Next Article in Journal
A Review of Numerical Simulation Tools for Coupling Earth’s Interior and Lithospheric Stress Fields
Previous Article in Journal
Comparative Study of Chocolate Cooling Supported by Computational Fluid Dynamics
 
 
Font Type:
Arial Georgia Verdana
Font Size:
Aa Aa Aa
Line Spacing:
Column Width:
Background:
Article

Research on Time-Domain Fatigue Analysis Method for Automotive Components Considering Performance Degradation

School of Infrastructure Engineering, Nanchang University, Nanchang 330031, China
*
Author to whom correspondence should be addressed.
Appl. Sci. 2026, 16(1), 40; https://doi.org/10.3390/app16010040
Submission received: 18 November 2025 / Revised: 16 December 2025 / Accepted: 16 December 2025 / Published: 19 December 2025

Abstract

Automotive components’ exposure to prolonged random loading not only accumulates fatigue damage but also causes material stiffness degradation. The degradation of material mechanical properties leads to stress redistribution within the structure, which in turn affects the structural fatigue life. Conventional frequency-domain fatigue life analysis methods often fail to take into account performance degradation, whereas time-domain approaches are constrained by computational inefficiency in dynamic response calculations. To address this, a time-domain fatigue life analysis is proposed, integrating Long Short-Term Memory (LSTM) networks with performance degradation modeling. First, short-term dynamic response data of engineering structures that contain stiffness degradation parameters are utilized to establish a training set, and an LSTM surrogate model is trained to rapidly predict stress responses in time- and degree-varying structural performance degradation. Second, the time-varying dynamic responses obtained from the LSTM surrogate model are related to the principles the fatigue damage accumulation and Miner’s criterion to quantify the stiffness degradation effects. A computational framework has been developed for fatigue life prediction through iterative alternation between dynamic response calculations and fatigue damage assessments. Case studies on notched plates demonstrate that the LSTM surrogate model approach ensures accuracy while reducing structural fatigue life analysis time by more than three orders of magnitude compared to the finite element method (FEM). Under the application of 20,000s random road loads, the damage value of the reinforced plate obtained by the surrogate model method that takes into account performance degradation is lower by 10–25% compared to that calculated by the frequency-domain or time-domain methods that neglect degradation.

1. Introduction

Fatigue damage inevitably accumulates in automotive components due to prolonged exposure to random vibration loading during vehicle operation. The rigorous pursuit of lightweighting in new energy vehicle development necessitates increasingly stringent accuracy requirements for component fatigue life calculations.
Under prolonged alternating loads, the progressive accumulation of fatigue damage in automotive components leads to irreversible damage in internal material microstructures, resulting in the degradation of both strength and stiffness properties [1,2,3]. The progression of fatigue damage is closely connected to material properties and loading characteristics [4]. Following established fatigue damage frameworks [5,6,7,8,9], this study focuses on the degradation of material stiffness as a key indicator for RUL prediction under cyclic loading.
Many studies have been conducted on the relationship between stiffness performance reduction and fatigue life from the perspectives of structural stiffness degradation patterns and fatigue damage models, respectively. Qi et al. [10] proposed a stiffness degradation calculation method accounting for residual strain, based on the evolution patterns of damage factors and strain that reflect the material’s dynamic constitutive relationship during the fatigue process. Gao et al. [8] proposed a fatigue damage model capable of simultaneously characterizing the degradation of both stiffness and strength properties, and conducted stiffness-lowering calculations with experimental validation under variable-amplitude cyclic loading. Pakdel and Mohammadi [11] investigated damage evolution and stiffness change in composites under loading by combining uniaxial fatigue testing with an energy-driven dual-phase power-law model. Padmaraj et al. [12] analyzed damage progression mechanisms by monitoring residual stiffness reduction during static tensile and cyclic tension–compression fatigue tests on undamaged/aged composite specimens. Although the aforementioned models can evaluate the impact of stiffness degradation on structural fatigue life, they still fail to achieve a precise prediction of fatigue life under dynamically degrading stiffness performance. For structural components subjected to long-term vibration loading, progressive degradation of material properties in localized regions is induced by cumulative damage. The degradation of localized material properties triggers stress redistribution within the structure, and the resulting stress changes further influence the structural fatigue damage process. Current studies are still lacking in fatigue damage research that integrates the dynamic degradation of mechanical properties with dynamic response analysis.
Traditional-physics-model-driven fatigue calculation methods mainly include frequency-domain methods and time-domain methods. The core methodology of frequency-domain analysis for automotive structural fatigue life [13,14,15] comprises the conversion of time-domain load spectra into frequency-domain spectra using the Fourier transform, followed by the determination of stress power spectral density (PSD) at fatigue-critical locations through frequency response analysis. Although frequency-domain fatigue analysis offers high computational efficiency, it is not suitable for solving time-varying problems related to material performance degradation during vibration fatigue. In contrast, time-domain fatigue analysis primarily employs transient dynamic methods to compute stress time-history responses at critical locations. Subsequently, the rainflow counting method is applied to process these responses, followed by fatigue life prediction using the material’s stress–life (S-N) curves and the cumulative damage law [16,17]. The time-domain method demonstrates broad applicability for vibration fatigue analysis in structures exhibiting time-varying and nonlinear phenomena, while also offering high accuracy.
In the time-domain method, the simultaneous computation of the responses at all degrees of freedom is generally required for structural transient dynamic analysis. High computational cost and low efficiency are inevitably incurred by long-duration transient dynamic calculations. However, structural fatigue life is typically determined by local critical regions, while dynamic response results from other areas remain underutilized. The surrogate model-based method enables the prediction of stress responses in critical regions of component structures by focusing on their stress response characteristics, thereby overcoming the computational efficiency limitations of time-domain fatigue analysis.
Unlike physics-based modeling approaches, data-driven deep neural network models exhibit strong capabilities in automatic feature learning and establishing complex nonlinear mappings. Such models can effectively capture complex variations inherent in nonlinear time series, consequently delivering favorable prediction results for time series forecasting [18]. Commonly employed deep neural network models for time-series forecasting include: Convolutional Neural Networks (CNN) [19], Recurrent Neural Networks (RNN), Transformer networks [18], and LSTM [20]. When handling protracted temporal sequences, CNN methods necessitate excessively deep network architectures to attain larger receptive fields, consequently demonstrating a limited ability in processing long-term sequences [18]. RNN effectively enhances prediction performance by exploiting temporal dependencies within sequential data. However, RNNs are prone to vanishing or exploding gradient phenomena during training when processing long input sequences. Transformer networks have demonstrated exceptional capability in modeling long-range dependencies across domains, including time-series forecasting. However, their computationally intensive architecture imposes substantial resource requirements, consequently limiting widespread adoption in real-time prediction scenarios [21]. Compared with a Transformer, the LSTM model achieves satisfactory time-series forecasting performance with significantly fewer parameters. Consequently, numerous studies have adopted LSTM for structural dynamic response prediction research. Zhang et al. [22] employed LSTM to predict seismic responses of building structures, validating the feasibility and accuracy of the data-driven approach through numerical and experimental cases. Gulgec et al. [23] utilized LSTM frameworks for predicting structural strain responses under multiple operational conditions. Torky et al. [24] enhanced LSTM performance by incorporating CNN, effectively addressing dynamic response prediction challenges in structures subjected to triaxial acceleration excitation. Furthermore, recent studies have extensively applied LSTM networks to fatigue analysis. For instance, Hong et al. [25] leveraged LSTM to predict fatigue life in metallic components, Demo et al. [26] utilized LSTM for fatigue damage evolution assessment in complex composite materials, and Wan et al. [27] developed a real-time fatigue monitoring system for automotive parts using LSTM-based frameworks. It can be seen that LSTM has significant advantages in accuracy and efficiency for predicting structural response. By integrating performance degradation parameters into the LSTM model, it is expected to develop a rapid prediction method for dynamic responses of automotive components that can evaluate degradation effects.
Herein, this paper develops an LSTM-based methodology for rapid fatigue life prediction incorporating degradation effects. First, the FEM is employed to compute structural responses under varying degradation patterns, and a short-term dataset is constructed to train the LSTM surrogate model. Then, the trained surrogate model is utilized to predict structural stress time-history responses under continuous degradation of elastic modulus, while continuously updating the material stiffness of local elements by combining the rainflow counting method and cumulative damage rule. Through successive iterations of response prediction and stiffness updates, the fatigue life calculation of automotive components that account for time-varying performance degradation is accomplished.

