extraction of Tailings 1 did not induce landslides on the southern flank slope; however, a significant landslide occurred near the base of the northern waste rock slope, with a sliding depth of ~12 m (Figure 10c). Similarly, in Section 4, after complete mining of Tailings 1, no landslides were observed on the southern flank slope, but a large-scale landslide developed on the northern waste rock slope, with the landslide height closely matching the tailings mining depth (Figure 10d).
In Section 5, the southern flank slope remained stable after full tailings extraction, while the northern waste rock slope experienced some degree of landsliding with a maximum sliding depth exceeding 6 m (Figure 10e). In Section 6, no landslides were observed on either adjacent open-pit slope after full tailings extraction (Figure 10f).
Finally, in Section 7, following complete extraction of Tailings 1, the southern flank slope remained stable, but the northern waste rock slope exhibited substantial sliding with a maximum sliding depth exceeding 12 m (Figure 10g).

5. Study on Mitigation Measures for Unstable Zones

Based on the analysis of slope responses to tailings recovery, the following stabilization measures are proposed for the southern and northern flank slopes:
Section 1:
After the complete extraction of Tailings 1, no slope failure was observed on either the southern or northern flank slopes. Consequently, the urgency for stabilization measures in this section is considered low.
Section 2:
Prior to the full recovery of Tailings 1, a large-scale translational failure occurred along the slip surface of the southern flank. To mitigate this issue, a certain volume of tailings may be intentionally retained at the toe of the southern flank slope to serve as a stabilizing buttress. Accordingly, it is necessary to determine the optimal quantity of retained tailings and the corresponding slope angle to ensure adequate resistance against further displacement.
Northern Flank Slopes in All Sections:
Slope failure was identified along the northern waste rock flank slope across all sections. To address this, the critical stable slope angle for the waste rock material should be assessed. Any segment exceeding this critical angle should be excavated or reprofiled to restore long-term stability.

5.1. Simulation Scheme for the Determination of Safe Slope Angles of Waste Rock and Tailings

To determine the critical safe slope angles for waste rock and tailings, a numerical model was established, as shown in Figure 11. The particle-scale mechanical properties of waste rock and tailings were adopted from Table 7. The model dimensions were set to 400 m in width and 160 m in height. After applying gravitational loading and achieving static equilibrium, the internal force chain distribution within the particle assemblies was obtained, which served as the basis for subsequent stability analysis. Additionally, it should be noted that the present numerical simulation is based on static DEM, with the effects of rainfall and seismic loading not temporarily considered.
Given that waste rock generally exhibits superior mechanical strength compared to tailings, it is expected to sustain steeper and higher slopes under similar conditions. Therefore, four slope angles (20°, 30°, 35° and 40°) were selected for the waste rock slope analysis. For each angle, various slope heights were considered, resulting in 16 unique slope geometry combinations (Table 8). These simulations aimed to identify the critical angle-height combinations beyond which slope failure is initiated.
For tailings, which exhibit lower shear strength and cohesion, more conservative slope geometries were adopted. Slope angles of 15°, 20°, 25° and 30° were selected, combined with slope heights of 5 m, 10 m, 15 m and 20 m. This also resulted in 16 simulation scenarios, as summarized in Table 9. The objective was to evaluate the critical slope angles and corresponding heights for tailings under the current site-specific material and geometric conditions.

