Nonlinear Stability Analysis of Shallow-Buried Bias Tunnel Based on Failure Mode Improvement
Abstract
1. Introduction
2. Nonlinear Damage Criterion
3. Destructive Mode and Velocity Field
4. Surrounding Rock Pressure Calculation
4.1. External Force Power
4.2. Internal Energy Consumption
4.3. Surrounding Rock Pressure
4.4. Optimum Calculation
5. Comparative Analysis with Existing Results
6. Example Analysis
6.1. Influence of Slope Top Load
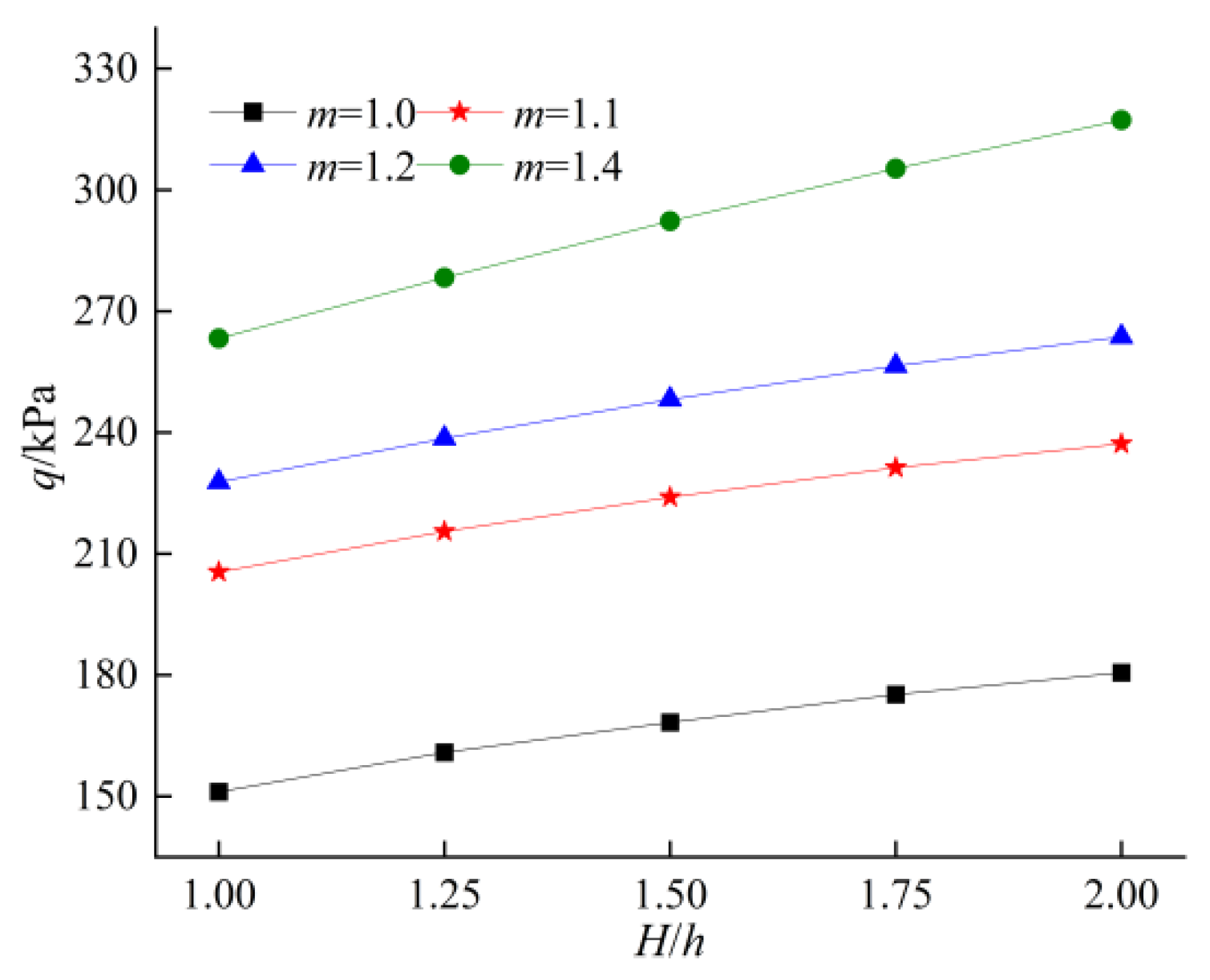
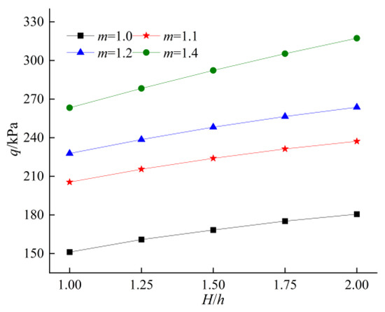
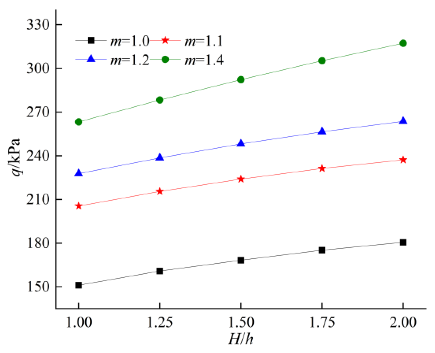
6.2. Effect of Buried Depth Ratio
6.3. Effect of Cohesion
