Next Article in Journal
Assessment of Photogrammetric Performance Test on Large Areas by Using a Rolling Shutter Camera Equipped in a Multi-Rotor UAV
Previous Article in Journal
Non-Destructive Diagnostics in the Assessment of Splice Geometry in Steel Cord Conveyor Belts
 
 
Font Type:
Arial Georgia Verdana
Font Size:
Aa Aa Aa
Line Spacing:
Column Width:
Background:
Article

VS Profile Inversion in Heterogeneous Granular Soil Deposits: Implications for Structural Design in a Study Site (Italy)

by
Ferdinando Totani
Department of Civil Construction-Architecture and Environmental Engineering, University of L’Aquila, 67100 L’Aquila, Italy
Appl. Sci. 2025, 15(9), 5032; https://doi.org/10.3390/app15095032
Submission received: 18 March 2025 / Revised: 29 April 2025 / Accepted: 30 April 2025 / Published: 1 May 2025

Abstract

Many urbanised areas of the Apennines, in Italy, have complex soil stratifications. A typical example is the outskirts of the city of L’Aquila, which is founded on highly heterogeneous soil layers and was severely affected by a strong earthquake in 2009. In such conditions, shear wave velocity profiles (VS) obtained from in situ tests such as the Seismic Dilatometer Marchetti Test (SDMT) provide reliable analyses of the local seismic response. This article presents the mono-dimensional (1D) and two-dimensional (2D) seismic response analyses conducted to characterise the soil foundation of the hospital complex and adjacent university buildings in L’Aquila before their seismic retrofitting. This study emphasises the importance of accurate soil characterisation prior to repair interventions, especially in deposits where there are VS inversions and in the presence of geometrically irregular and large structures. Under these conditions, estimating the motion amplitudes of the deposit’s higher modes beyond the fundamental level is essential in accurately characterising the seismic response, especially for buildings where higher structural modes play a significant role. The results show that approximating the VS profile with simplified procedures, as proposed by the Italian Building Code of 2018 (equivalent VS, similar to average), leads to incorrect estimates of seismic action.

