Research on the Strength Prediction Method of Coal and Rock Mass Based on the Signal While Drilling in a Coal Mine
Abstract
1. Introduction
2. Drilling Data Collection
2.1. Signal Acquisition Plan While Drilling
2.2. Signal Acquisition Method While Drilling
2.2.1. Sensor Configuration
2.2.2. Signal Acquisition Process
3. Signal Processing While Drilling
3.1. Data Preprocessing
3.2. Signal Filtering and Denoising
3.3. Feature Selection
4. A Coal Rock Strength Prediction Model Based on the AdaBoost Ensemble Method
4.1. Model Structure and Prediction Process
4.1.1. Principles and Basic Ideas
4.1.2. Base Learner
4.2. Model Evaluation Indicators
4.3. Model Training
5. Results and Discussion
5.1. Analysis of Experimental Results
5.2. Result Comparison and Discussion
6. Conclusions
- (1)
- This article collected data on the on-site reinforcement and support of tunnels and obtained the original operating status data of anchor rod drilling machines, providing a reliable data source for analysis and model training.
- (2)
- Using the Pauta criterion to eliminate invalid and abnormal data from the original dataset, we analyzed the relationship between the strength of the surrounding rock and the drilling data from the anchor drilling rig. Ultimately, the model was established to utilize the mean, standard deviation, and peak-to-peak values of pressure (F), torque (T), vibration (A), and rotational speed (N) in the drilling section as input features.
- (3)
- By comparing the prediction results of the SVM, decision tree, and linear base learners within the AdaBoost ensemble model, it was found that the SVM achieved the highest R2 value of 0.972. Additionally, the root mean square error (RMSE), mean absolute error (MAE), and mean absolute percentage error (MAPE) indicators exhibited the smallest values, demonstrating that the model possesses superior predictive accuracy for estimating the uniaxial compressive strength of coal and rock masses.
- (4)
- By optimizing the hyperparameter in AdaBoost model training, it is also compared with other most advanced models (CNN model, LSTM model, and RF model). The results show that the AdaBoost SVM model is superior to other models in prediction accuracy and stability, which further verifies its superiority in practical application.
- (5)
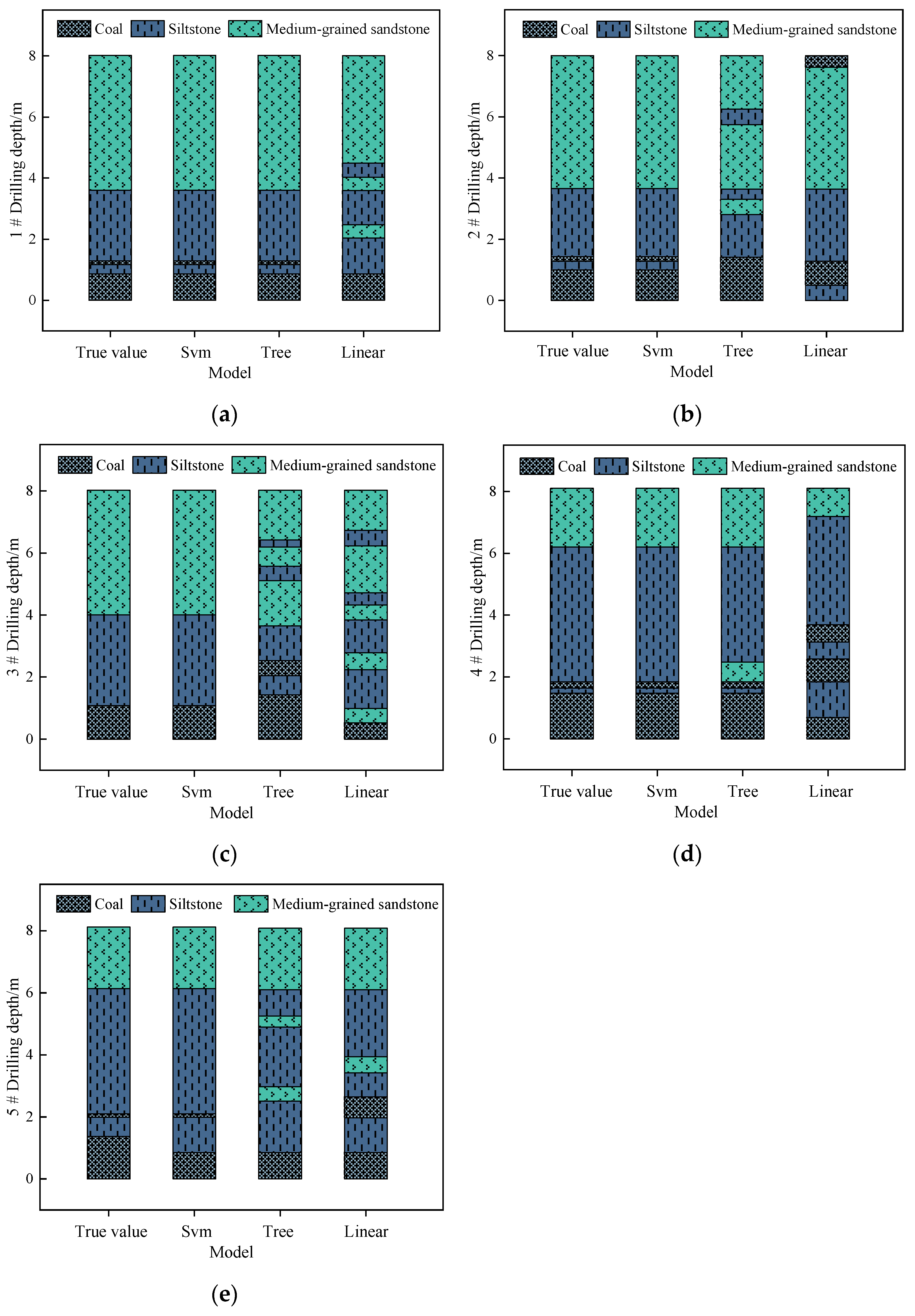
- Comparing the three types of models that classify predicted values into specific rock types, the SVM model, the tree model, and the linear model demonstrate prediction accuracies of 98.8%, 85.4%, and 75.6%, respectively. This indicates that the AdaBoost ensemble algorithm utilizing SVM-based learners achieves the highest prediction accuracy.
Author Contributions
Funding
Institutional Review Board Statement
Informed Consent Statement
Data Availability Statement