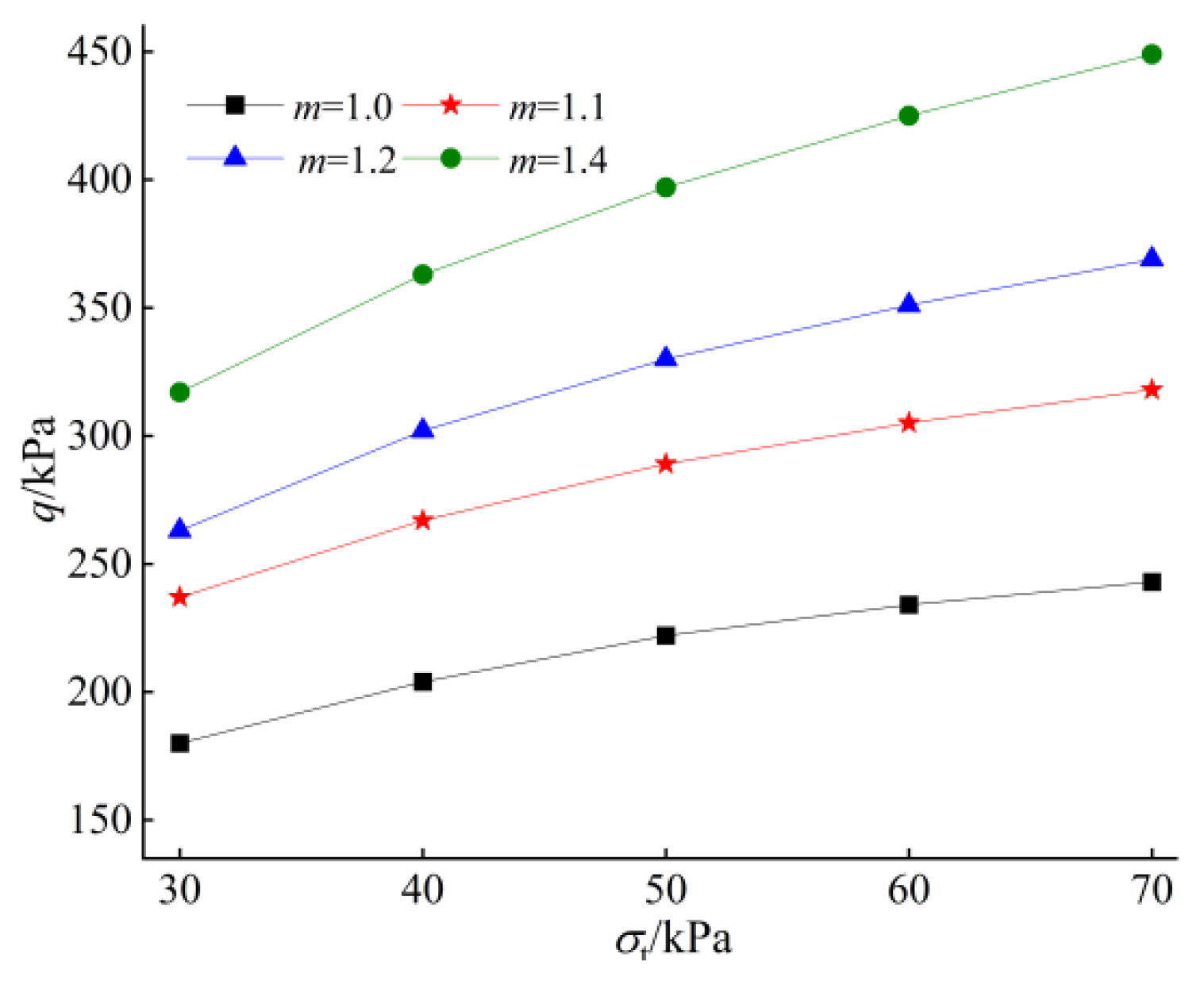
6.4. Influence of Axial Tensile Stress
7. Conclusions
- (1)
- When conducting the support design calculations for the surrounding rock in the circular arc failure mode of shallow-buried tunnels in slope sections, the upper-bound limit analysis method demonstrates significant advantages. Compared with the code-based method and the limit equilibrium method, the upper-bound limit analysis method yields the smallest value of surrounding rock pressure. Additionally, it effectively reduces the design requirements and engineering costs of the support structure, thereby achieving higher economic benefits.
