Differences Research on Human Overall Comfort Under Low Pressure
Abstract
1. Introduction
2. Method
2.1. Human Overall Comfort Evaluation Method
2.1.1. Single-Factor Dimensionless Processing and Weight Value
2.1.2. Overall Evaluation Model Synthesis Method
2.2. Experimental Research
2.2.1. Experimental Device
2.2.2. Experimental Design
3. Results
3.1. Thermal Experiment Results
3.2. Luminous Experiment Results
3.3. Acoustic Experiment Results
3.4. Human Overall Comfort Evaluation Model and Verification
4. Discussion
4.1. The Physiological Mechanisms That Affect Thermal, Luminous, and Acoustic Perception Under Low Pressure
4.1.1. Thermal Perception
4.1.2. Luminous Perception
4.1.3. Acoustic Perception
4.2. Single-Environment Differences Under Low Pressures
4.2.1. Thermal Environment Differences Under Low Pressure
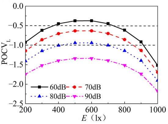
4.2.2. Luminous Environment Differences Under Low Pressure
4.2.3. Acoustic Environment Differences Under Low Pressure
4.3. Differences Analysis in Human Overall Comfort Evaluation Under Low Pressure
4.3.1. The Influence of the Factor Unit Changes on the Overall Comfort
- (1)
- When ∆to = 1 °C, ∆E = 100 lx, and ∆N = 5 dB, the magnitude of the changes in POCVL caused under low pressure was equivalent. Thus, the order of influence of the operative temperature, illuminance, and noise level on POCVL can be determined: to > N > E.
- (2)
- The influence of operative temperature and illuminance on POCVL under low pressure was approximately twice as large as that under standard atmospheric pressure.
- (3)
- The dominant influencing factor for POCVL changed with the comfort states of other factors. The more a single factor deviated from the comfort zone, the greater the change in POCVL caused by its variation, and the more likely this factor became the dominant influencing factor for POCVL.
4.3.2. The Overall Comfort Peak and the Tolerable Zone
4.3.3. The Overall Comfortable Zone
5. Conclusions
- There were differences in comfort votes for individual environments under low pressure. At 80 kPa, the operative temperature of the comfort zone increased in winter. The luminous comfort zone narrowed, and the luminous comfort vote decreased. However, the acoustic comfort vote increased, indicating an enhanced noise tolerance.
- The ranking of the factors’ unit effects on the overall comfort vote was as follows: to > N > E. In the overall comfort zone, changes of 1 °C, 100 lx, or 5 dB caused comparable POCV/POCVL changes. When a certain factor deviated from the overall comfort zone, it became the dominant factor affecting POCV/POCVL.
- Under low pressure, energy-saving strategies were determined for the POCVL peak: selecting a relatively cold environment in winter and a relatively warm environment in summer. The illuminance selection shifted to the left side of the x-coordinate. The tolerable zone became smaller, making it easier to reach the lower limit.
- Nomograms of the commonly used overall comfort zone were drawn. Through parameter interactions, using “superior” parameters to compensate for “inferior” ones can improve the human overall comfort vote.
