Abstract
The development of magnetic refrigerants with both low-field responsiveness and a large magnetic entropy change in the sub-Kelvin temperature range remains a critical challenge for advancing cryogenic technologies. This study focuses on the monoclinic compound Gd7(BO3)(PO4)2O6, in which high-density Gd3+ ions form magnetic frustrated structures within the bc-plane and stack along the a-axis direction. The combination of a high magnetic ion density and frustrated magnetic configuration enables the coexistence of a low magnetic transition temperature and excellent magnetocaloric effects. Magnetic susceptibility measurements reveal an antiferromagnetic-to-paramagnetic phase transition below 2 K. The maximum magnetic entropy change reaches 35.2 J kg−1 K−1 under a varying magnetic field of 0–7 T. This study highlights the potential of frustrated magnetic interactions in monoclinic lattices with a high Gd3+ content for achieving superior cryogenic magnetocaloric performance.
1. Introduction
The pursuit of efficient cooling technologies has positioned cryogenic magnetic refrigeration as a promising field, with applications spanning from quantum computing and space exploration to advanced medical diagnostics [1]. This approach presents distinct advantages over traditional cooling methods, offering superior efficiency, reduced environmental impact, and capabilities to reach extremely low temperatures [2]. At its core, this technology exploits the magnetocaloric effect (MCE)—a phenomenon where magnetic materials undergo temperature changes when exposed to varying magnetic fields. During magnetization, the ordering of magnetic moments decreases magnetic entropy; during demagnetization, their randomization increases entropy and produces cooling [3]. For effective sub-Kelvin refrigeration, materials must demonstrate substantial magnetic entropy changes alongside minimal adiabatic temperature variations [4]. The development of such specialized magnetic refrigerants remains a central challenge in advancing this technology.
In recent years, considerable efforts have been devoted to exploring novel magnetocaloric materials with enhanced performance in the ultra-low-temperature regime [5,6]. Among the various material families, rare-earth-based compounds have emerged as promising candidates, owing to their large magnetic moments and diverse magnetic interactions [7,8,9,10]. Gadolinium-based compounds have attracted significant interest due to the high magnetic moment of Gd3+ ions (7.94 ) and their potential for achieving large MCE [11,12,13,14,15]. Chen et al. reported on the GdF3 compound, which features high spin, high-density structure, and weak ferromagnetic interactions [16]. This compound exhibits a maximum magnetic entropy change of up to 528 mJ·cm−3 K−1 under a varying magnetic field of 0–9 T. Zhang et al. investigated the magnetism and magnetocaloric effect of the Gd2CuTiO6 compound with a double perovskite structure [17]. Due to the exchange interactions between the Gd-4f and Cu-3d magnetic sublattices, this compound demonstrates enhanced low-temperature magnetocaloric effects, achieving a maximum magnetic entropy change of 51.4 J kg−1 K−1 under a magnetic field change of 0–7 T. Chen et al. studied the magnetic properties and magnetocaloric effect of NaGd9(SiO4)6O2 single crystals [18]. The high magnetic density and relatively weak exchange interactions in this compound lead to a magnetic ordering transition at 2.6 K, with a volumetric magnetic entropy change of 382.8 mJ·cm−3 K−1 under a magnetic field of 0–7 T. Therefore, gadolinium-based compounds with a high magnetic density are promising candidates for further exploration in the quest for high-performance cryogenic magnetic refrigerants.
Frustrated magnetic systems, characterized by competing magnetic interactions that cannot be simultaneously satisfied, have been identified as a fertile ground for realizing low-temperature magnetocaloric materials [19,20,21,22]. These frustrated magnetic configurations often exhibit enhanced MCE due to the presence of low-energy magnetic excitations [23]. In this work, we focus on the Gd7(BO3)(PO4)2O6 compound with monoclinic crystal, which combines a high density of Gd3+ ions with a frustrated magnetic structure. The unique arrangement of Gd3+ ions within the bc-plane and their stacking along the a-axis direction gives rise to competing magnetic interactions, making it an ideal platform for investigating low-temperature magnetocaloric effects. Through a comprehensive study of magnetic properties and MCE, we demonstrate the potential of Gd7(BO3)(PO4)2O6 as a promising cryogenic magnetic refrigerant.
