Using the Newmark Sliding Block Method to Construct the Empirical Model of Permanent Displacement for Earthquake-Induced Landslides in China
Abstract
1. Introduction
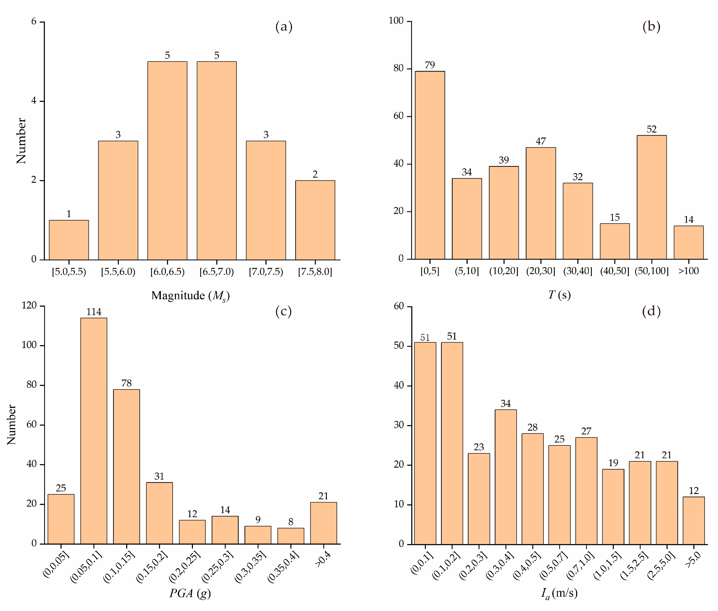
2. Time-History Records
3. Parameters and Existing Model
3.1. Model Parameters
3.2. Permanent Displacement Calculation
3.3. Current Empirical Model
4. Result and Discussion
5. Sensitivity Analysis
6. Discussion and Conclusions
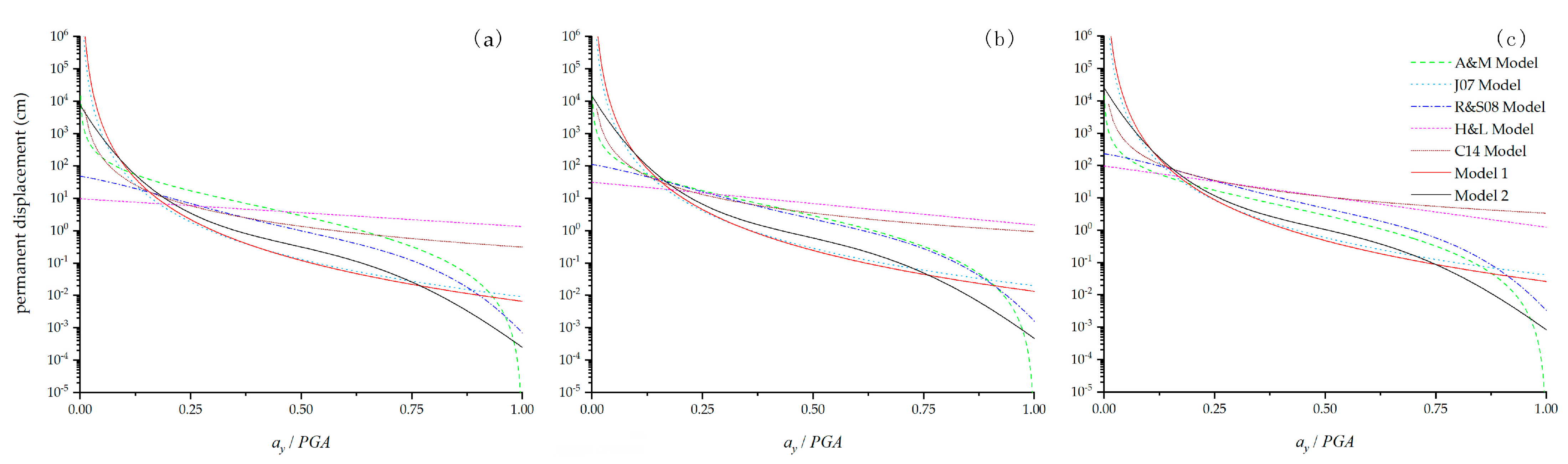
- Based on the J07 and R&S08 Models, empirical models (Model 1 and Model 2) for predicting the permanent displacements of earthquake-induced landslide in China were developed through regression analysis. The standard deviation of log(u) of Model 1 is 0.540, with an R2 of 0.866. The standard deviation of log(u) and R2 of Model 2 are 0.410 and 0.923, respectively, indicating a better fitness than Model 1.