- (2)
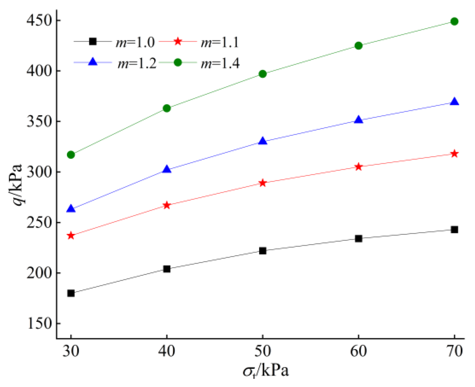
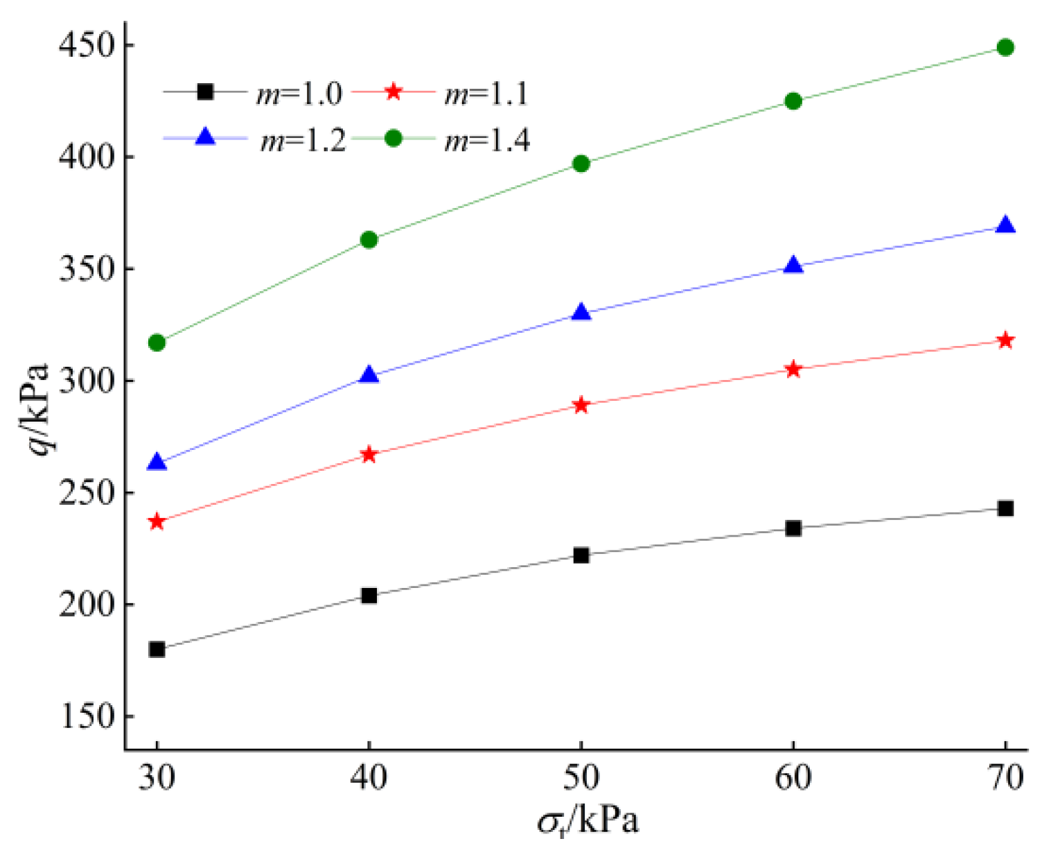
- The enclosed rock pressure under the circular damage mode of shallow-buried tunnel in the sloping section increases with the increasing value of the geotechnical nonlinear coefficient m. When the value of m is larger, the effect on the enclosing rock pressure is more significant; the nonlinear damage criterion cannot be crudely simplified to a linear criterion; otherwise, it will underestimate the upper limit value of the enclosing rock pressure, and decreasing the ratio of the horizontal support force to the vertical support force K will cause a significant increase in the enclosing rock pressure.