5.2. Analysis of Simulation Results for Safe Slope Angles of Waste Rock and Tailings Slopes

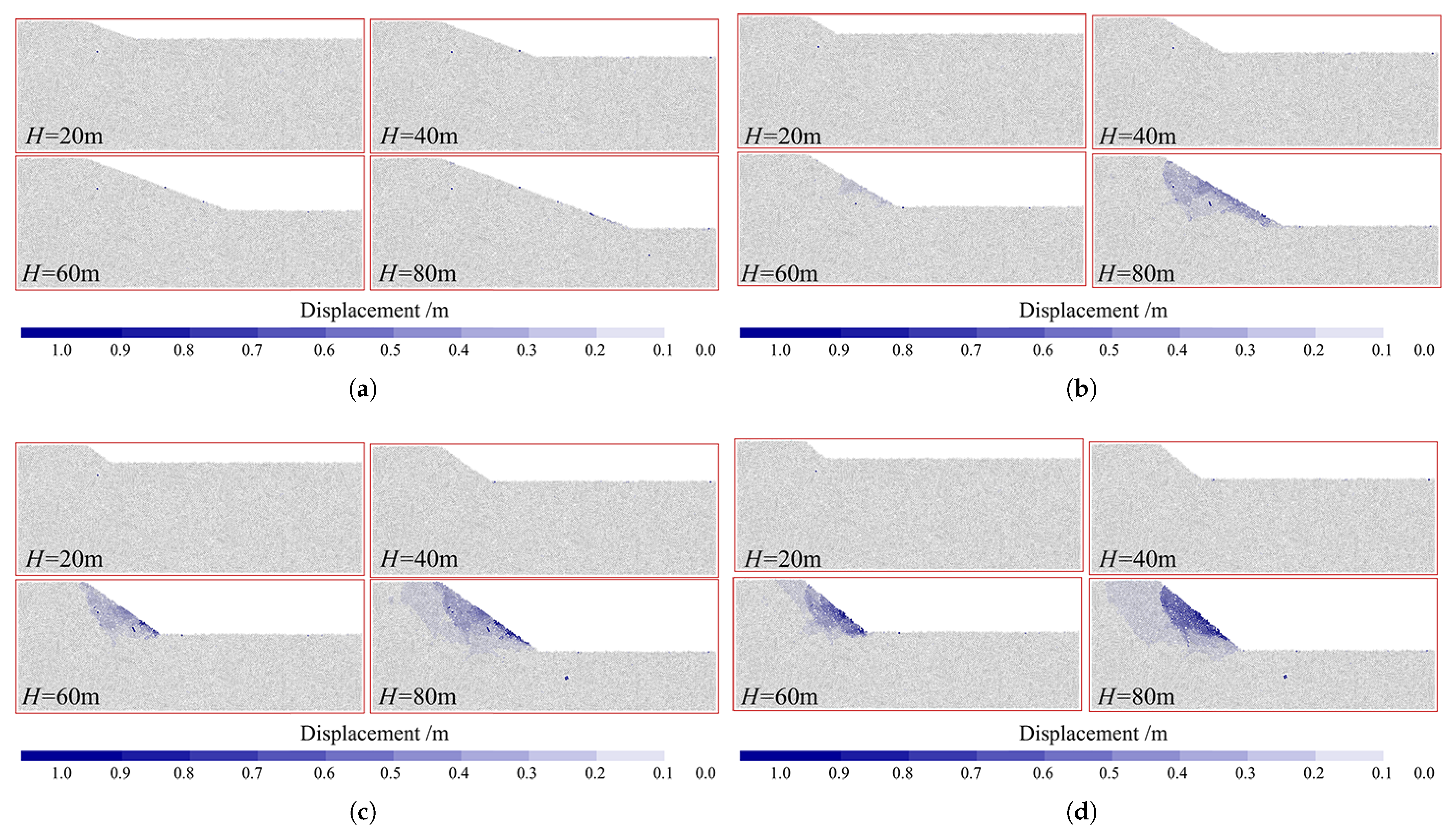
Figure 12 presents the simulation results of slope failure for waste rock slopes under varying slope heights and angles. When the slope angle was 20°, no failure signs were observed for any tested slope height (Figure 12a). At a slope angle of 30°, slopes with heights of 20 m and 40 m remained stable without visible deformation. However, at a height of 60 m, noticeable displacement was detected near the slope toe and mid-slope surface, with a maximum displacement of ~0.15 m. Although deformation occurred, its magnitude was relatively small and unlikely to compromise operational safety. When the slope height increased to 80 m, a more extensive sliding zone developed, with a maximum displacement of ~0.6 m (Figure 12b).
For slopes at v, stability was maintained for heights below 60 m. At 60 m, a large-scale shear zone formed within the slope body, with a maximum displacement of 0.45 m. As the slope height further increased to 80 m, the entire slope exhibited significant instability characteristics, with a maximum displacement of up to 0.8 m (Figure 12c).
When the slope angle was increased to 40°, global slope failure occurred when the slope height exceeded 60 m. In addition to widespread deformation, localized particle detachment from the slope mass was observed, indicating structural breakdown and loss of overall slope integrity (Figure 12d).
Based on the above analysis, the simulated waste rock slope at a 30° angle can support a maximum height of up to 60 m. When the slope angle increases to 35°, the maximum sustainable height decreases to less than 60 m. However, considering that after stripping at a 35° slope angle, the waste rock height on the northern flank slope does not exceed 60 m, this angle is deemed acceptable. Conversely, at a 40° slope angle, significant slope displacement occurs, making this option unsuitable. Therefore, by integrating the estimated stripping volume and actual post-stripping slope height, a 35° slope angle is recommended for stabilizing the unstable waste rock slopes.
Figure 13 shows the displacement simulation results of tailings slopes under different slope angles and heights. At a 15° slope angle, slopes taller than 10 m generally experience varying degrees of displacement, with maximum displacements below 0.5 m (Figure 13a). Similar behavior is observed at a 20° slope angle, where slopes exceeding 10 m also exhibit displacement, but maximum displacement remains under 0.5 m (Figure 13b). At 25°, with a slope height of 20 m, displacement zones within the slope become more extensive and maximum displacement increases to 0.6 m (Figure 13c). At 30°, displacement patterns resemble those at 25°, showing large internal movements for slopes of 20 m height (Figure 13d).
Based on the above simulation analysis of tailings slope stability, it is evident that varying degrees of slope displacement occur once the slope height reaches 15 m. Comparing the simulation results for the four slope angle scenarios, when the slope height reaches 20 m, the displacement range of tailings slopes with angles of 15° and 20° is relatively smaller. Considering both tailings extraction efficiency and slope safety, a 20° slope angle is recommended as the retained tailings berm angle for the southern flank slope of Section 2.

