Synergistic Preparation and Mechanistic Investigation of Full Industrial Solid Waste-Based Cementitious Materials for Aeolian Sand Stabilization
Abstract
1. Introduction
2. Materials and Methods
2.1. Materials
2.2. Specimen Design
2.3. Specimen Preparation
2.4. UCS Test
2.5. X-ray Diffraction Analysis
2.6. Scanning Electron Microscope
2.7. Thermogravimetric Analysis and Differential Scanning Calorimetry
3. Results and Analysis
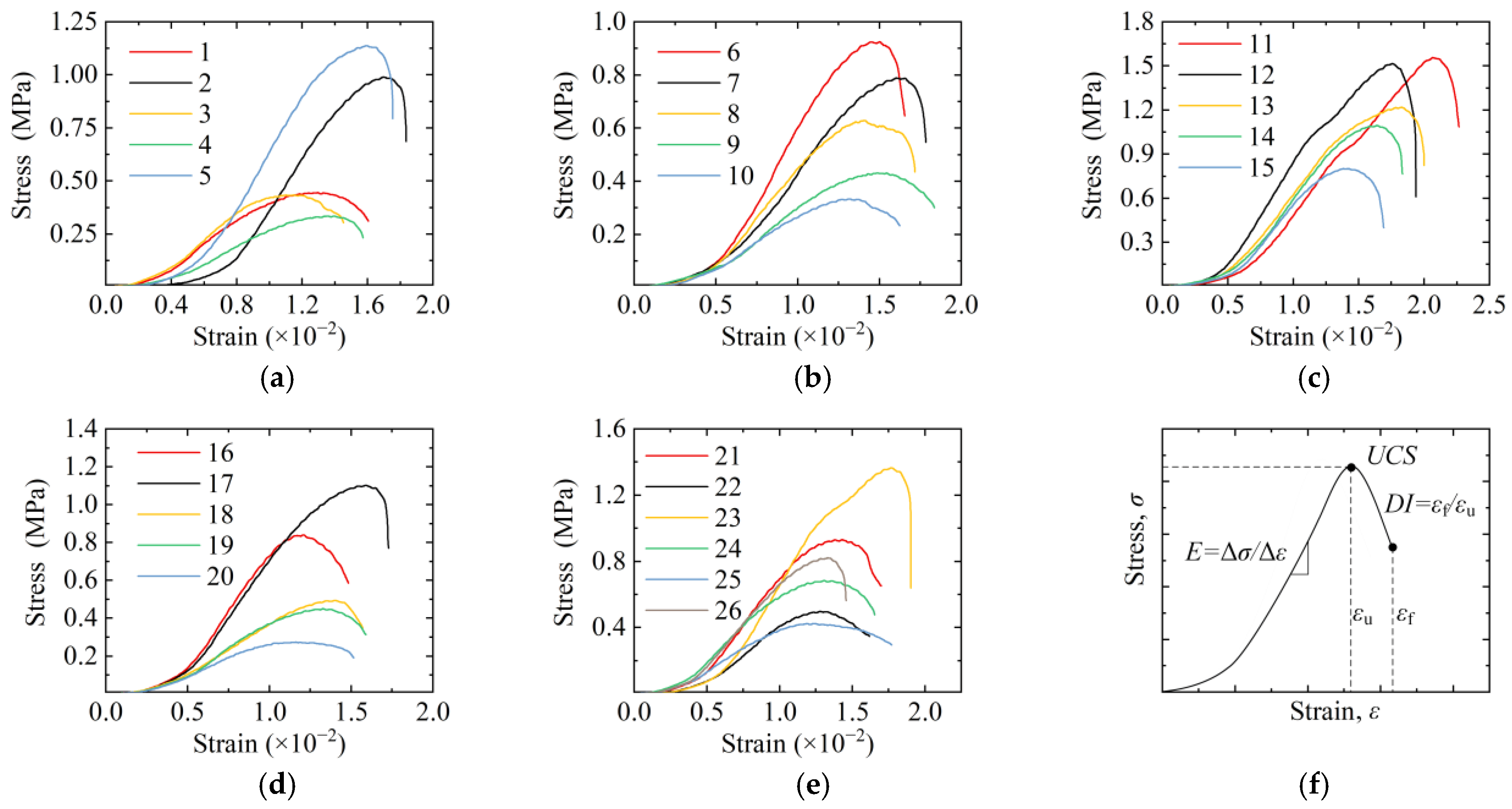
3.1. Stress–Strain Response
3.2. Effect of Proportion of ISWs on UCS and the Optimal Proportion
3.3. Mechanical Properties of Stabilized Aeolian Sand
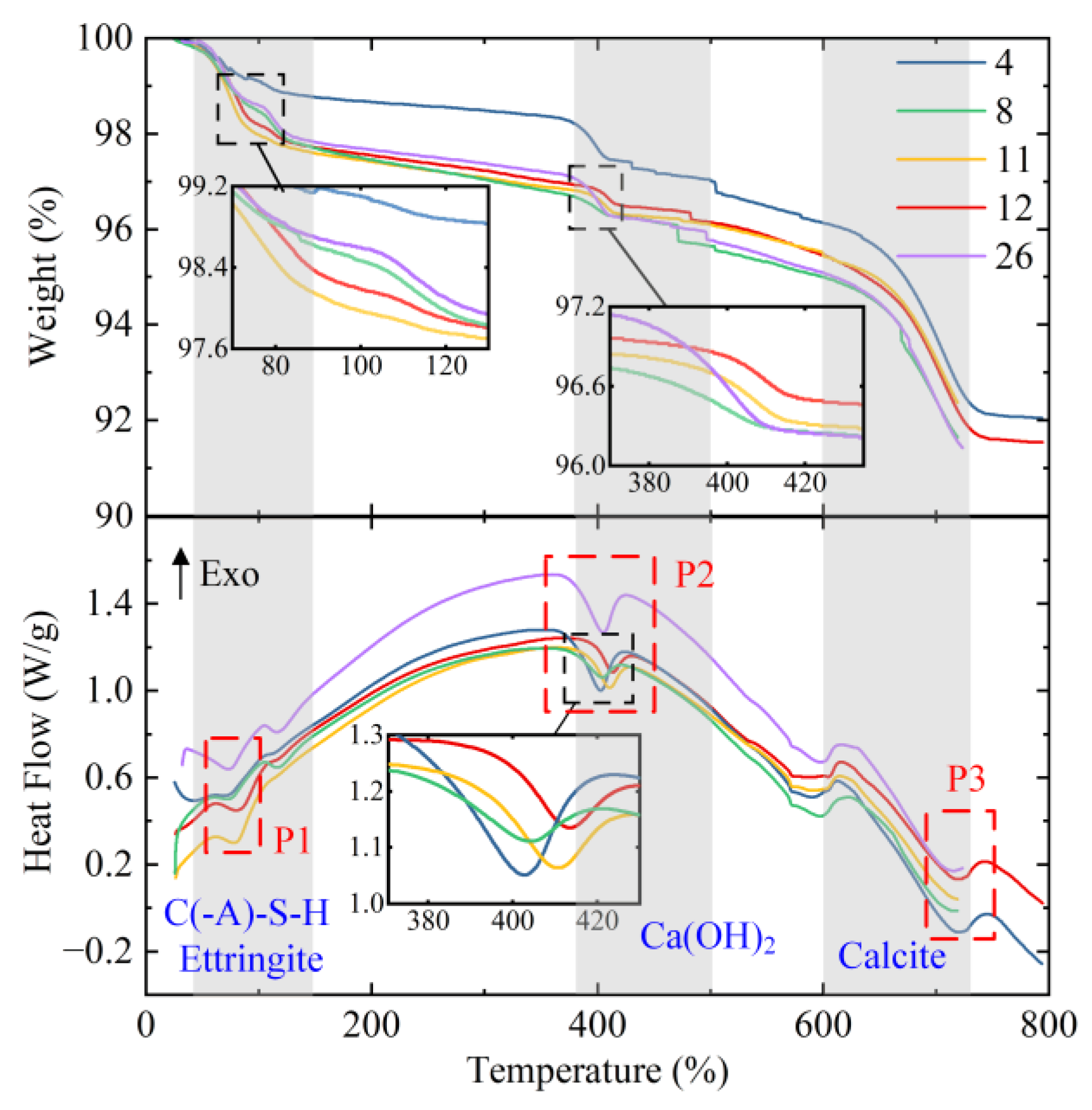
3.4. Phase Composition and Microstructure
4. Discussion
4.1. Analysis of ISW Interactions and Hydration Phase Quantification
4.2. Long-Term Durability and Field Application Prospects
4.3. Limits and Future Perspectives
5. Conclusions
- (1)
- The results of the simplex lattice point experiment indicate that an increase in the dosage of GGBFS has a significant positive effect on the UCS of stabilized aeolian sand due to its highest pozzolanic reactivity. Conversely, higher SS incorporation reduced UCS. Considering the workability of the cementitious material in conjunction with the TCM theory, the optimal proportion of ISWs was determined to be 5:35:20:40, and the UCS of aeolian sand stabilized using ISWs with optimal proportion was comparable with that stabilized by OPC.