- (3)
- The increase in slope crest load and the enlargement of the burial depth ratio have a significantly greater impact on the soil on the shallow-buried side than on the deep-buried side. This can easily cause the circular arc failure mode of the shallow-buried tunnel to shift towards the shallow-buried side, while also increasing the stress concentration in the surrounding rock on the shallow-buried side and reducing the overall stability of the tunnel. In the actual project, for special geological conditions such as loess sedimentation areas, reinforcement measures can be taken in advance for the rock and soil body on the shallow side to prevent engineering accidents caused by the offset.
- (4)
- An increase in axial tensile stress and a decrease in cohesion will cause the damage surface to extend outward and the area of shear zone to increase. The increase in axial tensile stress will cause the surrounding rock pressure to increase, while the increase in cohesive force will lead the surrounding rock pressure to decrease. When the surrounding rock conditions are poor, the surrounding rock of the tunnel is prone to forming a large plastic zone, which may pose safety hazards. By employing numerical simulation and based on the surrounding rock conditions and the monitoring of data obtained during the construction phase, measures such as shotcrete-anchorage support and grouting reinforcement can be implemented to enhance the stability of shallow-buried, eccentrically loaded tunnels.
- (5)
- The current study on the nonlinear stability analysis of shallow-buried, eccentrically loaded tunnels in circular arc failure mode is limited to the scenario of simple eccentric loading. Future research will extend to the stability analysis of tunnels under coupled hydrological actions and the reinforcement of tunnel stability under the influence of multiple complex factors. Additionally, in-depth explorations will be conducted in conjunction with practical engineering cases.
Author Contributions
Funding
Institutional Review Board Statement
Informed Consent Statement
Data Availability Statement
Conflicts of Interest
References
- Zhao, J.; Tan, Z.; Zhang, B.; Wang, F. Stress-Release Technology and Engineering Application of Advanced Center Drifts in a Super-Deep Soft-Rock Tunnel: A Case Study of the Haba Snow Mountain Tunnel. Rock Mech. Rock Eng. 2024, 57, 7103–7124. [Google Scholar] [CrossRef]
- Zhao, Y.; Du, Y.; Yan, Q. Challenges of, Progress in, and Prospects of Ultra-Long Deep Tunnels in the Extremely Complex Environment of the Qinghai–Tibet Plateau. Engineering 2024, 44, 162–183. [Google Scholar] [CrossRef]
- Zhou, X.; He, Y.; Zhang, W.; Liu, D. Multifractal Characteristics and Displacement Prediction of Deformation on Tunnel Portal Slope of Shallow Buried Tunnel Adjacent to Important Structures. Buildings 2024, 14, 1662. [Google Scholar] [CrossRef]
- Wang, Y.; Li, J.; Wang, Z.F.; Chang, H. Structural failures and geohazards caused by mountain tunnel construction in fault zone and its treatment measures: A case study in Shaanxi. Eng. Fail. Anal. 2022, 138, 106386. [Google Scholar] [CrossRef]