5.3. Analysis of Tailings Mining Slope Management Based on the Safe Angles of Waste Rock and Tailings Slopes

(1) 
Slope management simulation for each section
For Section 1, only a small amount of waste rock slope exists on the north wing. After the complete extraction of Tailings Deposit No. 1, no instability was observed on the southern flank. Therefore, no urgent slope treatment is required for Section 1.
For Section 2, slope failure occurs on the north-wing waste rock slope when the tailings mining depth reaches 25 m. As mining continues to a depth of 35 m, large-scale sliding occurs on the southern flank. Consequently, for Section 2, it is necessary to retain a certain amount of tailings as a buttress on the southern flank slope, while the north-wing waste rock slope should be cut back to a 35° slope angle. Three different schemes are proposed for the retained tailings slope on the southern wing for comparison:
Scheme 1: Tailings are mined down to a depth of 20 m, and further mining continues below at a 20° tailings slope angle (Figure 14a).
Scheme 2: Tailings are mined down to a depth of 15 m, and further mining continues below at a 20° tailings slope angle (Figure 14b).
Scheme 3: Tailings are mined down to a depth of 15 m, then mining continues downward for an additional 10 m at a 20° slope angle, followed by the retention of a 10 m wide bench. Mining then continues downward again, repeating this process until the tailings slope reaches the bottom of Tailings Deposit No. 1 (Figure 14c).
The results of the three simulation schemes for Section 2 are shown in Figure 15. Under Scheme 1, when tailings mining reaches a depth of 35 m, a large-scale landslide occurs on the southern flank slope, similar to the pre-treatment sliding condition. Under Scheme 2, after the complete extraction of Tailings 1, the southern flank slope experiences an overall landslide. In contrast, under Scheme 3, no landslide occurs on the slope when mining reaches the bottom of Tailings 1.
Based on the above analysis, Scheme 3—mining tailings to a depth of 15 m, then continuing downward mining at a 20° slope angle for an additional 10 m, followed by retaining a 10 m wide bench, and repeating this process until the tailings slope is retained to the bottom of Tailings Body No. 1—is suitable for mining in Section 2. However, it should be noted that although no landslides occur on the southern flank slope, significant displacements are observed in the retained tailings slope. This is mainly due to the inherent instability of tailings, which impairs slope integrity. Nonetheless, the 10 m benches retained in this scheme help suppress large-scale landslides of the tailings slope. Additionally, in terms of residual tailings volume, Scheme 3 yields nearly 100,000 tons of residual tailings, compared to only 72,000 tons in Scheme 2. Therefore, Scheme 3 provides greater anti-sliding resistance at the slope base.
For the northern flank slopes of Sections 3 to 7, the waste rock slopes were cut back to a 35° slope angle. The simulation results, shown in Figure 16, indicate that no slope failures occurred in any section under this cut-back scheme.
(2) 
Analysis of recoverable tailings volume under mechanical excavation
By acquiring the contour of recoverable tailings zones from Sections 1 to 7 (see Figure 17), a model of the recoverable tailings area under mechanical excavation was established. The estimated recoverable tailings volume via mechanical excavation is approximately 3.45 million m3. Among this volume, about 100,000 m3 of tailings near Section 2, adjacent to the southern flank slope, need to be reserved to serve as a buttress for slope stabilization. The reserved tailings near Section 2 for Tailings Deposit No. 1 are shown in Figure 17.