- (2)
- The UCS of stabilized aeolian sand exhibited a linear positive correlation with its elastic modulus but a negative correlation with ductility. The failure mode of stabilized aeolian sand specimens was related to their strength: specimens with higher strength exhibited pronounced inclined shear cracks upon failure, while specimens with lower strength mostly displayed splitting cracks.
- (3)
- The abundance of hydration products such as C(-A)-S-H gel and ettringite was the primary reason for the high strength of stabilized aeolian sand with the optimal proportion. A higher content of CS can increase the level of Ca(OH)2 in the system, leading to an increase in calcite formed through carbonation. However, an unreasonable proportion results in insufficient gel in the system, causing an incomplete particle encapsulation and weak connections between particles, which can be disrupted by the expansion of crystals such as ettringite and calcite, leading to a porous and loose microstructure and thus reducing the strength of stabilized aeolian sand.
Author Contributions
Funding
Data Availability Statement
Conflicts of Interest
References
- Akin, I.D.; Tirkes, S.; Collins, C.E. Geotechnical insights of mammal burrows in loose desert sand. Acta Geotech. 2024, 19, 1449–1459. [Google Scholar] [CrossRef]
- Chen, J.Y.; Qiao, G.F.; Wang, R. Turning desert sand into building material products: An ambitious attempt of solar 3D printing. J. Clean. Prod. 2022, 380, 134790. [Google Scholar] [CrossRef]
- Lopez-Ordoñez, C.; Crespo-Cabillo, I.; Calzada, J.R.; Garcia-Nevado, E.; Coch, H. Reducing residential cooling demand in a sprawling desert city through vertical urban densification. J. Build. Eng. 2024, 95, 110089. [Google Scholar] [CrossRef]
- Ma, Z.G.; Li, X.F. Experiments on the State Boundary Surface of Aeolian Sand for Road Building in the Tengger Desert. Appl. Sci. 2023, 13, 879. [Google Scholar] [CrossRef]
- Sherzad, M.F.; Goossens, D. Wind Tunnel Experiments and Field Observations of Aeolian Sand Encroachment around Vernacular Settlements in the Saharan and Arabian Deserts. Buildings 2022, 12, 2006. [Google Scholar] [CrossRef]
- Dammala, P.K.; Kolli, S.; Garaga, R.; Reddy, K.R.; Kumar, P. Aeolian sand dune fixation—Critical review of measures, challenges and future perspectives with a case study on Thar Desert. Catena 2025, 250, 108786. [Google Scholar] [CrossRef]
- Fathali, M.; Nasrabad, M.M.K.; Abbasi, H.R.; Amrollahi, A.; Soleymani, M. Aeolian sand challenges in desert rail infrastructures, overview of Iran’s experience and advancement. Constr. Build. Mater. 2024, 438, 136953. [Google Scholar] [CrossRef]
- Feng, L.Q.; Liu, W.B.; Jiang, W.J.; Wang, G.Z. Mechanics and road performance of mudstone modified stabilized gravel subgrade in arid desert areas. Case Stud. Constr. Mater. 2024, 20, e02799. [Google Scholar] [CrossRef]