- Wang, M.; Zhang, Z.; Ren, L.; Zhang, R.; Zheng, L.; Zhang, L.; Zhang, Z.; Xie, J.; Liu, X. Analysis of Rock Mass Parameters and Plastic Zone of a Tunnel in Southwest Mountainous Area. KSCE J. Civ. Eng. 2023, 27, 5448–5459. [Google Scholar] [CrossRef]
- Zhang, K.; Zheng, W.; Liao, Z.; Xie, H.; Zhou, C.; Chen, S.; Zhu, J. Risk assessment of ground collapse along tunnels in karst terrain by using an improved extension evaluation method. Tunn. Undergr. Space Technol. 2022, 129, 104669. [Google Scholar] [CrossRef]
- Wu, B.; Zhu, R.; Wang, W.; Zeng, J.; Liu, C. Quantitative analysis of construction risks in shallowly buried biased tunnel portal section. Sci. Rep. 2024, 14, 23246. [Google Scholar] [CrossRef]
- Li, J.; Xu, F.; Zheng, X.; Liu, B.; Bai, T.; Tang, Q. Study on the Fracture Evolution Characteristics of Existing Defect Lining under Unsymmetrical Load. Sustainability 2023, 15, 9531. [Google Scholar] [CrossRef]
- Wu, H.; Fan, F.; Yang, X.; Wang, Z.; Lai, J.; Xie, Y. Large deformation characteristics and treatment effect for deep bias tunnel in broken phyllite: A case study. Eng. Fail. Anal. 2022, 135, 106045. [Google Scholar] [CrossRef]
- Kong, F.; Lu, D.; Ma, Y.; Li, J.; Tian, T. Analysis and intelligent prediction for displacement of stratum and tunnel lining by shield tunnel excavation in complex geological conditions: A case study. IEEE Trans. Intell. Transp. Syst. 2022, 23, 22206–22216. [Google Scholar] [CrossRef]
- Gao, J.; Guo, W.; Ma, M.; Hou, Y.; Zhang, R.; Zeng, L.; Zhang, C.; Xu, Y.; Wei, X.; Cao, C. Study on Temperature Distribution along the Ultra-Long Underwater Tunnel: Based on the Long-Term Measured Results of the Shanghai Yangtze River Tunnel. Buildings 2023, 13, 1804. [Google Scholar] [CrossRef]
- Zhou, Z.; Ma, J.; Lu, T.; Li, G.; Fang, S.; Tan, T. An evaluation method for visual search stability in urban tunnel entrance and exit sections based on markov chain. IEEE Access 2020, 8, 68559–68569. [Google Scholar] [CrossRef]
- He, Z.; Li, C.; He, Q.; Liu, Y.; Chen, J. Numerical parametric study of countermeasures to alleviate the tunnel excavation effects on an existing tunnel in a shallow-buried environment near a slope. Appl. Sci. 2020, 10, 608. [Google Scholar] [CrossRef]
- Mao, Z.; An, N.; Li, R.; Xu, L.; Wu, H. Treatment Effect Analysis on Shallow Buried Bias Slope Section of Tunnel Based on Fuzzy Comprehensive Evaluation. Geotech. Geol. Eng. 2020, 38, 4463–4477. [Google Scholar] [CrossRef]
- Li, G.J.; Qu, Y.; Lu, G.S.; Liu, J.S. Surrounding Rock Pressure of Tunnel with Small Clear Distance under Complex Unsymmetrical Loading: Calculation and Parameter Impacts. J. Chang. River Sci. Res. Inst. 2020, 37, 133–138. [Google Scholar]
- Chen, H.J.; Liu, X.R.; Du, L.B.; Liu, K. Sliding Failure Mechanism and Its Criterion of Unsymmetrical Loading Shallow Buried Tunnel in Layered Rock Mass. Chin. J. Undergr. Space Eng. 2021, 17, 1733–1741. [Google Scholar]
- JTG 3370.1-2018; Specifications for Design of Highway Tunnels Section 1 Civil Engineering. Ministry of Transport of the People’s Republic of China: Beijing, China, 2018.