6. Conclusions

This study evaluates the impact of tailings extraction on slope stability in the western ore body, focusing on the physical and mechanical properties of tailings and waste rock, and proposes suitable slope treatment measures. Direct shear strength tests on tailings with water content ranging from 7% to 25% revealed that the highest cohesion ( 17.45 × 10 3 MPa) occurred at a 10% water content. This is attributed to the formation of bound water, which enhances the cementing capacity of tailings at moderate moisture levels; in contrast, higher water content reduces shear strength.
Simulations based on seven cross-sectional models were conducted to assess the effect of excavation depth on slope stability. In Section 1, no slope failure occurred after full tailings extraction. In Section 2, large-scale slope failure was observed when excavation reached 35 m. For Sections 3–7, the waste rock slopes on the northern flank experienced failure after reaching a certain excavation depth; this phenomenon is primarily due to the increased slope angles and heights following tailings removal.
Slope treatment strategies were also analyzed in detail. For Section 2, it was found that reserving tailings at the base of the southern flank could effectively prevent slope failure. Applying a 35° slope angle to the northern waste rock slopes also achieved failure prevention. A targeted tailings reservation plan was developed for Section 2: extraction is conducted in 10-m increments at a 20° slope angle, with 10-m-wide platforms reserved at each level until reaching the base of the first tailings deposit. This approach results in a tailings reserve of approximately 100,000 m3 in Section 2.
Overall, this study employs a 2D DEM-based model to conduct stability analysis of tailings slopes, simulates the sliding behavior of tailings under different excavation depths, and provides a reference for slope control during tailings mining. Subsequent research will be extended to 3D models, and the effects of water factors, cohesion and internal friction angle parameters on the stability of tailings slopes will be considered.

Author Contributions

Conceptualization, H.J. and C.L.; methodology, H.J. and C.L.; software, S.L.; validation, X.Y. and Y.L.; formal analysis, S.F.; investigation, C.L.; resources, Y.L.; data curation, S.L.; writing—original draft preparation, S.F.; writing—review and editing, S.F. and S.L.; supervision, C.L. All authors have read and agreed to the published version of the manuscript.

Funding

This research received no external funding.

Data Availability Statement

Data will be made available on request.

Acknowledgments

The authors acknowledge the insightful comments provided by the reviewers and the editorial team, and thank all contributors to this work.

Conflicts of Interest

Authors Haiyu Ji, Chong Li and Yanchang Li were employed by the company Kambove Mining SAS Co., Ltd. Author Xinfeng Yang was employed by the company Changsha Dimine Technology Co., Ltd. The remaining authors declare that the research was conducted in the absence of any commercial or financial relationships that could be construed as a potential conflict of interest. The remaining authors declare that the research was conducted in the absence of any commercial or financial relationships that could be construed as a potential conflict of interest.

