Thermoluminescence Properties of Plagioclase Mineral and Modelling of TL Glow Curves with Artificial Neural Networks
Abstract
1. Introduction
2. Materials and Methods
3. Results and Discussions
3.1. Scanning Electron Microscope and Energy Dispersive X-Ray Spectroscopy Analysis
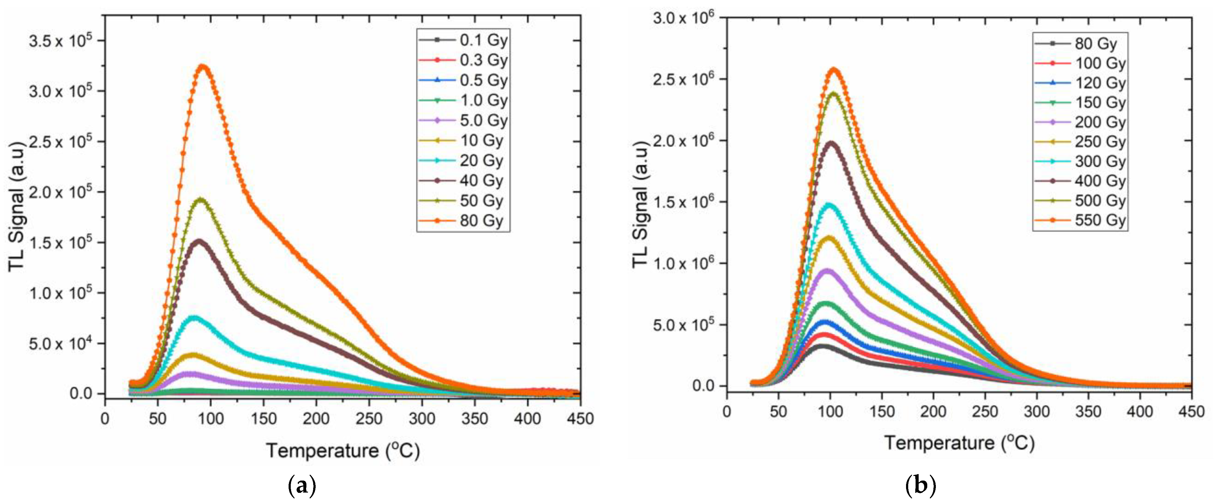
3.2. Dose Response
3.3. Glow Curve Analysis
3.4. Artificial Neural Network (ANN)
3.4.1. Dataset
3.4.2. Performance Evaluation of the ANN Model
3.4.3. ANN Architecture and Training Parameters
3.4.4. Training Results and Visualization
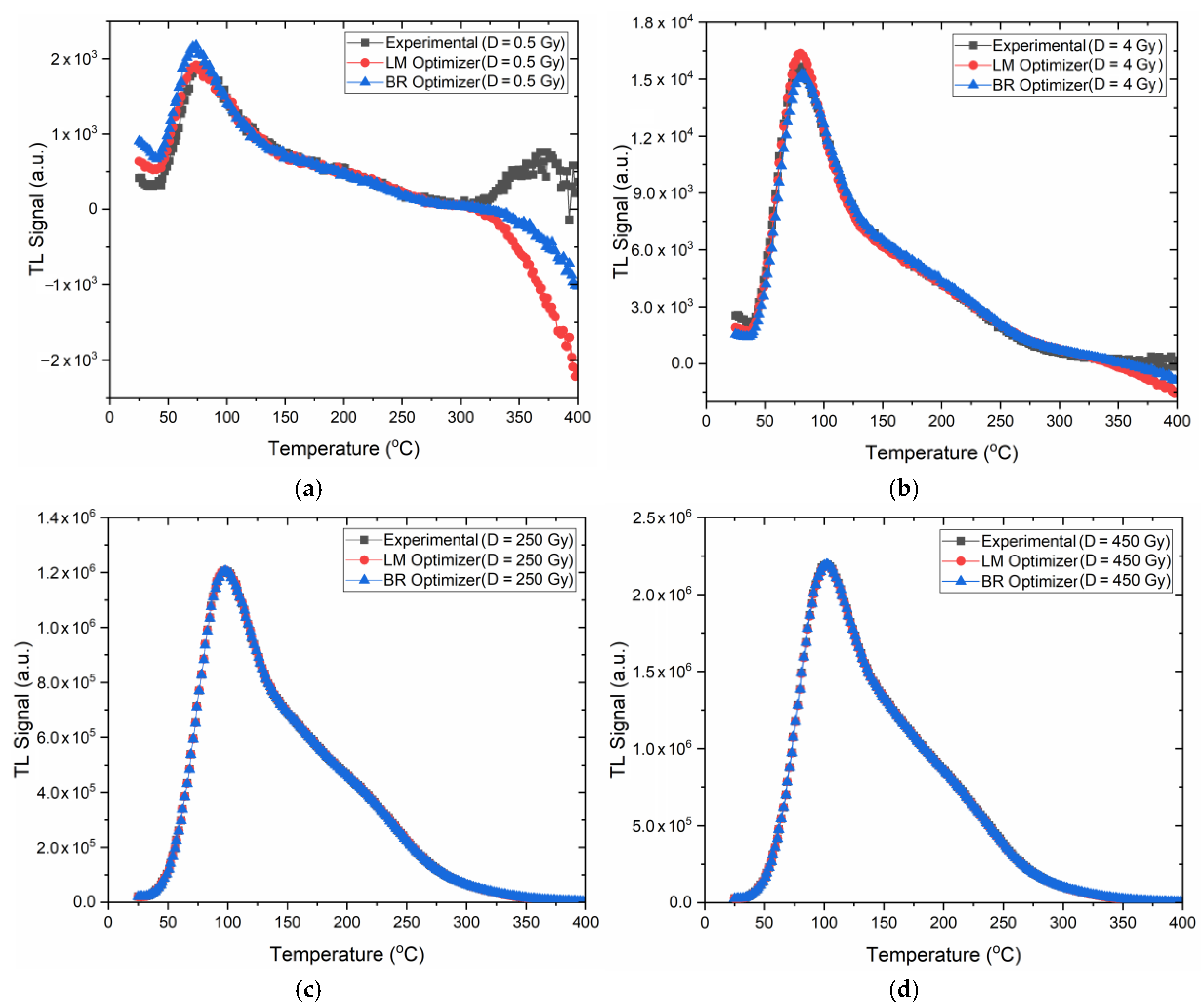
3.4.5. Comparison of Experimental Data with ANN Predicted Data
4. Conclusions
- When the TL response of the mineral to ionizing radiation was evaluated, it was revealed that it showed a linear dose response in the dose range of 0.3 to 550 Gy.
- The TL glow curve of the mineral consists of five different TL glow peaks—in other words, TL glow peaks corresponding to five different electron traps—in accordance with general order kinetics.
- These glow peaks forming the TL glow curve have activation energies (trap depth) of 0.842, 0.848, 0.852, 0.852, 0.857, and 0.890 eV corresponding to temperatures of 83, 112, 163, 216, and 277 °C, respectively.
- Among the optimization algorithms tested, it can be said that the BR algorithm is the most suitable optimization algorithm that can be used in the prediction of TL glow curves obtained at different radiation doses of plagioclase mineral.
- Although the LM algorithm is advantageous in terms of fast convergence and high precision on small datasets, its tendency toward overfitting requires additional refinement techniques.
- Although SCG is computationally efficient, it requires longer training times and larger training sets to achieve optimum accuracy.
- Unlike LM and SCG, BR emerged as the most appropriate choice in this study by establishing a good balance between bias and variance and was able to produce reliable results in wide dose ranges thanks to its high generalization performance.
