Next Article in Journal
Data Mining for Early Fault Detection in Artificial Satellites: A Review
Previous Article in Journal
Enhancing Port Security: A Dual-Stage Multimodal Agent for Reducing False Alarms in Human–Vehicle Interaction Detection
 
 
Font Type:
Arial Georgia Verdana
Font Size:
Aa Aa Aa
Line Spacing:
Column Width:
Background:
Article

Analysis of the Electro-Magnetic Properties of CORC Coil Considering Joint Resistance

1
School of Electrical and Information Engineering, Tianjin University, Tianjin 300072, China
2
Joint Laboratory on Power Superconducting Technology, China Southern Power Grid Co., Ltd., Guangzhou 510080, China
3
Electric Power Research Institute, Guangdong Power Grid Co., Ltd., Guangzhou 510062, China
*
Author to whom correspondence should be addressed.
Appl. Sci. 2026, 16(1), 529; https://doi.org/10.3390/app16010529
Submission received: 3 December 2025 / Revised: 26 December 2025 / Accepted: 29 December 2025 / Published: 5 January 2026
(This article belongs to the Special Issue Advances in Superconducting Technologies and Energy Systems)

Abstract

Wounded with second-generation (2G) high temperature superconductors (HTS) tapes, the conductor on round core (CORC) coil exhibits notable benefits such as low AC loss, powerful current-carrying capability, and great mechanical properties, which makes it one of the optimal materials for high magnetic field generation in the engineering applications for fusion magnets. However, it is challenging for current manufacturing techniques to ensure the uniformity among the joint resistances of HTS tapes in CORC coils. And it will have a crucial impact on the electro-magnetic properties of CORC coils. Therefore, a three-dimension (3D) finite element model of CORC coils considering joint resistance is established, and the effects of joint resistance on the coils’ current distribution and AC losses are analyzed. Results show that during AC operation, uneven joint resistances and reactance arising from the coils’ helical winding structure will act together on the current among HTS tapes, causing non-uniform current distribution and increasing the total AC losses of CORC coils. Additionally, the uneven degree of the joint resistance raises the CORC coil’s overall AC loss.

1. Introduction

Second-generation high temperature superconductors (HTS) exhibit exceptional current carrying capacity under high magnetic fields [1,2,3,4,5]. Three dominant cables based on HTS tapes include the twisted stacked-tape cable (TSTC cable) [6,7], the Roebel cable [8,9], and the conductor on round core cable (CORC cable) [10,11,12]. Owing to its excellent properties including good isotropy, robust mechanical behavior, and minimal AC loss, the helically wound CORC cable stands out as a viable option for fusion magnet systems and power grid transmission systems. In engineering applications for fusion magnets, CORC cables are typically wound into coils to generate high magnetic fields [13,14]. Under practical conditions, CORC coils often incur AC loss due to the transmission of alternating currents, which increases the cooling load and severely threatens the stability and safe operation of the superconducting system. Therefore, the analysis of the electro-magnetic properties, particularly the AC loss across the entire CORC coil, is crucial for guaranteeing the stable operation of the overall system.
Research efforts have been dedicated to analyzing the electromagnetic characteristics of CORC coils. Ming Li et al. investigated the critical current of CORC coils in a double-pancake (DP) coil configuration, which exhibit stable AC loss characteristics under fast dynamic current cycles [15]. Van Der Laan D C et al. studied quench behavior of CORC coils by monitoring their changes in temperature and voltage continuously [16]. This work revealed that at high current ramp rates, non-uniform tape inductance can cause current redistribution within the cable, highlighting the electromagnetic stability in multi-tape HTS conductors. Gao et al. fabricated a six-layer CORC coil utilizing in situ winding technology, which avoids the stress and degradation associated with conventional bend-after-winding approaches [17]. In this study, it was found that joint resistance significantly influences the current distribution among parallel tapes, resulting in uneven current sharing during operation. Zhao et al. examined how different winding approaches affect the AC loss of CORC coils [18]. This study demonstrated AC losses can be effectively reduced without significantly compromising the central magnetic field by optimizing the winding angle and inter-tape arrangement. Chao Li et al. proposed a 3D finite-element model based on the H-formulation to investigate the transport current distribution in multi-layer CORC coils, providing important insights into the current-sharing behavior in complex CORC coil geometries [19].
In practical applications, joints in CORC coils inevitably exhibit resistance due to the limitations of existing connection technologies, material heterogeneities and mechanical stresses at the joint interface. From the circuit perspective, these resistances are connected in parallel and this resistive network will modulate the electromagnetic properties of the CORC coil directly. However, existing technology cannot guarantee uniform joint resistance across all HTS tapes. This inhomogeneity redistributes the transport current among the HTS tapes within the CORC coil, consequently influencing its overall AC loss. Nevertheless, the specific impact of joint resistance on the AC loss of CORC coils has not yet been thoroughly investigated.
To address this problem, this work establishes a 3D finite element model in COMSOL Multiphysics 6.0 [20,21] that explicitly considers joint resistance to analyze its impact on the performance of the CORC coils, including their current distribution and AC losses.
The paper is structured as follows: Section 2 introduces the proposed finite element model of a single-layer CORC coil that takes joint resistances into account, along with the presentation of relevant parameters. Section 3 and Section 4 analyze the effects of joint resistances on the DC and AC current distribution in the CORC coil, respectively. Based on the analysis of joint resistance’s impact on CORC coil, Section 5 further analyzes how the unevenness of the joint resistance affects the AC losses of each component of CORC coil. Finally, an overview is provided in Section 6.