References

  1. Shi, C.; Liu, M.; Cheng, L.; Lan, R. Research progress and engineering practice on comprehensive utilization of tailings. China Min. Mag. 2024, 33, 107–114. [Google Scholar]
  2. Yang, Y.; Li, J.; Sun, J.; He, M.; Li, Z.; Li, K. Investigation of slope stability and failure law in super high dumps. J. Saf. Environ. 2025, 25, 1–10. [Google Scholar] [CrossRef]
  3. Chen, C.; Lv, H.; Gao, H.; Li, S.; Wei, Z.; Chang, M.; Wang, W. Research on failure mode of slope dump on soft layer by model test. Chin. J. Rock Mech. Eng. 2018, 37, 2093–2109. [Google Scholar] [CrossRef]
  4. Steiakakis, E.; Kavouridis, K.; Monopolis, D. Large scale failure of the external waste dump at the “South Field” lignite mine, Northern Greece. Eng. Geol. 2009, 104, 269–279. [Google Scholar] [CrossRef]
  5. Siddle, H.; Wright, M.; Hutchinson, J. Rapid failures of colliery spoil heaps in the South Wales Coalfield. Q. J. Eng. Geol. Hydrogeol. 1996, 29, 103–132. [Google Scholar] [CrossRef]
  6. Hegde, A. Finite element-based probabilistic stability analysis of rock-fill tailing dam considering regional seismicity. Innov. Infrastruct. Solut. 2019, 4, 37. [Google Scholar] [CrossRef]
  7. Cui, C.; Zhu, Z.; Yang, G.; Li, D.; Liu, Y. Research on slope monitoring and stability of dumping site based on GNSS technology. China Min. Mag. 2020, 29, 94–99. [Google Scholar]
  8. Fu, X.; Wu, T.; Yang, Z.; Li, C.; Wang, M. Stability analysis of slope based on displacement deformation monitoring and FLAC2D method in Nandagou Dump. China Min. Mag. 2024, 33, 137–142. [Google Scholar]
  9. Nguyen, P.M.V.; Wrana, A.; Rajwa, S.; Różański, Z.; Frączek, R. Slope Stability Numerical Analysis and Landslide Prevention of Coal Mine Waste Dump under the Impact of Rainfall—A Case Study of Janina Mine, Poland. Energies 2022, 15, 8311. [Google Scholar] [CrossRef]
  10. Aswathi, T.; Jakka, R.S. Parametric study of seismic slope stability of tailings dam. In Proceedings of the Conference on Performance-Based Design in Earthquake. Geotechnical Engineering, Beijing, China, 15–17 August 2022; Springer: Cham, Switzerland, 2022; pp. 1914–1928. [Google Scholar]
  11. Khanal, M.; Shi, J.; Qu, Q. Effect of Stepwise Increase in Tailings Deposition on Tailings Dam Stability. Minerals 2025, 15, 346. [Google Scholar] [CrossRef]
  12. Zhao, H.; Wei, Z.; Luo, K.; Su, B.; Ren, C.; Wu, G. Stability and control measures of open-pit mine dump slope under rainfall conditions. Coal Sci. Technol. 2019, 47, 67–74. [Google Scholar] [CrossRef]
  13. Yellishetty, M.; Darlington, W.J. Effects of monsoonal rainfall on waste dump stability and respective geo-environmental issues: A case study. Environ. Earth Sci. 2011, 63, 1169–1177. [Google Scholar] [CrossRef]
  14. Kacimov, A.; Obnosov, Y. Analytical and HYDRUS solutions for exfiltration through inclined seepage faces. Adv. Water Resour. 2023, 179, 104517. [Google Scholar] [CrossRef]
  15. Nie, W.; Li, C.; Hu, J.; Saffari, P.; Wang, W.; Luo, M. Spatial variation of physical and mechanical properties of tailings under different rainfall intensities and the interaction pattern. Geomech. Geophys. Geo-Energy Geo-Resour. 2023, 9, 86. [Google Scholar] [CrossRef]
  16. Li, X. Study on the Rainfall Infiltration Effects in Slope Stability Analysis. Urban Constr. Theory Res. (Electron. Version) 2025, 106–108. [Google Scholar] [CrossRef]
  17. Ma, W. Numerical Simulation Analysis of the Stability of High-Fill Slopes Under Different Rainfall Conditions. Value Eng. 2025, 44, 19–21. [Google Scholar]
  18. Wu, P.; Liang, B.; Jin, J.; Zhou, K.; Guo, B.; Yang, Z. Solution and Stability Analysis of Sliding Surface of Tailings Pond under Rainstorm. Sustainability 2022, 14, 3081. [Google Scholar] [CrossRef]
  19. Liu, Y.; Wang, Y.; Shi, X.; Qiu, X. Slope Stability Analysis for Waste Rock Dump Based on Consideration of Rainfall. Min. Metall. Eng. 2022, 42, 26–29. [Google Scholar]
  20. Zhao, R. Stability analysis of internal waste dump slope in water immersed mudstone base. Saf. Coal Mines 2024, 55, 57–62. [Google Scholar] [CrossRef]
  21. Zheng, X.; Li, Z.; Liu, Y.; Xu, T.; Zhai, Y.; Su, B. Influence of Soil Cover Thickness and Slope Geometry on the Stability of Mine Waste Dump. Min. Res. Dev. 2024, 44, 91–97. [Google Scholar]
  22. Zhou, Y.; Huang, H.; Zhai, Z.; Wang, Z.; Wang, J. Optimization Design of Slope Shape During Stacking Process of Inner Dump in Open Pit Mine. Saf. Coal Mines 2019, 50, 263–265+271. [Google Scholar] [CrossRef]
  23. Dawson, R.F.; Morgenstern, N.R.; Stokes, A.W. Liquefaction flowslides in Rocky Mountain coal mine waste dumps. Can. Geotech. J. 1998, 35, 328–343. [Google Scholar] [CrossRef]
  24. Sottile, M.; Cueto, I.; Sfriso, A. A simplified procedure to numerically evaluate triggering of static liquefaction in upstream-raised tailings storage facilities. In Proceedings of the Congresso Brasileiro de Mecânica dos Solos e Engenharia Geotécnica, Brasília, Brazil, 24–28 August 2020; ABMS: Chicago, IL, USA, 2020; pp. 5657–5664. [Google Scholar] [CrossRef]
Figure 1. Engineering drawings of the western orebody. (a) Satellite plan of the mining area. (b) Engineering plan of the mining area. (c) Spatial distribution of the western orebody.
Figure 1. Engineering drawings of the western orebody. (a) Satellite plan of the mining area. (b) Engineering plan of the mining area. (c) Spatial distribution of the western orebody.