- Man, J.; Zhou, M.; Zhang, D.; Huang, H.; Chen, J. Face stability analysis of circular tunnels in layered rock masses using the upper bound theorem. J. Rock Mech. Geotech. Eng. 2022, 14, 1836–1848. [Google Scholar] [CrossRef]
- Wu, W.; Liu, X.; Guo, J.; Sun, F.; Huang, X.; Zhu, Z. Upper limit analysis of stability of the water-resistant rock mass of a Karst tunnel face considering the seepage force. Bull. Eng. Geol. Environ. 2021, 80, 5813–5830. [Google Scholar] [CrossRef]
- Senent, S.; Yi, C.; Jimenez, R. An upper bound solution for tunnel face stability analysis considering the free span. Tunn. Undergr. Space Technol. 2020, 103, 103515. [Google Scholar] [CrossRef]
- Wang, C.; Hou, J.; Ye, X.W.; Chen, Y.M.; Chu, W.J.; Xie, T.Y. A 3D torus-slice model for limit equilibrium analysis of shield tunnel face under soil arching effect. Eng. Fail. Anal. 2023, 146, 107148. [Google Scholar] [CrossRef]
- Goh AT, C.; Zhang, W.; Zhang, Y.; Xiao, Y.; Xiang, Y. Determination of earth pressure balance tunnel-related maximum surface settlement: A multivariate adaptive regression splines approach. Bull. Eng. Geol. Environ. 2018, 77, 489–500. [Google Scholar] [CrossRef]
- Atkinson, J.H.; Potts, D.M. Stability of Shallow Tunnel in Cohesionless Soil. Géotechnique 1977, 27, 203–215. [Google Scholar] [CrossRef]
- Soubra, A.H.; Dias, D.; Emeriault, F. Three-dimensional face stability analysis of circular tunnels by a kinematical approach. Geotechqiuue 2008, 30, 894–901. [Google Scholar]
- Mollon, G.; Dias, D.; Soubra, A.H. Probabilistic analysis and design of circular tunnels against face stability. Int. J. Geomech. 2009, 9, 237–249. [Google Scholar] [CrossRef]
- Zhao, L.H.; Li, L.; Dan, H.C.; Luo, S.P.; Ren, D.Y. Discussion on Generalized Tangential Method Led in Nonlinear Failure Criterion in Upper Boundary Limit Analysis. J. Chang. River Sci. Res. Inst. 2010, 27, 34–39. [Google Scholar]
- Luo, W. Stability Analysis and Reliability Research on the Shallow Tunnel under Unsymmetrical Pressure. Ph.D. Thesis, Central South University, Changsha, China, 2014. [Google Scholar]
- Xiang, Y.; Song, W. Upper-bound limit analysis of shield tunnel stability in undrained clays using complex variable solutions for different ground-loss scenarios. Int. J. Geomech. 2017, 17, 04017057. [Google Scholar] [CrossRef]
- Khezri, N.; Mohamad, H.; Fatahi, B. Stability assessment of tunnel face in a layered soil using upper bound theorem of limit analysis. Geomech. Eng. 2016, 11, 471–492. [Google Scholar] [CrossRef]
- Li, D.J.; Zhao, L.H.; Cheng, X.; Zuo, S.; Jiao, K.F. Upper-bound limit analysis of passive failure of a 3D shallow tunnel face under the bidirectional inclined ground surfaces. Comput. Geotech. 2020, 118, 103310. [Google Scholar] [CrossRef]
- Çelik, S. Comparison of Mohr-Coulomb and Hardening Soil Models’ Numerical Estimation of Ground Surface Settlement Caused by Tunneling. J. Inst. Sci. Technol. Fen Bilim. Estitüsü Derg. 2017, 7, 95–102. [Google Scholar] [CrossRef]
- Sheng, Y.; Zou, J.; Dong, Y.; Chen, G. Novel perturbation solutions for deep-buried non-circular tunnels under biaxial in situ stress field based on Mohr-Coulomb criterion. Appl. Math. Model. 2022, 110, 408–440. [Google Scholar] [CrossRef]
- Li, W.; He, P.; Wang, G.; Zheng, W.; Fan, K.; Wang, L.; Zheng, C. Elastoplastic Solution for Tunnel Composite Support Structures Based on Mohr–Coulomb Criterion. Buildings 2024, 14, 3657. [Google Scholar] [CrossRef]
- Huang, F.; Wang, Y.; Xu, J.; Pan, Q.; Wang, D. Three-dimensional stability analysis of slurry trench based on Mohr-Coulomb nonlinear failure criterion. KSCE J. Civ. Eng. 2022, 26, 5038–5048. [Google Scholar] [CrossRef]
- Li, D.J.; Zhao, L.H.; Yang, F.; Xiao, C. Three-dimensional stability analysis of passive failure on shallow tunnel facebased on the nonlinear failure criterion. Chin. J. Rock Mech. Eng. 2016, 35, 743–752. [Google Scholar]