Author Contributions
Funding
Institutional Review Board Statement
Informed Consent Statement
Data Availability Statement
Acknowledgments
Conflicts of Interest
Appendix A
| Symbol | Description (Unit) |
| C | The overall evaluation value of the effective function |
| The composite function of yi and | |
| The single-factor weight value | |
| y1~y3 (yi) | The dimensionless function of a single environment |
| y′1~y′3 (y′i) | The dimensionless function of a single environment under low pressure |
| L | The low evaluation index of a single environment |
| to | Operative temperature () |
| E | Illuminance (lx) |
| N | Noise level (dB) |
| POCV | The evaluation value of punitive substitution, namely the Predicted Overall Comfort Vote |
| POCVL | The evaluation value of punitive substitution under low pressure, namely the Predicted Overall Comfort Vote Low |
References
- Liu, F.; Yan, L.; Meng, X.; Zhang, C. A review on indoor green plants employed to improve indoor environment. J. Build. Eng. 2022, 53, 104542. [Google Scholar] [CrossRef]
- Rasheed, H.; Jayasree, T.K. The multifaceted role of indoor plants: A comprehensive review of their impact on air quality, health, and perception. Energy Build. 2025, 330, 115312. [Google Scholar] [CrossRef]
- Feige, A.; Wallbaum, H.; Janser, M.; Windinger, L. Impact of sustainable office buildings on occupant’s comfort and productivity. J. Corp. Real Estate 2013, 15, 7–34. [Google Scholar] [CrossRef]
- Gabay, H.; Meir, I.A.; Schwartz, M.; Werzberger, E. Cost-benefit analysis of green buildings: An Israeli office buildings case study. Energy Build. 2014, 76, 558–564. [Google Scholar] [CrossRef]
- Clements-Croome, D. Creative and productive workplaces: A review: Intelligent Buildings International. Intell. Build. Int. 2015, 7, 164–183. [Google Scholar] [CrossRef]
- Al Horr, Y.; Arif, M.; Kaushik, A.; Mazroei, A.; Katafygiotou, M. Occupant productivity and office indoor environment quality: A review of the literature. Build. Environ. 2016, 105, 369–389. [Google Scholar] [CrossRef]
- Yang, W.; Moon, H.J. Combined effects of acoustic, thermal, and illumination conditions on the comfort of discrete senses and overall indoor environment. Build. Environ. 2018, 148, 623–633. [Google Scholar] [CrossRef]
- Dong, X.; Wu, Y.; Chen, X.; Li, H.; Cao, B.; Zhang, X.; Yan, X.; Li, Z.; Long, Y.; Li, X. Effect of thermal, acoustic, and lighting environment in underground space on human comfort and work efficiency: A review. Sci. Total Environ. 2021, 786, 147537. [Google Scholar] [CrossRef]
- Huang, H.J.; Wang, Y.J.; Zheng, K.L.; Ge, Y.X.; Tao, Y.L.; Luo, H.R.; Zeng, M.Q. Research and Analysis on the Comfort of Classroom Physical Environment: A Case Study of Nankai Middle School in Chongqing. Lamp Illum. 2016, 40, 8–11+26. [Google Scholar] [CrossRef]
- Newsham, G.R. Effects of office environment on employee satisfaction: A new analysis. Build. Res. Inf. 2016, 44, 34–50. [Google Scholar]
- Xue, P.; Mak, C.M.; Ai, Z.T. A structured approach to overall environmental satisfaction in high-rise residential buildings. Energy Build. 2016, 116, 181–189. [Google Scholar] [CrossRef]
- Xiao, A.; Cheng, B.; Zhang, J.; Peng, H.Y.; Lai, Y.M.; Zeng, F.X.; Liu, T.; Zhu, F. A study of acoustic-light-thermal effects on pedestrians’ overall comfort in a Cfa-climate campus during the summer. J. Therm. Biol. 2024, 121, 103839. [Google Scholar] [CrossRef] [PubMed]
- Zeng, F.; Liang, S.; Zhang, J.; Chen, Y.; Feng, S.; MO, Q.; Zhou, T.; Lai, Y.; Liu, T.; Wang, S. The effects of acoustic-light-thermal environment quality parameters on pedestrians’ overall comforts in residential districts. Sci. Rep. 2024, 14, 19625. [Google Scholar] [CrossRef] [PubMed]
- Wu, H.; Sun, X.; Wu, Y. Investigation of the relationships between thermal, acoustic, illuminous environments and human perceptions—ScienceDirect. J. Build. Eng. 2020, 32, 101839. [Google Scholar] [CrossRef]
- Chen, P.; Dai, Y.; Zhen, M. Effects of thermal and acoustic environments on human comfort in urban and suburban campuses in the cold region of China. Environ. Sci. Pollut. Res. 2024, 31, 30735–30749. [Google Scholar] [CrossRef]
- Du, M.; Hong, B.; Gu, C.; Li, Y.; Wang, Y. Multiple effects of visual-acoustic-thermal perceptions on the overall comfort of elderly adults in residential outdoor environments. Energy Build. 2023, 283, 112813. [Google Scholar] [CrossRef]