Applsci 16 00577 g001
Figure 2. Cross-sectional layout of the slope sliding surface model. Different colors correspond to the respective main fractures.
Figure 2. Cross-sectional layout of the slope sliding surface model. Different colors correspond to the respective main fractures.
Applsci 16 00577 g002
Figure 3. Direct shear test of tailings.
Figure 3. Direct shear test of tailings.
Applsci 16 00577 g003
Figure 4. Fitted shear strength curves of tailings under different water contents.
Figure 4. Fitted shear strength curves of tailings under different water contents.
Applsci 16 00577 g004
Figure 5. Distribution of tailings bodies and waste rock in each section. (a) Section 1. (b) Section 2. (c) Section 3. (d) Section 4. (e) Section 5. (f) Section 6. (g) Section 7. Br, CMN and SD are stratigraphic codes used to differentiate stratum of distinct geological periods.
Figure 5. Distribution of tailings bodies and waste rock in each section. (a) Section 1. (b) Section 2. (c) Section 3. (d) Section 4. (e) Section 5. (f) Section 6. (g) Section 7. Br, CMN and SD are stratigraphic codes used to differentiate stratum of distinct geological periods.
Applsci 16 00577 g005
Figure 6. Tailings mining models constructed based on sections. (a) Section 1. (b) Section 2. (c) Section 3. (d) Section 4. (e) Section 5. (f) Section 6. (g) Section 7. Br, CMN, RAT, RSC, RSF and SD are stratigraphic codes used to differentiate stratum of distinct geological periods; Fractures1 represents minor fractures, while HYM-1, HYM-2 and HYM-3 represent major fractures.
Figure 6. Tailings mining models constructed based on sections. (a) Section 1. (b) Section 2. (c) Section 3. (d) Section 4. (e) Section 5. (f) Section 6. (g) Section 7. Br, CMN, RAT, RSC, RSF and SD are stratigraphic codes used to differentiate stratum of distinct geological periods; Fractures1 represents minor fractures, while HYM-1, HYM-2 and HYM-3 represent major fractures.
Applsci 16 00577 g006
Figure 7. Uniaxial compression parameter calibration model.
Figure 7. Uniaxial compression parameter calibration model.
Applsci 16 00577 g007
Figure 8. Shear strength parameter calibration model.
Figure 8. Shear strength parameter calibration model.
Applsci 16 00577 g008
Figure 9. Fitting curves of tailings and waste rock. (a) Tailings simulation fitting curve. (b) Waste rock simulation fitting curve.
Figure 9. Fitting curves of tailings and waste rock. (a) Tailings simulation fitting curve. (b) Waste rock simulation fitting curve.
Applsci 16 00577 g009
Figure 10. Slope stability analysis of each section after completion of tailings mining. (a) Section 1. (b) Section 2. (c) Section 3. (d) Section 4. (e) Section 5. (f) Section 6. (g) Section 7. Br, CMN, RAT, RSC, RSF and SD are stratigraphic codes used to differentiate stratum of distinct geological periods; Fractures1 represents minor fractures, while HYM-1, HYM-2 and HYM-3 represent major fractures.
Figure 10. Slope stability analysis of each section after completion of tailings mining. (a) Section 1. (b) Section 2. (c) Section 3. (d) Section 4. (e) Section 5. (f) Section 6. (g) Section 7. Br, CMN, RAT, RSC, RSF and SD are stratigraphic codes used to differentiate stratum of distinct geological periods; Fractures1 represents minor fractures, while HYM-1, HYM-2 and HYM-3 represent major fractures.
Applsci 16 00577 g010aApplsci 16 00577 g010b
Figure 11. Numerical model used for evaluating the critical slope angles of waste rock and tailings.
Figure 11. Numerical model used for evaluating the critical slope angles of waste rock and tailings.
Applsci 16 00577 g011
Figure 12. Simulation results of waste rock slope deformation under varying slope angles and heights. (a) 20° slope angle. (b) 30° slope angle. (c) 35° slope angle. (d) 40° slope angle.
Figure 12. Simulation results of waste rock slope deformation under varying slope angles and heights. (a) 20° slope angle. (b) 30° slope angle. (c) 35° slope angle. (d) 40° slope angle.
Applsci 16 00577 g012
Figure 13. Simulation results of tailings slope deformation under varying slope angles and heights. (a) 15° slope angle. (b) 20° slope angle. (c) 25° slope angle. (d) 30° slope angle.
Figure 13. Simulation results of tailings slope deformation under varying slope angles and heights. (a) 15° slope angle. (b) 20° slope angle. (c) 25° slope angle. (d) 30° slope angle.
Applsci 16 00577 g013
Figure 14. Slope treatment schemes for Section 2. (a) Scheme 1. (b) Scheme 2. (c) Scheme 3. Green denotes the main fractures; cyan represents the outline of the tailings orebody prior to mining; blue indicates the outline of the waste rock orebody before excavation.
Figure 14. Slope treatment schemes for Section 2. (a) Scheme 1. (b) Scheme 2. (c) Scheme 3. Green denotes the main fractures; cyan represents the outline of the tailings orebody prior to mining; blue indicates the outline of the waste rock orebody before excavation.
Applsci 16 00577 g014
Figure 15. Simulation results of the three disposal schemes for Section 2. (a) Scheme 1. (b) Scheme 2. (c) Scheme 3. Br, CMN, RAT, RSC, RSF and SD are stratigraphic codes used to differentiate stratum of distinct geological periods; Fractures1 represents minor fractures, while HYM-1, HYM-2 and HYM-3 represent major fractures.