1. Introduction

The evaluation of the ground response is the most common problem encountered by geotechnical earthquake engineers. These analyses are crucial for the accurate estimation of ground surface motions and depend on the geotechnical characteristics of the soil profile. In situ geotechnical parameters, particularly VS at low strain, play a critical role in determining the ground shaking intensity. VS is closely related to the material behaviour and is a key factor in constitutive modelling, especially when dealing with multilayered and coarse-grained soils [1].
The VS profile generally increases with depth; however, there are geological conditions where the velocity profile exhibits inversions, i.e., when a stiffer layer with a higher VS overlays a softer layer with a lower VS. This phenomenon has been widely observed and discussed in the literature [2,3,4,5]. It is important to note, however, that past studies have not fully addressed the complexity of all possible subsurface conditions. Most have been conducted in 1D, considering only the lithostratigraphic effects. As a result, their findings and conclusions are only applicable under such simplified conditions. These studies generally conclude that, despite their inherent complexity, geological contexts exhibiting a single VS inversion do not seem to generate significant amplification effects. However, in more complex morphological and geometric subsurface settings, where 2D effects are important, the influence of the 1D inversion of the VS profile remains a topic for further research [5].
This study contributes to expanding the knowledge in this field by analysing a real case characterised by both morphological complexity and inversions in the shear wave velocity profile. Specifically, the area on the left side of the Aterno River, in the western part of the L’Aquila city basin (Italy), where the hospital and university complexes are located, presents extensive heterometric Quaternary deposits with significant heterogeneity. These conditions, which are widespread throughout the valley of L’Aquila, require detailed seismic site response analyses, not only for the design of structures and infrastructure but also for land use planning. Such deposits consist of fine to coarse calcareous fragments, mostly a few centimetres in size, embedded in a sandy or silty matrix characterised by highly variable cementation. These materials cannot be penetrated using conventional SDMT or SCPTu techniques. Therefore, to obtain Vs profiles, a borehole must be drilled and then backfilled with sand. This procedure was first introduced by [6] and has since been further refined. Following the 2009 earthquake, the need to rapidly reconstruct the hospital imposed very strict time constraints. As a result, SDMT tests were chosen for the accurate subsoil characterisation of the site, as they proved to be both cost-effective and time-efficient. The original contributions of the field experiments provide reliable data to support numerical methodologies applied to a study site characterised by various types of velocity reversals and geometric complexity.
The aim of the present work was to investigate the effects of spatial variability in Vs and velocity inversion on the seismic site response of the studied area, based on subsurface model reconstruction. Both 1D and 2D ground response analyses were carried out to assess the influence of Vs inversion on ground shaking, in terms of transfer functions and acceleration response spectra at the ground surface. The numerical results were analysed and compared with theoretical expectations regarding site amplification and fundamental frequencies. In the study area, velocity inversion was found to affect the seismic response at the lowest frequencies—close to the fundamental frequency of the deposit (f0)—at one site. In contrast, at another location, it interacted with the complex stratigraphy and had a more pronounced impact at higher frequencies.
A brief discussion is warranted regarding the use of 3D models for this case study. While 3D numerical models are powerful tools for the analysis of large-scale geological contexts—such as whole-basin effects and fault geometries—they require spatially extensive input data. Additionally, the high computational cost of 3D modelling is often mitigated by increasing the size of the mesh elements, which in turn reduces the numerical resolution, particularly at higher frequencies. Generally, 3D models are effective only up to frequencies of 2–3 Hz, making them inefficient for the objectives of this study. Given the high resolution and accuracy of the field experimental data, it was more appropriate to apply numerical methods that could capture small-scale variations in greater detail—namely, 1D and 2D approaches.
In addition, the results were compared with theoretical models based on the assumption of an ideal viscoelastic homogeneous layer over a deformable substrate, in which the average Vs of the soil is considered. This comparison is relevant because the average velocity is similar to the equivalent shear wave velocity (VS,EQ) defined in the Italian Building Code 2018 (IBC2018). This parameter is used in simplified procedures to determine seismic action based on subsurface classification. VS,EQ is defined as the shear wave velocity of the surface deposits averaged over their total thickness, i.e., down to the seismic bedrock—typically identified as a very stiff soil or rock formation with a Vs of at least 800 m/s. In practice, VS,EQ tends to be slightly lower than the true average velocity, as it is the weighted average of the S-wave velocities in each layer from the foundation level, calculated according to the following relationship:
V S , E Q = H i = 1 n h i V s , i
where n is the number of layers identifiable in the investigated soil, each characterised by the thickness hi and the wave velocity VS,i.
However, this parameter may be unreliable, as it is often arbitrary and challenging to define the depth H of the profile. In many cases, H is established a priori—without sufficient knowledge of the actual geological setting—based on past investigations. Theoretically, H should correspond to the volume of soil significantly interacting with the structure. In seismic analysis, this ‘domain of seismic interest’ may encompass the entire valley deposit, rather than a fixed depth. In the earlier Italian Building Code (IBC2008), the reference depth was fixed at H = 30 m from the foundation level, leading to the commonly used VS,30 parameter. In contrast, IBC2018 leaves the determination of H to the discretion of the designer—hence, the ‘EQ’ (equivalent) notation. In practice, however, this often results in values that do not reflect the true seismic dimensions of complex valley systems. Under such complex subsurface conditions, simplifying the soil profile into a homogeneous model can lead to inaccurate estimates of resonance and amplification.
These considerations are especially relevant for geotechnical earthquake engineering, as they support the development of seismically sustainable design solutions for geometrically irregular buildings. In these cases, it is particularly important to characterise the seismic actions affecting not only the fundamental structural mode but also higher modes of vibration.

2. Site Investigations and Subsurface Model

To develop the geotechnical model, the area was extensively investigated through a combination of 10 boreholes—one of which reached a depth of 90 m—along with 9 SDMT tests, standard penetration tests (SPT), and seismic ambient noise measurements.
As previously described, the subsoil beneath the hill where the hospital and university complexes are located is highly complex. It consists of fine to coarse calcareous fragments of varying sizes—mostly a few centimetres—embedded in a sandy or silty matrix. This material is characterised by highly variable degrees of cementation and mechanical properties, with an overall deposit thickness of approximately 100 m. The planimetric location of the boreholes and the corresponding SDMT test locations (indicated as S) are illustrated in Figure 1.
The results of previous investigations conducted as part of the seismic microzonation study were also utilised. All surveys carried out in the area confirmed the generally coarse-grained nature of the foundation soils, as well as their pronounced heterogeneity, which is illustrated in Figure 2. The significant dispersion observed in the Vs values measured through the SDMT reflects the variability in the grain size distribution and the degree of cementation characteristic of these materials, as shown in Figure 3.
The section shown in Figure 2 reveals the greater presence of gravel in the alluvial terrace adjacent to the Aterno River. It also indicates that the lateral boundaries have been extended to three times the width of the A–A′ section and modelled as absorbent edges.
Figure 3a presents all the superimposed VS profiles from the backfilled boreholes shown in Figure 1, while Figure 3b displays only the VS profiles appropriately averaged according to the stratigraphy corresponding to the studied A–A′ section. It is important to emphasise the characteristics of the profiles within the hospital area (H): (1) S3H shows a slight inversion of VS (over −20 m); (2) S2H shows a VS increasing with depth; (3) S1H shows a shallow inversion of VS. Instead, the profiles included within the university area (U) have the following characteristics: (1) S3U shows a VS increasing with depth; (2) S1U shows a significant surface inversion for a thick layer.
In this part of the basin, most of the significant HVSR peaks—clearly attributable to the fundamental resonance frequencies (f0) of the Quaternary deposits—fall within the 0.8–1.5 Hz frequency range. Higher frequencies (5–10 Hz) are generally associated with superficial fill materials and/or sandy lime soils [7,8].
The depth of the bedrock (BR) was inferred from a well drilled in the area and was thus estimated at approximately 90 m. A VS value of 1250 m/s was assigned to the bedrock.
The mechanical and dynamical soil parameters for the geotechnical units (GUS) used for the 2D analyses are shown in Table 1. The subsurface model adopted for the 2D analyses was based on the reconstruction carried out in the preliminary 1D study shown in [9]. Moreover, the mechanical properties are based on the study by Lanzo et al., 2011 [7] of the Aterno Valley, where the proposed 2D model may be considered a benchmark for future site effect studies. This model provides the opportunity to examine site effects in areas with complex underlying geology. The study by Lanzo et al. (2011) [7] concluded that the available information adequately describes the soil layering, the soil–bedrock interface geometry, and the dynamic material properties with reasonable accuracy.