2. Materials and Methods
A high-quality polycrystalline sample of the Gd7(BO3)(PO4)2O6 compound was synthesized using a high-temperature solid-state reaction method. The starting materials used for the synthesis were NH4H2PO4 (99.99%), Gd2O3 (99.99%), and H3BO3 (99.99%). Prior to the mixing process, all raw materials should be subjected to drying in an oven for 24 h to eliminate any adsorbed moisture. Additionally, weighing should be conducted in an inert nitrogen environment to avoid hydration. These reagents were mixed in stoichiometric proportions and thoroughly ground in an agate mortar. To compensate for the volatilization of NH4H2PO4 and H3BO3 at high temperatures, an excess of these precursors was added. After sufficient grinding, the mixture was initially heated at 773 K for 5 h. Subsequently, the sample was heated at 1473 K for 10 h, then removed from the furnace and reground. The grinding and heating process at 1473 K was repeated until a pure phase was obtained. All heating processes involve placing the sample in an alumina crucible and are carried out in air. The crystal structure of the synthesized compound was analyzed at room temperature by powder X-ray diffraction (XRD) using a diffractometer with Cu Kα radiation (λ = 1.5406 Å). The XRD data were collected over a 2θ range of 10° to 60° with a step size of 0.02° and a scanning speed of 2° per minute. To investigate the magnetic properties of the compound, temperature-dependent magnetization measurements were performed using a Quantum Design Physical Properties Measurement System (PPMS-9) equipped with a vibrating sample magnetometer (VSM) option. The measurements were carried out in the temperature range of 2–300 K under an applied magnetic field of 0.05 T. Field-dependent magnetization measurements were also conducted at various temperatures using the VSM option of the PPMS-9, with applied magnetic fields up to 7 T.
3. Results
3.1. Crystal Structure
The crystal structure of the Gd7(BO3)(PO4)2O6 compound is shown in Figure 1a, where each Gd3+ ion is surrounded by seven oxygen atoms, forming a polyhedral structure. Figure 1b presents the crystal structure from different perspectives, clearly revealing the layered stacking feature along the a-axis direction. It is worth noting that the nearest-neighbor distance between the stacked Gd3+ ions along the a-axis direction is 3.79 Å, indicating the presence of complex three-dimensional magnetic interactions in this compound. To better illustrate the uniqueness of the crystal structure, Figure 1c provides a magnified view of the local structure. The black dashed lines serve as a visual guide to observe the occupancy characteristics of Gd3+ ions in the lattice. The neighboring Gd3+ ions form a magnetically frustrated structure, with the distances between adjacent Gd3+ ions ranging from 3.68 to 3.88 Å. This unique structure leads to disorder and competition among the magnetic moments, which is expected to result in a lower magnetic ordering temperature. Figure 2 presents the refined powder X-ray diffraction (XRD) pattern of the Gd7(BO3)(PO4)2O6 compound at room temperature. The compound crystallizes in a monoclinic structure with space group No. 14 (P21/c). The lattice parameters are determined to be a = 6.6924 Å, b = 17.2453 Å, and c = 12.1073 Å. The refined experimental diffraction peaks are in good agreement with the standard peaks, and the corresponding refinement parameters RP, RWP, and RF are 13.07%, 14.699%, and 0.886%, respectively. The detailed crystal structure information is summarized in Table 1.
Figure 1.
(a,b) Schematic illustrations of the crystal structure of Gd7(BO3)(PO4)2O6 compound from different perspectives. (c) Magnified view of a portion of the crystal structure, with black dashed lines serving as a guide to emphasize the occupancy characteristics of Gd3+ in the lattice.
Figure 2.
The XRD pattern of Gd7(BO3)(PO4)2O6 compound obtained by refinement at room temperature. Black squares represent experimental values, while red, cyan, and blue lines represent refined fitted values, interpolations between experimental and fitted values, and positions of standard peaks for the refined indices, respectively.
Table 1.
Crystallographic information of Gd7(BO3)(PO4)2O6 compound.