2. Simulation Model

2.1. Geometry

The CORC coil possesses a two-level helical structure, comprising HTS tapes helically wound around a copper former to form the cable, which is then bent into the coil. The geometric modeling approach for the CORC coil is illustrated in Figure 1. Within the simulation software, the cross-section of the CORC coil and a helical backbone curve are built first. By sweeping the cross-section at a specified winding angle θ along this curve, the coil geometry is created. Moreover, the diameter of the coil can be precisely regulated by altering the parameters of the helical backbone curve, allowing for flexible design.
Figure 2 presents the meshing results of the CORC coil. To ensure the reliable convergence of the finite element model, it is essential to perform meshing firstly on the small-sized regions, which helps avoid the problem that the generated mesh size is smaller than the minimum geometric unit. Therefore, the meshing process is carried out in four specific steps: initially, the air gaps between the three HTS tapes are meshed; subsequently, the HTS tapes are meshed; then, the copper former is meshed; and ultimately, the large air domains inside the Cu former and outside the entire coil are meshed. This step-by-step meshing strategy contributes significantly to improving the convergence performance of the model.
To facilitate the analysis, the modeling and analysis primarily focus on a single-layer CORC coil. This coil is made up of three HTS tapes coiled at a 30° angle around a copper former. Each HTS tape exhibits a critical current of 235 A at 77 K. Accordingly, the CORC coil assembled with three parallel HTS tapes reaches an overall critical current of 705 A. The key geometric parameters of the CORC coil are listed in Table 1.
To simulate the joint resistance, a 0.5 mm length segment is defined at the end of each superconducting tape. Within the simulation software, these segments can be assigned resistive properties. The corresponding equivalent circuit model is depicted in Figure 3 as follows. Here, R T i denotes the value of the joint resistance applied to the i th tape, R Tape i and L Tape i signifies the total resistance and the total inductance of the i th HTS tape, respectively. R Cu and L Cu stands for the resistance and inductance of the copper former, respectively. I Coil represents the total current applied to the CORC coil.

2.2. Finite Element Method

The 3D H-formulation is employed to solve Maxwell’s equations based on the geometry structure and equivalent circuit model of the coil, given as (1). Here H represents the magnetic field intensity, E stands for the electric field intensity, J refers to the current density, μ 0 denotes the vacuum permeability, μ r signifies the relative permeability and ρ is the resistivity.
× H = J × E = μ 0 μ r H t E = ρ J
The former material is assumed to have a constant resistivity of 5 × 10 9   Ω m in the model. The resistivity of the HTS tape follows the E J power law:
ρ = E 0 J c ( B ) J norm J c ( B ) n 1 J norm = J x 2 + J y 2 + J z 2
where n = 33 , E 0 = 1 × 10 4   V / m .
The critical current density is influenced by the magnetic field, and this effect can be calculated using the following formula:
J c ( B )   = J c 0 1 + B per 2 + ( k B par ) 2 / B c b
Here J c 0 stands for the critical current density at 77 K under self-field, B par and B per represent the magnetic field components parallel and perpendicular to the HTS tape, respectively. B c = 0.103 T , b = 0.758 , k = 0.0605 . B par and B per can be expressed as Equations (4) and (5), respectively,
B par = B θ 2 + B z 2 B θ = B x sin θ + B y cos θ
B per = B r B r = B x cos θ + B y sin θ
The AC loss incurred per cycle is calculated by integrating the power density over the volume and the corresponding time period:
Q = 2 T / 2 T V E J   d V d t
Here, V represents the specific volume of the entire region, T = 1 / f .

3. How Joint Resistance Affects the Distribution of DC Current

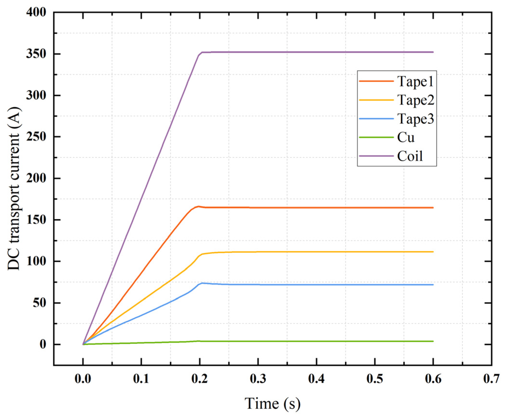
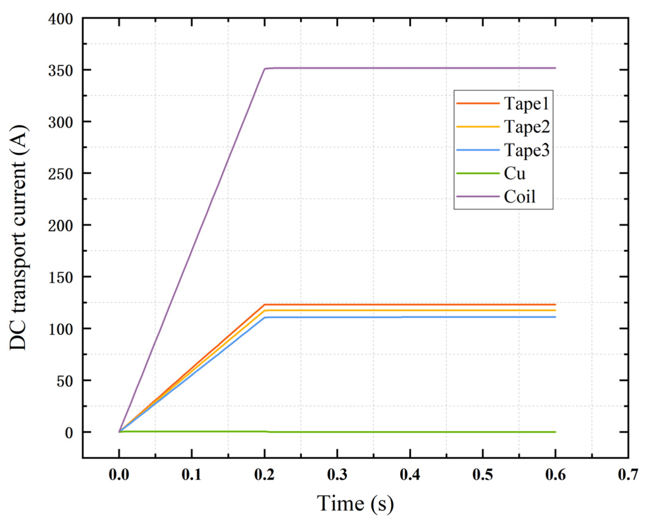
In the ideal case of zero joint resistance across all three superconducting tapes, a DC current of 352.5 A is applied to the CORC coil. To avoid the possible convergence issues caused by a sudden current increase, the current is ramped up gradually over 0.2 s until it reaches the steady-state value and remains constant thereafter. The current distribution, presented in Figure 4, demonstrates an approximately uniform current sharing among the 3 HTS tapes, while the Cu former carries a negligible amount.
When the joint resistances of the three HTS tapes in the CORC coil are set to R T 1 = 1   μ Ω , R T 2 = 2   μ Ω , and R T 3 = 3   μ Ω , a DC current of 352.5 A is similarly applied. As depicted in Figure 5, the currents in three tapes are substantially different, demonstrating that non-uniform joint resistances lead to an uneven distribution of the DC transport current among different tapes in the CORC coil. Furthermore, the fact that a small portion of the current now flows through the copper former indicates that joint resistance will adversely affect the overall current-carrying capability of the coil.
As the three HTS tapes are connected in parallel, the voltage across each is equal. Consequently, tapes with low joint resistance carry a larger transport current, whereas those with high joint resistance carry a smaller transport current. This result clearly demonstrates that the fraction of the HTS tapes’ joint resistances largely dictates how the DC current is distributed among them.
Figure 6a,b illustrate the current density distributions within the HTS tapes when the DC current applied to the CORC coil reaches its peak value, corresponding to the scenarios of no joint resistance and a joint resistance of 1   μ Ω , 2   μ Ω and 3   μ Ω applied, respectively. In the case of the CORC coil without joint resistance, the helical symmetric structure of the coil results in similar current density distributions across all tapes. However, when joint resistances are introduced, the tape with a 1   μ Ω end joint displays a notably larger current density magnitude, aligning well with the above findings. Additionally, in the cross-section perpendicular to the current direction, both coils exhibit an inhomogeneous distribution, with the current density in the region near the inner side of the coil being higher than that in the outer region. This may be jointly caused by coil’s inhomogeneous magnetic field distribution and the magnetic field dependence of the HTS tape’s critical current.
Figure 7 presents the corresponding magnetic induction density distributions of the CORC coil. It can be observed that the inner side of the coil lies in the superimposed region of the magnetic fields generated by the currents in the HTS tapes, resulting in a higher magnetic induction density than the outer side. Disparities in the magnetic field distribution across different regions of the tapes cause variations in their critical current densities. According to Equation (3), the critical current density J c B of the HTS tapes in the inner region of the coil is lower, while that in the outer region is higher. Therefore, as the overall current of the coil gradually rises, the inner region first reaches its upper limit of critical current density due to the lower J c B , whereas the outer region still has current-carrying redundancy owing to its higher critical current density. Ultimately, this manifests a distribution where the current density in the inner region is stronger than that in the outer region.