Author Contributions
Funding
Institutional Review Board Statement
Informed Consent Statement
Data Availability Statement
Acknowledgments
Conflicts of Interest
Abbreviations
| ANN | Artificial neural network |
| BR | Bayesian Regularization |
| CGCD | Computerized glow curve deconvolution |
| EDS | Energy Dispersive X-ray Spectroscopy |
| FOM | Figure of merit |
| LM | Levenberg–Marquardt |
| MAE | Mean Absolute Error |
| MSE | Mean Squared Error |
| SCG | Scaled Conjugate Gradient |
| SEM | Scanning Electron Microscope |
| TL | Thermoluminescence |
References
- McKeever, S.W.S. Thermoluminescence of Solids; Cambridge University Press: Cambridge, UK, 1985; ISBN 9780521368117. [Google Scholar]
- Chen, R.; McKeever, S.W.S. Theory of Thermoluminescence and Related Phenomena; World Scientific: Singapore, 1997; ISBN 978-981-02-2295-6. [Google Scholar]
- Bøtter-Jensen, L.; McKeever, S.W.S.; Wintle, A.G. Optically Stimulated Luminescence Dosimetry; Elsevier: Amsterdam, The Netherlands, 2003; ISBN 978-0444506849. [Google Scholar]
- Pagonis, V.; Kitis, G.; Furetta, C. Numerical and Practical Exercises in Thermoluminescence. In Numerical and Practical Exercises in Thermoluminescence; Springer: New York, NY, USA, 2006; pp. 1–208. [Google Scholar] [CrossRef]
- Wazir-ud-Din, M.; ur-Rehman, S.; Mahmood, M.M.; Ahmad, K.; Hayat, S.; Siddique, M.T.; Kakakhel, M.B.; Mirza, S.M. Computerized Glow Curve Deconvolution (CGCD): A Comparison Using Asymptotic vs Rational Approximation in Thermoluminescence Kinetic Models. Appl. Radiat. Isot. 2022, 179, 110014. [Google Scholar] [CrossRef]
- Yüksel, M.; Dogan, T.; Balci-Yegen, S.; Akca, S.; Portakal, Z.G.; Kucuk, N.; Topaksu, M. Heating Rate Properties and Kinetic Parameters of Thermoluminescence Glow Curves of La-Doped Zinc Borate. Radiat. Phys. Chem. 2018, 151, 149–155. [Google Scholar] [CrossRef]
- Furetta, C. Handbook of Thermoluminescence; World Scientific: Singapore, 2003; ISBN 978-981-238-240-5. [Google Scholar]
- Amit, G.; Datz, H. Improvement of Dose Estimation Process Using Artificial Neural Networks. Radiat. Prot. Dosim. 2019, 184, 36–43. [Google Scholar] [CrossRef] [PubMed]
- Lotfalizadeh, F.; Faghihi, R.; Bahadorzadeh, B.; Sina, S. Unfolding Neutron Spectra from Simulated Response of Thermoluminescence Dosimeters inside a Polyethylene Sphere Using GRNN Neural Network. J. Instrum. 2017, 12, T07007. [Google Scholar] [CrossRef]
- Isik, E.; Isik, I.; Toktamis, H. Analysis and Estimation of Fading Time from Thermoluminescence Glow Curve by Using Artificial Neural Network. Radiat. Eff. Defects Solids 2021, 176, 765–776. [Google Scholar] [CrossRef]
- Toktamis, D.; Er, M.B.; Isik, E. Classification of Thermoluminescence Features of the Natural Halite with Machine Learning. Radiat. Eff. Defects Solids 2022, 177, 360–371. [Google Scholar] [CrossRef]
- Theinert, R.; Kröninger, K.; Lütfring, A.; Mender, S.; Mentzel, F.; Walbersloh, J. Fading Time and Irradiation Dose Estimation from Thermoluminescent Dosemeters Using Glow Curve Deconvolution. Radiat. Meas. 2018, 108, 20–25. [Google Scholar] [CrossRef]
- Dogan, T. A Comparison of the Use of Artificial Intelligence Methods in the Estimation of Thermoluminescence Glow Curves. Appl. Sci. 2023, 13, 13027. [Google Scholar] [CrossRef]
- Kitis, G.; Pagonis, V. On the Need for Deconvolution Analysis of Experimental and Simulated Thermoluminescence Glow Curves. Materials 2023, 16, 871. [Google Scholar] [CrossRef]