3.2. Magnetic Properties
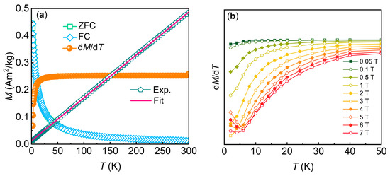
To determine the magnetic properties of the Gd7(BO3)(PO4)2O6 compound, the temperature-dependent magnetic susceptibility M (T) was measured in the temperature range of 2–300 K under an applied magnetic field of 0.01 T using both zero-field-cooled (ZFC) and field-cooled (FC) modes, as shown in Figure 3a. With decreasing temperature, the magnetic susceptibility gradually increases, and no inflection point is observed down to 2 K, indicating that the magnetic ordering temperature of this compound is below 2 K. The dM/dT curve also confirms that no magnetic ordering transition occurs in the compound above 2 K. The Curie–Weiss fitting of the magnetic susceptibility data in the temperature range of 2–300 K yields an effective magnetic moment of 8.1 for Gd3+, which is close to the theoretical value (7.96 ) [24]. Furthermore, the fitted paramagnetic Curie temperature (θ) is −8.17 K, indicating that the Gd3+ ions exhibit typical antiferromagnetic characteristics. However, the magnetic measurements collected above 2 K did not observe a magnetic ordering temperature. When considering only the nearest-neighbor interactions () of Gd3+, the Hamiltonian for the Gd7(BO3)(PO4)2O6 compound can be expressed as . Hence, the magnitude of the can also be used to evaluate the magnetic ordering temperature. For the Gd7(BO3)(PO4)2O6 compound, with z = 4 and S = 7/2, the experimental fit of the Curie-Weiss temperature is −8.17 K, which leads to a value of 390 mK through . Since the magnetic transition temperature in magnetic materials is significantly influenced by , the magnetic transition temperature in is below 2 K. To further understand the magnetism of the Gd7(BO3)(PO4)2O6 compound, the dM/dT results of its susceptibility as a function of temperature under different magnetic fields are presented in Figure 3b. At magnetic fields below 3 T, no inflection point is observed in the dM/dT curves. As the magnetic field increases, the inflection point appears and moves to higher temperatures. Therefore, based on the present results, several characteristics of the Gd7(BO3)(PO4)2O6 compound can be inferred: the magnetic transition temperature is below 2 K; and an induced transition from antiferromagnetic to ferromagnetic states occurs in magnetic fields exceeding 3 T.
Figure 3.
(a) The magnetic susceptibility versus temperature curve under a 0.01 T magnetic field. The inset shows the dM/dT curve to determine the magnetic transition temperature. The green and pink lines represent the experimental and fitted values, respectively, obtained from the Curie–Weiss fitting. (b) The dM/dT curves of Gd7(BO3)(PO4)2O6 compound under different magnetic fields, where the magnetization M is obtained from isothermal magnetization curves at different temperatures.
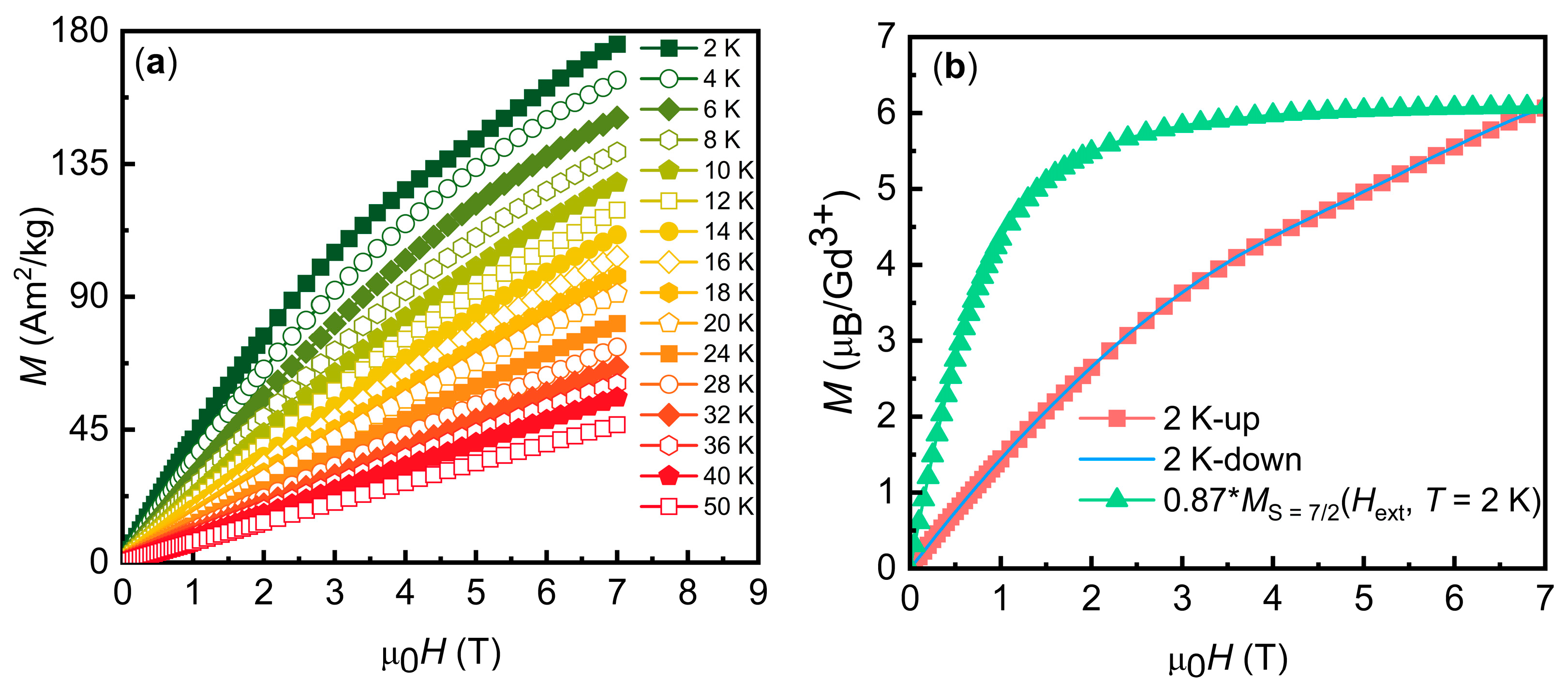