2. Fatigue Life Prediction Method for Time-Varying Structures Based on LSTM Surrogate Models

2.1. Establishment of LSTM Surrogate Model

LSTM networks effectively address the vanishing and exploding gradient problems faced by traditional RNNs in long-sequence learning by introducing a gating mechanism. Its core consists of four key components: the input gate, the forget gate, the candidate state, and the output gate, as shown in Figure 1 [28]. The forget gate f t controls the extent to which historical information is retained. Based on the current input x t and the hidden state from the previous time step h t 1 , it determines how much information from the previous memory cell state should be forgotten, thereby avoiding interference from outdated memories in current decisions. The input gate i t filters important new information using x t and h t 1 and stores it into the memory unit. The memory cell state C t acts as an information carrier, preserving effective long-term dependencies within the sequence. Finally, the output gate generates O t the final hidden state h t based on the current cell state. Through the synergistic action of the gating mechanism, LSTM can effectively capture long-term dependencies in lengthy sequence data. The trained LSTM can utilize historical excitation-stress response data to forecast subsequent stress responses.
Time-history responses for fatigue analysis incorporating performance degradation are typically acquired through transient dynamic methods. However, such transient analyses entail prohibitive computational resources and time expenditure. The fatigue life of structural components is typically determined by the localized region experiencing the most severe fatigue damage. Therefore, by focusing on the most critical localized regions as the analysis targets and constructing surrogate models trained with a limited number of samples, rapid prediction of transient dynamic responses can be achieved. To establish a long-term structural response prediction surrogate model, a canonical multi-layer LSTM neural network architecture was adopted, which includes an input layer, two sequential LSTM layers, a fully connected layer, and an output layer, as shown in Figure 2.
The structural performance degradation process exhibits dynamic evolution characteristics, and the establishment of surrogate models requires incorporating time-varying stiffness parameters as inputs. Structural performance degradation is quantified through the elastic modulus E in this investigation. By constructing E with different degradation patterns and combining it with the time-series data of an acceleration load a ( t ) , a time-series data array is generated as input for the surrogate model. The corresponding output data comprises short-term stress responses calculated through FEM analysis under these conditions.
Normalization processing is performed for both the elastic modulus and excitation loading using the Min-Max method, with the normalization formula expressed as:
X s t d = X X m i n X m a x X m i n
where X m a x and X m i n denote the maximum and minimum values in the dataset, respectively, and X s t d represents the standardized dataset. The predictive accuracy of the surrogate model is evaluated using the root mean square error (RMSE) and coefficient of determination ( R 2 ) between predictions and labels:
R M S E y ^ , y = 1 m i = 1 m y i y ^ i 2
R 2 y ^ , y = 1 i = 1 m y i y ^ i 2 i = 1 m y i y ¯ 2
where y ^ i denotes the predicted value at the i -th sampling point, total m points, y i represents the corresponding true value, and y ¯ signifies the mean value of the true sequence. Smaller RMSE values and larger R 2 values indicate superior prediction performance. Dropout regularization is implemented in the fully connected layer to prevent model overfitting and enhance generalization capability. The Adam optimization algorithm is employed for network training, enabling the trained surrogate model to predict long-term stress responses.