- Kröninger, K.; Mentzel, F.; Theinert, R.; Walbersloh, J. A Machine Learning Approach to Glow Curve Analysis. Radiat. Meas. 2019, 125, 34–39. [Google Scholar] [CrossRef]
- Li, D.; Zhao, H.; Xie, H.; Khormali, F.; Sun, A.; Zhang, S. Influence of Na-Feldspar Grains within the K-Feldspar Fraction on Sediments IRSL Dating. Quat. Int. 2024, 698, 49–58. [Google Scholar] [CrossRef]
- Larsen, E.; Johannessen, N.E.; Kowalczuk, P.B.; Kleiv, R.A. Selective Flotation of K-Feldspar from Na-Feldspar in Alkaline Environment. Min. Eng 2019, 142, 105928. [Google Scholar] [CrossRef]
- Aydın, Ş.N. Petrology of Akçataş Granite (Nevşehir) in the Middle Anatolian Massive. Bull. Miner. Res. Explor. 1991, 112, 58. [Google Scholar]
- Chung, K.S.; Choe, H.S.; Lee, J.I.; Kim, J.L.; Chang, S.Y. A Computer Program for the Deconvolution of Thermoluminescence Glow Curves. Radiat. Prot. Dosim. 2005, 115, 343–349. [Google Scholar] [CrossRef] [PubMed]
- Chung, K.S.; Choe, H.S.; Lee, J.I.; Kim, J.L. A New Method for the Numerical Analysis of Thermoluminescence Glow Curve. Radiat. Meas. 2007, 42, 731–734. [Google Scholar] [CrossRef]
- de Jesús Rubio, J. Stability Analysis of the Modified Levenberg–Marquardt Algorithm for the Artificial Neural Network Training. IEEE Trans. Neural Netw. Learn. Syst. 2021, 32, 3510–3524. [Google Scholar] [CrossRef]
- Makomere, R.; Rutto, H.; Koech, L.; Banza, M. The Use of Artificial Neural Network (ANN) in Dry Flue Gas Desulphurization Modelling: Levenberg–Marquardt (LM) and Bayesian Regularization (BR) Algorithm Comparison. Can. J. Chem. Eng. 2023, 101, 3273–3286. [Google Scholar] [CrossRef]
- Lek, S.; Park, Y.S. Artificial Neural Networks. In Encyclopedia of Ecology, Five-Volume Set; Elsevier: Amsterdam, The Netherlands, 2008; Volume 1–5, pp. 237–245. [Google Scholar]
- Foresee, F.D.; Hagan, M.T. Gauss-Newton Approximation to Bayesian Learning. In Proceedings of the International Conference on Neural Networks (ICNN’97), Houston, TX, USA, 9–12 June 1997; IEEE: Houston, TX, USA, 1997; Volume 3, pp. 1930–1935. [Google Scholar]
- Møller, M.F. A Scaled Conjugate Gradient Algorithm for Fast Supervised Learning. Neural Netw. 1993, 6, 525–533. [Google Scholar] [CrossRef]
- Babani, L.; Jadhav, S.; Chaudhari, B. Scaled Conjugate Gradient Based Adaptive ANN Control for SVM-DTC Induction Motor Drive. In Proceedings of the Artificial Intelligence Applications and Innovations, Thessaloniki, Greece, 16–18 September 2016; Iliadis, L., Maglogiannis, I., Eds.; Springer International Publishing: Cham, Switzerland, 2016; pp. 384–395. [Google Scholar]
- Guérin, G. Some Aspects of Phenomenology and Kinetics of High Temperature Thermoluminescence of Plagioclase Feldspars. Radiat. Meas. 2006, 41, 936–941. [Google Scholar] [CrossRef]
- Balian, H.G.; Eddy, N.W. Figure-of-Merit (FOM), an Improved Criterion over the Normalized Chi-Squared Test for Assessing Goodness-of-Fit of Gamma-Ray Spectral Peaks. Nucl. Instrum. Methods 1977, 145, 389–395. [Google Scholar] [CrossRef]
- Sunta, C.M.; Ayta, W.E.F.; Chubaci, J.F.D.; Watanabe, S. General Order and Mixed Order Fits of Thermoluminescence Glow Curves—A Comparison. Radiat. Meas. 2002, 35, 47–57. [Google Scholar] [CrossRef]
- Mandowski, A.; Bos, A.J.J. Explanation of Anomalous Heating Rate Dependence of Thermoluminescence in YPO4:Ce3+, Sm3+ Based on the Semi-Localized Transition (SLT) Model. Radiat. Meas. 2011, 46, 1376–1379. [Google Scholar] [CrossRef]
- Sature, K.R.; Patil, B.J.; Dahiwale, S.S.; Bhoraskar, V.N.; Dhole, S.D. Development of Computer Code for Deconvolution of Thermoluminescence Glow Curve and DFT Simulation. J. Lumin. 2017, 192, 486–495. [Google Scholar] [CrossRef]