- Zhao, Y.; Li, D. Multi-domain indoor environmental quality in buildings: A review of their interaction and combined effects on occupant satisfaction. Build. Environ. 2022, 228, 109844. [Google Scholar] [CrossRef]
- Wu, H.; Wu, Y.; Sun, X.; Liu, J. Combined effects of acoustic, thermal, and illumination on human perception and performance: A review. Build. Environ. 2020, 169, 106593. [Google Scholar] [CrossRef]
- Guan, H.; Hu, S.; Lu, M.; He, M.; Mao, Z.; Liu, G. People’s subjective and physiological responses to the combined thermal-acoustic environments. Build. Environ. 2020, 172, 106709. [Google Scholar] [CrossRef]
- Guan, H.; Hu, S.; Liu, G.; Zhang, L. The combined effects of temperature and noise on the comfort perceptions of young people with a normal Body Mass Index. Sustain. Cities Soc. 2019, 54, 101993. [Google Scholar] [CrossRef]
- Zhang, Y.; Du, X.; Zhao, S. Research on interaction effect of thermal, light, and acoustic environment on human comfort in waiting hall of high-speed railway station. Build. Environ. 2021, 207, 108494. [Google Scholar] [CrossRef]
- Wang, Z.; Zhao, H.; Lin, B.; Zhu, Y.; Ouyang, Q.; Yu, J. Investigation of indoor environment quality of Chinese large-hub airport terminal buildings through longitudinal field measurement and subjective survey. Build. Environ. 2015, 94, 593–605. [Google Scholar] [CrossRef]
- Geng, Y.; Yu, J.; Lin, B.; Wang, Z.; Huang, Y. Impact of individual IEQ factors on passengers’ overall satisfaction in Chinese airport terminals. Build. Environ. 2017, 112, 241–249. [Google Scholar] [CrossRef]
- Fan, C.; Lin, Y.; Lin, S.; Li, Y.; Wu, F. Influencing factors and mechanism of high-speed railway passenger overall comfort: Insights from source functional brain network and subjective report. Front. Public Health 2022, 10, 993172. [Google Scholar]
- Hao, G.S.; Fan, Q.L.; Hu, Q.Z.; Hou, Q. Research progress on the mechanism of cerebral blood flow regulation in hypoxia environment at plateau. Bioengineered 2022, 13, 6353–6358. [Google Scholar] [CrossRef]
- Herbig, B.; Norrefeldt, V.; Mayer, F.; Reichherzer, A.; Lei, F.; Wargocki, P. Effects of increased recirculation air rate and aircraft cabin occupancy on passengers’ health and well-being—Results from a randomized controlled trial. Environ. Res. 2023, 216, 114770. [Google Scholar] [CrossRef]
- Guo, C.; Xu, J.; Wang, M.; Tao, Y.; Lu, Y.; Sun, Z. Study on Oxygen Supply Standard for Physical Health of Construction Personnel of High-Altitude Tunnels. Int. J. Environ. Res. Public Health 2015, 13, 64. [Google Scholar] [CrossRef]
- Wang, H.Y. Research on Human Thermal Comfort Under Medium Activity Level and Low Pressure. Ph.D. Thesis, Xi’an University of Architecture and Technology, Xi’an, China, 2012. [Google Scholar]
- Tong, L. Research on the Human Thermal Regulation Model Under Low Pressure Considering the Influence of Local Heat Transfer. Ph.D. Thesis, Qingdao University of Technology, Qingdao, China, 2014. [Google Scholar]
- Zhang, J.C. Research on the Influence of Light Environment on Human Comfort under Low Pressure. Master’s Thesis, Qingdao University of Technology, Qingdao, China, 2014. [Google Scholar]
- Li, L. Exploration on the Influence of Acoustic Environment on Human Comfort under Low Pressure. Master’s Thesis, Qingdao University of Technology, Qingdao, China, 2014. [Google Scholar]
- Mu, Y.P. Research on the Influence Mechanism of Noise Environment on Human Comfort under Low Pressure. Master’s Thesis, Qingdao University of Technology, Qingdao, China, 2015. [Google Scholar]
- Duan, G.; Song, C.; Liu, Y.; Fu, Z.; Zhang, C.; Han, X.; Li, Y.; Zhou, Y. Study on the dynamic effects of plateau hypoxic and cold environment on the thermal adaptation of short-term sojourners in Xizang. J. Therm. Biol. 2024, 119, 13. [Google Scholar] [CrossRef]
- Haiyan, Y.; Hongrui, L.I.; Jing, C.; Yang, L. Research on Influences of Plateau Climate on Thermal Adaptation of Human Body. Build. Sci. 2017, 33, 29–34. [Google Scholar]
- Zhao, G.H. Research on the Application of the Contrast Sensitivity Function in the Appraisal of Visual Function. Master’s Thesis, Air Force Military Medical University of the Chinese People’s Liberation Army (The Fourth Military Medical University), Xi’an, China, 2017. [Google Scholar]
- 2019 ASHRAE Handbook, HVAC Applications; ASHRAE: Atlanta, GA, USA, 2019; 30329: 1791 Tullie Circle, N.E.