2.2. Research on Stiffness Degradation Law

Under sustained vibration loading, microstructural damage inevitably emerges within materials, leading to the concomitant deterioration of mechanical properties through progressive damage accumulation. The relationship between cumulative damage and ultimate tensile strength based on continuum mechanics principles, detailed as follows [29]:
σ = σ 0 1 D a
where σ denotes the residual ultimate strength of the material, σ 0 represents the initial ultimate strength. The dimensionless exponent a = γ + β + 1 / γ governs the functional form of the damage evolution law. In this expression: γ is a material constant that controls the rate of damage evolution; a larger value of γ indicates slower damage progression before reaching a critical state, typically associated with higher ductility or toughness. β is a material constant reflecting sensitivity to the stress state, with values γ = 13.96 and β = 0 for AISI 45 steel. D signifies the cumulative structural damage, for which various computational approaches have been developed [30].
The conventional Miner’s rule postulates that fatigue damage accumulation from individual stress cycles contributes additively to structural deterioration, enabling final damage estimation through linear superposition according to:
D = i = 1 n D i = i = 1 k n i / N i
where D i denotes the fatigue damage at the stress level σ i , k represents the total number of distinct stress levels, n i corresponds to the cycle count at stress level σ i , and N i signifies the fatigue life under a stress level σ i .
The linear Miner’s rule is employed as the predominant standard for preliminary fatigue assessment in aerospace and automotive engineering. Extensive validation under variable-amplitude loading conditions, particularly in automotive applications, supports its reliability. The approach’s simplicity delivers an optimal balance between predictive accuracy and computational efficiency, thereby enabling seamless integration with LSTM-based surrogate models for real-time fatigue prediction.
In solid mechanics, the relationship between ultimate tensile strength and elastic modulus for metallic steels is characterized by [31,32]:
E = λ · σ 1 3
where E denotes the Young’s modulus of the material, λ represents the correlation coefficient, and σ signifies cyclic stress amplitude.
The substitution of Equation (4) into Equation (6) yields:
E = λ σ 0 1 / 3 1 D a 1 / 3 = ( 1 D ) a / 3 · E 0
where E 0 = λ σ 0 1 / 3 .
The structural stress levels investigated in this study remain substantially below the material’s ultimate strength, where the effects of strength degradation are negligible; thus, only stiffness performance degradation is considered.

2.3. Prediction Method of Structural Fatigue Life Considering Performance Degradation

A time-varying structural fatigue life prediction method considering performance degradation was developed by integrating material stiffness degradation principles into the LSTM neural network architecture, as illustrated in Figure 3.
Initially, the construction of performance-degradation short-term duration datasets and surrogate model training are conducted. A finite element model of the component structure is established, and the regions of maximum stress within the structure are identified through frequency response analysis. These regions are subsequently designated as critical areas for structural integrity assessment. Multiple datasets of short-term stress responses with distinct degradation trends are constructed following the methodology in Section 2.1 to train the surrogate model. The predictive performance of the trained surrogate model is subsequently validated under diverse scenarios, including long-term excitation and actual degradation conditions.
Subsequently, a fatigue life analysis method for time-varying structures with performance degradation is proposed. Structural performance degradation is characterized as a dynamic and continuous process, where the proposed approach employs segmented processing of long-term load histories to systematically investigate the degradation mechanism. First, based on the initial elastic modulus—defined as the Young’s modulus of the undamaged (virgin) material, typically obtained from standard quasi-static tensile tests or material property databases—and excitation loading, the surrogate model is employed to predict the short-term stress time-history response, and the rainflow counting method is applied to perform cyclic counting on the stress time-series. Subsequently, combining the material’s S-N curve and Miner’s linear cumulative damage rule, the corresponding fatigue damage is calculated. Then, according to the performance degradation principles, the elastic modulus of the structure after initial excitation is computed, and the updated excitation load and new elastic modulus are fed into the next analysis iteration. Through iterative cycling, the study ultimately accomplishes the fatigue cumulative damage calculation for structures under long-term excitation while considering stiffness degradation states, thereby realizing the residual fatigue life prediction for time-varying structural systems.

3. Case Study Analysis

Automotive notched plates incorporating relief slots are subjected to long-term random loading, where computational accuracy of fatigue performance is critically important for structural service life and safety assurance. Herein, the notched plate is used as an example to assess the prediction efficacy evaluation of the stress-response surrogate model, and validation of the performance-degradation time-varying structural fatigue life prognostics framework is performed.