3. Ground Response Analyses and Input Motions

The earthquake-resistant design of new structures and the assessment of seismic damage in existing structures require the estimation of seismic ground motion based on design parameters, which can be refined through site-specific ground response analyses or obtained from building codes. Design parameters derived from site-specific analyses are generally more accurate than those obtained from building codes and are likely to result in more economical designs. The Italian Building Code (IBC2018) is continuously updated and improved in accordance with advancing knowledge and experience.

3.1. One-Dimensional Analyses

In this study, each Vs profile collected by the SDMT investigation was used to determine the response of these complex deposits. The computer code STRATA [14] performs an iterative 1D analysis to track the variation in the normalised shear modulus (G/G0) and damping ratio (D) values with shear strain. It assumes one-dimensional soil deposit conditions, simplifying the soil layers as horizontal and of infinite lateral extent.
Therefore, the code operates an equivalent–linear site response analysis: the nonlinear response of the soil is approximated by modifying the linear elastic properties of the soil based on the induced strain level. Since the induced strain depends on the soil properties, the strain-compatible shear modulus and damping ratio values were iteratively recalculated based on the computed strain. Simulations were conducted using the time-series method, where the input acceleration time history was provided, and the input Fourier amplitude spectrum was computed from this time series using the fast Fourier transform (FFT).
Boundary conditions were applied to the bedrock, which was modelled as an elastic base to simulate the absorption of waves reflected from the surface.

3.2. Two-Dimensional Analyses

The 2D numerical analyses of the seismic site responses were performed using the QUAD4M computer code [15]. This code is a dynamic, equivalent, linear, two-dimensional computer program. The geometry of the model was improved using a mesh of a finite number of elements with triangular and/or quadrilateral shapes interconnected at their common nodes. QUAD4M solves the elastodynamic computation of the volume wave transfer using the step-by-step integration of the accelerogram in the time domain. Seismic waves were minimised and induced by artificial reflection at the domain boundaries. The base half-space, i.e., bedrock, can be modelled as elastic, representing the response to an infinite field condition. To minimise the effects of artificial reflections from seismic waves at the lateral boundaries, the domain was laterally extended. The lateral boundaries were modelled as adsorbent, where a horizontal viscoelastic damper was applied. For numerical efficiency, the mesh was extended in two directions to further minimise the influence of reflected waves. The domains were meshed using triangular elements. In QUAD4M computation, the 2D mesh size was adapted to the velocity model (mesh adaptivity procedure) to reduce the computational cost. The maximum element size Lmax was assumed equal to
L m a x = V s f m a x   8
This wavelength corresponds to the ratio between the lowest value of VS in the model and a frequency of 10 Hz, chosen as a ‘‘compromise’’ frequency balancing the computational cost and the engineering interest.
The STRATA computer code was used to compare the results of the 1D and 2D analyses.
It is important to note that comparisons between the 1D and 2D results are not entirely unassailable, as damping is implemented differently in the two codes. In the 1D code (STRATA), damping is frequency-independent, while, in the 2D code (QUAD4M), Rayleigh damping is applied, which introduces a frequency dependence at lower frequencies.
The full Rayleigh dual-frequency control formulation allows for the adequate modelling of viscous damping that varies slightly with the frequency in the relevant frequency range (fundamental frequency and predominant frequency of the seismic input). As a result, this formulation provides a more conservative estimate of the local seismic response.

