The Interaction of Fitness and Fatigue on Physical and Tactical Performance in Football
Abstract
Featured Application
Abstract
1. Introduction
2. Materials and Methods
2.1. Participants
2.2. External and Internal Load Collection
3. Data Analysis
3.1. Definition of Fitness, Fatigue Indices and Performance Score
- Poor performance condition: PS ≤ −1.
- Intermediate performance condition: PS > −1 and PS < 1.
- Optimal performance condition: PS ≥ 1.
3.2. Evaluation of Match Physical and Tactical Outcomes
- Percentage of field tilt (%FT): Field tilt is used to show the territorial dominance of the team. It measures the share of possession a team has in the game, considering only touches or passes in the attacking third. Higher values reflect greater attacking ability.
- Passes per defensive actions (PPDA): The metric is calculated by dividing the number of passes performed by the attacking team by the total number of defensive actions performed by the defending team (e.g., tackles and interceptions). Therefore, this metric counts how many passes a team allows the opponents to make before attempting to win the ball back with a defensive action. Lower PPDA values suggest higher defensive intensity.
- Percentage of territorial domination (%TDO): This metric represents the percentage of time spent in possession within the opponent’s half.
- Expected Threat (xT): The value quantifies the change in goal-scoring probability before and after an action, allowing us to provide a value to the actions that lead the team toward more dangerous situations.
4. Statistical Analysis
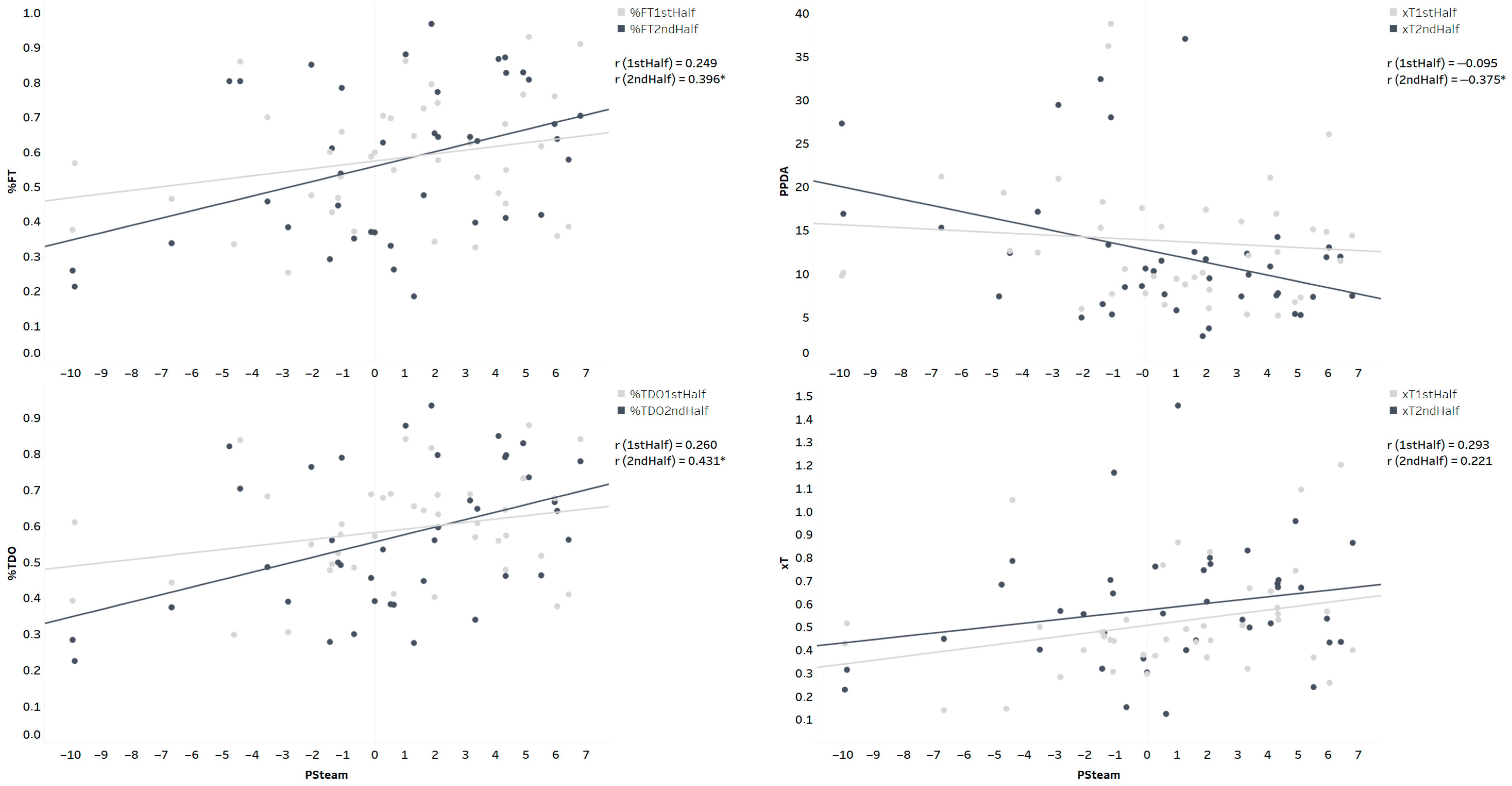
5. Results
6. Discussion
- Feasibility and usefulness of invisible monitoring in the context of Elite Team Sport
- The effect on individual physical performance
- The Effect of Performance Score on Team Technical and Tactical Performance
7. Limitations
8. Practical Application
9. Conclusions
Author Contributions
Funding
Institutional Review Board Statement
Informed Consent Statement
Data Availability Statement
Acknowledgments
Conflicts of Interest
References
- Ekstrand, J.; Spreco, A.; Bengtsson, H.; Bahr, R. Injury rates decreased in men’s professional football: An 18-year prospective cohort study of almost 12,000 injuries sustained during 1.8 million hours of play. Br. J. Sports Med. 2021, 55, 1084–1092. [Google Scholar] [PubMed]
- Soligard, T.; Schwellnus, M.; Alonso, J.-M.; Bahr, R.; Clarsen, B.; Dijkstra, H.P.; Gabbett, T.; Gleeson, M.; Hägglund, M.; Hutchinson, M.R. How much is too much? (Part 1) International Olympic Committee consensus statement on load in sport and risk of injury. Br. J. Sports Med. 2016, 50, 1030–1041. [Google Scholar] [PubMed]