3.1. Finite Element Model of Notched Plate

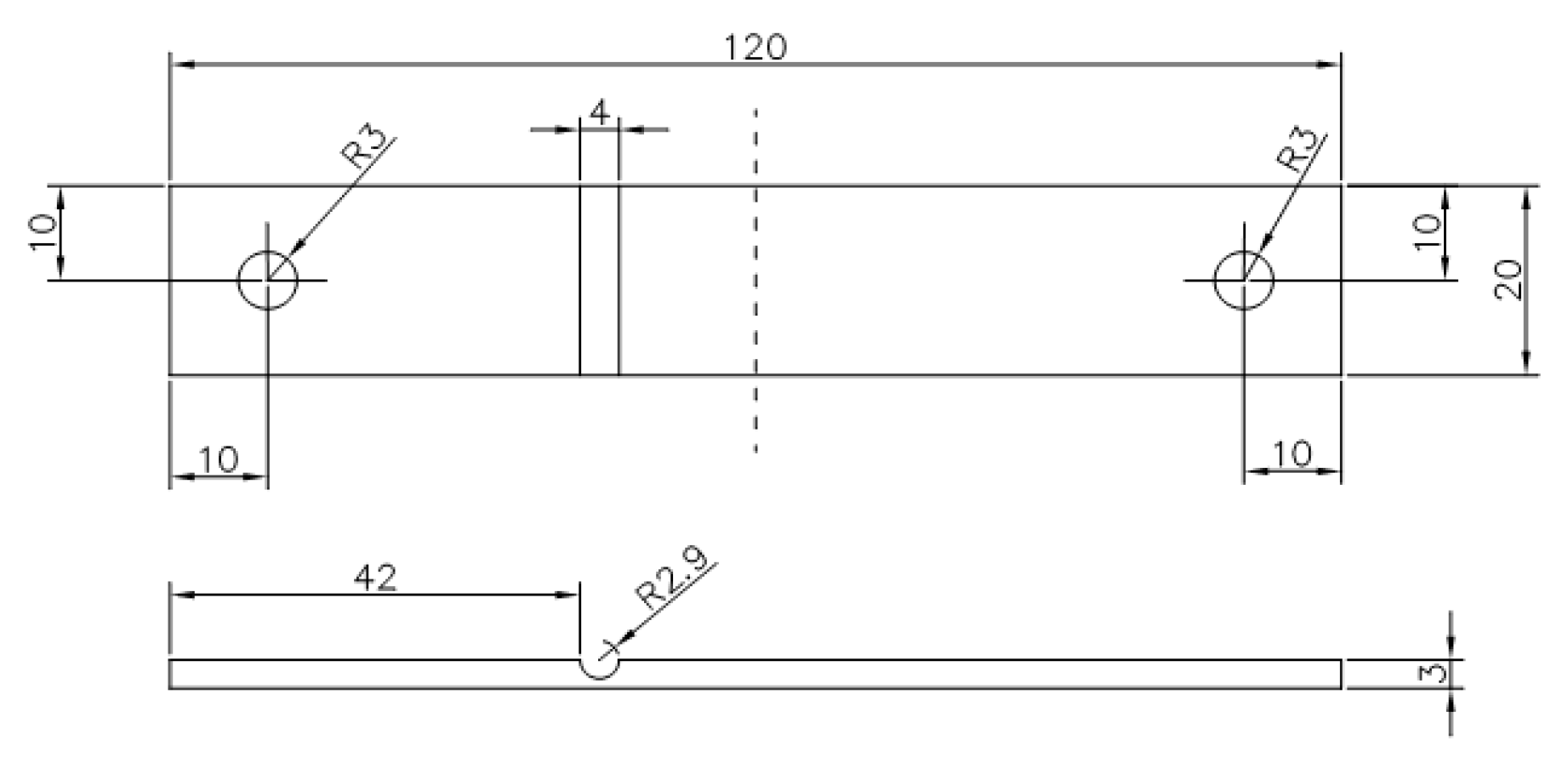
The geometric dimensions of the notched plate are illustrated in Figure 4, and the material parameters are listed in Table 1. This notched plate configuration mimics typical fatigue-critical details (e.g., mounting holes) found in automotive chassis components. The fatigue characteristics of the material are defined based on the S-N curve presented in Figure 5 [33]. The corresponding finite element model and coordinate system are shown in Figure 6. A Z-direction excitation loading was applied to the left hole, while a mass block of 0.3 kg was fixed at the right hole; the directions of the applied loads are shown in Figure 6. The finite element model adopts solid elements with local mesh refinement applied to the anticipated fatigue-prone areas (relief grooves) to ensure computational accuracy.
The critical region was identified through frequency response analysis. The notched plate was fully constrained at the left hole and subjected to a 1G acceleration excitation in the Z-direction. The results presented in Figure 7 indicate that the maximum stress occurs in the top layer of the notch defect region. Therefore, the material degradation will first appear in this area, under the assumption that the top-layer elements in the notch defect region exhibit a 20% reduction in elastic modulus. Similar frequency response analysis shows that the stresses of the same top elements decrease by more than 5% and remain the maximum stresses on the cross-section. The stiffness degradation in the top-layer elements leads to a reduction in the bending stiffness of the component cross-section and a downward shift in the neutral axis. Since the elements in the other three layers of the cross-section need to bear a greater bending moment, the stresses at the corresponding elements increase slightly, with the increase being less than 1%. Based on the variation pattern of stress in the notch defect region during the material degradation process, this paper focuses solely on the performance degradation of the top-layer elements shown in Figure 8.

3.2. Dataset Construction and Surrogate Models Training

The performance degradation of structural materials is quantified through the elastic modulus reduction. The metallic components exhibit ≤ 18% local elastic modulus degradation prior to the macrocrack initiation under cyclic stresses [34]. Consequently, the training dataset incorporates modulus reductions up to 20% to conservatively envelope the degradation scenarios. It should be noted that Young’s modulus is traditionally determined via static tensile tests on standard specimens. However, in the context of fatigue analysis, its evolution under cyclic loading serves as a critical indicator of material state degradation. The approach adopted here captures this dynamic stiffness loss, which is essential for accurately modeling the stress response in later fatigue stages. Fatigue damage accumulation necessitates stress response data of sufficient duration. Given the minimal variation in elastic modulus over short timescales, its degradation is approximated as a staged stepwise reduction. Five distinct sets of elastic modulus degradation patterns are constructed in this study. Each dataset comprises five segments with randomized reduction rates, where the elastic modulus remains constant within individual segments, as depicted in Figure 9.
To illustrate this approach, consider a representative example: a notched plate specimen subjected to variable-amplitude loading. The initial elastic modulus E 0 is derived from static material properties. As fatigue cycles accumulate, the modulus is reduced in discrete steps, reflecting the progressive loss of material stiffness. This evolving modulus directly influences the stress–strain hysteresis loop, thereby altering the stress range used in the subsequent damage calculation. Although the Palmgren–Miner (M-M) rule fundamentally accumulates damage based on loading cycles, our framework embeds the effect of the Young’s modulus degradation by dynamically updating the stress range input to the M-M rule at each degradation stage. Thus, the damage variable D implicitly accounts for the material’s changing elastic properties through its dependence on the current, degraded modulus.
A random acceleration PSD of magnitude 0.0075 g 2 / H z over the 10–80 Hz frequency range is employed. Five sets of random acceleration excitation time histories are generated via the inverse Fourier transform method [35], each with a sampling frequency of 256 Hz and a duration of 50 s. The five loading spectra and five elastic modulus sets are stochastically paired, with each modulus segment within the paired sets corresponding to a 10 s random-loading duration slice. Corresponding stress time-history responses are computed using the FEM, with Rayleigh damping employed where the structural damping ratio is set to 0.02. Four datasets are randomly selected as the training set, with one dataset allocated for validation. Both training and validation sets utilize input data structured as two-dimensional arrays comprising monotonically decreasing five-segment elastic moduli sequences and excitation loads. The output data consist of corresponding stress time-history responses, with the FEM results adopted as ground truth labels. Training is conducted using the multi-layer LSTM network model from Section 2.1, with an initial learning rate configured at 0.001 over 500 epochs.
As shown in Figure 10, predictions from the validation set are compared against ground truth labels, where waveforms exhibit fundamental consistency. For both training and validation datasets, the R 2 consistently approaches 0.997 with stable retention, demonstrating that the surrogate model achieves exceptional accuracy in predicting structural responses under elastic modulus degradation conditions.