4. Effects of Joint Resistance and Magnetic Coupling on AC Current Distribution Characteristics of CORC Coils

When the joint resistances of the three HTS tapes in the CORC coil were set to R T 1 = 1   μ Ω ,   R T 2 = 2   μ Ω ,   and R T 3 = 3   μ Ω , an AC current ( f = 50   Hz , I m = 352.5 A) is applied. The distribution of the AC transport currents among the tapes is presented in Figure 8.
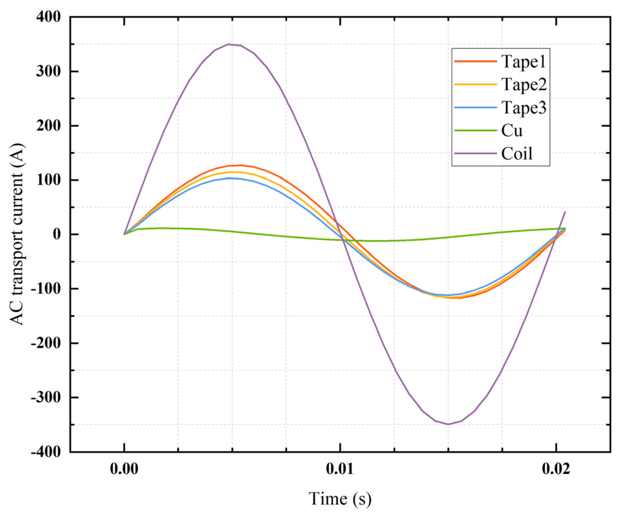
As is shown from Figure 8, unlike the DC transport current, the AC current amplitudes do not exhibit an inverse proportionality to their joint resistances, and the phases differ from each other. This is attributed to the presence of reactance, arising from the inherent inductance of the coil itself and its spiral geometry, which acts in conjunction with the resistance to influence the AC current distribution. Compared with CORC cables, the larger inductance of CORC coils results in a stronger intrinsic impedance effect, making its current distribution induced by joint resistance less pronounced than that in CORC cables.
What is equally noteworthy is that the alternating transport current carried by the 3 HTS tapes exhibits an asymmetric distribution with inconsistent peak amplitudes in the positive and negative half-cycles. This phenomenon can be reasonably explained from two aspects: the evolution of the coil’s electromagnetic environment and the magnetic field-dependent characteristics of the HTS tapes.
In the positive half-cycle, the alternating current gradually rises from zero, and the CORC coil establishes a magnetic field from scratch, leading to a steady increase in the magnetic flux linkage inside the coil. At this stage, the current distribution is mainly regulated by the coil impedance and joint resistance in a coordinated manner. When the current enters the negative half-cycle, its direction reverses, and the coil must first overcome the residual magnetic field generated in the positive half-cycle before a new reverse magnetic field can be established. This residual magnetic field introduces additional inductive reactance, directly resulting in inconsistent current amplitudes between the positive and negative half-cycles. Furthermore, the critical current of the HTS tapes has significant magnetic field-dependent characteristics. In the positive half-cycle, the direction of the magnetic field established by the coil matches the initial magnetization state of the tapes, maintaining the tapes at a high current-carrying capacity. During the negative half-cycle, the combined effect of the reversed magnetic field and additional inductive reactance induced by the residual magnetic field can induce local quenching in the HTS tapes, thereby leading to elevated normal-state resistance, altered current distribution ratios across the three HTS tapes, and ultimately exacerbated asymmetry of the current distribution between the positive and negative half-cycles.
The alternating current applied to the CORC coil can be expressed as I coil = I m sin ( 2 π f t ) , indicating that the total current in the coil reaches its peak at the 1/4-cycle point and approaches zero at the 1/2-cycle point. However, due to the presence of reactance in the CORC coil as mentioned above, the phase of the total current carried by the three parallel HTS tapes deviates from that of the overall alternating current applied to the CORC coil. In fact, the current in the HTS tapes lags slightly behind the overall current applied to the CORC coil, which means that the time point at which the total current in the HTS tapes reaches its peak is slightly later than the 1/4-cycle point, and the time point at which it attains the minimum value is slightly later than the 1/2-cycle point.
Figure 9 and Figure 10, respectively, demonstrate the distributions of current density and magnetic flux density in the CORC coil at these two specific time points over a single alternating current application cycle. Specifically, (a) corresponds to the moment when the total current of the HTS tapes reaches the peak value, and (b) denotes the instant when the current amplitude of the HTS tapes is minimized. When the transport current of the HTS tapes reaches its peak, the magnetic field inside the tape achieves the maximum intensity. Due to the annular structure of the coil, the magnetic field superposition effect is most pronounced in the HTS tape regions on the radially inner side of the coil winding (i.e., the side closer to the coil’s geometric center), which reduces the critical current of the tapes in these regions and thereby promotes the preferential concentration of current here. Furthermore, as an inherent characteristic of alternating current, the skin effect drives the current to concentrate on the outer surface of each individual HTS tape, resulting in a current distribution feature of penetrating from the outside inward rather than diffusing outward from the center of the tape cross-section. This effect is coupled with the magnetic field distribution induced by the coil’s annular structure, ultimately leading to a higher current density in the edge regions of the HTS tapes on the radially inner side of the winding.
When the current in the HTS tapes of the CORC coil approaches zero, the magnetic field intensity weakens correspondingly, and the overall current density distribution tends to be uniform. Nevertheless, it is noteworthy that the current density in the edge regions of the HTS tapes on the radially inner side of the winding is still slightly higher than that in other regions of the tapes. Obviously, the significance of this difference is far lower than that observed at the peak current moment.