Figure 4a shows the isothermal magnetization curves M (H) of the Gd7(BO3)(PO4)2O6 compound at different temperatures under magnetic fields ranging from 0 to 7 T. As the magnetic field increases, the magnetization intensity increases almost linearly and does not reach saturation even at a high field of 7 T, which can be attributed to the typical frustrated structure in this compound. In Figure 4b, the Brillouin function for a free Heisenberg spin of S = 7/2 at T = 2 K is plotted. A significant difference can be clearly observed between the Brillouin function and the M (H) curve of Gd7(BO3)(PO4)2O6 compound at 2 K. Relatively speaking, the Brillouin function curve tends to saturate at lower magnetic fields, indicating that the magnetic interactions in this compound are dominated by superexchange or dipolar antiferromagnetic interactions. Moreover, the M (H) curves measured at 2 K using increasing and decreasing magnetic fields exhibit good reversibility, suggesting that the current compound undergoes a second-order magnetic phase transition from an antiferromagnetic state to a paramagnetic state.
Figure 4.
(a) Isothermal magnetization curves of Gd7(BO3)(PO4)2O6 compound under a magnetic field range of 0–7 T at various temperatures. (b) The green curve represents the Brillouin function for uncoupled stacked S = 7/2 spins, while the pink and blue lines, respectively, represent the isothermal magnetization curves at 2 K obtained under increasing and decreasing magnetic fields.
3.3. Magnetocaloric Effect
Although the compound exhibits a high saturation magnetization of 180 Am2/kg, a significant portion of the magnetic entropy () is lost due to strong antiferromagnetic interactions. Magnetic entropy change is an important parameter for evaluating the magnetocaloric effect. Based on the Maxwell relation, it is given by [25]. The temperature dependence of the magnetic entropy change for the Gd7(BO3)(PO4)2O6 compound under different magnetic fields is shown in Figure 5. As the magnetic field increases, the peak value of the appears to gradually shift towards higher temperatures, which is particularly evident under 7 T. This suggests that the compound may undergo a field-induced metamagnetic transition from an antiferromagnetic state to a ferromagnetic state under the influence of the magnetic field. This conclusion is obtained because the peak value of the in ferromagnetic materials shifts towards higher temperatures with an increasing magnetic field. Although the compound has an antiferromagnetic ground state, the results of the are sufficient to prove the correctness of this hypothesis, and similar results have also been observed in other compounds with antiferromagnetic interactions [26].
Figure 5.
Magnetic entropy change as a function of temperature for Gd7(BO3)(PO4)2O6 compound under a varying magnetic field from 0 T to 7 T.
Under a varying magnetic field of 0–7 T, the maximum magnetic entropy change () of the compound reaches 35.2 J/kg K, exhibiting a relatively excellent low-temperature magnetocaloric effect. However, based on the theoretical magnetic entropy change calculation formula = nRln(2S + 1)/M, where n is the number of magnetic ions, R is the ideal gas constant, S is the spin quantum number of the magnetic ions, and M corresponds to the molar mass of the compound, the calculated theoretical magnetic entropy change is as high as 83.0 J/kg K. This is significantly higher than the currently observed experimental value. As mentioned above, due to the strong frustration, the magnetization increases linearly with the magnetic field, resulting in a significant reduction in .