- The residuals of permanent displacement in Model 1 display an approximate normal distribution with Arias intensity and show a nonlinear relationship with the yield acceleration ratio. This nonlinearity can be effectively mitigated by including higher-order terms for the yield acceleration ratio, as seen in Model 2.
- Comparisons between Model 1, Model 2, and other classical models (Equations (3)–(7)) reveal that both Model 1 and Model 2 predictions lie within the ranges of the remaining models, demonstrating strong applicability.
Author Contributions
Funding
Data Availability Statement
Acknowledgments
Conflicts of Interest
References
- Zhang, P.; Deng, Q.; Zhang, G.; Ma, J.; Gan, W.; Min, W.; Mao, F.; Wang, Q. Active tectonic blocks and strong earthquakes in the continent of China. Sci. China Ser. D Earth Sci. 2003, 46, 13–24. [Google Scholar] [CrossRef]
- Liu, L.; Zhao, D.S.; Zhu, Y.; Zheng, D. Spatiotemporal characteristics of earthquake hazard losses in mainland China during 1993–2017. J. Nat. Disasters 2021, 30, 14–23. [Google Scholar] [CrossRef]
- Yin, Y.; Wang, F.; Sun, P. Landslide hazards triggered by the 2008 Wenchuan earthquake, Sichuan, China. Landslides 2009, 6, 139–152. [Google Scholar] [CrossRef]
- Chen, T.; Zheng, T.Y. Review of earthquake damage losses in mainland China in 2015. J. Catastrophology 2016, 31, 133–137. [Google Scholar] [CrossRef]
- Yin, Y.P. Researches on the geo-hazards triggered by Wenchuan earthquake, Sichuan. J. Eng. Geol. 2008, 16, 433–444, (In Chinese with English abstract). [Google Scholar]
- Utili, S.; Abd, A.H. On the stability of fissured slopes subject to seismic action. Int. J. Numer. Anal. Methods Geomech. 2016, 40, 785–806. [Google Scholar] [CrossRef]
- Yan, Z.F.; Deng, Y.H.; He, J.; Xuan, Y.; Wu, W. A Pseudodynamic Approach of Seismic Active Pressure on Retaining Walls Based on a Curved Rupture Surface. Math. Probl. Eng. 2020. [Google Scholar] [CrossRef]
- Jibson, R.W. Predicting earthquake-induced landslide displacements using Newmark's sliding block analysis. Transp. Res. Rec. 1993, 1411, 9–17. [Google Scholar]
- Wieczorek, G.F.; Wilson, R.C.; Harp, E.L. Map Showing Slope Stability During Earthquakes in San Mateo County, California (1257E). IMAP 1985, Issue. Available online: https://pubs.usgs.gov/publication/i1257E (accessed on 6 June 2024).
- Keefer, D.K.; Wilson, R.C. Predicting earthquake-induced landslides, with emphasis on arid and semi-arid environments. Inland Geol. Soc. 1989, 2, 118–149. [Google Scholar]
- Newmark, N.M. Effects of Earthquakes on Dams and Embankments. Geotechnique 1965, 15, 139–160. [Google Scholar] [CrossRef]
- Franklin, A.G.; Chang, F.K. Earthquake Resistance of Earth and Rock-Fill Dams; Miscellaneous Paper; US Army Corps of Engineers Waterways Experiment Station: Vicksburg, MS, USA, 1977; Volume S-71-17, 59p.
