Neural-Network-Based Synchronization Acquisition with Hankelization Preprocessing
Abstract
1. Introduction
2. System Model and Problem Formulation
3. Proposed Method
3.1. Brief Introduction of Preprocessor Design Based on Hankelization
3.2. Effectiveness of the Proposed Method Related to the Low Rank Properties of a Hankelized Matrix
3.3. NN Design via Hankelization-Based Preprocessing
- : The vector of singular values of the Hankel matrix , which is sorted in descending order.
- : The one-hot encoding vector representing whether the synchronization signal is present or absent, where denotes the transpose operator. We set the presence and absence of the synchronization signal as and , respectively.
- : The loss function, e.g., the mean squared error (MSE).
- : The model parameter, i.e., weight matrices and bias vectors.
- : The gradient operator with respect to .
- : The latent space dimension.
- d: The NN model depth.
- M: The size of the training dataset.
- N: The size of the test dataset.
4. Simulation Results
4.1. Simulation Configurations
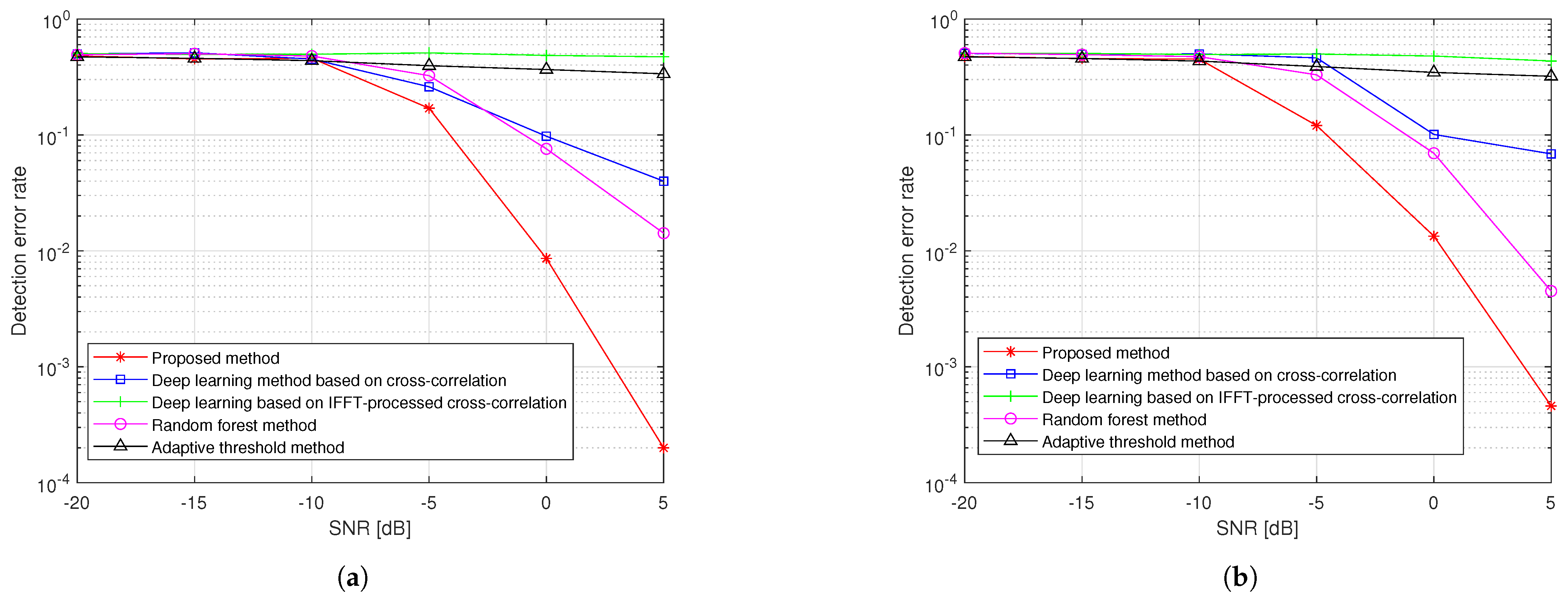
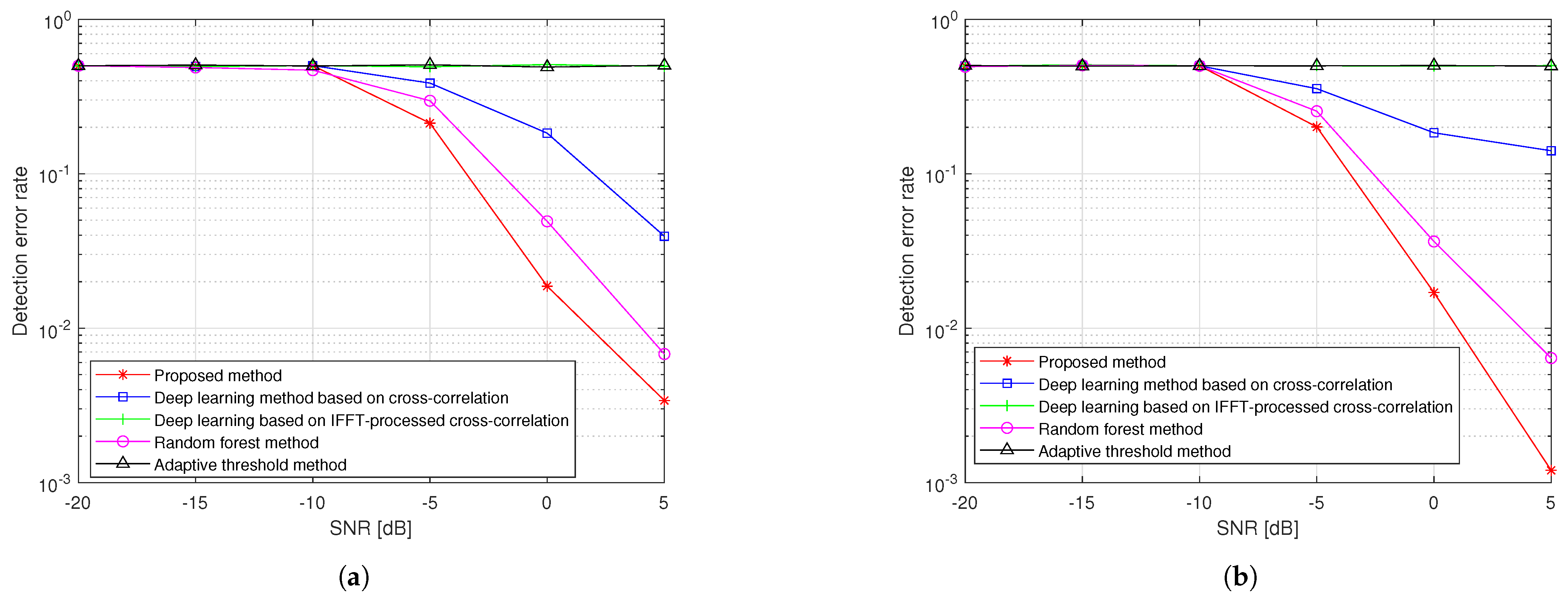
- Baseline 1 (Deep learning method based on cross-correlation): The NN-based method employing absolute correlation values as in conventional methods.
- Baseline 2 (Deep learning method based on IFFT-processed cross-correlation): The NN-based method employing absolute values of IFFT-applied correlation results as in conventional methods.
- Baseline 3 (Random forest method): The ML-based method that classifies signals using statistical features extracted from the absolute values of IFFT-processed cross-correlation results, following the approach in [16].