The refrigerant capacity (RC) and temperature-averaged magnetic entropy change (TEC) are also important parameters for evaluating the magnetocaloric effect, as obtained from Equations (2) and (3) [27,28], where and correspond to the temperatures at half of the ||, respectively. For the Gd7(BO3)(PO4)2O6 compound, is determined to be 2.5 K, is the desired temperature lift, and is the center temperature at which the maximum TEC is expected to be obtained. Under a varying magnetic field of 0–7 T, the TEC (3) and RC of the Gd7(BO3)(PO4)2O6 compound are 33.2 J/kg and 288.6 J/kg, respectively. Table 2 compares the magnetocaloric parameters of other low-temperature magnetic refrigerant materials with similar magnetic transition temperatures. It should be emphasized that although the magnetocaloric effect of the current compound is not outstanding, its theoretical magnetic entropy changes of up to 83.0 J/kg K indicate that excellent magnetocaloric effects can be expected and achievable through further optimization. From the crystal structure of the Gd7(BO3)(PO4)2O6 compound, it can be observed that Gd3+ forms a magnetic frustrated structure in the ab-plane, creating a two-dimensional structure, and these layers are stacked along the c-axis direction. Therefore, if partial non-magnetic ions occupy the Gd3+ sites, it could disrupt some of the frustrated structures. Although introducing non-magnetic ions into the system would reduce the magnetic density of the compound, if the magnetization can tend to saturate at lower magnetic fields while slightly reducing the saturation magnetization, a more superior magnetocaloric effect compared to the current one would be obtained, especially at low magnetic fields. B.Y. Kang et al. investigated the magnetically frustrated system R1−xYxB4 (R = Tb and Dy) and found that the substitution of non-magnetic Y3+ ions for R3+ ions leads to two phenomena: a decrease in the magnetic transition temperature is observed; the substitution results in a weak ferromagnetic transition, which is precisely due to the disruption of the magnetically frustrated state [29]. Additionally, it is noteworthy that the frustrated structures are connected by oxygen atoms, which generate interlayer interactions. Thus, replacing some of the oxygen atoms with other molecular ligands can also significantly modulate the crystal structure, such as further increasing the interlayer spacing to achieve a lower magnetic transition temperature.
Table 2.
Comparison of magnetocaloric parameters between Gd7(BO3)(PO4)2O6 compound and other candidate materials with similar magnetic transition temperatures.
4. Discussion
It is important to emphasize that although the current magnetocaloric effect of the compound is not outstanding, its theoretical magnetic entropy change reaches as high as 83.0 J/kg K, indicating its potential to achieve superior low-temperature magnetocaloric effects. The fitted nearest-neighbor interaction as low as 390 mK indicates that the Gd7(BO3)(PO4)2O6 compound likely has a low magnetic transition temperature. Results of temperature-dependent susceptibility curves (dM/dT) under different magnetic fields suggest that although this compound has antiferromagnetic interactions, these antiferromagnetic interactions can flip to a ferromagnetic state in magnetic fields exceeding 3 T. Additionally, due to the magnetically frustrated structure in the Gd7(BO3)(PO4)2O6 compound, its magnetization exhibits an almost linear increase with the magnetic field, which is the main reason for the significant suppression of magnetic entropy. However, it is noteworthy that this compound has a high rare earth content, which means that the partial substitution of Gd3+ with non-magnetic ions could disrupt some of the magnetic frustration structure, making the magnetization more easily saturated with an increasing magnetic field. Although this would weaken the magnetic ion content of the system, causing a slight decrease in saturation magnetization, an overall enhancement in the magnetocaloric effect can be expected.
In addition, the geometric arrangement of magnetic ions in magnetically frustrated materials leads to competitive interactions between spins, resulting in lower magnetic transition temperatures. However, replacing some of the magnetic ions with non-magnetic ions can disrupt the frustrated structure, which is a double-edged sword for the development of ultra-low-temperature magnetic refrigeration materials. Specifically, the substitution of non-magnetic ions can eliminate some of the frustrated structures in the lattice, allowing the magnetization to saturate at lower magnetic fields and thus releasing more magnetic entropy. However, this could also lead to an increase in the magnetic ordering temperature. Therefore, it is particularly important to optimize the amount of non-magnetic ion substitution to balance the magnetocaloric effect and the magnetic transition temperature.