3.3. Predictive Performance Validation of LSTM Surrogate Models

This paper will conduct a comparative analysis of surrogate model prediction performance from two perspectives: long-term stress time-history prediction and stress time-history prediction under stochastic degradation trends.
First, long-duration stress time-history response prediction was conducted. Following the methodology outlined in Section 3.2, a 240 s random acceleration load spectrum was generated while maintaining a constant elastic modulus ( E   =   210   G P a ). The trained LSTM surrogate model was then employed to predict stress responses in critical regions under load spectra of varying durations: 30 s, 60 s, …, 240 s, respectively. FEM calculations were simultaneously performed under corresponding loading conditions to generate benchmark data for comparison. As shown in Table 2, the R 2 between the stress response predictions from the LSTM surrogate model and FEM across durations ranging from 30 to 240 s demonstrates that the surrogate model’s predictive accuracy remains unaffected by prediction duration, maintaining R 2 values exceeding 0.997. The comparative analysis of structural stress time-history responses under 240 s load excitation is illustrated in Figure 11. Under prolonged excitation, the LSTM surrogate model predictions maintain a high level of agreement with FEM calculations in waveform patterns. Notably, FEM computations for 240 s load excitation required 95 h, whereas the LSTM surrogate model achieved equivalent results in merely 3 s. These results demonstrate that the surrogate model, when trained on short-duration data to predict long-duration load-induced response signals, exhibits high accuracy and a significant efficiency advantage.
To further validate the predictive efficacy of the surrogate model under stochastic degradation scenarios, two sets of elastic modulus profiles exhibiting randomized degradation trajectories were constructed, each comprising eight discrete segments, as illustrated in Figure 12. Two sets of 80 s random acceleration loading spectra were generated according to the methodology in Section 3.1, each combined with the corresponding elastic modulus degradation profiles to form input datasets. The trained surrogate model from Section 3.2 is utilized to predict stress responses for both datasets. In parallel, finite element analysis is conducted, with computational results subsequently compared against model predictions.
The R 2 between predicted and calculated results for both datasets was 0.995. The comparison of stress time histories, as shown in Figure 13 and Figure 14, indicates that the waveforms obtained from the surrogate model are in excellent agreement with those from FEM. These results demonstrate that the surrogate model can accurately predict the structural stress responses under various degradation scenarios.

3.4. Impact Analysis of Degradation Calculation Reduction Cycle on Prediction Results

The degradation of structural stiffness performance remains continuous during the initial phase of damage. This study characterizes the degradation process through a piecewise statistical approach: the long-duration loading is partitioned into N segments by defining an interval duration T , where stiffness reduction is applied only after each segment, while material properties are assumed invariant within segments. Theoretically, the LSTM-based surrogate model could represent continuous degradation by adopting a sufficiently small T . However, damage computation necessitates a minimum statistical time window, rendering T a critical computational parameter. An excessively large T may overlook short-term damage accumulation effects, thereby failing to accurately capture degradation trends; conversely, an unduly small T results in excessive segmentation, significantly increasing both the iteration count and computational cost of cumulative damage calculations.
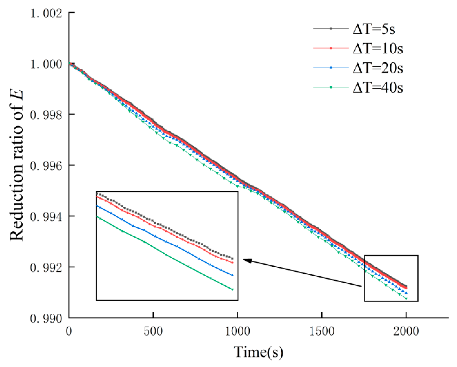
To determine the appropriate T , four different time intervals (5 s, 10 s, 20 s, and 40 s) were considered. A 2000s random road excitation was applied to the automotive notched plate with pressure relief grooves, and the elastic modulus degradation ratio of the top-layer elements over time is shown in Figure 15. From the perspective of computational accuracy, a smaller time step can better approximate the actual degradation process. The curve at T = 5 s is taken as a relatively accurate reference curve. As T continuously decreases, the degradation curves gradually narrow the gap with the reference curve when T = 10 s the difference in the elastic modulus degradation behavior becomes very small. Further comparison of the computational costs shows that the computation times T = 10 s, 20 s, and 40 s are 64%, 45%, and 36% of the computation time at T = 5 s, respectively. Considering both prediction accuracy and computational efficiency, a time interval of T = 10 s is selected for the subsequent performance degradation analysis in this study.

3.5. Validation of Fatigue Life Analysis Framework Considering Performance Degradation

This study will conduct further analysis and validation of the structural fatigue analysis framework, considering performance degradation, based on the previously trained surrogate model and degradation time intervals established in preceding sections.
The excitation load consisted of a 200 s random load, during which the structure experienced 20 degradation events. Stress response calculations were performed using the FEM with identical degradation laws, and the results were used for comparative analysis. The elastic modulus degradation ratios calculated by the surrogate model method and the finite element time-domain method were 0.9985 and 0.9984, respectively, while the cumulative damage values were 0.00256 and 0.00255, respectively. The structural degradation levels assessed by both methods demonstrated a high degree of consistency. For comparison, the stress response results after the 10th and 20th degradation events were selected. The R 2 for both datasets reached 0.999. A comparison of the stress waveforms is presented in Figure 16, showing that the waveforms of the two results are in good agreement. The FEM required 81 h to complete the full-process performance degradation analysis, while the surrogate model needed only 7 s, demonstrating the exceptionally high computational efficiency of the surrogate model approach.
These results demonstrate that the fatigue life analysis framework based on the LSTM surrogate model is capable of accurately evaluating structural performance degradation processes and enables efficient and rapid fatigue life analysis for time-varying structures.