- Baseline 4 (Adaptive threshold method): A non-ML-based approach that detects signals by applying an adaptive threshold to the absolute values of IFFT-processed cross-correlation results based on estimated noise levels, following the approach in [25].
4.2. Performance for Detecting Synchronization Signal
4.3. Performance for Detecting Synchronization Signal with m-Sequences
4.4. Performance for Detecting Synchronization Signal Under Practical Channel Condition
5. Conclusions
Author Contributions
Funding
Institutional Review Board Statement
Informed Consent Statement
Data Availability Statement
Conflicts of Interest
Abbreviations
| NN | Neural network |
| ZC | Zadoff–Chu |
| SNR | Signal-to-noise ratio |
| SVD | Singular value decomposition |
| IFFT | Inverse fast Fourier transform |
| MSE | Mean squared error |
| FC | Fully connected |
| SGDM | Stochastic gradient descent with momentum |
| FLOP | Floating-point operation |
| ML | Machine learning |
| IoT | Internet of Things |
| PAR-DQ | Peak-to-average ratio after deleting quasi-users |
| PRACH | Physical random access channel |
| LEO | Low-Earth Orbit |
| LoRa | Long-range |
| NTN | Non-terrestrial network |
| CFAR | Constant false alarm rate |
| XL-MIMO | Extremely large-scale massive multiple-input multiple-output |
| mMTC | Massive machine-type communication |
| TDL-B | Tap delay line-B |
| BER | Bit error rate |
References
- Chu, D. Polyphase codes with good periodic correlation properties (Corresp.). IEEE Trans. Inf. Theory 1972, 18, 531–532. [Google Scholar] [CrossRef]
- ETSI TS 136 211 V14.2.0; Evolved Universal Terrestrial Radio Access (E-UTRA). Physical Channels and Modulation (Release 14), April 2017. Available online: https://standards.iteh.ai/catalog/standards/etsi/82261ce3-384c-4ae8-8f91-6f463d554bb9/etsi-ts-136-211-v14-14-0-2020-04?srsltid=AfmBOoqfhUWnY0pK0-YSyVi-Q6U–KwIr5F_4zpxw_XyBHlFfIgNzf3O (accessed on 20 March 2025).