- Shu, K.; Zani, N.; Ghidini, L.; Petrogalli, C.; Yu, L.; Mazzù, A.; Ding, H.; Wang, W. Wear and damage behaviors of wheel-rail with different material matchings under various sand deposition densities of rail top in desert environments. Wear 2025, 560–561, 205622. [Google Scholar] [CrossRef]
- Su, X.J.; Li, Z.H.; Wang, Q.; Li, J.X.; Xie, X.Y.; Mao, X.; Ren, Z.F.; Liu, J.K. Comparison and Optimization of Bearing Capacity of Three Kinds of Photovoltaic Support Piles in Desert Sand and Gravel Areas. Buildings 2024, 14, 2559. [Google Scholar] [CrossRef]
- Wang, F.; Liu, S.X.; Sun, L.Y.; Huang, S.P.; Zhu, H.; Zou, H.H.; Li, G.R. Analysis of significant risk factors for sand accumulation on desert expressways. Meas. Sci. Technol. 2024, 35, 095802. [Google Scholar] [CrossRef]
- Yang, S.H.; Zhang, L.; Xu, Z.F. Effect of high temperature on residual splitting strength of desert sand concrete. Struct. Concr. 2023, 24, 3208–3219. [Google Scholar] [CrossRef]
- Zuo, L.; Dai, P.Z.; Yan, H.M.; Zhou, L. Effect of sand and crosswind on the performance of solar chimney power plant. Energy Sci. Eng. 2023, 11, 1294–1310. [Google Scholar] [CrossRef]
- Al-Sanad, H.; Ismael, N.; Nayfeh, A. Geotechnical properties of dune sands in Kuwait. Eng. Geol. 1993, 34, 45–52. [Google Scholar]
- Al-Taie, A.J.; Al-Shakarchi, Y.J.; Mohammed, A.A. Investigation of geotechnical specifications of sand dune soil: A case study around Baiji in Iraq. IIUM Eng. J. 2013, 14. [Google Scholar] [CrossRef]
- Cui, Q.; Liu, G.; Zhang, Z.H.; Fang, Y.Q.; Gu, X.D. Experimental Investigation on the Strength and Microscopic Properties of Cement-Stabilized Aeolian Sand. Buildings 2023, 13, 395. [Google Scholar] [CrossRef]
- Padmakumar, G.P.; Srinivas, K.; Uday, K.V.; Iyer, K.R.; Pathak, P.; Keshava, S.M.; Singh, D.N. Characterization of aeolian sands from Indian desert. Eng. Geol. 2012, 139, 38–49. [Google Scholar] [CrossRef]
- Xu, J.; Li, X.H.; Liu, Y.H.; Li, Z.H.; Wang, S.H. Evaluation of wind erosion resistance of EICP solidified desert sand based on response surface methodology. Constr. Build. Mater. 2024, 447, 138119. [Google Scholar] [CrossRef]
- Cheng, Y.; Ding, S. Prototype tests of assembly foundation of transmission line in aeolian sand area. Rock Soil Mech. 2012, 33, 3230–3236. [Google Scholar]
- Lu, X.; Qian, Z.; Yang, W.; Zheng, W. Cement-stabilization of aeolian sand foundation and performance test. Ind. Constr. 2018, 48, 103–108. [Google Scholar]
- Sheng, M.; Zou, C.; Qian, Z.; Lu, X. Experiments on the bearing capacity of aeolian sand stabilized by cement stabilizers. Bull. Geol. Sci. Technol. 2022, 41, 147–153. [Google Scholar]
- Xia, H.; Zhang, J.; Cai, J.; Pan, H.; She, X. Study on the bearing capacity and engineering performance of aeolian sand. Adv. Mater. Sci. Eng. 2020, 2020, 3426280. [Google Scholar]
- Jing, P.; Song, X.T.; Shen, Y.P.; Zhang, L.; Zhang, Y.Q.; Wang, P.C. Hydraulic behavior of sandy subgrade under extreme rainfall in Alashan, China. Transp. Geotech. 2023, 42, 101049. [Google Scholar] [CrossRef]