5. The Influence of Joint Resistance on the AC Losses of the CORC Coil

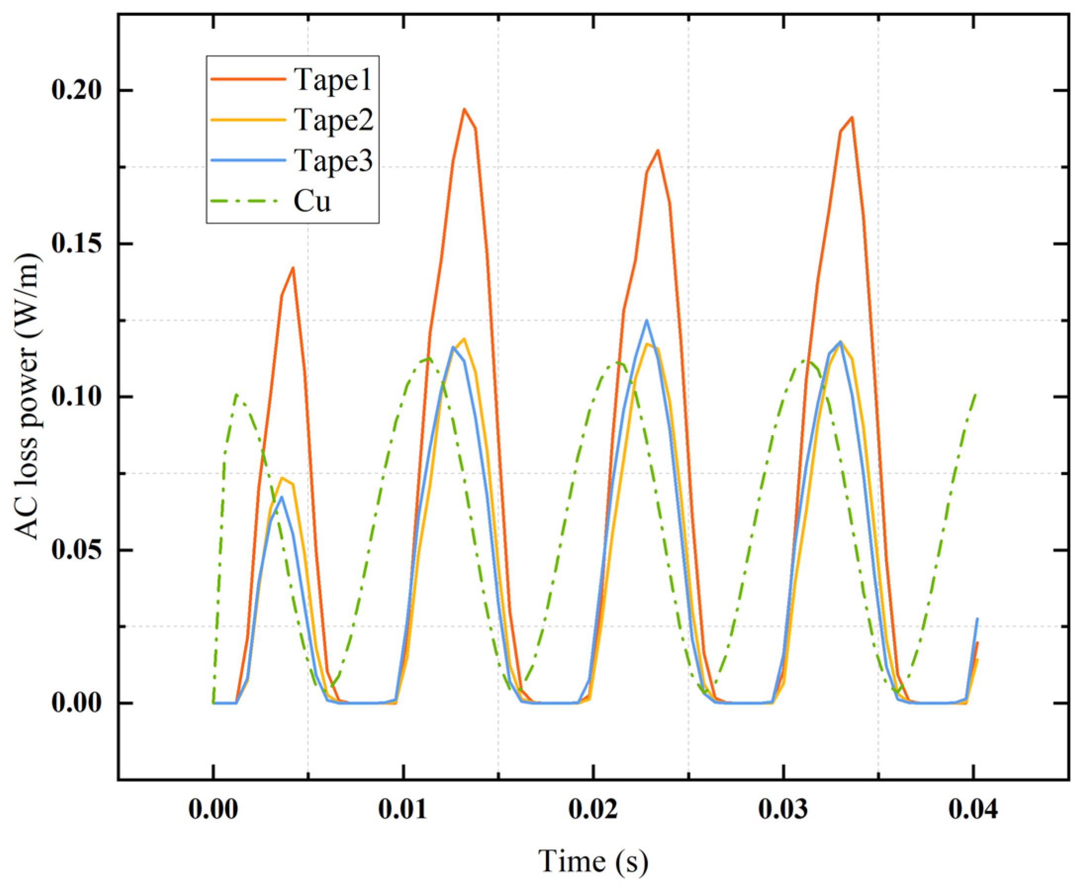
Under AC operating conditions, non-uniform joint resistances cause an uneven allocation of the current among the HTS tapes, which in turn results in dissimilar AC losses in each tape. It is evident from Figure 11 that the amplitude of the AC loss power in Tape 1 is significantly higher than that in Tape 2 and Tape3. This can be explained by two factors. First, according to the E - J power law, a larger current leads to a higher resistivity in the HTS tape. Second, the AC loss is directly proportional to the square of the transport current, a relationship that further amplifies the loss in Tape 1 compared to the others. Additionally, when the CORC coil carries AC current, an eddy current is created in the copper former, which also contributes a notable portion to the coil’s overall AC loss.
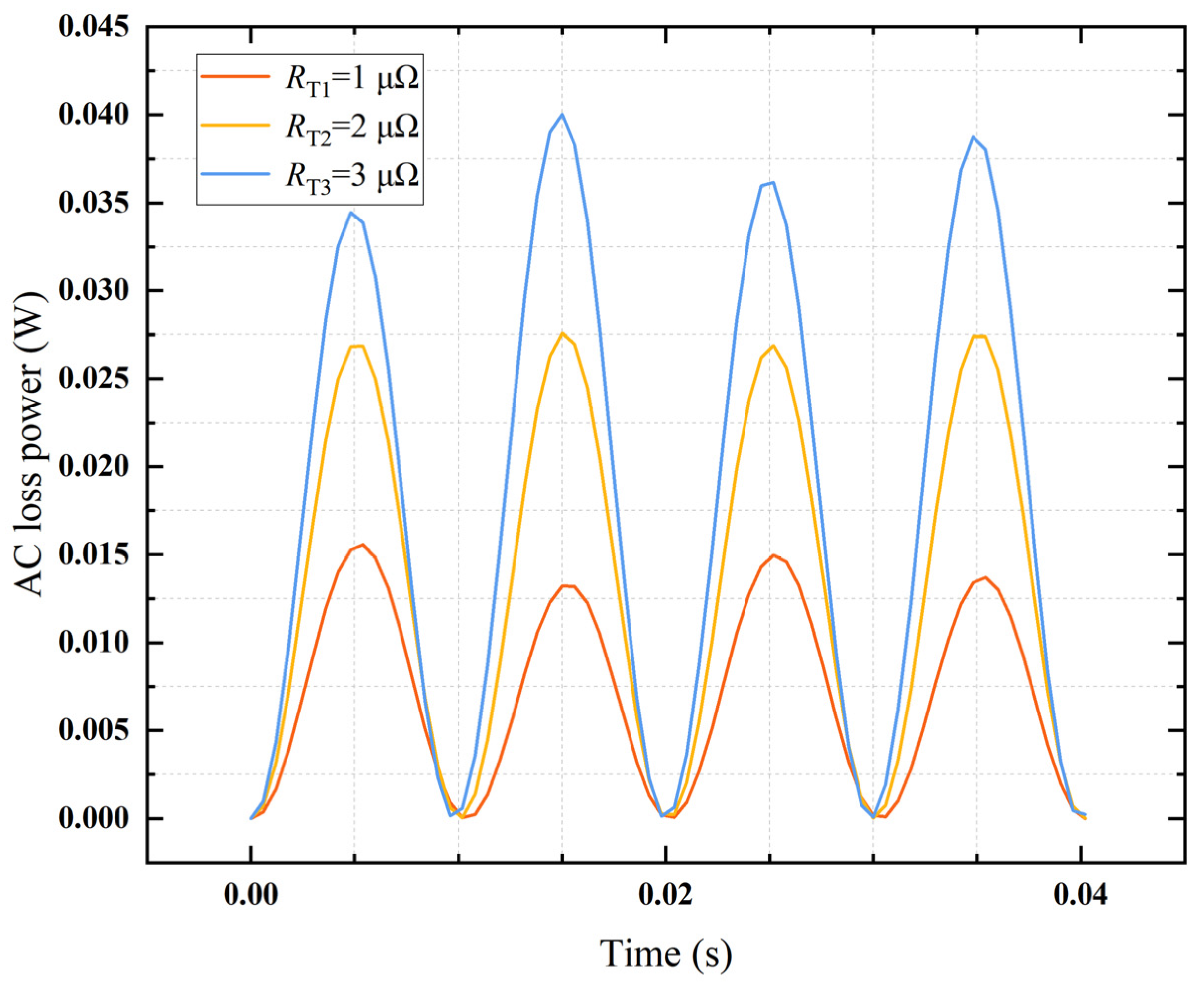
The loss power of the three joint resistances over two cycles is shown in Figure 12. From the stabilized loss waveforms, it is observed that the highest joint resistance generates the greatest loss, while the two lower resistances exhibit less loss.
To investigate the specific influence of the joint resistances’ uneven degree on the CORC coil’s AC loss, the unevenness patterns are categorized into three types based on their relative size connection: (1) Low-High-High: Two HTS tapes have high joint resistances, whereas one HTS tape has a low joint resistance. (2) Low-Medium-High: The three HTS tapes’ joint resistance ranges from high to low. (3) Low-Low-High: One HTS tape has a high joint resistance whereas two HTS tapes have low joint resistances.
The uneven degree of joint resistance is defined as:
γ = ( R T 1 R ¯ ) 2 + ( R T 2 R ¯ ) 2 + ( R T 3 R ¯ ) 2 R ¯ = ( R T 1 + R T 2 + R T 3 ) / 3
The overall parallel joint resistance R total is kept constant for the convenience of the analysis. R T 1 , R T 2 and R T 3 satisfy the following relationship.
R total = 1 1 R T 1 + 1 R T 2 + 1 R T 3
Assuming R T 1 = R T 2 = R T 3 = 4   μ Ω , then the total resistance R total = 4 / 3   μ Ω . Starting from this uniform scenario ( γ = 0 ), the AC losses of the constituent parts in different types of CORC coils are examined for a series of uneven degrees: 0.3, 0.6, 0.9, 1.2, and 1.5.
Figure 13 illustrates the influence of the uneven degree and distribution type of joint resistance on the HTS tapes’ AC loss. As observed, the AC loss in tapes with uniform joint resistances is consistently lower than that in tapes with non-uniform joints. Furthermore, across all distribution types, the AC loss increases with the uneven degree. This occurs because uniform joints enable a balanced current distribution, which enhances magnetic field cancellation via the helical structure. Conversely, greater non-uniformity causes larger current divergences, leading to increased disparity in magnetic flux density and a weakened field-canceling effect. Additionally, the AC loss in the Low-High-High type coil is most sensitive to variations in uneven degree. For a given uneven degree, the Low-High-High type yields the highest AC loss, followed by the Low-Medium-High type, while the Low-Low-High type produces the lowest.
Figure 14 illustrates the influence of uneven degree and distribution type of joint resistance on the loss produced by the joints themselves. For a given distribution type, the joint loss increases with the uneven degree. At the same uneven degree, the Low-High-High type exhibits the highest joint loss.
Figure 15 illustrates the influence of uneven degree and distribution type of joint resistance on the AC loss in the Cu former. For a given distribution type, it is observed that a higher uneven degree induces stronger eddy currents in the former, consequently leading to more AC loss. Moreover, at the same uneven degree, the former in the Low-High-High type CORC coil exhibits the highest loss.