3.3. Input Motion

Figure 4 and Table 2 present the input motions, which consist of seven unscaled horizontal natural records selected from the ITACA archive [16]. The average of the selected spectra complies with the Uniform Hazard Spectrum (characterised by a return period TR = 475 years) at rock conditions referred to as subsoil class A, in the 0.1–1.5 s period range for the study area, as proposed by the IBC. Figure 5 also shows the corresponding 5% damped response spectra, including a comparison between the average input spectrum and the reference shape of the IBC. The acceptance limits chosen for the average spectrum were +30% for the upper one and −10% for the lower one, relative to the reference spectrum. The selected set of accelerograms is considered representative as it is based on the seismic hazard analysis provided by the NTC, which identifies potential seismic scenarios that may occur within a predefined time interval at the given site. Furthermore, the use of natural accelerograms (recorded) is preferred as they better reflect the seismogenic characteristics of the study area.

4. Results

The results are provided in terms of transfer functions (TFs) and elastic response spectra (SAs), shown in Figure 6 and Figure 7 for the 1D (a) and 2D (b) simulations.
As mentioned in the Introduction, further comparisons were performed between the resonance amplitudes corresponding to the fundamental and higher modes f0, f1, and f2 estimated from the 1D and 2D analyses and the theoretical ones obtained under the assumptions of an ideal viscoelastic homogeneous layer over a deformable substrate [17,18]. For the theoretical subsoil model, average parameters were assigned based on five ‘inhomogeneous’ V S ^ profiles, along with an average damping ratio D0 of 1%, as derived from the literature curves presented in Table 1.
f n = ω n 2 π = V s ^ 2 π H π 2 + n π                                   n = 0,1 , 2
( A d ) m a x , n 1 μ + 2 n 1 π 2 D           n = 1,2
μ = 1 I = ρ r V B R ρ s V S ^
In the above formulas, the total depth of the valley is denoted as H = 90 m, along with the impedance ratio μ between the bedrock (BR) and the average properties of the valley soils (S). Comparisons of f0, f1 from the 1D analyses and 2D analyses and the theoretical ones are shown in Figure 8.