- Bourdon, P.C.; Cardinale, M.; Murray, A.; Gastin, P.; Kellmann, M.; Varley, M.C.; Gabbett, T.J.; Coutts, A.J.; Burgess, D.J.; Gregson, W. Monitoring athlete training loads: Consensus statement. Int. J. Sports Physiol. Perform. 2017, 12, S2-161–S2-170. [Google Scholar]
- Thorpe, R.T.; Strudwick, A.J.; Buchheit, M.; Atkinson, G.; Drust, B.; Gregson, W. Monitoring fatigue during the in-season competitive phase in elite soccer players. Int. J. Sports Physiol. Perform. 2015, 10, 958–964. [Google Scholar]
- Banister, E.W.; Calvert, T.W.; Savage, M.V.; Bach, T. A systems model of training for athletic performance. Aust. J. Sports Med. 1975, 7, 57–61. [Google Scholar]
- Halson, S.L. Monitoring training load to understand fatigue in athletes. Sports Med. 2014, 44, 139–147. [Google Scholar]
- Mandorino, M.; Tessitore, A.; Lacome, M. Loading or Unloading? This Is the Question! A Multi-Season Study in Professional Football Players. Sports 2024, 12, 148. [Google Scholar] [CrossRef]
- West, S.W.; Clubb, J.; Torres-Ronda, L.; Howells, D.; Leng, E.; Vescovi, J.D.; Carmody, S.; Posthumus, M.; Dalen-Lorentsen, T.; Windt, J. More than a metric: How training load is used in elite sport for athlete management. Int. J. Sports Med. 2021, 42, 300–306. [Google Scholar] [PubMed]
- Leduc, C.; Tee, J.; Lacome, M.; Weakley, J.; Cheradame, J.; Ramirez, C.; Jones, B. Convergent validity, reliability, and sensitivity of a running test to monitor neuromuscular fatigue. Int. J. Sports Physiol. Perform. 2020, 15, 1067–1073. [Google Scholar]
- Mandorino, M.; Clubb, J.; Lacome, M. Predicting Soccer Players’ Fitness Status Through a Machine-Learning Approach. Int. J. Sports Physiol. Perform. 2024, 1, 1–11. [Google Scholar]
- Mandorino, M.; Tessitore, A.; Leduc, C.; Persichetti, V.; Morabito, M.; Lacome, M. A New Approach to Quantify Soccer Players’ Readiness through Machine Learning Techniques. Appl. Sci. 2023, 13, 8808. [Google Scholar] [CrossRef]
- Silva, J.R.; Rumpf, M.C.; Hertzog, M.; Castagna, C.; Farooq, A.; Girard, O.; Hader, K. Acute and residual soccer match-related fatigue: A systematic review and meta-analysis. Sports Med. 2018, 48, 539–583. [Google Scholar] [CrossRef]
- Coutinho, D.; Gonçalves, B.; Wong, D.P.; Travassos, B.; Coutts, A.J.; Sampaio, J. Exploring the effects of mental and muscular fatigue in soccer players’ performance. Hum. Mov. Sci. 2018, 58, 287–296. [Google Scholar] [CrossRef]
- Coutinho, D.; Gonçalves, B.; Travassos, B.; Wong, D.P.; Coutts, A.J.; Sampaio, J.E. Mental fatigue and spatial references impair soccer players’ physical and tactical performances. Front. Psychol. 2017, 8, 1645. [Google Scholar] [CrossRef] [PubMed]
- Dambroz, F.; Teoldo, I. Better decision-making skills support tactical behaviour and reduce physical wear under physical fatigue in soccer. Front. Physiol. 2023, 14, 1116924. [Google Scholar] [CrossRef] [PubMed]