3.6. Fatigue Life Analysis of Notched Plates Considering Performance Degradation

This section will utilize the proposed fatigue life prediction framework to analyze the stiffened panels under consideration of performance degradation. The random loads were generated using the same power spectral density magnitude, frequency range, and method as described in Section 3.2. Throughout the 20,000 s excitation period, the structure underwent a total of 1999 degradation events, resulting in a cumulative degradation ratio of 9.816% and a cumulative damage value of 0.25116.
For the same load condition, the time-history response was calculated using the LSTM surrogate model, and the structural fatigue life was computed without considering performance degradation. The calculated cumulative damage is 0.28189 for the structure. Compared to the state where performance degradation is considered, the cumulative damage value increases by 12.2%.
Further comparison is conducted utilizing frequency domain analysis. The frequency range and magnitude of the vibration in the frequency domain were consistent with the random load used in the time-domain calculation. The PSD of the structural stress response was computed through frequency response analysis, using the base acceleration PSD specified in Section 3.2. By integrating the material’s S-N curve, the cumulative fatigue damage under random vibration was evaluated using both the Lalanne method and the Dirlik method. Under 20,000 s of excitation, the cumulative damage values calculated by the two methods are 0.28365 and 0.30658, respectively. In the frequency-domain method, the cumulative damage value obtained using the Lalanne method is lower than that obtained using the Dirlik method.
The cumulative damage under identical vibration durations for different analytical methods is summarized in Table 3. The cumulative damage value obtained by the surrogate model method without considering degradation is comparable to that of the Lalanne frequency-domain method, but smaller than that of the Dirlik frequency-domain method. This, to some extent, demonstrates the effectiveness of the surrogate model-based time-domain method. Among the four methods listed in Table 3, the surrogate model method that considers performance degradation yields the smallest cumulative damage value. The reason for this is that the stress in the hazardous area will decrease due to stress redistribution, resulting in a reduction in the cumulative damage value. Fully considering the impact of structural performance degradation contributes to improving the prediction accuracy of component fatigue life.

4. Conclusions

This paper proposes a time-varying structural fatigue life analysis method that accounts for the effects of performance degradation. By fully incorporating the influence of material performance degradation on life calculation, this approach enhances the accuracy of high-precision fatigue life predictions in automotive component development. The following conclusions are drawn based on the fatigue life analysis of an automotive notched panel:
(1) Compared with the FEM, the R 2 for the stress response prediction results, under long-term load conditions and random degradation trends, all exceed 0.995. Moreover, the prediction accuracy remained stable and was not influenced by the duration of the loading. The results demonstrate that the surrogate model exhibits high accuracy in predicting both long-term stress responses and stress responses under different degradation trends.
(2) In terms of computational efficiency for time-history response analysis, the LSTM surrogate model required only 3 s to complete the response calculation under a 240 s load excitation. This is significantly less than the 95 h needed for the finite element transient dynamic calculation. When degradation was considered, the surrogate model completed the prediction for the entire degradation process under a 200 s loading condition in just 7 s, demonstrating high computational efficiency.
(3) The proposed fatigue life analysis method for automotive components takes performance degradation into account. This consideration of performance degradation enhances the prediction accuracy of component fatigue life. In the fatigue analysis case of an automotive notched plate with a relief groove under a 20,000 s random loading, the surrogate model method that accounts for performance degradation yielded the lowest cumulative damage value. Compared to the Dirlik and Lalanne frequency-domain methods, and the time-domain method that does not consider degradation, the reductions in cumulative damage were 22.1%, 12.9%, and 12.2%, respectively.
The current study acknowledges several limitations, with future work focusing on the experimental validation of the proposed methodology under practical engineering scenarios. Furthermore, leveraging the loading characteristics of automotive components, the integration of surrogate models will be pursued to investigate fatigue performance across complex component geometries and multifaceted loading conditions.

Author Contributions

Conceptualization, J.H. and C.Z.; methodology, J.H.; software, J.H.; validation, J.H., C.Z. and R.W.; formal analysis, J.H.; investigation, J.H.; resources, C.Z.; data curation, J.H. and R.W.; writing—original draft preparation, J.H.; writing—review and editing, C.Z. All authors have read and agreed to the published version of the manuscript.

Funding

This research was funded by the National Natural Science Foundation of China (52268050).

Institutional Review Board Statement

Not applicable.

Informed Consent Statement

Not applicable.

Data Availability Statement

The data presented in this study are available on request from the corresponding author. The data are not publicly available due to institutional policy and ongoing related research.

Conflicts of Interest

The authors declare no conflicts of interest.

Abbreviations

The following abbreviations are used in this manuscript:
LSTMLong short-term memory
FEMFinite element method
RULRemaining useful life
PSDPower spectral density
CNNConvolutional neural networks
RNNRecurrent neural networks