5. Conclusions
In conclusion, we have investigated the crystal structure, magnetic properties, and magnetocaloric effects of the monoclinic-lattice-structured Gd7(BO3)(PO4)2O6 compound. This compound is characterized by a high density of Gd3+ ions arranged in a unique frustrated magnetic structure within the bc-plane and stacked along the a-axis direction, exhibiting promising magnetocaloric properties. Magnetic susceptibility measurements reveal an antiferromagnetic-to-paramagnetic phase transition occurring below 2 K. Based on the shift of the temperature corresponding to the magnetic entropy change peak towards higher temperatures with an increasing magnetic field, it can be inferred that the compound undergoes a field-driven metamagnetic transition from an antiferromagnetic to a ferromagnetic state. Most notably, the compound exhibits a significant magnetic entropy change of 35.2 J kg−1 K−1 under a magnetic field variation of 0–7 T. The results of this study emphasize the substantial potential of utilizing frustrated magnetic interactions in monoclinic lattices with a high concentration of Gd3+ ions. However, due to the strong magnetic frustration, the magnetization remains unsaturated even under a magnetic field as high as 7 T. In future work, the focus should be on tuning the magnetic frustration to enhance the magnetocaloric effect.
Author Contributions
L.T.: writing—original draft preparation and conceptualization, X.H. and Z.S.: methodology and validation, X.G.: formal analysis and investigation, Z.M.: writing—review and editing, project administration, visualization, and supervision. All authors have read and agreed to the published version of the manuscript.
Funding
This research was funded by the Self-deployed Project of Ganjiang Innovation Research Institute, Chinese Academy of Sciences, grant number E355F001, the Light of the Soviet Area-Innovation Leading Talent Program, grant number E23HB00101, and the High-Level and High-Skilled Leading Talent Training Program of Jiangxi Province, grant number E239F001.
Institutional Review Board Statement
Not applicable.
Informed Consent Statement
Not applicable.
Data Availability Statement
Data in the manuscript can be obtained by contacting the corresponding author.
Conflicts of Interest
The authors declare no conflicts of interest.
References
- Lucas, M.; Danilov, A.V.; Levitin, L.V.; Jayaraman, A.; Casey, A.J.; Faoro, L.; Tzalenchuk, A.Y.; Kubatkin, S.E.; Saunders, J.; de Graaf, S.E. Quantum bath suppression in a superconducting circuit by immersion cooling. Nat. Commun. 2023, 14, 3522. [Google Scholar] [PubMed]
- Zu, H.; Dai, W.; de Waele, A.T.A.M. Development of dilution refrigerators—A review. Cryogenics 2021, 121, 103390. [Google Scholar]
- Zheng, N.W.; Quan, J.; Wang, N.L.; Li, C.Z.; Zhao, M.G.; Wei, L.J.; Liang, J.T. A Brief Review of Dilution Refrigerator Development for Space Applications. J. Low Temp. Phys. 2019, 197, 1–9. [Google Scholar]
- Wang, Y.P.; Xiang, J.S.; Zhang, L.; Gong, J.J.; Li, W.; Mo, Z.J.; Shen, J. Giant Low-Field Cryogenic Magnetocaloric Effect in a Polycrystalline EuB4O7 Compound. J. Am. Chem. Soc. 2024, 146, 3315–3322. [Google Scholar] [PubMed]
- Xu, Q.F.; Liu, B.L.; Ye, M.Y.; Zhuang, G.L.; Long, L.S.; Zheng, L.S. Gd(OH)F2: A Promising Cryogenic Magnetic Refrigerant. J. Am. Chem. Soc. 2022, 144, 13787–13793. [Google Scholar]