- Winter, E.M.; Maughan, R.J. Requirements for ethics approvals. J. Sports Sci. 2009, 27, 985. [Google Scholar] [CrossRef]
- Gomez-Carmona, C.D.; Bastida-Castillo, A.; García-Rubio, J.; Ibáñez, S.J.; Pino-Ortega, J. Static and dynamic reliability of WIMU PRO™ accelerometers according to anatomical placement. Proc. Inst. Mech. Eng. Part P J. Sports Eng. Technol. 2019, 233, 238–248. [Google Scholar] [CrossRef]
- Gomez-Carmona, C.D.; Bastida-Castillo, A.; Gonzalez-Custodio, A.; Olcina, G.; Pino-Ortega, J. Using an inertial device (WIMU PRO) to quantify neuromuscular load in running: Reliability, convergent validity, and influence of type of surface and device location. J. Strength Cond. Res. 2020, 34, 365–373. [Google Scholar] [CrossRef]
- Buchheit, M.; Simpson, B.M.; Lacome, M. Monitoring cardiorespiratory fitness in professional soccer players: Is it worth the prick? Int. J. Sports Physiol. Perform. 2020, 15, 1437–1441. [Google Scholar] [CrossRef]
- Barrett, S.; Midgley, A.W.; Towlson, C.; Garrett, A.; Portas, M.; Lovell, R. Within-match PlayerLoad™ patterns during a simulated soccer match: Potential implications for unit positioning and fatigue management. Int. J. Sports Physiol. Perform. 2016, 11, 135–140. [Google Scholar] [CrossRef]
- Stone, M.H.; Sands, W.A.; Pierce, K.C.; Ramsey, M.W.; Haff, G.G. Power and power potentiation among strength–power athletes: Preliminary study. Int. J. Sports Physiol. Perform. 2008, 3, 55–67. [Google Scholar] [CrossRef]
- Barthelemy, B.; Ravé, G.; Govindasamy, K.; Ali, A.; Del Coso, J.; Demeaux, J.; Bideau, B.; Zouhal, H. Impact of Technical-Tactical and Physical Performance on the Match Outcome in Professional Soccer: A Case Study. J. Hum. Kinet. 2024, 94, 203. [Google Scholar]
- Mandorino, M.; Lacome, M. Defining Worst-Case-Scenario Thresholds in Soccer: Intensity Versus Volume. Int. J. Sports Physiol. Perform. 2024, 1, 1–5. [Google Scholar] [CrossRef]
- Thorpe, R.T.; Strudwick, A.J.; Buchheit, M.; Atkinson, G.; Drust, B.; Gregson, W. Tracking morning fatigue status across in-season training weeks in elite soccer players. Int. J. Sports Physiol. Perform. 2016, 11, 947–952. [Google Scholar]
- Cohen, J. Quantitative methods in psychology: A power primer. Psychol. Bull. 1992, 112, 1155–1159. [Google Scholar]
- Hopkins, W.; Marshall, S.; Batterham, A.; Hanin, J. Progressive statistics for studies in sports medicine and exercise science. Med. Sci. Sports Exerc. 2009, 41, 3. [Google Scholar] [CrossRef]
- Taha, T.; Thomas, S.G. Systems modelling of the relationship between training and performance. Sports Med. 2003, 33, 1061–1073. [Google Scholar] [PubMed]
- Calvert, T.W.; Banister, E.W.; Savage, M.V.; Bach, T. A systems model of the effects of training on physical performance. IEEE Trans. Syst. Man Cybern. 1976, SMC-6, 94–102. [Google Scholar]