- Lin, J.S.; Whitman, R.V. Earthquake Induced Displacements of Sliding Blocks. J. Geotech. Eng. 1986, 112, 44–59. [Google Scholar] [CrossRef]
- Ambraseys, N.N.; Menu, J.M. Earthquake induced ground displacements. Earthq. Eng. Struct. Dyn. 1988, 16, P985–P1006. [Google Scholar] [CrossRef]
- Ambraseys, N.N.; Srbulov, M. Attenuation of earthquake-induced ground displacements. Earthq. Eng. Struct. Dyn. 1994, 23, 467–487. [Google Scholar] [CrossRef]
- Sarma, S.K. Seismic stability of earth dams and embankments. Geotechnique 1975, 25, 743–761. [Google Scholar] [CrossRef]
- Kramer, S.L. Modified Newmark Model for Seismic Displacements of Compliant Slopes. J. Geotech. Geoenvironmental Eng. 1997, 123, 635–644. [Google Scholar] [CrossRef]
- Bandini, V.; Biondi, G.; Cascone, E.; Rampello, S. A GLE-based model for seismic displacement analysis of slopes including strength degradation and geometry rearrangement. Soil Dyn. Earthq. Eng. 2015, 71, 128–142. [Google Scholar] [CrossRef]
- Shinoda, M. Seismic stability and displacement analyses of earth slopes using non-circular slip surface. Soils Found. 2015, 55, 227–241. [Google Scholar] [CrossRef]
- Rathje, E.M.; Antonakos, G. A unified model for predicting earthquake-induced sliding displacements of rigid and flexible slopes. Eng. Geol. 2011, 122, 51–60. [Google Scholar] [CrossRef]
- Stamatopoulos, C.A.; Di, B.F.; Sidiropoulos, P.; Stamatopoulou, M. The seismic displacement of a block sliding on an inclined plane with resistance varying with the distance moved. Soil Dyn. Earthq. Eng. 2018, 114, 69–84. [Google Scholar] [CrossRef]
- Hsieh, S.Y.; Lee, C.T. Empirical estimation of the Newmark displacement from the Arias intensity and critical acceleration. Eng. Geol. 2010, 122, 34–42. [Google Scholar] [CrossRef]
- Chen, X.L.; Liu, C.G.; Yu, L.; Lin, C.X. Critical acceleration as a criterion in seismic landslide susceptibility assessment. Geomorphology 2014, 217, 15–22. [Google Scholar] [CrossRef]
- Chousianitis, K.; Gaudio, V.D.; Kalogeras, I.; Ganas, A. Predictive model of Arias intensity and Newmark displacement for regional scale evaluation of earthquake-induced landslide hazard in Greece. Soil Dyn. Earthq. Eng. 2014, 65, 11–29. [Google Scholar] [CrossRef]
- Saygili, G.; Rathje, E.M. Empirical predictive models for earthquake-induced sliding displacements of slopes. J. Geotech. Geoenviron. Eng. 2008, 134, 790–803. [Google Scholar] [CrossRef]
- Wang, Y.B.; Rathje, E.M. Probabilistic seismic landslide hazard maps including epistemic uncertainty. Eng. Geol. 2015, 196, 313–324. [Google Scholar] [CrossRef]
- Du, W.Q.; Wang, G. A one-step Newmark displacement model for probabilistic seismic slope displacement hazard analysis. Eng. Geol. 2016, 205, 12–23. [Google Scholar] [CrossRef]
- Cui, S.H.; Pei, X.J.; Huang, R.Q.; Zhu, L.; Yang, H.; Liang, Y.; Zhu, C. The analysis of seismic induced progressive instability and failure mechanisms: A case study. Int. J. Rock Mech. Min. Sci. 2024, 174, 105646. [Google Scholar] [CrossRef]
- Du, G.; Zhang, Y.; Zou, L.; Yang, Z.; Yuan, Y.; Ren, S. Co-seismic landslide hazard assessment of the 2017 Ms 6.9 Milin earthquake, Tibet, China, combining the logistic regression–information value and Newmark displacement models. Bull. Eng. Geol. Environ. 2022, 81, 446. [Google Scholar]
- Gupta, K.; Satyam, N.; Gupta, V. Probabilistic assessment of seismically triggered landslide hazard for Uttarakhand (India) in the Western Himalayas. Nat. Hazards 2023, 118, 669–689. [Google Scholar] [CrossRef]