- Zhu, Y.X. Building Environment, 5th ed.; China Architecture & Building Press: Beijing, China, 2024; Volume 8, p. 303. [Google Scholar]
- Iik, Z. Assessment of LEED Green Building Certificate Indoor Evironmental Quality Parameters from the Perspective of Occupant Satisfaction and Cost Performance. Megaron 2016, 11. [Google Scholar] [CrossRef]
- Wang, L.Z.; Yu, L.P. Research on the Selection and Comprehensive Application of Utility Function Synthesis Methods in Journal Evaluation. J. Intell. 2012, 31, 7. [Google Scholar] [CrossRef]
- Yu, L.P.; Pan, Y.T.; Wu, Y.S. A Comparative Study on the Utility Function Synthesis Methods in Scientific and Technological Evaluation. Sci. Technol. Prog. Policy 2010, 27, 106–110. [Google Scholar]
- Al-Salih, W.Q.; Esztergár-Kiss, D. Linking Mode Choice with Travel Behavior by Using Logit Model Based on Utility Function. Sustainability 2021, 13, 4332. [Google Scholar] [CrossRef]
- GB3096-2008; Environmental Quality Standards for Noise. China Environmental Science Press: Beijing, China, 2008.
- China National Environmental Monitoring Centre. Emission Standards for Industrial Enterprises Noise at Boundary; China Environmental Science Press: Beijing, China, 2008. [Google Scholar]
- GB22337-2008; Emission Standard for Community Noise. China Environmental Science Press: Beijing, China, 2008.
- GB12525-2011; Emission Standards and Measurement Methods of Railway Noise on the Boundary Alongside Railway Line. China Environmental Science Press: Beijing, China, 2011.
- GB9660-1988; Environment Standard of Aircraft Noise Around Airport. China Environmental Science Press: Beijing, China, 1988.
- GB50118-2022; Code for Design of Sound Insulation of Civil Buildings. China Environmental Science Press: Beijing, China, 2022.
- GB50034-2024; China Academy of Building Research. Standard for Lighting Design of Buildings. China Architecture & Building Press: Beijing, China, 2024.
- TB10089-2015; Code for Design of Lighting for Railways. National Railway Administration of the People’s Republic of China: Beijing, China, 2018.
- ASHRAE Standard 55-2013; Thermal Environmental Condition for Human Occupancy; American Society of Heating. Refrigerating and Air-Conditioning Engineers, Inc.: Atlanta, GA, USA, 2013.
- Du, D.; Pang, Q.H.; Wu, Y. Modern Comprehensive Evaluation Methods and Case Selections, 3rd ed.; Tsinghua University Press: Beijing, China, 2015. [Google Scholar]
- Guo, T.M.; Hu, S.T.; Liu, G.D. Evaluation Model of Specific Indoor Environment Overall Comfort Based on Effective-Function Method. Energies 2017, 10, 1634. [Google Scholar] [CrossRef]
- Arun, S.; Radha, G.; Richie, M. Indoor Environmental Quality; Springer: Berlin/Heidelberg, Germany, 2020. [Google Scholar]
- Zhai, G.Q. Low—Frequency Noise; Zhejiang University Press: Hangzhou, China, 2013. [Google Scholar]
- GB50736-2012; Design Code for Heating, Ventilation and Air Conditioning of Civil Buildings. China Architecture & Building Press: Beijing, China, 2012.