5. Discussion

This section provides an interpretation of the numerical results, with a particular focus on distinguishing the effects of shear wave velocity inversions from those caused by two-dimensional stratigraphic variability. It also serves as a basis for the quantification of the seismic risk to structures and evaluation of the seismic demand in terms of ground motion.
The TFs shown in Figure 6 reveal different trends for the 1D and 2D models. In general, 1D analyses amplify peaks at higher frequencies. This effect is influenced by the magnitude of the soil D, the method by which D is implemented in the numerical code, and the level of shear deformation induced in the soil during an earthquake. For sites exhibiting velocity inversion (S3H, S1H, and S1U), 1D models yield slightly lower values (f0) than those provided by the 2D analyses. Notably, only the 2D analyses are capable of capturing the second mode frequency (f2) at two sites: S3H and S1U.
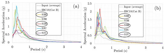
Figure 7 illustrates that the SAs obtained from both the 1D and 2D ground response analyses exceed the reference spectra defined by the IBC for subsoil category B. In addition to this general observation, it is important to analyse the five individual sites, divided between the hospital (H) and university (U) areas. Compared to 1D, the 2D analysis results in a more attenuated spectrum at low periods and shows a secondary peak around 0.6 s. S1H (shallow VS inversion): The 2D model predicts more pronounced spectral accelerations around 0.3 s. The analyses of the university area (U) show the following evidence: S3U (VS increasing with depth)—the spectral accelerations are comparable between the 1D and 2D models; S1U (significant surface inversion with a thick layer)—the 2D analysis shows stronger amplifications around 0.25 s.
Figure 8 combines the results reported in Figure 6 with the theoretical ones obtained under the assumption of an ideal viscoelastic homogeneous layer over a deformable substrate, highlighting the sites where a VS inversion was identified. Only the S1H site shows an amplitude that deviates significantly from the theoretical values in both types of numerical analysis within the fundamental frequency f0 range for the study. In the f1 frequency range, there is strong dispersion of the values, both in terms of the amplification levels and the type of numerical analysis. At the third frequency range f2, only the 2D numerical analysis is able to capture significant amplifications that exceed those in the theoretical case—but only at the two sites where a VS inversion is present.
These results are discussed in light of the relevant literature. The same authors [19] highlight that a homogeneous (i.e., simplified) equivalent profile often leads to the over- or underestimation of true amplification for vibrational modes beyond the fundamental one. The findings of this study support the need to adopt the ‘high road’—that is, using site-specific seismic response analyses and a detailed subsurface model—instead of relying on the simplified approach of NTC2018, which classifies subsurface conditions based only on average velocity values and thus tends to homogenise the subsurface.
According to [19], Figure 8 shows that, for inhomogeneous soils, the ‘equivalent’ homogeneous approximation remains a promising solution for the amplitude at f0. However, the resonant amplitudes may be significantly overestimated or underestimated when an equivalent homogeneous soil approach is used, especially at higher resonances. In this study, at the S1H site, both the frequency and amplification are inadequately estimated when ‘equivalent’ homogeneous approximations are used. This discrepancy could be due to a shallow VS inversion and/or a more complex stratigraphic relationship.
Other authors [5] show that the effect of a hard upper layer is to exert a confining influence on the soft layer below, leading to two possible outcomes: de-amplification at lower periods and more pronounced amplification at higher periods. For the purposes of this study, both 1D and 2D analyses were conducted, incorporating both lithostratigraphic effects and the complex subsurface geometry, where the influence of VS profile inversion overlaps with the morphological effects. This study confirms that there is significant ‘scattering’ along the frequency spectrum at which amplifications occur, a phenomenon that cannot be predicted a priori using simplified methods. Therefore, a detailed subsurface model is essential to reduce uncertainties in assessing the expected seismic motion at a site.
Two-dimensional analyses are particularly useful when studying site effects under complex conditions. Other authors [20,21] note that 3D geometries significantly increase the complexity of the computed ground motion, making it difficult to draw universally applicable conclusions. However, further analysis could be conducted by considering 3D effects, such as the spatial influence of individual layer shapes, deep layers (e.g., bedrock), and seismic source position modelling.
From the perspective of the buildings in the study area, it is important to consider the findings of structural studies conducted on the San Salvatore Hospital and the University of Coppito campus. Some authors [22,23] have assessed the overall condition of the hospital buildings, revealing a heterogeneous level of criticality. The building plan is highly irregular, consisting of several independent reinforced concrete substructures separated by seismic joints. Generally, the joints are designed to ensure regularity in structural rigidity and mass distribution. After the 2009 L’Aquila earthquake, in addition to limited and localised structural damage to portions of three buildings, the most significant systemic issue was with the seismic separation joints. These joints failed to function properly due to inadequate seismic design. The accurate design of seismic joints requires a detailed assessment of the displacements that may occur during a seismic event. These displacements are influenced by the seismic forces acting on the structure and the specific characteristics of the modal behaviour of both the soil and the structure. The university buildings [24] consist of six reinforced concrete substructures separated by seismic joints, and they have distinct H-shaped and C-shaped configurations. Four of the buildings are characterised by geometrical regularities, both in plan and elevation, while the two central structures exhibit higher irregularity. Numerical and experimental analyses [25] were conducted on one of the irregular buildings, revealing three main modal frequencies and shapes: the first mode is translational in the X- and Y-directions with a frequency of 2.7 Hz, and the other modes are roto-translational with frequencies ranging from 2.9 to 3.8 Hz.
The structural implications are as follows: (i) assessing the existence of so-called double resonance (i.e., between earthquake, soil, and structure); (ii) identifying structural modes higher than the first that can interact with site effects typical of deposits where morphological complexity is superimposed on velocity inversion; (iii) evaluating whether structural ageing has caused substantial frequency variations; and (iv) ensuring the adequacy of structural joints and nonstructural components where adjacent portions of buildings are present.
Finally, for very large structures, it is common for different seismic actions to occur during earthquake shaking, which consequently generates relative input motion at the foundation base.

6. Conclusions

The SDMT Vs profiles obtained in the L’Aquila area enabled the reconstruction of a reference subsurface model for 1D and 2D seismic response analyses. The site response analysis presented in this study accurately represents the complexity of the geotechnical conditions, including heterogeneous stratifications, granular deposits, and velocity inversion in the VS profiles. The SDMT Vs profiles effectively capture these variations and serve as a reliable and efficient tool to study aspects such as velocity inversion, which is still under discussion in the field.
The results show that approximating the Vs profile using the simplified procedures proposed by the 2018 Italian Building Code leads to incorrect estimates of seismic action.
During the post-event period, it is common to hear the statement, ‘the characteristics of the seismic action were unexpected’. However, before an event, it is rarely said that ‘the soil properties and a realistic subsurface model played a crucial role in understanding local amplifications and the scattered distribution of seismic effects’. For these reasons, using the subsoil category as a simplified procedure for rapid estimation may be an overly simplistic and not sufficiently rigorous approach to assessing the seismic implications for buildings. As knowledge about potential vulnerabilities continues to evolve with ongoing research and lessons learned from seismic events, hospital and university institutions should regularly reassess the condition of their buildings, taking into account complex issues like those discussed in this study.
In conclusion, to ensure the continuous performance of essential structures, it is necessary for codes to include an ‘inspection’ program that monitors their safety and provides structural corrective actions throughout the life of the structure. Such actions should be a requirement from the design stage for new projects to maximise operational continuity, thus avoiding prolonged interruptions due to post-seismic inspections.