- ETSI TS 138 211, V16.2.0; Physical Channels and Modulation (Release 16), July 2020. Available online: https://standards.iteh.ai/catalog/standards/etsi/1301bb48-2994-4462-a159-5d4a1c8177a8/etsi-ts-138-211-v16-2-0-2020-07?srsltid=AfmBOooSCPop3jVR_2vueJwuTPZ9S4YKUJl8JrI8BV_1TnXBWCOG21tx (accessed on 20 March 2025).
- Wang, J.; Cui, G.; He, Y.; Jian, L.; Wang, W.; Zhang, Y. A PAR-DQ random access preamble detection algorithm in LTE-satellite communication system. In Proceedings of the 2014 Sixth International Conference on Wireless Communications and Signal Processing (WCSP), Hefei, China, 23–25 October 2014; pp. 1–5. [Google Scholar]
- Pham, T.A.; Le, B.T. A proposed preamble detection algorithm for 5G-PRACH. In Proceedings of the 2019 International Conference on Advanced Technologies for Communications (ATC), Hanoi, Vietnam, 17–19 October 2019; pp. 210–214. [Google Scholar]
- Zhen, L.; Bashir, A.K.; Yu, K.; Al-Otaibi, Y.D.; Foh, C.H.; Xiao, P. Energy-Efficient Random Access for LEO Satellite-Assisted 6G Internet of Remote Things. IEEE Internet Things J. 2021, 8, 5114–5128. [Google Scholar] [CrossRef]
- Tang, X.; Zhang, Y.; Wang, Y.; Zhao, D.; Li, H.; Zhao, X. Performance Analysis of Preamble Detection of LoRa System. In Proceedings of the 2019 International Conference on Electronic Engineering and Informatics (EEI), Nanjing, China, 8–9 November 2019; pp. 175–180. [Google Scholar]
- Kim, S.Y.; Yoon, S.H.; Shin, H.I. Demonstration of Optimizing the CFAR Threshold for Development of GMTI System. J. Korea Inst. Mil. Sci. Technol. 2018, 21, 141–146. [Google Scholar]
- Kong, Y.J.; Woo, S.K.; Park, S.; Shin, S.Y.; Jang, Y.H.; Yang, E. OS CFAR computation time reduction technique to apply radar system in real time. J. Korean Inst. Electromagn. Eng. Sci. 2018, 29, 791–798. [Google Scholar] [CrossRef]
- Hansen, V.G.; Sawyers, J.H. Detectability Loss Due to “Greatest Of" Selection in a Cell-Averaging CFAR. IEEE Trans. Aerosp. Electron. Syst. 1980, AES-16, 115–118. [Google Scholar] [CrossRef]
- Trunk, G.V. Range resolution of targets using automatic detectors. IEEE Trans. Aerosp. Electron. Syst. 1978, AES-14, 750–755. [Google Scholar] [CrossRef]
- Sebdani, M.M.; Javad Omidi, M. Detection of an LTE signal based on constant false alarm rate methods and Constant Amplitude Zero Autocorrelation sequence. In Proceedings of the 2010 International Conference on Intelligent and Advanced Systems, Xiamen, China, 29–31 October 2010; pp. 1–6. [Google Scholar]
- Lee. Performance analysis of DNN based acquisition scheme in chirp spread spectrum systems. In Proceedings of the Computational Engineering and International Conference (CEIC), Berlin, Germany, 15–17 May 2023. [Google Scholar]
- Kim, K.; Shin, Y. Single linear chirp-based communication-like jamming in chirp spread spectrum systems. J. Korean Inst. Commun. Inf. Sci. 2019, 44, 685–692. [Google Scholar]
- Zhen, L.; Wang, Y.; Sun, T.; Wang, W.; Yu, K.; Kharel, R. A Threshold-Free Random Access Preamble Detection Method Based on Joint Clustering for 6G NTN. In Proceedings of the 2021 IEEE Globecom Workshops (GC Wkshps), Madrid, Spain, 7–11 December 2021; pp. 1–6. [Google Scholar]
- Recayte, E.; Munari, A.; Clazzer, F. Grant-Free Access: Machine Learning for Detection of Short Packets. In Proceedings of the 2020 10th Advanced Satellite Multimedia Systems Conference and the 16th Signal Processing for Space Communications Workshop (ASMS/SPSC), Graz, Austria, 20–21 October 2020; pp. 1–7. [Google Scholar]
- Khan, M.U.; Testi, E.; Paolini, E.; Chiani, M. Preamble Detection in Asynchronous Random Access Using Deep Learning. IEEE Wirel. Commun. Lett. 2024, 13, 279–283. [Google Scholar] [CrossRef]
- Lee, W.H.; Kim, M. NsigNet: A Neural Network Design for Detecting the Number of Signals Under Sparse Observations. IEEE Internet Things J. 2024, 11, 19355–19367. [Google Scholar]