- Carling, C.; Lacome, M.; McCall, A.; Dupont, G.; Le Gall, F.; Simpson, B.; Buchheit, M. Monitoring of post-match fatigue in professional soccer: Welcome to the real world. Sports Med. 2018, 48, 2695–2702. [Google Scholar] [CrossRef]
- Ramírez-López, C.; Till, K.; Weaving, D.; Boyd, A.; Peeters, A.; Beasley, G.; Bradley, S.; Giuliano, P.; Venables, C.; Jones, B. Does perceived wellness influence technical–tactical match performance? A study in youth international rugby using partial least squares correlation analysis. Eur. J. Sport Sci. 2022, 22, 1085–1093. [Google Scholar]
- Buchheit, M.; Settembre, M.; Hader, K.; McHugh, D. Planning the microcycle in elite football: To rest or not to rest? Int. J. Sports Physiol. Perform. 2023, 18, 293–299. [Google Scholar]





| Physical Parameters | First Half | Second Half |
| TD [m] | 5260 ± 505 | 4643 ± 1007 |
| D14.4 [m] | 1093 ± 299 | 880 ± 290 |
| D19.8 [m] | 319 ± 188 | 248 ± 107 |
| D25.2 [m] | 63 ± 46 | 45 ± 40 |
| MW [cnt] | 34 ± 9 | 28 ± 10 |
| Tactical Parameters | ||
| FT (%) | 58 ± 17 | 57 ± 22 |
| PPDA (a.u.) | 13.7 ± 7.5 | 12.2 ± 7.9 |
| TDO (%) | 59 ± 14 | 56 ± 19 |
| xT (a.u.) | 0.51 ± 0.23 | 0.58 ± 0.26 |
Disclaimer/Publisher’s Note: The statements, opinions and data contained in all publications are solely those of the individual author(s) and contributor(s) and not of MDPI and/or the editor(s). MDPI and/or the editor(s) disclaim responsibility for any injury to people or property resulting from any ideas, methods, instructions or products referred to in the content. |
© 2025 by the authors. Licensee MDPI, Basel, Switzerland. This article is an open access article distributed under the terms and conditions of the Creative Commons Attribution (CC BY) license (https://creativecommons.org/licenses/by/4.0/).
Share and Cite
Mandorino, M.; Gabbett, T.J.; Tessitore, A.; Leduc, C.; Persichetti, V.; Lacome, M. The Interaction of Fitness and Fatigue on Physical and Tactical Performance in Football. Appl. Sci. 2025, 15, 3574. https://doi.org/10.3390/app15073574
Mandorino M, Gabbett TJ, Tessitore A, Leduc C, Persichetti V, Lacome M. The Interaction of Fitness and Fatigue on Physical and Tactical Performance in Football. Applied Sciences. 2025; 15(7):3574. https://doi.org/10.3390/app15073574
Chicago/Turabian StyleMandorino, Mauro, Tim J. Gabbett, Antonio Tessitore, Cedric Leduc, Valerio Persichetti, and Mathieu Lacome. 2025. "The Interaction of Fitness and Fatigue on Physical and Tactical Performance in Football" Applied Sciences 15, no. 7: 3574. https://doi.org/10.3390/app15073574
APA StyleMandorino, M., Gabbett, T. J., Tessitore, A., Leduc, C., Persichetti, V., & Lacome, M. (2025). The Interaction of Fitness and Fatigue on Physical and Tactical Performance in Football. Applied Sciences, 15(7), 3574. https://doi.org/10.3390/app15073574