- Boos, C.J.; Kyo, B.; Luke, S.; Josh, B.D.; Woods, D.R.; Mark, S.; Tom, Q.; Adrian, M. High Altitude Affects Nocturnal Non-linear Heart Rate Variability: PATCH-HA Study. Front. Physiol. 2018, 9, 390. [Google Scholar] [CrossRef]
- Álvarez-Herms, J.; Julia-Sanchez, S.; Gatterer, H.; Corbi, F.; Viscor, G.; Burtscher, M. Effects of a Single Power Strength Training Session on Heart Rate Variability When Performed at Different Simulated Altitudes. High Alt. Med. Biol. 2020, 21, 292–296. [Google Scholar] [CrossRef]
- West, J.B. Prediction of barometric pressures at high altitude with the use of model atmospheres. J. Appl. Physiol. 1996, 81, 1850–1854. [Google Scholar] [CrossRef] [PubMed]
- Guo, T.M.; Hu, S.T.; Liu, G.D. A preliminary study on indoor environmental comfort under low pressure. Sichuan Build. Sci. Res. 2016, 42, 4. [Google Scholar] [CrossRef]
- Raghu, B.R.; Krishna, J.V. A Comprehensive Analysis of Diabetic Retinopathy Using Deep Learning Techniques. In Proceedings of the 2024 4th International Conference on Mobile Networks and Wireless Communications (ICMNWC), Tumkuru, India, 4–5 December 2024. [Google Scholar] [CrossRef]
- Zhao, G.H.; Ding, Y.F.; Cao, R.D.; Chen, T.; Yan, M.W.; Wang, B.; Zhang, Z.M. Effects of mild to moderate hypoxia on visual contrast sensitivity and reaction ability. Chin. J. Aerosp. Med. 2017. [Google Scholar] [CrossRef]
- Bosnyak, I.; Farkas, N.; Molitor, D.; Meresz, B.; Patko, E.; Atlasz, T.; Vaczy, A.; Reglodi, D. Optimization of an ischemic retinopathy mouse model and the consequences of hypoxia in a time-dependent manner. Int. J. Mol. Sci. 2024, 25, 8008. [Google Scholar] [CrossRef]
- He, J.; Wan, H.; Kao, X.B.; Guo, S.W.; Li, L.; Guo, X.W.; Kong, W. Research on the impact of plateau environment on crew operational capability. Chin. J. Ergon. 2023, 29, 53–56. [Google Scholar]
- Zhang, H.B.; Yao, Q.; Bu, W.P.; Su, F.; Wang, L.P.; Wang, L.; Zhao, X.L.; Liu, L. Preliminary study on the human-machine adaptability of physiological functions in flight personnel. J. Mil. Med. Logist. 2024, 38, 793–796. [Google Scholar]
- Du, G.H. Fundamentals of Acoustics, 3rd ed.; Nanjing University Press: Nanjing, China, 2012. [Google Scholar]
- Jiang, Z.R. Human Physiology, 3rd ed.; Science Press: Beijing, China, 2024; Volume 5. [Google Scholar]
- Zhou, B.; Jiao, B.; Chen, B.; Sun, C.; Ding, L.; Ao, T. Physiological and perceptual responses of exposure to different thermal environments at low pressure (61.6 kPa). Build. Environ. 2022, 226, 109774. [Google Scholar] [CrossRef]
- Zhang, Y.; Zhang, X.; Han, J.; Liu, X. Study on the outdoor thermal comfort of college students under different activity intensities in a high-altitude climate zone. Front. Public Health 2024, 12, 1365470. [Google Scholar] [CrossRef] [PubMed]
- Liu, G.D. Study on Human Thermal Comfort Within Lower-Pressure Environment of Asymptomatic Altitude Reaction. Ph.D. Thesis, Xi’an University of Architecture and Technology, Xi’an, China, 2008. [Google Scholar]
- GB51348-2019; Standard for Electrical Design of Civil Buildings. National Standards of the People’s Republic of China. China Architecture & Building Press: Beijing, China, 2019.