Funding

This research received no external funding.

Institutional Review Board Statement

Not applicable

Informed Consent Statement

Not applicable

Data Availability Statement

The original contributions presented in the study are included in the article, further inquiries can be directed to the corresponding author.

Acknowledgments

The author is grateful to the Regional Hospital “S. Salvatore” and to the University of L’Aquila for providing the data required to produce this work.

Conflicts of Interest

The author declares no conflicts of interest.

References

  1. Durante, M.G.; Karamitros, D. Characterisation of shear wave velocity profiles of non-uniform bi-layer soil deposits: Analytical evaluation and experimental validation. Soil Dyn. Earthq. Eng. 2015, 75, 44–54. [Google Scholar] [CrossRef]
  2. Pehlivan, M.; Hashash, Y.J. Influence of Shear Wave Velocity Reversals on One-Dimensional Site Response of Spatially Varied Profiles. UCLA. 2023. Available online: https://escholarship.org/uc/item/0wd3x622 (accessed on 17 March 2025).
  3. Rahpeyma, S.; Halldorsson, B. Detailed site effect estimation in the presence of strong velocity reversals within a small-aperture strong-motion array in Iceland. Soil Dyn. Earthq. Eng. 2016, 89, 136–151. [Google Scholar] [CrossRef]
  4. Yagoda-Biran, G.; Kerpel, B. Never fear velocity reversals. Bull. Seismol. Soc. Am. 2017, 107, 1969–1974. [Google Scholar] [CrossRef]
  5. Fabozzi, S.; Catalano, S. Stochastic approach to study the site response in presence of shear wave velocity inversion: Application to seismic microzonation studies in Italy. Eng. Geol. 2021, 280, 105914. [Google Scholar] [CrossRef]
  6. Totani, G.; Monaco, P. VS measurements by seismic dilatometer (SDMT) in non-penetrable soils. In Proceedings of the 17th International Conference on Soil Mechanics and Geotechnical Engineering (Volumes 1, 2, 3 and 4), Reykjavík, Iceland, 1–6 September 2019; IOS Press: Amsterdam, The Netherlands, 2019; pp. 977–980. [Google Scholar] [CrossRef]
  7. Lanzo, G.; Tallini, M. The Aterno Valley strong-motion array: Seismic characterization and determination of subsoil model. Bull. Earthq. Eng. 2011, 9, 1855–1875. [Google Scholar] [CrossRef]
  8. Macerola, L.; Durante, F.; Milana, G.; Nocentini, M.; Santangelo, S.; Tallini, M. 1D and 2D seismic site response to the microzoning of pilot areas in L’aquila municipality. In Proceedings of the 4. International Workshop on Archeology, Cryptoportici, Hypogea, Geology, Geotechnics, Geophysics, Rome, Italy, 12–13 November 2016. [Google Scholar]
  9. Totani, F.; Tomei, V. SDMT VS profiles in heterogeneous granular soil deposits. In Proceedings of the 7th International Conference on Geotechnical and Geophysical Site Characterization, Barcelona, Spain, 18–21 June 2024. [Google Scholar]
  10. Rollins, K.M.; Evans, M.D. Shear modulus and damping relationships for gravels. J. Geotech. Geoenviron. Eng. 1998, 124, 396–405. [Google Scholar] [CrossRef]
  11. Modoni, G.; Gazzellone, A. Simplified theoretical analysis of the seismic response of artificially compacted gravels. In Proceedings of the 5th International Conference on Recent Advances in Geotechnical Earthquake Engineering and Soil Dynamics, San Diego, CA, USA, 26 May 2010. [Google Scholar]
  12. Darendeli, M.B. Development of a New Family of Normalized Modulus Reduction and Material Damping Curves; The University of Texas at Austin: Austin, TX, USA, 2001. [Google Scholar]
  13. de Magistris, F.S.; d’Onofrio, A. Geotechnical characterization of the Aterno valley for site response analyses. Riv. Ital. Geotec. 2013, 48, 23–43. [Google Scholar]
  14. Kottke, A.R.; Rathje, E.M. Technical Manual for Strata; Pacific Earthquake Engineering Research Center: Berkeley, CA, USA, 2009; Available online: http://peer.berkeley.edu/publications/peer_reports/reports_2008/web_PEER810_KOTTKE_Rathje.pdf (accessed on 17 March 2025).
  15. Hudson, M.; Idriss, I.M.; Beikae, M. QUAD4M—A Computer Program to Evaluate the Seismic Response of Soil Structures Using Finite Element Procedures and Incorporating a Compliant Base; University of California: Davis, CA, USA, 1994; Available online: https://nisee.berkeley.edu/elibrary/getpkg?id=QUAD4 (accessed on 17 March 2025).