It can be concluded that a CORC coil with uniform joint resistances exhibits lower total AC loss than its non-uniform counterpart. Within the same distribution type, losses in the HTS tapes, joint resistances, and former all escalate with increasing uneven degree, leading to a corresponding increase in the coil’s total AC loss. The Low-High-High joint distribution type has the most significant impact on elevating total AC loss. Thus, engineering practices should aim to mitigate the occurrence of this distribution to optimize coil performance.
As concluded from the above analysis, the Low-Low-High distribution type can effectively reduce the overall AC loss of the coil and is more adaptable to practical operating conditions. Thus, the Low-Low-High joint distribution type is selected to further study the influence of alternating current amplitude on the AC loss of the CORC coil within the uneven degrees of 0.3 and 1.5, respectively. The amplitude of the applied alternating current I m can be defined as follows:
I m = i m × N tape × I c
Here I c represents the critical current of the HTS tape at 77 K and self-field ( I c = 235   A ). N tape represents the number of tapes (set to 3 in this work). i m is defined as a dimensionless current amplitude coefficient with a value range of 0 to 1, which is used to characterize the ratio of the alternating current amplitude injected into the CORC coil to the total critical current of the coil.
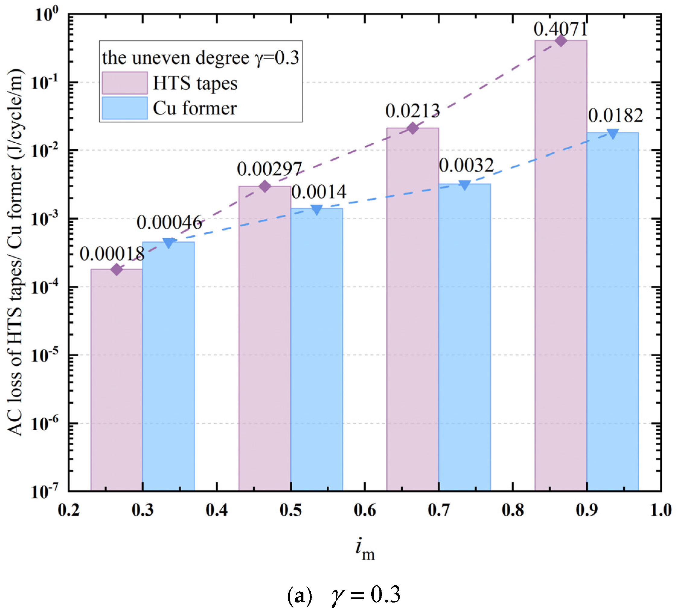
Figure 16 explores the AC losses generated by the HTS tape and copper former in the CORC coil when i m = 0.3 , 0.5 , 0.7 , 0.9 . As shown in the figure, the AC losses of both the HTS tapes and the Cu former increase with the rise of the transport current, but the growth pattern differs significantly: the AC loss in the HTS tapes show an exponential trend, whereas that in Cu former only grows quadratically. This variation is attributed to the fundamental distinction in loss mechanisms between the HTS tape and copper. For the Cu former, loss follows Ohm’s law, and its resistivity is nearly independent of the current amplitude. Even with the slight resistance change induced by the skin effect, the current through the copper tube will not increase exponentially. On the other hand, the AC loss of the HTS tape is affected by its critical current and flux pinning characteristics. When the transport current is small, the HTS tape operates in the critical state, where magnetic flux lines are trapped at flux pinning centers, leading to a slow increase in loss with increasing current. When the transport current approaches the critical current of the HTS tape, a large number of magnetic flux lines escape from flux confinement and move rapidly, causing a drastic increase in hysteresis loss within the tape, thereby resulting in an exponential surge.
Notably, when i m = 0.3 , the loss induced per unit length of the HTS tape is higher than the AC loss generated by Cu former, whereas the reverse holds when i m 0.5 . This difference can be interpreted by the real-time load condition of the HTS tape in the CORC coil. Figure 17 presents the ratio of the real-time transport current of the HTS tape to the real-time critical current calculated by the E-J power law ( J norm / J c B ) with a uneven degree of 1.5. An increase in transport current results in a substantial increase in the internal magnetic field of the coil, thereby causing varying degrees of deterioration in the critical current of the HTS tape. When the transport current amplitude reaches 0.9   I c , it can be seen from Figure 17d that the local current density of the tape in nearly the entire coil surpasses the critical current density J c B corresponding to the magnetic field at that location. When the HTS tape enters the critical state saturation region, the flux pinning effect is fully ineffective, so the extensive movement of flux lines leads to a drastic surge in loss. In contrast, when the transport current is 0.3   I c , as shown in Figure 17a, the HTS tape throughout the entire coil is in the superconducting state. Under such operating condition, the AC loss generated per unit length of the HTS tape within one cycle is approximately 0.0002 J, which is lower than that produced by the Cu former per unit length in one cycle (approximately 0.0005 J).