Conflicts of Interest
References
- Wang, H.; Chen, M.J.; Zhang, X.F. Twenty years of development and the prospect of rapid coal mine roadway excavation in China. J. China Coal Soc. 2024, 49, 1199–1213. [Google Scholar]
- Wang, Q.; Sun, H.B.; Jiang, B.; Gao, S.; Li, S.C.; Gao, H.K. A method for predicting uniaxial compressive strength of rock mass based on digital drilling test technology and support vector machine. Rock Soil Mech. 2019, 40, 1221–1228. [Google Scholar]
- Al–Shuker, N.; Kirby, C.; Brinsdon, M. The application of real-time downhole drilling dynamic signatures as a possible early indicator of lithology changes. In Proceedings of the SPE/DGS Saudi Arabia Section Technical Symposium and Exhibition, Al-Khobar, Saudi Arabia, 15–18 May 2011; Society of Petroleum Engineers: Richardson, TX, USA, 2011. SPE–149056–MS. [Google Scholar]
- Li, X. Intelligent Identification Technology While Drilling for Roof Rock Strength of Coal Mine Roadway. Master’s Thesis, China University of Mining and Technology, Xuzhou, China, 2022. [Google Scholar]
- Jahed Armaghani, D.; Tonnizam Mohamad, E.; Hajihassani, M.; Yagiz, S.; Motaghedi, H. Application of several non-linear prediction tools for estimating the uniaxial compressive strength of granitic rocks and comparison of their performances. Eng. Comput. 2016, 32, 189–206. [Google Scholar] [CrossRef]
- Li, W.; Tan, Z.Y. Comparison on Rock Strength Prediction Models Based on MLR and LS-SVM. Min. Res. Dev. 2016, 36, 37–40. [Google Scholar]
- Heidari, M.; Mohseni, H.; Jalali, S.H. Prediction of Uniaxial Compressive Strength of Some Sedimentary Rocks by Fuzzy and Regression Models. Geotech. Geol. Eng. 2018, 36, 401–412. [Google Scholar] [CrossRef]
- Ding, Z.W.; Zhang, C.F.; Huang, X.; Liu, Q.S.; Liu, B.; Gao, F.; Li, L.; Liu, Y.X. Recognition method of coal-rock reflection spectrum using wavelet scattering transform and bidirectional long short-term memory. Rock Mech. Rock Eng. 2024, 57, 1353–1374. [Google Scholar] [CrossRef]
- Jalali, S.H.; Heidari, M.; Mohseni, H. Comparison of models for estimating the uniaxial compressive strength of some sedimentary rocks from Qom Formation. Environ. Earth Sci. 2017, 76, 753. [Google Scholar] [CrossRef]
- Ding, C.; Zhao, M.; Lin, J. Sparse feature extraction based on periodical convolutional sparse representation for fault detection of rotating machinery. Meas. Sci. Technol. 2021, 32, 015008. [Google Scholar] [CrossRef]
- Yue, Z.W.; Dai, S.Q.; Li, Y.; Yue, X.L.; Li, S.H.; Cao, W. The drilling parameter acquisition system of hydraulic anchor drilling rig in coal mine roadways and its application. J. Min. Sci. Technol. 2023, 8, 66–73. [Google Scholar]
- Zhang, Y.Z.; Zhang, N.; Shao, J.J.; Zhong, Z.C. Fuzzy identification of coal-bearing strata lithology based on drilling parameter clustering. J. China Coal Soc. 2019, 44, 2328–2335. [Google Scholar]