- Qian, Z.Z.; Sheng, M.Q.; Huang, F.M.; Lu, X.L. Uplift Performance of Plate Anchors in Cement-Stabilised Aeolian Sand. Front. Earth Sci. 2021, 9, 783148. [Google Scholar] [CrossRef]
- Qian, Z.Z.; Lu, X.L.; Shijun, D. Experimental study of assembly foundation for transmission line tower in Taklimakan desert. Rock Soil Mech. 2011, 32, 2359–2364. [Google Scholar]
- Liu, W.Z.; Huang, X.J.; Yin, W.H.; Liu, G.Y. Static and dynamic characteristics of cement-treated and untreated aeolian sand from the Tengger desert hinterland: Laboratory tests and prediction models. Constr. Build. Mater. 2025, 458, 139733. [Google Scholar] [CrossRef]
- Ruan, B.; Yuan, Z.; Zheng, S.; Zhang, J. Experiment on the splitting tensile strength of cemented aeolian sand reinforced with different kinds of fibers. J. Rail Way Sci. Eng. 2022, 19, 2240–2248. [Google Scholar]
- Yang, X.; Hu, Z.Q.; Wang, Y.; Wang, X.L. Aeolian sand stabilized by using fiber- and silt-reinforced cement: Mechanical properties, microstructure evolution, and reinforcement mechanism. Constr. Build. Mater. 2024, 411, 134750. [Google Scholar] [CrossRef]
- Zhang, X.D.; Geng, J.; Pang, S.; Su, L.J.; Cai, G.J.; Zhou, Z.C. Microscopic Properties and Splitting Tensile Strength of Fiber-Modified Cement-Stabilized Aeolian Sand. J. Mater. Civ. Eng. 2023, 35, 04023128. [Google Scholar] [CrossRef]
- Yang, H.; Qian, Z.Z.; Yue, B.; Xie, Z.L. Effects of Cement Dosage, Curing Time, and Water Dosage on the Strength of Cement-Stabilized Aeolian Sand Based on Macroscopic and Microscopic Tests. Materials 2024, 17, 3946. [Google Scholar] [CrossRef]
- Wang, Y.G.; Liu, X.M.; Zhu, X.; Zhu, W.X.; Yue, J.W. Synergistic effect of red mud, desulfurized gypsum and fly ash in cementitious materials: Mechanical performances and microstructure. Constr. Build. Mater. 2023, 404, 133302. [Google Scholar] [CrossRef]
- Bulinska, S.; Sujak, A.; Pyzalski, M. Sustainable Management of Photovoltaic Waste Through Recycling and Material Use in the Construction Industry. Materials 2025, 18, 284. [Google Scholar] [CrossRef]
- de Paiva, F.F.G.; Tamashiro, J.R.; Silva, L.H.P.; Kinoshita, A. Utilization of inorganic solid wastes in cementitious materials—A systematic literature review. Constr. Build. Mater. 2021, 285, 122833. [Google Scholar] [CrossRef]
- Feng, W.L.; Yu, Z.H.; Bao, R.; Xiong, J.; Yan, K.; Liu, R.Y.; Zhang, R.; Lu, X.B. Manufacture of tailings-based cementitious materials: Insights into tailings activation strategies. Constr. Build. Mater. 2024, 439, 137194. [Google Scholar] [CrossRef]
- Vashistha, P.; Park, S.; Pyo, S. A Review on Sustainable Fabrication of Futuristic Cementitious Binders Based on Application of Waste Concrete Powder, Steel Slags, and Coal Bottom Ash. Int. J. Concr. Struct. Mater. 2022, 16, 51. [Google Scholar] [CrossRef]
- Jiao, D.W.; Shi, C.J.; De Schutter, G. Estimation of Magnetic Force between Micrometer-Sized Fly-Ash Particles in Cementitious Suspensions. J. Mater. Civ. Eng. 2023, 35, 04022421. [Google Scholar] [CrossRef]