6. Conclusions

Based on the equivalent circuit, a finite element model of the CORC coil that takes joint resistance into account has been built in this work to analyze its effects on both DC and AC current distributions, as well as AC losses. The main findings are outlined below:
  • The joint resistance can impact the current distribution of the HTS tapes in the CORC coil, with this effect fading as the coil’s inductance increases. Additionally, the magnetic field superposition effect arising from the annular configuration of the CORC coil reduces the local critical current of the HTS tapes, thereby leading to a notably higher current density in the radially inner side of the coil winding.
  • Different distribution types of joint resistance will influence the overall AC loss generated by the CORC coil, among which the Low-Low-High distribution type exerts a relatively minor impact on the total AC loss and thus demonstrates greater potential for engineering applications; an increase in the uneven degree of joint resistance results in a higher AC loss of the coil.
  • With the same uneven degree of the joint resistance, an increase in alternating current transmission will lead to an exponential growth in the AC loss generated by the HTS tapes.
For future research, two potential directions are proposed. First, the established model can be extended to a multi-physics coupling framework by incorporating thermal effects, considering that the temperature elevation induced by AC losses is likely to further degrade the critical current of HTS tapes. Second, optimization strategies for the joint resistance distribution can be explored to minimize the total AC losses of the coil, which would lay a solid foundation for the practical deployment of CORC coils in high-temperature superconducting power systems.

Author Contributions

Conceptualization, Y.C. and L.L.; methodology, Y.C.; software, L.L.; validation, Y.C., L.L. and M.Y.; formal analysis, Y.C.; investigation, L.L.; resources, M.Y.; data curation, C.L.; writing—original draft preparation, Y.C.; writing—review and editing, L.L.; visualization, M.Y.; supervision, C.L.; project administration, M.Y.; funding acquisition, M.Y. All authors have read and agreed to the published version of the manuscript.

Funding

This work was funded by Joint Laboratory on Power Superconducting Technology of China Southern Power Grid (GDDKY2023KF08).

Institutional Review Board Statement

Not applicable.

Informed Consent Statement

Not applicable.

Data Availability Statement

All data included in this study are available upon request by contact with the corresponding author.

Acknowledgments

We gratefully acknowledge the support of the Joint Laboratory on Power Superconducting Technology of China Southern Power Grid for this project.

Conflicts of Interest

Authors Li Li, Mingzhen Yang were employed by Joint Laboratory on Power Superconducting Technology of China Southern Power Grid Co., Ltd. and Electric Power Research Institute of Guangdong Power Grid Co., Ltd. The remaining authors declare no conflicts of interest.