  16. Luzi, L.; Hailemikael, S. ITACA (ITalian ACcelerometric Archive): A web portal for the dissemination of Italian strong-motion data. Seism. Res. Lett. 2008, 79, 716–722. [Google Scholar] [CrossRef]
  17. Roesset, J.M. Fundamentals of soil amplification. In Seismic Design for Nuclear Power Plants; Hansen, R.J., Ed.; M.I.T. Press: Cambridge, MA, USA, 1970; pp. 183–244. [Google Scholar]
  18. Kramer, S.L. Geotechnical Earthquake Engineering; Prentice Hall: Upper Saddle River, NJ, USA, 1996. [Google Scholar]
  19. Rovithis, E.N.; Parashakis, H. 1D harmonic response of layered inhomogeneous soil: Analytical investigation. Soil. Dyn. Earthq. Eng. 2011, 31, 879–890. [Google Scholar] [CrossRef]
  20. Makra, K.; Chávez-García, F.J. Parametric analysis of the seismic response of a 2D sedimentary valley: Implications for code implementations of complex site effects. Soil. Dyn. Earthq. Eng. 2005, 25, 303–315. [Google Scholar] [CrossRef]
  21. Makra, K.; Chávez-García, F.J. Site effects in 3D basins using 1D and 2D models: An evaluation of the differences based on simulations of the seismic response of Euroseistest. Bull. Earthq. Eng. 2016, 14, 1177–1194. [Google Scholar] [CrossRef]
  22. Price, H.J.; De Sortis, A. Performance of the San Salvatore Regional Hospital in the 2009 L’Aquila Earthquake. Earthq. Spectra 2012, 28, 239–256. [Google Scholar] [CrossRef]
  23. Casarotti, C.; Pavese, A. Seismic response of the San Salvatore Hospital of Coppito (L’Aquila) during the 6th April 2009 earthquake. Progett. Sismica 2009, 3, 163–176. (In Italian) [Google Scholar]
  24. Ceci, A.M.; Contento, A. Structural performance of the historic and modern buildings of the University of L’Aquila during the seismic events of April 2009. Eng. Struct. 2010, 32, 1899–1924. [Google Scholar] [CrossRef]
  25. Gattulli, V.; Franchi, F. Design and evaluation of 5G-based architecture supporting data-driven digital twins updating and matching in seismic monitoring. Bull. Earthq. Eng. 2022, 20, 4345–4365. [Google Scholar] [CrossRef]
Figure 1. Location and map of the study area with test locations (S) and A–A’ sections.
Figure 1. Location and map of the study area with test locations (S) and A–A’ sections.
Applsci 15 05032 g001
Figure 2. Geological–geotechnical study section A–A’ with soil material classification from boreholes and VS profiles from SDMT shown in Figure 3. The sites with VS inversion profiles are indicated in the circles.
Figure 2. Geological–geotechnical study section A–A’ with soil material classification from boreholes and VS profiles from SDMT shown in Figure 3. The sites with VS inversion profiles are indicated in the circles.
Applsci 15 05032 g002
Figure 3. (a) Superimposed profiles of VS measured by SDMT in backfilled boreholes and (b) profiles appropriately averaged for the A–A’ section ground response analyses (Figure 2). The sites with VS inversion profiles are indicated in the circles.
Figure 3. (a) Superimposed profiles of VS measured by SDMT in backfilled boreholes and (b) profiles appropriately averaged for the A–A’ section ground response analyses (Figure 2). The sites with VS inversion profiles are indicated in the circles.
Applsci 15 05032 g003
Figure 4. Comparison between response spectra of 7 time histories (greyscale) from ITACA selection as input motions (Table 2), average shape spectrum (continuous black line), and reference spectrum from IBC2018 for subsoil class A (dashed black line).
Figure 4. Comparison between response spectra of 7 time histories (greyscale) from ITACA selection as input motions (Table 2), average shape spectrum (continuous black line), and reference spectrum from IBC2018 for subsoil class A (dashed black line).
Applsci 15 05032 g004
Figure 5. G/G0–g and D–g curves used in the 1D and 2D numerical modelling.
Figure 5. G/G0–g and D–g curves used in the 1D and 2D numerical modelling.
Applsci 15 05032 g005
Figure 6. Average TFs for the ground response analyses at five investigation points (different colours) for (a) 1D and (b) 2D investigations. The sites with VS inversion profiles are indicated in the circles.