- Jones, C.; Ramanathan, S.; Suraneni, P.; Hale, W.M. Mitigating calcium oxychloride formation in cementitious paste using alternative supplementary cementitious materials. Constr. Build. Mater. 2023, 377, 130756. [Google Scholar] [CrossRef]
- Liu, L.; Tan, J.J.; Qiu, H.F.; Zhang, J.B.; Guo, Y. Study on microstructural and mechanical properties of cementitious materials composed of fly ash and dacite powder. Front. Mater. 2024, 11, 1267197. [Google Scholar] [CrossRef]
- Xu, H.C.; Yin, H.; Ge, P. Design and microstructural analysis of the mixture proportion of alkali-activated fly ash-slag composite cementitious material. Mater. Res. Express 2024, 11, 115303. [Google Scholar] [CrossRef]
- Bui, P.T.; Ho, L.S.; Shi, J.Y.; Huynh, T.P. Effect of low-calcium fly ash inclusion on long-term mechanical properties and durability of ground granulated blast furnace slag-based cement-free mortars. Proc. Inst. Mech. Eng. Part L-J. Mater.-Des. Appl. 2024, 238, 723–738. [Google Scholar] [CrossRef]
- Huo, Y.L.; Huang, J.G.; Han, X.Y.; Sun, H.Y.; Liu, T.A.; Zhou, J.Y.; Yang, Y.Z. Mass GGBFS Concrete Mixed with Recycled Aggregates as Alkali-Active Substances: Workability, Temperature History and Strength. Materials 2023, 16, 5632. [Google Scholar] [CrossRef]
- Luo, Y.P.; Yang, L.B.; Wang, D.F.; Zhang, Q.Z.; Wang, Z.Y.; Xing, M.G.; Xue, G.B.; Zhang, J.; Liu, Z. Effect of GGBFS on the mechanical properties of metakaolin-based self-compacting geopolymer concrete. J. Build. Eng. 2024, 96, 110501. [Google Scholar] [CrossRef]
- Pejic, J.S.; Basic, A.D.; Grubor, M.; Serdar, M. Link between the Reactivity of Slag and the Strength Development of Calcium Aluminate Cement. Materials 2024, 17, 3551. [Google Scholar] [CrossRef] [PubMed]
- Baalamurugan, J.; Kumar, V.G.; Padmapriya, R.; Raja, V.K.B. Recent applications of steel slag in construction industry. Environ. Dev. Sustain. 2024, 26, 2865–2896. [Google Scholar] [CrossRef]
- Gao, W.H.; Zhou, W.T.; Lyu, X.; Liu, X.; Su, H.L.; Li, C.M.; Wang, H. Comprehensive utilization of steel slag: A review. Powder Technol. 2023, 422, 118449. [Google Scholar] [CrossRef]
- Yuan, B.; Zhao, D.N.; Lei, J.L.; Song, S.Q. Preparation and Performance Testing of Steel Slag Concrete from Steel Solid Waste. Buildings 2024, 14, 2437. [Google Scholar] [CrossRef]
- Cen, X.Q.; Zhang, Y.Q.; Zhang, H.G. Investigation on the mechanical and microstructure properties of masonry cement-red mud-carbide slag-based paste. Case Stud. Constr. Mater. 2024, 21, e03979. [Google Scholar] [CrossRef]
- Ding, Z.Y.; Cheng, Y.; Jin, L.; Wang, W.T.; Yan, S.Y. Study on the strength characteristics and micro-mechanism of modified solidified red mud. Front. Mater. 2024, 11, 1461198. [Google Scholar] [CrossRef]
- Wu, G.; Chen, T.; Zhang, G. Deformation characteristics of red-mud embankment under monotonic and cyclic loads. In Proceedings of the 5th GeoShanghai International Conference, Shanghai, China, 26–29 May 2024. [Google Scholar]