Abbreviations

The following abbreviations are used in this manuscript:
HTSHigh Temperature Superconductors
CORCConductor on Round Core
Figure 1. The geometric modeling approach of a single-layer CORC coil.
Figure 1. The geometric modeling approach of a single-layer CORC coil.
Applsci 16 00529 g001
Figure 2. The meshing results of the CORC coil.
Figure 2. The meshing results of the CORC coil.
Applsci 16 00529 g002
Figure 3. Equivalent circuit model of CORC coil.
Figure 3. Equivalent circuit model of CORC coil.
Applsci 16 00529 g003
Figure 4. The DC transport current distribution in the CORC coil with no joint resistance.
Figure 4. The DC transport current distribution in the CORC coil with no joint resistance.
Applsci 16 00529 g004
Figure 5. The DC transport current distribution in the CORC coil with uneven joint resistance ( R T 1 = 1   μ Ω ,   R T 2 = 2   μ Ω ,   and R T 3 = 3   μ Ω ).
Figure 5. The DC transport current distribution in the CORC coil with uneven joint resistance ( R T 1 = 1   μ Ω ,   R T 2 = 2   μ Ω ,   and R T 3 = 3   μ Ω ).
Applsci 16 00529 g005
Figure 6. 3D plot of current density distribution of HTS tapes in CORC coil.
Figure 6. 3D plot of current density distribution of HTS tapes in CORC coil.
Applsci 16 00529 g006
Figure 7. 3D Plot of magnetic induction intensity of HTS tapes in CORC coil.
Figure 7. 3D Plot of magnetic induction intensity of HTS tapes in CORC coil.
Applsci 16 00529 g007
Figure 8. The AC transport current in the CORC coil with uneven joint resistance ( R T 1 = 1   μ Ω ,   R T 2 = 2   μ Ω ,   and R T 3 = 3   μ Ω ).
Figure 8. The AC transport current in the CORC coil with uneven joint resistance ( R T 1 = 1   μ Ω ,   R T 2 = 2   μ Ω ,   and R T 3 = 3   μ Ω ).
Applsci 16 00529 g008
Figure 9. 3D plot of current density distribution of HTS tapes in the CORC coil with uneven joint resistance at different moments ( R T 1 = 1   μ Ω ,   R T 2 = 2   μ Ω ,   and R T 3 = 3   μ Ω ).
Figure 9. 3D plot of current density distribution of HTS tapes in the CORC coil with uneven joint resistance at different moments ( R T 1 = 1   μ Ω ,   R T 2 = 2   μ Ω ,   and R T 3 = 3   μ Ω ).
Applsci 16 00529 g009
Figure 10. 3D contour diagram of magnetic induction intensity distribution of the CORC coil with uneven joint resistance at different moments ( R T 1 = 1   μ Ω ,   R T 2 = 2   μ Ω ,   and R T 3 = 3   μ Ω ).
Figure 10. 3D contour diagram of magnetic induction intensity distribution of the CORC coil with uneven joint resistance at different moments ( R T 1 = 1   μ Ω ,   R T 2 = 2   μ Ω ,   and R T 3 = 3   μ Ω ).
Applsci 16 00529 g010
Figure 11. The AC loss power of CORC coil with uneven joint resistance ( R T 1 = 1   μ Ω ,   R T 2 = 2   μ Ω ,   and R T 3 = 3   μ Ω ,   f = 50   Hz ,   I m   =   352.5   A ).
Figure 11. The AC loss power of CORC coil with uneven joint resistance ( R T 1 = 1   μ Ω ,   R T 2 = 2   μ Ω ,   and R T 3 = 3   μ Ω ,   f = 50   Hz ,   I m   =   352.5   A ).
Applsci 16 00529 g011
Figure 12. Loss of joint resistance in CORC coil ( R T 1 = 1   μ Ω ,   R T 2 = 2   μ Ω ,   and R T 3 = 3   μ Ω ,   f = 50   Hz ,   I m   =   352.5   A ).
Figure 12. Loss of joint resistance in CORC coil ( R T 1 = 1   μ Ω ,   R T 2 = 2   μ Ω ,   and R T 3 = 3   μ Ω ,   f = 50   Hz ,   I m   =   352.5   A ).
Applsci 16 00529 g012
Figure 13. The influence of the uneven degree of joint resistance on the AC loss of HTS tapes in CORC coil.
Figure 13. The influence of the uneven degree of joint resistance on the AC loss of HTS tapes in CORC coil.
Applsci 16 00529 g013
Figure 14. The influence of the uneven degree of joint resistance on the loss of joint resistance in CORC coil.
Figure 14. The influence of the uneven degree of joint resistance on the loss of joint resistance in CORC coil.
Applsci 16 00529 g014
Figure 15. The influence of the uneven degree of joint resistance on the AC loss of the Cu former in CORC coil.
Figure 15. The influence of the uneven degree of joint resistance on the AC loss of the Cu former in CORC coil.
Applsci 16 00529 g015
Figure 16. AC losses generated by the HTS tapes and the Cu former under different transport current amplitudes.
Figure 16. AC losses generated by the HTS tapes and the Cu former under different transport current amplitudes.
Applsci 16 00529 g016aApplsci 16 00529 g016b
Figure 17. The superconducting characteristics of the HTS tape under different transport current amplitudes.
Figure 17. The superconducting characteristics of the HTS tape under different transport current amplitudes.
Applsci 16 00529 g017
Table 1. Geometric parameters of the single-layer CORC coil.
Table 1. Geometric parameters of the single-layer CORC coil.
ParametersValues
Number of HTS tapes per layer3
Copper former Internal diameter (mm)2.8
Copper former External diameter (mm)4.8
Coil diameter (mm)30
HTS tape Width (mm)4
HTS tape Thickness (mm)0.1
Critical current at self-field, 77 K (A)705
HTS tape pitch (mm)27.2
Winding angle (°)30