- Wang, J. Research on coal-rock interface recognition system based on drilling parameters. Coal Geol. Explor. 2023, 51, 72–80. [Google Scholar]
- Wu, S.C.; Wang, Y.C.; Zhang, J.H. Study on Prediction Method of Uniaxial Compressive Strength of Rocks Based on Stacking Ensemble Algorithm. Min. Res. Dev. 2022, 42, 105–111. [Google Scholar]
- Wu, L.Y.; Li, J.H.; Ma, D.; Wang, Z.F.; Zhang, J.W.; Yuan, C.; Feng, Y.; Li, H. Prediction for Rock Compressive Strength Based on Ensemble Learning and Bayesian Optimization. Earth Sci. 2023, 48, 1686–1695. [Google Scholar]
- Wang, S.; Lai, K.; Zhang, Z.; Bai, J.; Luo, Z.B.; Li, B.L.; Zhang, J. Intelligent lithology prediction method based on vibration signal while drilling and deep learning. Coal Geol. Explor. 2023, 51, 51–63. [Google Scholar]
- Zhang, Z.Y.; Li, H.; Lei, Z.; Liu, H.S.; Zhang, Y.F. Research on lightweight lithology intelligent recognition system incorporating attention mechanism. Appl. Sci. 2022, 12, 10918. [Google Scholar] [CrossRef]
- Lei, S.; Kang, H.P.; Gao, F.Q.; Zhang, X. Point load strength test of fragile coal samples and predictive analysis of uniaxial compressive strength. Coal Sci. Technol. 2019, 47, 107–113. [Google Scholar]
- Liu, H.Q.; Liu, J.K.; Hao, J.; Zhao, L.J.; Tang, J.Q. Modeling study of uniaxial compressive strength prediction from similar analog drilling test signals. Coal Sci. Technol. 2024, 1–14. [Google Scholar]
- Hao, J.; Liu, H.Q.; Liu, J.K.; Lyu, J.Q.; Zheng, Y.N.; Liu, J.R. Experimental study of rock uniaxial compressive strength prediction with drilling based on vibration signals. Chin. J. Rock Mech. Eng. 2024, 43, 1406–1424. [Google Scholar]
- Yue, X.; Huang, D.; Yue, Z.; Zhao, J. Using drilling noise and vibration signals for rock layer identification: A study on layered rock samples with weak interlayers. Bull. Eng. Geol. Environ. 2025, 84, 133. [Google Scholar] [CrossRef]
- Stehlíková, B.; Bogdanovská, G.; Flegner, P.; Frančáková, R.; Drančák, L. The Proposal of a Method for Rock Classification Using a Vibration Signal Propagated during the Rotary Drilling Process. Appl. Sci. 2023, 13, 11315. [Google Scholar] [CrossRef]
- Bai, J.; Wang, S.; Xu, Q.; Luo, Z.; Zhang, Z.; Lai, K.; Wu, J. Intelligent real-time predicting method for rock characterization based on multi-source information integration while drilling. Bull. Eng. Geol. Environ. 2023, 82, 150. [Google Scholar] [CrossRef]
- Zhan, R.; Zhang, B.; Liu, L.; Huan, C.; Zhao, D.; Xi, H. An improved equivalent heat capacity method to simulate and optimize latent thermal energy storage units. Int. J. Heat Mass Transf. 2024, 235, 126135. [Google Scholar] [CrossRef]










| Technical Parameter | Range | Unit |
|---|---|---|