- Wang, H.J.; Mo, Z.J.; Gong, J.J.; Tu, H.; Zhang, G.C.; Shen, J. Large low-field reversible magnetocaloric effect in K3Gd(PO4)2 at sub-Kelvin temperature. J. Rare Earths 2024, 42, 1087–1092. [Google Scholar]
- Yang, Y.; Zhang, Q.C.; Pan, Y.Y.; Long, L.S.; Zheng, L.S. Magnetocaloric effect and thermal conductivity of Gd(OH)3 and Gd2O(OH)4(H2O)2. Chem. Commun. 2015, 51, 7317–7320. [Google Scholar]
- Chen, Y.C.; Qin, L.; Meng, Z.S.; Yang, D.F.; Wu, C.; Fu, Z.D.; Zheng, Y.Z.; Liu, J.L.; Tarasenko, R.; Orendác, M.; et al. Study of a magnetic-cooling material Gd(OH)CO3. J. Mater. Chem. A 2014, 2, 9851–9858. [Google Scholar]
- Liu, J.L.; Chen, Y.C.; Guo, F.S.; Tong, M.L. Recent advances in the design of magnetic molecules for use as cryogenic magnetic coolants. Coord. Chem. Rev. 2014, 281, 26–49. [Google Scholar]
- Palacios, E.; Rodriguez-Velamazan, J.A.; Evangelisti, M.; Mclntyre, G.J.; Lorusso, G.; Visser, D.; de Jongh, L.J.; Boatner, L.A. Magnetic structure and magnetocalorics of GdPO4. Phys. Rev. B 2014, 90, 214423. [Google Scholar]
- Yang, Z.Y.; Zhang, H.H.; Bai, M.J.; Li, W.; Huang, S.L.; Ruan, S.C.; Zeng, Y.J. Large magnetocaloric effect in gadolinium borotungstate Gd3BWO9. J. Mater. Chem. C 2020, 8, 11866–11873. [Google Scholar]
- Xia, M.J.; Shen, S.P.; Lu, J.; Sun, Y.; Li, R.K. K3Li3Gd7(BO3)9: A New Gadolinium-Rich Orthoborate for Cryogenic Magnetic Cooling. Chem. Eur. J. 2018, 24, 3147–3150. [Google Scholar] [PubMed]
- Xie, Y.; Na, Y.Z.; Chen, F.Y.; Zhang, Y.K. Cryogenic magnetic properties and magnetocaloric responses in Gd11GeP3O26 oxide. Inorg. Chem. Commun. 2025, 177, 114395. [Google Scholar]
- Chen, Y.W.; Liu, W.; Feng, J.C.; Guo, R.X.; Fan, F.D.; Shen, J.; Zhang, G.C.; Tu, H. Magnetocaloric effect in LiLn6O5(BO3)3 (Ln = Gd, Tb, Dy, and Ho). Cryogenics 2022, 124, 103476. [Google Scholar]
- Yang, Z.W.; Qin, S.J.; Zhang, J.; Lu, D.B.; Zhao, H.T.; Kang, C.X.; Cui, H.Z.; Long, Y.W.; Zeng, Y.J. Gadolinium oxyorthogermanate Gd2GeO5: An efficient solid refrigerant material for magnetic cryocoolers. Mater. Today Phys. 2022, 27, 100810. [Google Scholar]
- Chen, Y.C.; Prokleska, J.; Xu, W.J.; Liu, J.L.; Liu, J.; Zhang, W.X.; Jia, J.H.; Sechovsky, V.; Tong, M.L. A brilliant cryogenic magnetic coolant: Magnetic and magnetocaloric study of ferromagnetically coupled GdF3. J. Mater. Chem. C 2015, 3, 12206–12211. [Google Scholar]
- Zhang, Y.K.; Na, Y.Z.; Hao, W.X.; Gottschall, T.; Li, L.W. Enhanced Cryogenic Magnetocaloric Effect from 4f-3d Exchange Interaction in B-Site Ordered Gd2CuTiO6 Double Perovskite Oxide. Adv. Funct. Mater. 2024, 34, 2409061. [Google Scholar]
- Chen, Z.H.; Zhang, C.L.; Zhang, Z.M.; Yu, S.L.; Zhang, G.C.; Tu, H.; Wang, D.H.; Shen, J. Large magnetocaloric effect in gadolinium-rich silicate NaGd9(SiO4)6O2. J. Alloys Compd. 2024, 976, 173351. [Google Scholar] [CrossRef]
- Pakhira, S.; Mazumdar, C.; Ranganathan, R.; Avdeev, M. Magnetic frustration induced large magnetocaloric effect in the absence of long range magnetic order. Sci. Rep. 2017, 7, 7367. [Google Scholar]
- Das, M.; Roy, S.; Khan, N.; Mandal, P. Giant magnetocaloric effect in an exchange-frustrated GdCrTiO5 antiferromagnet. Phys. Rev. B 2018, 98, 104420. [Google Scholar]
- Koskelo, E.C.; Kelly, N.D.; Nagle, L.A.V.; Bocarsly, J.D.; Mukherjee, P.; Liu, C.; Zhang, Q.; Dutton, S.E. Magnetic and Magnetocaloric Properties of the A2LnSbO6 Lanthanide Oxides on the Frustrated fcc Lattice. Inorg. Chem. 2023, 62, 10317–10328. [Google Scholar] [CrossRef] [PubMed]