- Chen, T.Z.; Dong, X.; Chen, H.X.; Zhou, F.; Liu, G.; Chang, W.; Zhu, R. Study on the Improvement Performance of Different Clay Components with Desulfurization Gypsum-Containing Cementitious Material. Buildings 2024, 14, 3274. [Google Scholar] [CrossRef]
- Feng, S.Y.; Zhang, G.F.; Ren, Y.L. Properties and microstructure of soil solidified by titanium slag-flue gas desulfurized gypsum-Portland cement composites as solidifiers. Constr. Build. Mater. 2024, 438, 137061. [Google Scholar] [CrossRef]
- Hu, T.; Hao, J.Y.; Cheng, G.J.; Guo, B.; Li, X.J. Preparation and Hardening Performance of Lightweight Gypsum Mortar Based on Desulfurization Gypsum. Iran. J. Sci. Technol.-Trans. Civ. Eng. 2023, 47, 2717–2730. [Google Scholar] [CrossRef]
- Wu, J.; Liu, Q.W.; Deng, Y.F.; Yu, X.B.; Feng, Q.; Yan, C. Expansive soil modified by waste steel slag and its application in subbase layer of highways. Soils Found. 2019, 59, 955–965. [Google Scholar] [CrossRef]
- Wu, J.; Deng, Y.F.; Zhang, G.P.; Zhou, A.N.; Tan, Y.Z.; Xiao, H.L.; Zheng, Q.S. A Generic Framework of Unifying Industrial By-products for Soil Stabilization. J. Clean. Prod. 2021, 321, 128920. [Google Scholar] [CrossRef]
- Hurtado-Figueroa, O.; Escamilla, A.C.; Varum, H.; Amaya, R.J.G. Effect of cassava starch, hydrated lime, and carboxymethylcellulose on the physicomechanical behavior of mixtures with clay matrix. Case Stud. Constr. Mater. 2024, 20, e03022. [Google Scholar] [CrossRef]
- Zhang, Y.F.; Wang, R.X.; Ni, J.J. Study on the preparation, performance, and mechanism for solid waste cementitious materials. Case Stud. Constr. Mater. 2024, 20, e03408. [Google Scholar] [CrossRef]
- GB 175-2023; Common Portland Cement. State Administration for Market Regulation: Beijing, China, 2023.
- ASTM D5102-2017; Standard Test Method for Unconfined Compressive Strength of Compacted Soil-Lime Mixtures. ASTM International: West Conshohocken, PA, USA, 2017.











| Material | SiO2 | CaO | Fe2O3 | Al2O3 | MgO | SO3 | Na2O | K2O |
|---|---|---|---|---|---|---|---|---|
| OPC | 20.24 | 60.93 | 3.58 | 5.26 | 3.66 | 2.68 | 1.19 | 1.13 |
| SS | 17.18 | 30.01 | 29.1 | 8.43 | 4.41 | 0.62 | 0 | 0.01 |
| GGBFS | 30.07 | 38.22 | 0.88 | 16.50 | 8.33 | 2.08 | 0.51 | 0.86 |
| PS | 44.89 | 43.97 | 0.01 | 3.88 | 3.72 | 0 | 0.05 | 0.84 |
| CS | 2.72 | 70.35 | 1.03 | 0.89 | 0.62 | 0 | 0 | 0 |
| No. | Proportion of ISWs (%) | |||
|---|---|---|---|---|
| SS | GGBFS | PS | CS | |
| 1 | 30.0 | 10.0 | 20.0 | 40.0 |
| 2 | 21.7 | 18.3 | 20.0 | 40.0 |
| 3 | 21.7 | 10.0 | 28.3 | 40.0 |
| 4 | 21.7 | 10.0 | 20.0 | 48.3 |
| 5 | 13.3 | 26.7 | 20.0 | 40.0 |
| 6 | 13.3 | 18.3 | 28.3 | 40.0 |
| 7 | 13.3 | 18.3 | 20.0 | 48.3 |
| 8 | 13.3 | 10.0 | 36.7 | 40.0 |
| 9 | 13.3 | 10.0 | 28.3 | 48.3 |
| 10 | 13.3 | 10.0 | 20.0 | 56.7 |
| 11 | 5.0 | 35.0 | 20.0 | 40.0 |
| 12 | 5.0 | 26.7 | 28.3 | 40.0 |
| 13 | 5.0 | 26.7 | 20.0 | 48.3 |