- Burch, W.M. Thermoluminescence, Low Radiation Dosage and Black-Body Radiation. Phys. Med. Biol. 1967, 12, 523. [Google Scholar] [CrossRef]
- Liu, F.; Liang, Y.; Chen, Y.; Pan, Z. Divalent Nickel-Activated Gallate-Based Persistent Phosphors in the Short-Wave Infrared. Adv. Opt. Mater. 2016, 4, 562–566. [Google Scholar] [CrossRef]
- Sakr, E.; Bermel, P. Angle-Selective Reflective Filters for Exclusion of Background Thermal Emission. Phys. Rev. Appl. 2017, 7, 44020. [Google Scholar] [CrossRef]










| Step | Treatment | Observed |
|---|---|---|
| 1 | Preheat (up to 450 °C) | - |
| 2 | TL measurement (up to 450 °C) | First background TL data |
| 3 | Give radiation dose 1 | - |
| 4 | TL measurement (up to 450 °C) | TL data |
| 5 | TL measurement (up to 450 °C) | Background TL data |
| 6 | Return to Step 3 | - |
| Peaks | TM (°C) | E (eV) | s (s−1) | b | FOM (%) | Deviation |
|---|---|---|---|---|---|---|
| P1 | 83 | 0.842 | 3.08 × 1012 | |||
| P2 | 112 | 0.848 | 2.23 × 1014 | |||
| P3 | 163 | 0.852 | 8.08 × 1013 | 1.5 | 0.867 | 0.016 |
| P4 | 216 | 0.857 | 2.15 × 1012 | |||
| P5 | 277 | 0.890 | 1.65 × 1012 |
| Parameter | Value | Description |
|---|---|---|
| Input Layer | 1 neuron | Represents the dose values |
| Hidden Layers | 2 hidden layers [8,16] neurons | Number of neurons in the two hidden layers |
| Output Layer | 221 neurons | TL glow curves |
| Training Algorithm | LM, BR, and SCG | Optimization algorithms |
| Epochs | 1000 | Maximum number of training iterations |
| Learning Rate | 0.001 | Step size for weight updates |
| Minimum Gradient | 10−7 | Stopping criteria to avoid overcomputation |
| Max Fail | 15 | Early stopping mechanism |
| Algorithm | MAE | MSE | R2 Score |
|---|---|---|---|
| LM | 8.45 × 10−4 | 6.00 × 10−6 | 0.99895 |
| BR | 2.34 × 10−3 | 3.82 × 10−5 | 0.99915 |
| SCG | 1.45 × 10−2 | 6.78 × 10−4 | 0.71337 |
Disclaimer/Publisher’s Note: The statements, opinions and data contained in all publications are solely those of the individual author(s) and contributor(s) and not of MDPI and/or the editor(s). MDPI and/or the editor(s) disclaim responsibility for any injury to people or property resulting from any ideas, methods, instructions or products referred to in the content. |
© 2025 by the authors. Licensee MDPI, Basel, Switzerland. This article is an open access article distributed under the terms and conditions of the Creative Commons Attribution (CC BY) license (https://creativecommons.org/licenses/by/4.0/).
Share and Cite
Yüksel, M.; Ünsal, E. Thermoluminescence Properties of Plagioclase Mineral and Modelling of TL Glow Curves with Artificial Neural Networks. Appl. Sci. 2025, 15, 4260. https://doi.org/10.3390/app15084260
Yüksel M, Ünsal E. Thermoluminescence Properties of Plagioclase Mineral and Modelling of TL Glow Curves with Artificial Neural Networks. Applied Sciences. 2025; 15(8):4260. https://doi.org/10.3390/app15084260
Chicago/Turabian StyleYüksel, Mehmet, and Emre Ünsal. 2025. "Thermoluminescence Properties of Plagioclase Mineral and Modelling of TL Glow Curves with Artificial Neural Networks" Applied Sciences 15, no. 8: 4260. https://doi.org/10.3390/app15084260
APA StyleYüksel, M., & Ünsal, E. (2025). Thermoluminescence Properties of Plagioclase Mineral and Modelling of TL Glow Curves with Artificial Neural Networks. Applied Sciences, 15(8), 4260. https://doi.org/10.3390/app15084260