- Midya, A.; Khan, N.; Bhoi, D.; Mandal, P. Giant magnetocaloric effect in magnetically frustrated EuHo2O4 and EuDy2O4 compounds. Appl. Phys. Lett. 2012, 101, 132415. [Google Scholar] [CrossRef]
- Liu, A.D.; Zhou, J.; Wang, L.; Cao, Y.T.; Song, F.Y.; Han, Y.Y.; Li, J.X.; Tong, W.; Xia, Z.Z.C.; Ouyang, Z.W.; et al. Large magnetocaloric effect in the Shastry-Sutherland lattice compound Yb2Be2GeO7 with spin-disordered ground state. Phys. Rev. B 2024, 110, 144445. [Google Scholar] [CrossRef]
- Zhang, Y.K.; Zhu, J.; Li, S.; Zhang, Z.Q.; Wang, J.; Ren, Z.M. Magnetic properties and promising magnetocaloric performances in the antiferromagnetic GdFe2Si2 compound. Sci. China Mater. 2022, 65, 1345–1352. [Google Scholar] [CrossRef]
- Gschneidner, K.A.; Pecharsky, V.K.; Tsoko, A.O. Recent developments in magnetocaloric materials. Rep. Prog. Phys. 2005, 68, 1479. [Google Scholar] [CrossRef]
- Tian, L.; Xu, B.; Chen, H.; Mo, Z.J.; Li, Z.X.; Liu, G.D.; Shen, J. Unstable antiferromagnetism and large reversible magnetocaloric effect in TmNi2Si2. Sci. China Mater. 2023, 66, 3984–3990. [Google Scholar] [CrossRef]
- Griffith, L.D.; Mudryk, Y.; Slaughter, J.; Pecharsky, V.K. Material-based figure of merit for caloric materials. J. Appl. Phys. 2018, 123, 034902. [Google Scholar] [CrossRef]
- Gschneidner, K.A.; Pecharsky, V.K. Magnetocaloric materials. Annu. Rev. Mater. Sci. 2000, 30, 387–429. [Google Scholar] [CrossRef]
- Kang, B.Y.; Kim, J.Y.; Choi, H.Y.; Cho, B.K. Anomalous weak ferromagnetism in the magnetically frustrated system R1−xYxB4 (R=Tb and Dy). Phys. Rev. B 2015, 91, 024414. [Google Scholar] [CrossRef]
- Mahana, S.; Manju, U.; Topwal, D. GdCrO3: A potential candidate for low temperature magnetic refrigeration. J. Phys. D Appl. Phys. 2018, 51, 305002. [Google Scholar] [CrossRef]
- Chen, Z.H.; Wang, D.H.; Zhang, C.L.; Zhang, Z.M.; Zhang, G.C.; Tu, H.; Shen, J. Cryogenic magnetocaloric effect in R2GeMoO8 (R = Gd and Dy) compounds. J. Appl. Phys. 2023, 133, 143904. [Google Scholar]
- Dey, K.; Indra, A.; Majumdar, S.; Giri, S. Cryogenic magnetocaloric effect in zircon-type RVO4 (R = Gd, Ho, Er, and Yb). J. Mater. Chem. C 2017, 5, 1646–1650. [Google Scholar]
- Mahana, S.; Manju, U.; Topwal, D. Giant magnetocaloric effect in GdAlO3 and a comparative study with GdMnO3. J. Phys. D Appl. Phys. 2016, 50, 035002. [Google Scholar]
- Wang, P.Y.; Zhang, Z.Q.; Su, W.T.; Li, L.W. Structural and cryogenic magnetic properties in AGd(MoO4)2 (A = Li, Na and K) compounds. Ceram. Int. 2019, 45, 21735–21741. [Google Scholar]
- Mukherjee, P.; Wu, Y.; Lampronti, G.I.; Dutton, S.E. Magnetic properties of monoclinic lanthanide orthoborates, LnBO3, Ln = Gd, Tb, Dy, Ho, Er, Yb. Mater. Res. Bull. 2018, 98, 173–179. [Google Scholar]
Disclaimer/Publisher’s Note: The statements, opinions and data contained in all publications are solely those of the individual author(s) and contributor(s) and not of MDPI and/or the editor(s). MDPI and/or the editor(s) disclaim responsibility for any injury to people or property resulting from any ideas, methods, instructions or products referred to in the content. |
© 2025 by the authors. Licensee MDPI, Basel, Switzerland. This article is an open access article distributed under the terms and conditions of the Creative Commons Attribution (CC BY) license (https://creativecommons.org/licenses/by/4.0/).