Figure 6. Average TFs for the ground response analyses at five investigation points (different colours) for (a) 1D and (b) 2D investigations. The sites with VS inversion profiles are indicated in the circles.
Applsci 15 05032 g006
Figure 7. Average SAs for the ground response analyses at five investigation points (different colours), SAs for average input motion (dotted black line), and IBC spectra for subsoil category B (continuous black line) for (a) 1D and (b) 2D investigations. The sites with VS inversion profiles are indicated in the circles.
Figure 7. Average SAs for the ground response analyses at five investigation points (different colours), SAs for average input motion (dotted black line), and IBC spectra for subsoil category B (continuous black line) for (a) 1D and (b) 2D investigations. The sites with VS inversion profiles are indicated in the circles.
Applsci 15 05032 g007
Figure 8. Comparison of f0, f1 from 1D analyses (green circles and squares) and 2D analyses (red circles, squares, and triangles) and theoretical ones (black circles, squares, and triangles). The inversion VS sites are indicated (full black points).
Figure 8. Comparison of f0, f1 from 1D analyses (green circles and squares) and 2D analyses (red circles, squares, and triangles) and theoretical ones (black circles, squares, and triangles). The inversion VS sites are indicated (full black points).
Applsci 15 05032 g008
Table 1. Mechanical and dynamical soil parameters of the geotechnical units.
Table 1. Mechanical and dynamical soil parameters of the geotechnical units.
GUTypeg
(KN/m3)
VS
(m/s)
D0 (%)G/G0(g) and
D(g) Curve
FM1Fill material182501Rollins (1998) [10]
FM2Fill material185001Rollins (1998) [10]
FM3Fill material183001Rollins (1998) [10]
GR1Sandy gravel 207001Modoni (2010) [11]
GR2Sandy gravel206001Modoni (2010) [11]
SL1Silty sand194001Darendeli (2001) [12]
SL1Silty sand197001Darendeli (2001) [12]
LA1Clayey deposit194001De Magistris (2013) [13]
LA2Clayey deposit198001De Magistris (2013) [13]
BRLimestone2412500.5Elastic
Table 2. Characteristics of natural accelerograms selected as input motion (A* = subsoil category A attributed based on available geological information at recording station).
Table 2. Characteristics of natural accelerograms selected as input motion (A* = subsoil category A attributed based on available geological information at recording station).
N Acc.EventDateMwEpicentral Dist.Station (Code Name)Comp.Site Class
#1Central Italy30.10.20166.522.6MZ19—Pasciano cimiteroNSA*
#2Central Italy30.10.20166.518.6ACC—AccumuliNSA*
#3Central Italy26.10.20165.910.8CLO—Castelluccio di NorciaEWA*
#4Central Italy26.10.20166.519.2MNO—MontemonacoNSA*
#5Central Italy26.10.20166.519.2MNO—MontemonacoEWA*
#6Central Italy30.10.20166.510.5T1212—AvenditaNSA*
#7Central Italy26.10.20165.427.9MZ21—Poggio VitellinoEWA*
Disclaimer/Publisher’s Note: The statements, opinions and data contained in all publications are solely those of the individual author(s) and contributor(s) and not of MDPI and/or the editor(s). MDPI and/or the editor(s) disclaim responsibility for any injury to people or property resulting from any ideas, methods, instructions or products referred to in the content.

Share and Cite

MDPI and ACS Style

Totani, F. VS Profile Inversion in Heterogeneous Granular Soil Deposits: Implications for Structural Design in a Study Site (Italy). Appl. Sci. 2025, 15, 5032. https://doi.org/10.3390/app15095032

AMA Style

Totani F. VS Profile Inversion in Heterogeneous Granular Soil Deposits: Implications for Structural Design in a Study Site (Italy). Applied Sciences. 2025; 15(9):5032. https://doi.org/10.3390/app15095032

Chicago/Turabian Style

Totani, Ferdinando. 2025. "VS Profile Inversion in Heterogeneous Granular Soil Deposits: Implications for Structural Design in a Study Site (Italy)" Applied Sciences 15, no. 9: 5032. https://doi.org/10.3390/app15095032

APA Style

Totani, F. (2025). VS Profile Inversion in Heterogeneous Granular Soil Deposits: Implications for Structural Design in a Study Site (Italy). Applied Sciences, 15(9), 5032. https://doi.org/10.3390/app15095032

Note that from the first issue of 2016, this journal uses article numbers instead of page numbers. See further details here.

Article Metrics

Back to TopTop