| Working air pressure | 0.4~0.63 | MPa |
| Rated air pressure | 0.5 | MPa |
| Rated speed | 440 | r/min |
| Rated torque | 35 | N·m |
| Stall torque | 55 | N·m |
| Gas consumption | 4 | M3/min |
| Flushing water pressure | 0.6~1.2 | MPa |
| Overall weight | 13.5 | kg |
| Lithology | Average Uniaxial Compressive Strength/MPa |
|---|---|
| Coal | 9.7 |
| Siltstone | 22.1 |
| Medium-grained sandstone | 38.6 |
| Index | Rotational Speed | Pressure | Torque | Vibration | Inclination Angle | Speed | Uniaxial Compressive Strength |
|---|---|---|---|---|---|---|---|
| Rotational speed | 1 | ||||||
| Pressure | 0.461 | 1 | |||||
| Torque | 0.557 | 0.247 | 1 | ||||
| Vibration | 0.396 | 0.321 | 0.204 | 1 | |||
| Inclination angle | 0.124 | 0.442 | 0.316 | 0.106 | 1 | ||
| Speed | 0.276 | 0.117 | 0.281 | 0.256 | 0.182 | 1 | |
| Uniaxial compressive strength | 0.314 | 0.429 | 0.610 | 0.326 | 0.088 | 0.124 | 1 |
| Base Learner | R2 | MAE | RMSE | MAPE |
|---|---|---|---|---|
| Tree | 0.806 | 2.801 | 5.146 | 12.270% |
| SVM | 0.972 | 1.717 | 1.940 | 8.145% |
| Linear | 0.451 | 9.107 | 16.512 | 55.744% |
| Predicted Value Range/MPa | Classification Value/MPa | Lithology |
|---|---|---|
| 0~15 | 9.7 | Coal |
| 16~29 | 22.1 | Siltstone |
| 30~43 | 38.6 | Medium-grained sandstone |
Disclaimer/Publisher’s Note: The statements, opinions and data contained in all publications are solely those of the individual author(s) and contributor(s) and not of MDPI and/or the editor(s). MDPI and/or the editor(s) disclaim responsibility for any injury to people or property resulting from any ideas, methods, instructions or products referred to in the content. |
© 2025 by the authors. Licensee MDPI, Basel, Switzerland. This article is an open access article distributed under the terms and conditions of the Creative Commons Attribution (CC BY) license (https://creativecommons.org/licenses/by/4.0/).
Share and Cite
Yang, Z.; Liu, H.; Ding, Z. Research on the Strength Prediction Method of Coal and Rock Mass Based on the Signal While Drilling in a Coal Mine. Appl. Sci. 2025, 15, 4427. https://doi.org/10.3390/app15084427
Yang Z, Liu H, Ding Z. Research on the Strength Prediction Method of Coal and Rock Mass Based on the Signal While Drilling in a Coal Mine. Applied Sciences. 2025; 15(8):4427. https://doi.org/10.3390/app15084427
Chicago/Turabian StyleYang, Zheng, Hongtao Liu, and Ziwei Ding. 2025. "Research on the Strength Prediction Method of Coal and Rock Mass Based on the Signal While Drilling in a Coal Mine" Applied Sciences 15, no. 8: 4427. https://doi.org/10.3390/app15084427
APA StyleYang, Z., Liu, H., & Ding, Z. (2025). Research on the Strength Prediction Method of Coal and Rock Mass Based on the Signal While Drilling in a Coal Mine. Applied Sciences, 15(8), 4427. https://doi.org/10.3390/app15084427