References

  1. Xiao, H.; Li, Z.-T.; Zhan, L.; Wang, S.-Y. A new and direct approach toward modeling gradual strength degradation of metal beams under cyclic bending up to fatigue failure. Multidiscip. Model. Mater. Struct. 2022, 18, 502–517. [Google Scholar] [CrossRef]
  2. Qi, W.; Yao, W.; Shen, H. A bi-directional damage model for matrix cracking evolution in composite laminates under fatigue loadings. Int. J. Fatigue 2020, 134, 105417. [Google Scholar] [CrossRef]
  3. Elenchezhian, M.R.P.; Das, P.P.; Rahman, M.; Vadlamudi, V.; Raihan, R.; Reifsnider, K. Stiffness degradation in fatigue life of composites using dielectric state variables. Compos. Struct. 2021, 273, 114272. [Google Scholar] [CrossRef]
  4. Chaboche, J.L.; Lesne, P.M.A. A non-linear continuous fatigue damage model. Fatigue Fract. Eng. Mater. Struct. 1988, 11, 1–17. [Google Scholar] [CrossRef]
  5. Guan, J.; Wang, L.; Zhang, Z.; Shi, X.; Ma, X. Fatigue crack nucleation and propagation at clustered metallic carbides in M50 bearing steel. Tribol. Int. 2018, 119, 165–174. [Google Scholar] [CrossRef]
  6. Liu, S.; Jiang, C.; Liu, X. Fatigue life prediction of metal materials based on strength degradation. J. Mech. Strength 2021, 43, 742–746. [Google Scholar]
  7. Zhang, L.; Ji, W.; Zhou, W.; Li, W.; Ren, C. Fatigue cumulative damage models based on strength degradation. Trans. Chin. Soc. Agric. Eng. 2015, 31, 47–52. [Google Scholar]
  8. Gao, J.; Zhu, P.; Yuan, Y.; Wu, Z.; Xu, R. Strength and stiffness degradation modeling and fatigue life prediction of composite materials based on a unified fatigue damage model. Eng. Fail. Anal. 2022, 137, 106290. [Google Scholar] [CrossRef]
  9. Liu, J.; Xu, Y.; Yi, X.; Wei, T. Experimental and numerical simulation study on Near-edge/On-edge Low-Velocity impact and residual compressive strength of T300/69 laminates. Compos. Struct. 2022, 280, 114887. [Google Scholar] [CrossRef]
  10. Qi, H.; Wei, W.; Sun, L. Fatigue damage accumulation model based on stiffness degradation. J. Beijing Univ. Aeronaut. Astronaut. 2004, 30, 1200–1203. [Google Scholar]
  11. Pakdel, H.; Mohammadi, B. Stiffness degradation of composite laminates due to matrix cracking and induced delamination during tension-tension fatigue. Eng. Fract. Mech. 2019, 216, 106489. [Google Scholar] [CrossRef]
  12. Padmaraj, N.H.; Vijaya, K.M.; Dayananda, P. Experimental investigation on fatigue behaviour of glass/epoxy quasi-isotropic laminate composites under different ageing conditions. Int. J. Fatigue 2021, 143, 105992. [Google Scholar] [CrossRef]
  13. Dong, Y.; Garbatov, Y.; Soares, C.G. Fatigue strength assessment of a butt-welded joint in ship structures based on time-domain strain approach. J. Ship Res. 2021, 65, 123–138. [Google Scholar] [CrossRef]
  14. Kashyzadeh, K.R.; Ghorbani, S. Comparison of some selected time-domain fatigue failure criteria dedicated for multi input random non-proportional loading conditions in industrial components. Eng. Fail. Anal. 2023, 143, 106907. [Google Scholar] [CrossRef]
  15. Yoon, M.; Kim, K.; Oh, J.E.; Lee, S.B.; Boo, K.; Kim, H. The prediction of dynamic fatigue life of multi-axial loaded system. J. Mech. Sci. Technol. 2015, 29, 79–83. [Google Scholar] [CrossRef]
  16. Braccesi, C.; Cianetti, F.; Lori, G.; Pioli, D. Random multiaxial fatigue: A comparative analysis among selected frequency and time domain fatigue evaluation methods. Int. J. Fatigue 2015, 74, 107–118. [Google Scholar] [CrossRef]
  17. Ronchei, C.; Vantadori, S.; Marciniak, Z.; Zanichelli, A.; Scorza, D. An efficient time-domain fatigue analysis and its comparison to spectral fatigue assessment for construction steel 10HNAP. Int. J. Fatigue 2022, 165, 107202. [Google Scholar] [CrossRef]
  18. Zhu, S.; Zheng, J.; Ma, Q. MR-Transformer: Multiresolution Transformer for Multivariate Time Series Prediction. IEEE Trans. Neural Netw. Learn. Syst. 2023, 36, 1171–1183. [Google Scholar] [CrossRef] [PubMed]
  19. Borovykh, A.; Bohte, S.; Oosterlee, C.W. Conditional time series forecasting with convolutional neural networks. arXiv 2017, arXiv:1703.04691. [Google Scholar]
  20. Salinas, D.; Flunkert, V.; Gasthaus, J.; Januschowski, T. DeepAR: Probabilistic forecasting with autoregressive recurrent networks. Int. J. Forecast. 2020, 36, 1181–1191. [Google Scholar] [CrossRef]
  21. Xue, Y.; Guan, S.; Jia, W. PMformer: A novel informer-based model for accurate long-term time series prediction. Inf. Sci. 2025, 690, 121586. [Google Scholar] [CrossRef]
  22. Zhang, R.; Chen, Z.; Chen, S.; Zheng, J.; Büyüköztürk, O.; Sun, H. Deep long short-term memory networks for nonlinear structural seismic response prediction. Comput. Struct. 2019, 220, 55–68. [Google Scholar] [CrossRef]
  23. Gulgec, N.S.; Takáč, M.; Pakzad, S.N. Structural sensing with deep learning: Strain estimation from acceleration data for fatigue assessment. Comput.-Aided Civ. Infrastruct. Eng. 2020, 35, 1349–1364. [Google Scholar] [CrossRef]
  24. Shin, H.; Yoon, T.; Yoon, S. Fatigue life predictor: Predicting fatigue life of metallic material using LSTM with a contextual attention model. RSC Adv. 2025, 15, 15781–15795. [Google Scholar] [CrossRef] [PubMed]
  25. Demo, L.B.; Nieduzak, T.B.; Feng, M.Q.; Aitharaju, V.R. Fatigue life prediction of self-sensing hybrid FRP composites via electrical resistance monitoring and LSTM neural network. Compos. Struct. 2025, 367, 119238. [Google Scholar] [CrossRef]
  26. Zhang, C.; Wan, R.; He, J.; Yu, J. A multiaxial fatigue life analysis method for automotive components based on LSTM-CNN. Int. J. Fatigue 2025, 199, 109062. [Google Scholar] [CrossRef]
  27. Torky, A.A.; Ohno, S. Deep learning techniques for predicting nonlinear multi-component seismic responses of structural buildings. Comput. Struct. 2021, 252, 106570. [Google Scholar] [CrossRef]
  28. Afebu, K.O.; Liu, Y.; Papatheou, E.; Guo, B. LSTM-based approach for predicting periodic motions of an impacting system via transient dynamics. Neural Netw. 2021, 140, 49–64. [Google Scholar] [CrossRef]
  29. Duan, Z.; Ou, J. Research on nonlinear fatigue cumulative damage model and strength degradation analysis of metallic materials. Chin. J. Appl. Mech. 1998, 15, 104–109. [Google Scholar]