Figure 15. Simulation results of the three disposal schemes for Section 2. (a) Scheme 1. (b) Scheme 2. (c) Scheme 3. Br, CMN, RAT, RSC, RSF and SD are stratigraphic codes used to differentiate stratum of distinct geological periods; Fractures1 represents minor fractures, while HYM-1, HYM-2 and HYM-3 represent major fractures.
Applsci 16 00577 g015
Figure 16. Simulation results after slope treatment for Sections 3 to 7. (a) Section 3. (b) Section 4. (c) Section 5. (d) Section 6. (e) Section 7. Br, CMN, RAT, RSC, RSF and SD are stratigraphic codes used to differentiate stratum of distinct geological periods; Fractures1 represents minor fractures, while HYM-1, HYM-2 and HYM-3 represent major fractures.
Figure 16. Simulation results after slope treatment for Sections 3 to 7. (a) Section 3. (b) Section 4. (c) Section 5. (d) Section 6. (e) Section 7. Br, CMN, RAT, RSC, RSF and SD are stratigraphic codes used to differentiate stratum of distinct geological periods; Fractures1 represents minor fractures, while HYM-1, HYM-2 and HYM-3 represent major fractures.
Applsci 16 00577 g016
Figure 17. Distribution of Tailings Reserved for Slope Buttressing.
Figure 17. Distribution of Tailings Reserved for Slope Buttressing.
Applsci 16 00577 g017
Table 1. Field-measured orientations of sliding surfaces.
Table 1. Field-measured orientations of sliding surfaces.
Borehole IDDip Direction/°Dip Angle/°Remarks
XKT 66482Major fracture
XKT 1633460Major fracture
XKT 17~18483Major fracture
XKT 18~195283Major fracture
XKT 213557Major fracture
XKT 222875Major fracture
XKT 237034Major fracture
XKT 241879Major fracture
XKT 251652Major fracture
XKT 2615680Major fracture
XKT 2732485Major fracture
XKT 2834256Major fracture
XKT 2934649Major fracture
XKT 3034082Major fracture
XKT 3431253Major fracture
XKT 351672Major fracture
XKT 3634578Major fracture
XKT 3733756Major fracture
Table 2. Attitude parameters of sliding surfaces in each section.
Table 2. Attitude parameters of sliding surfaces in each section.
Section NumberNumber of Major FracturesFracture Dip Angle/°Fracture Length/m
Section 1280~860.5~7
Section 2380~860.5~7
Section 3184~963~8
Section 4284~963~8
Section 5172~1161~10
Section 6172~1161~10
Section 7272~1161~10
Table 3. Water content mixing scheme for tailings samples.
Table 3. Water content mixing scheme for tailings samples.
Scheme NumberWater Mass/g Dry Tailings Mass/gWater Content ω /%
Section 1355007
Section 25050010
Section 37550015
Section 410050020
Section 512550025
Table 4. Shear strength parameters of tailings at different water contents.
Table 4. Shear strength parameters of tailings at different water contents.
Test IDWater Content/%Compressive Stress/10−3 MPaDial Gauge Reading of the Proving Ring/mmShear Strength/10−3 MPaCohesion/10−3 MPaFriction Angle/°
1710022.3942.3215.9514.0
20032.4961.41
30050.3995.23
40060.37114.09
21010027.7852.5117.4515.9
20032.3461.12
30058.46110.48
40069.41131.19
31510024.8046.8816.515.7
20035.9067.86
30054.35102.73
40068.08128.68
42010022.3042.1415.215.6
20037.2170.32
30054.61103.21
40065.68124.14
52510022.2642.0814.615.8
20034.0364.32
30050.7595.91
40063.13119.31
Table 5. Calibrated microscopic particle parameters.
Table 5. Calibrated microscopic particle parameters.
Stratum 1Cohesion/MPaTensile Strength to Cohesion RatioBond Modulus/103 MPaLinear Modulus/103 MPaBond Stiffness RatioLinear Stiffness RatioFriction CoefficientBond Friction Angle/°
Br55.32.431.329.22.02.20.3842.1
CMN87.32.627.228.42.22.20.4241.5
RAT57.21.817.818.72.02.00.3940.2
RSC97.32.443.148.22.12.00.4141.8
RSF62.81.99.010.82.22.10.3842.3
SD138.22.334.438.12.02.20.3842.1
1 Employed to differentiate strata belonging to distinct geological periods.
Table 6. Comparison of simulation values and actual values errors.
Table 6. Comparison of simulation values and actual values errors.
Stratum 1Compressive Strength Test Value/MPaCompressive Strength Simulation Value/MPaError/%Elastic Modulus Test Value/103 MPaElastic Modulus Simulation Value/103 MPaError/%
Br80.582.472.4551.952.51.2
CMN124.17123.00.947.8547.90.1
RAT75.375.70.532.231.61.8
RSC135.3135.80.479.377.42.4
RSF82.081.90.117.116.91.1
SD204.5194.34.967.167.00.1
1 Employed to differentiate strata belonging to distinct geological periods.
Table 7. Mesoscopic parameters of tailings and waste rock.
Table 7. Mesoscopic parameters of tailings and waste rock.
SampleCohesion/MPaTensile Strength to Cohesion RatioBond Modulus/103 MPaLinear Modulus/103 MPaBond Stiffness RatioLinear Stiffness RatioFriction CoefficientBond Friction Angle/°
Tailings154.01.012.014.01.11.10.2310.9
Waste rock667.02.898.0109.01.11.10.3829.5
Table 8. Design schemes for waste rock slope configurations.
Table 8. Design schemes for waste rock slope configurations.
Slope Height (H)/mSlope Angle (α)/°
2020303540
4020303540
6020303540
8020303540
Table 9. Tailings slope design schemes.
Table 9. Tailings slope design schemes.
Slope Height (H)/mSlope Angle (α)/°
515202530
1015202530
1515202530
2015202530
Disclaimer/Publisher’s Note: The statements, opinions and data contained in all publications are solely those of the individual author(s) and contributor(s) and not of MDPI and/or the editor(s). MDPI and/or the editor(s) disclaim responsibility for any injury to people or property resulting from any ideas, methods, instructions or products referred to in the content.