- Yin, D.C.; Zhang, Y.; Yu, L.H.; Shi, W.R.; Wen, D.Q.; Tu, L.; Wang, G.Y.; Wu, J.B.; Xue, L.H. Sensitivity of visual function indexes in hypoxic environment. Aviat. Med. Air Force 2023, 40, 12–14. [Google Scholar] [CrossRef]
- Yan, W.M.; Wu, F.; Sun, K.; Ma, Y.F.; Chen, W.L.; Wang, T.; Chen, T.; Zhang, Z.M. Effects of Acute Mild to Moderate Hypoxia on Color Vision Contrast Sensitivity in Human Eyes. Med. J. Air Force 2016, 6, 58–59. [Google Scholar]
- Jin, E.Z.; Xiao, L.; Yao, J.L.; Liu, P.G.; Wang, B.S.; Shi, H.; Chu, G. Effect of altitude change on train stsffs’ intraocular pressure on highland. Int. Eye Sci. 2013, 13, 4. [Google Scholar] [CrossRef]
- Wang, H.; Ma, Q.; Ma, B.A. Effects of Plateau Environment on human health. Med. Inf. 2020, 33, 4. [Google Scholar] [CrossRef]
- Xin, X.; Yang, K.; Liu, H.; Li, Y. Hypobaric hypoxia triggers pyroptosis in the retina via NLRP3 inflammasome activation. Apoptosis 2022, 27, 222–232. [Google Scholar] [CrossRef]
- Xin, X.; Li, Y.; Liu, H. Hesperidin ameliorates hypobaric hypoxia-induced retinal impairment through activation of Nrf2/HO-1 pathway and inhibition of apoptosis. Sci. Rep. 2020, 10, 19426. [Google Scholar] [CrossRef]
- Zhang, X.M. Heat Transfer, 6th ed.; China Architecture & Building Press: Beijing, China, 2014. [Google Scholar]
- Olesen, B.M. Thermal Comfort; Bruel & Kjaer: Nærum, Denmark, 1982; Volume 2. [Google Scholar]
- Fanger, P.O. Thermal Comfort; Danish Technical Press: Copenhagen, Denmark, 1970. [Google Scholar]
- ISO/FDIS7730-2005; Ergonomics of the Thermal Environment-Analysis Determination and Interpretation of Thermal Comfort Using Calculation of the PMV and PPD Indices and Local Thermal Comfort Criteria. ISO: Geneva, Switzerland, 2005.
- Xie, H.; Ge, Y.; Luo, F. Effects of socio-economic indicators on perceptions of urban acoustic environments in Chinese megacities. Indoor Built Environ. 2021, 30, 1663–1675. [Google Scholar] [CrossRef]
- Zhang, F.; Seshadri Pattupogula VP, D.; Badrinath, C.; Liu, S. Visitors’ satisfaction towards indoor environmental quality in Australian hotels and serviced apartments. Build. Environ. 2023, 244, 17. [Google Scholar] [CrossRef]
- Liu, X.T. Building Physics, 3rd ed.; China Architecture & Building Press: Beijing, China, 2010. [Google Scholar]



















| Cx | 0 | −1 | −2 | −3 | −4 |
|---|---|---|---|---|---|
| Thermal Comfort | Comfort | Slightly Uncomfortable | Uncomfortable | Very Uncomfortable | Unbearable |
| Luminous Comfort | Comfort | Slightly Brighter (Dim) | Bright (Dark) | Very Bright (Dark) | Unbearable Bright (Dark) |
| Acoustic Comfort | Comfort | Slightly Uncomfortable | Uncomfortable | Very Uncomfortable | Unbearable (Caused by noise) |
| Overall Comfort | Comfort | Slightly Uncomfortable | Uncomfortable | Very Uncomfortable | Unbearable |
| Sex | Maximum | Minimum | Average | Standard Deviation | |
|---|---|---|---|---|---|
| Age | Male | 26 | 23 | 24 | 1.08 |
| Female | 26 | 19 | 24 | 1.39 | |
| Height/cm | Male | 181 | 170 | 174.6 | 3.34 |
| Female | 170 | 150 | 162.5 | 6.85 | |
| Weight/kg | Male | 100 | 54 | 71.1 | 13.65 |
| Female | 65 | 46 | 52.8 | 5.72 |
| Sample Size Calculation | Statistical Power Analysis | ||
|---|---|---|---|