  30. Yang, S.; Bai, C.; Yang, Q. Review on impart fatigue of metallic materials and structures. Aeronaut. Sci. Technol. 2021, 32, 1–13. Available online: http://hkkxjs.juqk.net/sell/itemid-279784.shtml (accessed on 10 December 2025).
  31. Li, G.; Li, Q. Time-Variant Reliability Theory of Engineering Structures and Its Applications; Science Press: Beijing, China, 2001; p. 159. [Google Scholar]
  32. Yan, X.; Zhao, W. Cumulative Damage-Based Stiffness Reliability Analysis of the Stochastic Structural System. Key Eng. Mater. 2006, 324, 219–222. [Google Scholar] [CrossRef]
  33. Q/BQB 420-2025; Cold Rolled Low Carbon Steel Sheet and Strip. BaoSteel Group Corporation: Shanghai, China, 2025.
  34. Yoshida, F.; Uemori, T.; Fujiwara, K. Elastic–plastic behavior of steel sheets under in-plane cyclic tension–compression at large strain. Int. J. Plast. 2002, 18, 633–659. [Google Scholar] [CrossRef]
  35. Ouelha, S.; Touati, S.; Boashash, B. An efficient inverse short-time Fourier transform algorithm for improved signal reconstruction by time-frequency synthesis: Optimality and computational issues. Digit. Signal Process. 2017, 65, 81–93. [Google Scholar] [CrossRef]
Figure 1. The inner connections of the LSTM.
Figure 1. The inner connections of the LSTM.
Applsci 16 00040 g001
Figure 2. Schematic diagram of the LSTM network architecture.
Figure 2. Schematic diagram of the LSTM network architecture.
Applsci 16 00040 g002
Figure 3. Flowchart for fatigue life prognostics of structures with time-varying local element stiffness.
Figure 3. Flowchart for fatigue life prognostics of structures with time-varying local element stiffness.
Applsci 16 00040 g003
Figure 4. Notched plate model (Unit: mm).
Figure 4. Notched plate model (Unit: mm).
Applsci 16 00040 g004
Figure 5. S-N curve of 45# steel.
Figure 5. S-N curve of 45# steel.
Applsci 16 00040 g005
Figure 6. Finite element model of the notched plate.
Figure 6. Finite element model of the notched plate.
Applsci 16 00040 g006
Figure 7. Frequency response analysis results.
Figure 7. Frequency response analysis results.
Applsci 16 00040 g007
Figure 8. Performance degradation region.
Figure 8. Performance degradation region.
Applsci 16 00040 g008
Figure 9. Combined E degradation models under different degradation laws.
Figure 9. Combined E degradation models under different degradation laws.
Applsci 16 00040 g009
Figure 10. The stress response histories of FEM and LSTM networks.
Figure 10. The stress response histories of FEM and LSTM networks.
Applsci 16 00040 g010
Figure 11. Response histories calculated by FEM and LSTM.
Figure 11. Response histories calculated by FEM and LSTM.
Applsci 16 00040 g011
Figure 12. Stochastic degradation of elastic modulus combination.
Figure 12. Stochastic degradation of elastic modulus combination.
Applsci 16 00040 g012
Figure 13. Comparative analysis of first group results.
Figure 13. Comparative analysis of first group results.
Applsci 16 00040 g013
Figure 14. Comparative analysis of second group results.
Figure 14. Comparative analysis of second group results.
Applsci 16 00040 g014
Figure 15. Elastic modulus degradation trend chart.
Figure 15. Elastic modulus degradation trend chart.
Applsci 16 00040 g015
Figure 16. Comparative analysis of validation set predicted results and ground truth labels. (a) Comparative analysis of stress response results between two groups after 10 degradation cycles. (b) Comparative analysis of stress response results between two groups after 20 degradation cycles.
Figure 16. Comparative analysis of validation set predicted results and ground truth labels. (a) Comparative analysis of stress response results between two groups after 10 degradation cycles. (b) Comparative analysis of stress response results between two groups after 20 degradation cycles.
Applsci 16 00040 g016aApplsci 16 00040 g016b
Table 1. Physical properties of material.
Table 1. Physical properties of material.
MaterialE (GPa)Poisson’s RatioDensity (kg/m3)Yield Stress (MPa)
45#steel2100.37850355
Table 2. Statistical table of R 2 for different calculation durations.
Table 2. Statistical table of R 2 for different calculation durations.
Prediction Duration/s306090120150180210240
R 2 0.997920.998650.998880.998990.999030.999030.999030.99903
Table 3. Comparison of cumulative damage values by different methods.
Table 3. Comparison of cumulative damage values by different methods.
Analytical MethodCumulative Damage ValuesRelative Error
Time domain methodLSTM surrogate model method considering stiffness degradation0.25116/
LSTM surrogate model method without considering stiffness degradation0.2818912.2%
Frequency domain methodLalanne method0.2836512.9%
Dirlik method0.3065822.1%
Disclaimer/Publisher’s Note: The statements, opinions and data contained in all publications are solely those of the individual author(s) and contributor(s) and not of MDPI and/or the editor(s). MDPI and/or the editor(s) disclaim responsibility for any injury to people or property resulting from any ideas, methods, instructions or products referred to in the content.

Share and Cite

MDPI and ACS Style

He, J.; Zhang, C.; Wan, R. Research on Time-Domain Fatigue Analysis Method for Automotive Components Considering Performance Degradation. Appl. Sci. 2026, 16, 40. https://doi.org/10.3390/app16010040

AMA Style

He J, Zhang C, Wan R. Research on Time-Domain Fatigue Analysis Method for Automotive Components Considering Performance Degradation. Applied Sciences. 2026; 16(1):40. https://doi.org/10.3390/app16010040

Chicago/Turabian Style

He, Junru, Chun Zhang, and Ruoqing Wan. 2026. "Research on Time-Domain Fatigue Analysis Method for Automotive Components Considering Performance Degradation" Applied Sciences 16, no. 1: 40. https://doi.org/10.3390/app16010040

APA Style

He, J., Zhang, C., & Wan, R. (2026). Research on Time-Domain Fatigue Analysis Method for Automotive Components Considering Performance Degradation. Applied Sciences, 16(1), 40. https://doi.org/10.3390/app16010040

Note that from the first issue of 2016, this journal uses article numbers instead of page numbers. See further details here.

Article Metrics

Back to TopTop