| 14 | 5.0 | 18.3 | 36.7 | 40.0 |
| 15 | 5.0 | 18.3 | 28.3 | 48.3 |
| 16 | 5.0 | 18.3 | 20.0 | 56.7 |
| 17 | 5.0 | 10.0 | 45.0 | 40.0 |
| 18 | 5.0 | 10.0 | 36.7 | 48.3 |
| 19 | 5.0 | 10.0 | 28.3 | 56.7 |
| 20 | 5.0 | 10.0 | 20.0 | 65.0 |
| 21 | 11.3 | 16.3 | 26.3 | 46.3 |
| 22 | 20.6 | 13.1 | 23.1 | 43.1 |
| 23 | 8.1 | 25.6 | 23.1 | 43.1 |
| 24 | 8.1 | 13.1 | 35.6 | 43.1 |
| 25 | 8.1 | 13.1 | 23.1 | 55.6 |
| 26 | 10.0 | 18.1 | 26.8 | 57.1 |
| CE | - | - | - | - |
| No. | UCS (MPa) | E (MPa) | DI |
|---|---|---|---|
| 1 | 0.45 | 63 | 1.26 |
| 2 | 0.97 | 114 | 1.08 |
| 3 | 0.43 | 76 | 1.28 |
| 4 | 0.34 | 44 | 1.16 |
| 5 | 1.14 | 127 | 1.09 |
| 6 | 0.90 | 114 | 1.12 |
| 7 | 0.85 | 89 | 1.09 |
| 8 | 0.64 | 76 | 1.22 |
| 9 | 0.43 | 50 | 1.23 |
| 10 | 0.33 | 39.7 | 1.24 |
| 11 | 1.55 | 127 | 1.09 |
| 12 | 1.51 | 147 | 1.10 |
| 13 | 1.23 | 114 | 1.09 |
| 14 | 1.19 | 133 | 1.12 |
| 15 | 0.81 | 116 | 1.19 |
| 16 | 0.82 | 135 | 1.23 |
| 17 | 1.06 | 122 | 1.09 |
| 18 | 0.51 | 55 | 1.14 |
| 19 | 0.43 | 74 | 1.20 |
| 20 | 0.27 | 41 | 1.31 |
| 21 | 0.95 | 122 | 1.19 |
| 22 | 0.51 | 76 | 1.26 |
| 23 | 1.34 | 159 | 1.08 |
| 24 | 0.71 | 94 | 1.27 |
| 25 | 0.53 | 58 | 1.44 |
| 26 | 0.82 | 106 | 1.10 |
| CE | 1.50 | 139 | 1.03 |
Disclaimer/Publisher’s Note: The statements, opinions and data contained in all publications are solely those of the individual author(s) and contributor(s) and not of MDPI and/or the editor(s). MDPI and/or the editor(s) disclaim responsibility for any injury to people or property resulting from any ideas, methods, instructions or products referred to in the content. |
© 2025 by the authors. Licensee MDPI, Basel, Switzerland. This article is an open access article distributed under the terms and conditions of the Creative Commons Attribution (CC BY) license (https://creativecommons.org/licenses/by/4.0/).
Share and Cite
Xie, Z.; Qian, Z.; Wang, H.; Qi, Y.; Yue, B. Synergistic Preparation and Mechanistic Investigation of Full Industrial Solid Waste-Based Cementitious Materials for Aeolian Sand Stabilization. Appl. Sci. 2025, 15, 3858. https://doi.org/10.3390/app15073858
Xie Z, Qian Z, Wang H, Qi Y, Yue B. Synergistic Preparation and Mechanistic Investigation of Full Industrial Solid Waste-Based Cementitious Materials for Aeolian Sand Stabilization. Applied Sciences. 2025; 15(7):3858. https://doi.org/10.3390/app15073858
Chicago/Turabian StyleXie, Zilu, Zengzhen Qian, Hao Wang, Yingzhe Qi, and Bing Yue. 2025. "Synergistic Preparation and Mechanistic Investigation of Full Industrial Solid Waste-Based Cementitious Materials for Aeolian Sand Stabilization" Applied Sciences 15, no. 7: 3858. https://doi.org/10.3390/app15073858
APA StyleXie, Z., Qian, Z., Wang, H., Qi, Y., & Yue, B. (2025). Synergistic Preparation and Mechanistic Investigation of Full Industrial Solid Waste-Based Cementitious Materials for Aeolian Sand Stabilization. Applied Sciences, 15(7), 3858. https://doi.org/10.3390/app15073858