Share and Cite

MDPI and ACS Style

Ji, H.; Li, C.; Yang, X.; Li, Y.; Li, S.; Feng, S. Study of the Mining Depth of Tailings Considering the Stability of Existing Open-Pit Slopes. Appl. Sci. 2026, 16, 577. https://doi.org/10.3390/app16020577

AMA Style

Ji H, Li C, Yang X, Li Y, Li S, Feng S. Study of the Mining Depth of Tailings Considering the Stability of Existing Open-Pit Slopes. Applied Sciences. 2026; 16(2):577. https://doi.org/10.3390/app16020577

Chicago/Turabian Style

Ji, Haiyu, Chong Li, Xinfeng Yang, Yanchang Li, Shaodong Li, and Shuzhao Feng. 2026. "Study of the Mining Depth of Tailings Considering the Stability of Existing Open-Pit Slopes" Applied Sciences 16, no. 2: 577. https://doi.org/10.3390/app16020577

APA Style

Ji, H., Li, C., Yang, X., Li, Y., Li, S., & Feng, S. (2026). Study of the Mining Depth of Tailings Considering the Stability of Existing Open-Pit Slopes. Applied Sciences, 16(2), 577. https://doi.org/10.3390/app16020577

Note that from the first issue of 2016, this journal uses article numbers instead of page numbers. See further details here.

Article Metrics

Back to TopTop