- Shinoda, M.; Miyata, Y. Regional landslide susceptibility following the Mid NIIGATA prefecture earthquake in 2004 with NEWMARK’S sliding block analysis. Landslides 2017, 14, 1887–1899. [Google Scholar] [CrossRef]
- Keefer, D.K. Landslides caused by earthquakes. GSA Bull. 1984, 95, 406–421. [Google Scholar]
- Lee, J.H.; Ahn, J.K.; Park, D.H. Prediction of seismic displacement of dry mountain slopes composed of a soft thin uniform layer. Soil Dyn. Earthq. Eng. 2015, 79, 5–16. [Google Scholar] [CrossRef]
- Arias, A. Arias, A. A Measure of Earthquake Intensity. In Seismic Design for Nuclear Power Plants; Massachusetts Institute of Technology Press: Cambridge, MA, USA, 1970; pp. 438–483. [Google Scholar]
- Jibson, R.W. Regression models for estimating coseismic landslide displacement. Eng. Geol. 2007, 91, 209–218. [Google Scholar] [CrossRef]
- Jibson, R.W.; Harp, E.L.; Michael, J.M. A Method for Producing Digital Probabilistic Seismic Landslide Hazard Maps: An Example from the Los Angeles, California Area; Open-File Report; US Geological Survey: Washington, DC, USA, 1998; pp. 98–113. [Google Scholar]
- Fotopoulou, S.D.; Pitilakis, K.D. Predictive relationships for seismically induced slope displacements using numerical analysis results. Bull. Earthq. Eng. 2015, 13, 3207–3238. [Google Scholar] [CrossRef]
- Du, W.Q. Effects of directionality and vertical component of ground motions on seismic slope displacements in Newmark sliding-block analysis. Eng. Geol. 2018, 239, 13–21. [Google Scholar] [CrossRef]









Disclaimer/Publisher’s Note: The statements, opinions and data contained in all publications are solely those of the individual author(s) and contributor(s) and not of MDPI and/or the editor(s). MDPI and/or the editor(s) disclaim responsibility for any injury to people or property resulting from any ideas, methods, instructions or products referred to in the content. |
© 2025 by the authors. Licensee MDPI, Basel, Switzerland. This article is an open access article distributed under the terms and conditions of the Creative Commons Attribution (CC BY) license (https://creativecommons.org/licenses/by/4.0/).
Share and Cite
Liu, F.; Qian, F.; Liu, J.; Guo, C.; Liu, H.; Deng, Y.; Zhang, M. Using the Newmark Sliding Block Method to Construct the Empirical Model of Permanent Displacement for Earthquake-Induced Landslides in China. Appl. Sci. 2025, 15, 4152. https://doi.org/10.3390/app15084152
Liu F, Qian F, Liu J, Guo C, Liu H, Deng Y, Zhang M. Using the Newmark Sliding Block Method to Construct the Empirical Model of Permanent Displacement for Earthquake-Induced Landslides in China. Applied Sciences. 2025; 15(8):4152. https://doi.org/10.3390/app15084152
Chicago/Turabian StyleLiu, Feng, Faqiao Qian, Jie Liu, Chihui Guo, Hao Liu, Yahong Deng, and Maosheng Zhang. 2025. "Using the Newmark Sliding Block Method to Construct the Empirical Model of Permanent Displacement for Earthquake-Induced Landslides in China" Applied Sciences 15, no. 8: 4152. https://doi.org/10.3390/app15084152
APA StyleLiu, F., Qian, F., Liu, J., Guo, C., Liu, H., Deng, Y., & Zhang, M. (2025). Using the Newmark Sliding Block Method to Construct the Empirical Model of Permanent Displacement for Earthquake-Induced Landslides in China. Applied Sciences, 15(8), 4152. https://doi.org/10.3390/app15084152