References

  1. Larbalestier, D.; Gurevich, A.; Feldmann, D.M.; Polyanskii, A. High-Tc superconducting materials for electric power applications. Nature 2001, 414, 368–377. [Google Scholar] [CrossRef]
  2. Paramane, A.; Awais, M.; Chandrasekaran, T.; Junaid, M.; Nazir, M.T.; Chen, X. A Review on Insulation and Dielectrics for High-Temperature Superconducting Cables for Power Distribution: Progress, Challenges, and Prospects. IEEE Trans. Appl. Supercond. 2023, 33, 4801831. [Google Scholar] [CrossRef]
  3. Zhang, G.; Chen, J.; Qiu, Q.; Jing, L.; Teng, Y.; Zhao, Y.; Jiang, X.; Tan, H.; Gong, M.; Li, Z.; et al. Research progress on the superconducting DC energy pipeline. Trans. China Electrotech. Soc. 2021, 36, 4389–4398+4428. [Google Scholar]
  4. Jiahui, Z.; Huifeng, L.; Xiaoyu, C. Test and Analysis on the DC and AC I-V Characteristics of High Temperature Superconducting Cable. Trans. China Electrotech. Soc. 2016, 31, 120–125. [Google Scholar]
  5. Jin, J.X. High efficient DC power transmission using high-temperature superconductors. Phys. C Supercond. 2007, 460–462, 1443–1444. [Google Scholar] [CrossRef]
  6. Takayasu, M.; Chiesa, L.; Noyes, P.D.; Minervini, J.V. Investigation of HTS Twisted Stacked-Tape Cable (TSTC) Conductor for High-Field, High-Current Fusion Magnets. IEEE Trans. Appl. Supercond. 2017, 27, 6900105. [Google Scholar] [CrossRef]
  7. Obana, T.; Terazaki, Y.; Yanagi, N.; Hamaguchi, S.; Chikaraishi, H.; Takayasu, M. Self-field measurements of an HTS twisted stacked-tape cable conductor. Cryogenics 2020, 105, 103012. [Google Scholar] [CrossRef]
  8. Cavallucci, L.; Breschi, M.; Ribani, P.L.; Pelegrin, J.; Zhang, Q.; Bailey, W.; Yang, Y. Quench Propagation at Different Conditions in an HTS Pancake Coil Wound with Roebel Cable. IEEE Trans. Appl. Supercond. 2021, 31, 4603805. [Google Scholar] [CrossRef]
  9. Grilli, F.; Vojenčiak, M.; Kario, A.; Zermeño, V. HTS Roebel Cables: Self-Field Critical Current and AC Losses Under Simultaneous Application of Transport Current and Magnetic Field. IEEE Trans. Appl. Supercond. 2016, 26, 4803005. [Google Scholar] [CrossRef]
  10. Li, X.; Xu, Y.; Ren, L.; Tang, Y.; Peng, S. Influence of non-uniform high temperature superconducting tapes on quench characteristics of CORC cable. Trans. China Electrotech. Soc. 2022, 37, 5044–5055. [Google Scholar]
  11. Tian, M.; Yang, J.; Shen, B.; Ozturk, Y.; Ma, J.; Li, C.; Hu, J.; Wei, H.; Li, J.; Coombs, T. Analysis on the Effect of Superconductor Layer Thickness on the AC Loss of Conductor on Round Core (CORC) Cables. IEEE Trans. Appl. Supercond. 2021, 31, 5901604. [Google Scholar] [CrossRef]
  12. Yagotintsev, K.; Anvar, V.A.; Gao, P.; Dhalle, M.J.; Haugan, T.J.; Van Der Laan, D.C.; Weiss, J.D.; Hossain, M.S.A.; Nijhuis, A. AC loss and contact resistance in REBCO CORC®, Roebel, and stacked tape cables. Supercond. Sci. Technol. 2020, 33, 085009. [Google Scholar] [CrossRef]
  13. Weiss, J.D.; Mulder, T.; Kate, H.J.T.; van der Laan, D.C. Introduction of CORC wires: Highly flexible, round high-temperature superconducting wires for magnet and power transmission applications. Supercond. Sci. Technol. 2017, 30, 014002. [Google Scholar] [CrossRef]
  14. Hu, R.; Yuan, Y.; Chen, Y.; Li, W.; Ye, H.; Sheng, J.; Zhao, Y.; Jin, Z. Numerical Study on Mechanical Properties of Conductors on Round Core Cables. IEEE Trans. Appl. Supercond. 2021, 31, 4801405. [Google Scholar] [CrossRef]
  15. Li, M.; Zheng, J.; Sheng, J.; Cheng, Y.; Hong, Z.; Ye, H.; Wang, X.; Liu, X.; Liu, H. Research on a novel HTS double pancake coil based on CORC: Used for kA-level SMES of accelerator. Supercond. Sci. Technol. 2022, 35, 125001. [Google Scholar] [CrossRef]
  16. van der Laan, D.C.; Weiss, J.D.; Scurti, F.; Schwartz, J. CORC® wires containing integrated optical fibers for temperature and strain monitoring and voltage wires for reliable quench detection. Supercond. Sci. Technol. 2020, 33, 085010. [Google Scholar] [CrossRef]
  17. Gao, S.Y.; Shi, S.J.; Yang, X.S.; Shen, B.Y.; Hu, X.B.; Zhu, Y.P.; Wu, B.H.; Zhao, Y. HTS conductor coil by in-situ winding technology for large-scale high-field magnet. Supercond. Sci. Technol. 2023, 36, 115029. [Google Scholar] [CrossRef]
  18. Zhao, J.; Gao, S.Y.; Wu, B.H.; Yang, X.S.; Shen, B.; Chen, W.; Zhao, Y. Effect of winding methods: Transport AC losses in CORC coils. Sci. Technol. 2022, 35, 115007. [Google Scholar] [CrossRef]
  19. Li, C.; Yang, W.; Li, Q.; Li, B.; Xin, Y.; Yang, J. Numerical study on the transport current distribution in the multi-layer CORC coil. Supercond. Sci. Technol. 2024, 37, 055013. [Google Scholar] [CrossRef]
  20. Li, G.; Li, C.; Xin, Y.; Hong, W.; Li, W.; Yang, T.; Li, B. Dynamic modelling methodology for an HTS energy converter using moving mesh. Supercond. Sci. Technol. 2021, 34, 105006. [Google Scholar] [CrossRef]
  21. Li, C.; Xing, Y.; Zhao, B.; Zhang, H.; Li, N.; Xin, Y.; Li, B. Dynamic Resistance of Series-Connected HTS Stacks Considering Electromagnetic and Thermal Coupling. IEEE Trans. Appl. Supercond. 2022, 32, 8200305. [Google Scholar] [CrossRef]
Disclaimer/Publisher’s Note: The statements, opinions and data contained in all publications are solely those of the individual author(s) and contributor(s) and not of MDPI and/or the editor(s). MDPI and/or the editor(s) disclaim responsibility for any injury to people or property resulting from any ideas, methods, instructions or products referred to in the content.

Share and Cite

MDPI and ACS Style

Cai, Y.; Li, L.; Yang, M.; Li, C. Analysis of the Electro-Magnetic Properties of CORC Coil Considering Joint Resistance. Appl. Sci. 2026, 16, 529. https://doi.org/10.3390/app16010529

AMA Style

Cai Y, Li L, Yang M, Li C. Analysis of the Electro-Magnetic Properties of CORC Coil Considering Joint Resistance. Applied Sciences. 2026; 16(1):529. https://doi.org/10.3390/app16010529

Chicago/Turabian Style

Cai, Ying, Li Li, Mingzhen Yang, and Chao Li. 2026. "Analysis of the Electro-Magnetic Properties of CORC Coil Considering Joint Resistance" Applied Sciences 16, no. 1: 529. https://doi.org/10.3390/app16010529

APA Style

Cai, Y., Li, L., Yang, M., & Li, C. (2026). Analysis of the Electro-Magnetic Properties of CORC Coil Considering Joint Resistance. Applied Sciences, 16(1), 529. https://doi.org/10.3390/app16010529

Note that from the first issue of 2016, this journal uses article numbers instead of page numbers. See further details here.

Article Metrics

Back to TopTop