- Li, Y.; Liu, K.R.; Razavilar, J. A parameter estimation scheme for damped sinusoidal signals based on low-rank Hankel approximation. IEEE Trans. Signal Process. 1997, 45, 481–486. [Google Scholar] [CrossRef]
- Eckart, C.; Young, G. The approximation of one matrix by another of lower rank. Psychometrika 1936, 1, 211–218. [Google Scholar] [CrossRef]
- Kim, J.H.; Ozger, M.; Lee, W.H. CR2Net: A Neural Network Based Classifier for Rician and Rayleigh Channels via Hankelization. IEEE Wirel. Commun. Lett. 2024, 13, 1235–1239. [Google Scholar]
- Kim, J.H.; Kim, D.H.; Ozger, M.; Lee, W.H. An NN-Aided Near-and-Far-Field Classifier via Channel Hankelization in XL-MIMO Systems. IEEE Access 2024, 12, 41934–41941. [Google Scholar]
- Li, C.P.; Huang, W.C. A constructive representation for the Fourier dual of the Zadoff–Chu sequences. IEEE Trans. Inf. Theory 2007, 53, 4221–4224. [Google Scholar] [CrossRef]
- Fan, P.; Darnell, M. Communications Systems Techniques and Applications. In Sequence Design for Communications Applications; Research Studies Pr Ltd.: London, UK, 1996. [Google Scholar]
- de Figueiredo, F.A.; Cardoso, F.; Bianco, F.; Vilela, R.; Lenzi, K. Multi-stage based cross-correlation peak detection for LTE random access preambles. Rev. Telecomunicacoes 2013, 15, 1–7. [Google Scholar]
- Zhen, L.; Sun, T.; Lu, G.; Yu, K.; Ding, R. Preamble design and detection for 5G enabled satellite random access. IEEE Access 2020, 8, 49873–49884. [Google Scholar] [CrossRef]
- TR 38.901 G.T.; Study on Channel Model for Frequencies from 0.5 to 100 GHz. 2017. Available online: https://www.etsi.org/deliver/etsi_tr/138900_138999/138901/16.01.00_60/tr_138901v160100p.pdf (accessed on 20 March 2025).








| Parameters | Values |
|---|---|
| Length of sequence (P) | 37, 41 |
| Root index (K) | A randomly selected prime number under P |
| Size of training dataset | |
| Size of test dataset | |
| NN depth d | 2 |
| NN width | 24 |
| Max. epochs | 30 |
| NN connection type | Fully-connected |
| Learning rate | |
| Activation function | Leaky ReLU |
| Loss function | MSE |
| Optimizer | SGDM |
| Momentum |
| Parameters | Values |
|---|---|
| Carrier frequency | 3.5 GHz |
| Sampling frequency | 15.36 MHz |
| Subcarrier spacing | 15 kHz |
| Number of paths | 6 |
| Path gain and delay | TDL-B [27] |
Disclaimer/Publisher’s Note: The statements, opinions and data contained in all publications are solely those of the individual author(s) and contributor(s) and not of MDPI and/or the editor(s). MDPI and/or the editor(s) disclaim responsibility for any injury to people or property resulting from any ideas, methods, instructions or products referred to in the content. |
© 2025 by the authors. Licensee MDPI, Basel, Switzerland. This article is an open access article distributed under the terms and conditions of the Creative Commons Attribution (CC BY) license (https://creativecommons.org/licenses/by/4.0/).
Share and Cite
Kim, G.-E.; Kim, J.-H.; Lee, J.-H.; Lee, W.-H. Neural-Network-Based Synchronization Acquisition with Hankelization Preprocessing. Appl. Sci. 2025, 15, 3479. https://doi.org/10.3390/app15073479
Kim G-E, Kim J-H, Lee J-H, Lee W-H. Neural-Network-Based Synchronization Acquisition with Hankelization Preprocessing. Applied Sciences. 2025; 15(7):3479. https://doi.org/10.3390/app15073479
Chicago/Turabian StyleKim, Gyung-Eun, Jung-Hwan Kim, Jong-Ho Lee, and Woong-Hee Lee. 2025. "Neural-Network-Based Synchronization Acquisition with Hankelization Preprocessing" Applied Sciences 15, no. 7: 3479. https://doi.org/10.3390/app15073479
APA StyleKim, G.-E., Kim, J.-H., Lee, J.-H., & Lee, W.-H. (2025). Neural-Network-Based Synchronization Acquisition with Hankelization Preprocessing. Applied Sciences, 15(7), 3479. https://doi.org/10.3390/app15073479