| Test Family: | F Tests | Test Family: | F Tests |
| Statistical test: | Linear multiple regression | Statistical test: | Linear multiple regression |
| Effect Size f2 | 0.35 | Effect Size f2 | 0.35 |
| An error probability | 0.05 | An error probability | 0.05 |
| Number of predictors | 1 | Number of predictors | 1 |
| Power (1 − ) | 0.8 | N’ | 60 |
| N | 24 | Power (1 −) | 1 (100%) |
| Equipment | Name | City | Country |
|---|---|---|---|
| Agilent34980A | Keysihgt Technoligies | Santa Rosa | America |
| TJ-103 | Tianjin Hongda Instrument Factory | Tianjin | China |
| KANOMAX 6004 | Kanomax Japan Inc. | Osaka | Japan |
| SIMAA AS803 | Sima Instrument Group Co., Ltd. | Dongguan | China |
| AWA6291 | Hangzhou Aihua Instrument Co., Ltd. | Hangzhou | China |
| Pressure (kPa) | Season | Function | p | |
|---|---|---|---|---|
| 101 | Winter | 0.771 | 0.001 ** | |
| Summer | 0.947 | 0.012 * | ||
| 80 | Winter | 0.925 | 0.00 ** | |
| Summer | 0.869 | 0.048 * |
| Pressure (kPa) | Function | p | |
|---|---|---|---|
| 101 | 0.756 | 0.000 ** | |
| 80 | 0.705 | 0.000 ** |
| Pressure (kPa) | Function | R2 | p |
|---|---|---|---|
| 101 | 0.939 | 0.001 ** | |
| 80 | 0.874 | 0.006 ** |
| Pressure (kPa) | Thermal Level | Winter (°C) | Transitional Seasons (°C) | Summer (°C) |
|---|---|---|---|---|
| 101 | I II | 19.1~21.6 17.2~19.1 | 21.6~24.6 24.0~24.5 | 24.6~26.0 26.0~27.0 |
| 80 | I II | 20.8~24.0 18.9~20.8 | 24.5~26.0 26.0~26.8 |
| Pressure (kPa) | Peak Luminous (lx) | Comfort Luminous Zones (lx) |
|---|---|---|
| 101 80 | 652 551 | 460~843 382~720 |
| Pressure (kPa) | Comfort Level | Noise (dB) |
|---|---|---|
| 101 | I | ≤64.0 |
| II | ≤69.0 | |
| 80 | I | ≤64.8 |
| II | ≤71.0 |
| Pressure (kPa) | Operative Temperature (°C) Winter/Summer | Illuminance (lx) | Noise (dB) | POCV(POCVL) Winter/Summer |
|---|---|---|---|---|
| 101 | 21.6/24.6 | 652 | 60 | −0.325/−0.295 |
| 80 | 22.4/25 | 551 | 60 | −0.366/−0.399 |
Disclaimer/Publisher’s Note: The statements, opinions and data contained in all publications are solely those of the individual author(s) and contributor(s) and not of MDPI and/or the editor(s). MDPI and/or the editor(s) disclaim responsibility for any injury to people or property resulting from any ideas, methods, instructions or products referred to in the content. |
© 2025 by the authors. Licensee MDPI, Basel, Switzerland. This article is an open access article distributed under the terms and conditions of the Creative Commons Attribution (CC BY) license (https://creativecommons.org/licenses/by/4.0/).
Share and Cite
Guo, T.; Hu, S.; Li, Q. Differences Research on Human Overall Comfort Under Low Pressure. Appl. Sci. 2025, 15, 3815. https://doi.org/10.3390/app15073815
Guo T, Hu S, Li Q. Differences Research on Human Overall Comfort Under Low Pressure. Applied Sciences. 2025; 15(7):3815. https://doi.org/10.3390/app15073815
Chicago/Turabian StyleGuo, Tieming, Songtao Hu, and Qingqing Li. 2025. "Differences Research on Human Overall Comfort Under Low Pressure" Applied Sciences 15, no. 7: 3815. https://doi.org/10.3390/app15073815
APA StyleGuo, T., Hu, S., & Li, Q. (2025). Differences Research on Human Overall Comfort Under Low Pressure. Applied Sciences, 15(7), 3815. https://doi.org/10.3390/app15073815