- Xu, J.; Yang, X. Seismic stability of 3D soil slope reinforced by geosynthetic with nonlinear failure criterion. Soil Dyn. Earthq. Eng. 2019, 118, 86–97. [Google Scholar] [CrossRef]
- Zhang, D.B.; Ma, Z.Y.; Yu, B.; Yin, H.D. Upper bound solution of surrounding rock pressure of shallow tunnel under nonlinear failure criterion. J. Cent. South Univ. 2019, 26, 1696–1705. [Google Scholar] [CrossRef]
- Cabezas, R.; Vallejos, J. Nonlinear criterion for strength mobilization in brittle failure of rock and its extension to the tunnel scale. Int. J. Min. Sci. Technol. 2022, 32, 685–705. [Google Scholar] [CrossRef]
- Cattari, S.; Calderoni, B.; Caliò, I.; Camata, G.; Miranda, S.; Magenes, G.; Milani, G.; Saetta, A. Nonlinear modeling of the seismic response of masonry structures: Critical review and open issues towards engineering practice. Bull. Earthq. Eng. 2022, 20, 1939–1997. [Google Scholar] [CrossRef]
- Cai, W.; Zhu, H.; Liang, W.; Vu, B.; Wu, W. Physical and numerical investigation on nonlinear mechanical properties of deep-buried rock tunnel excavation unloading under complicated ground stresses. Tunn. Undergr. Space Technol. 2023, 138, 105197. [Google Scholar] [CrossRef]
- Yang, Z.; Li, Y.; Xu, J. Upper Bound Limit Analysis of Deep Tunnel Face Support Pressure with Nonlinear Failure Criterion under Pore Water Conditions. Buildings 2024, 14, 2677. [Google Scholar] [CrossRef]
- Li, Y.X.; Yang, Z.H.; Zhong, J.H.; Sun, Z.B.; Hou, C.Q. Revisiting the face stability of circular tunnels driven in strength nonlinearity soils. Comput. Geotech. 2024, 165, 105856. [Google Scholar] [CrossRef]
- Chen, H.; Lai, H.; Huang, M.; Wang, G.; Tang, Q. Failure mechanism and treatment measures of supporting structures at the portal for a shallow buried and asymmetrically loaded tunnel with small clear-distance. Nat. Hazards 2022, 114, 2283–2310. [Google Scholar] [CrossRef]
- Cheng, X.; Liu, Y.; Liu, G.; Bu, Y. Study on Disturbance Characteristics of Surrounding Rock During Construction of Shallow Buried Bias Loess Tunnel with Small Clear Distance. Indian Geotech. J. 2024, 54, 2421–2422. [Google Scholar] [CrossRef]
- Liu, J.; Zhang, T.; Li, Q.; Wang, H.; Shen, S. Research on the determination and influencing factors of topographic unsymmetrical-loaded tunnels based on the unsymmetrical coefficient. Discov. Appl. Sci. 2024, 6, 594. [Google Scholar] [CrossRef]
- Luo, W.; Zeng, R.Z.; Rong, Y.; Geng, D.X.; Shi, Y.F. Stability Analysis of the Surrounding Rock of Shallow Bias Tunnels under aSlope Crest Load. Mod. Tunn. Technol. 2016, 53, 56–62. [Google Scholar]
- Yang, X.L. Limit Analysis Method and Its Application to Geotechnical Engineering with Linear and nonlinear Failure Criteria. Ph.D. Thesis, Central South University, Changsha, China, 2002. [Google Scholar]
- Chen, W.F. Limit Analysis and Soil Plasticity, 3rd ed.; J. Ross Publishing, Inc.: Fort Lauderdale, FL, USA, 2007. [Google Scholar]
- Xue, S. MATLAB Basic Tutorial; Tsinghua University Press: Beijing, China, 2015. [Google Scholar]
- Yang, F.; Yang, J.S. Limit Analysis Method for Determination of Earth Pressure on Shallow Tunnel. Eng. Mech. 2008, 25, 179–184. [Google Scholar]
- Yang, X.L.; Wang, Z.W. Limit analysis of earth pressure on shallow tunnel using nonlinear failure criterion. J. Cent. South Univ. Sci. Technol. 2010, 41, 299–302. [Google Scholar]
- Charles, J.A.; Soares, M.M. The Stability of Slopes in Soils with Nonlinear Failure Envelopes. Can. Geotech. J. 1984, 21, 397–406. [Google Scholar] [CrossRef]
- Jiang, J.C.; Baker, R.; Yamagami, T. The Effect of Strength Envelope Nonlinearity on Slope Stability Computations. Can. Geotech. J. 2003, 40, 308–325. [Google Scholar] [CrossRef]
- Fu, H.L.; Chang, X.B.; Hu, K.X. Stability Analysis of Shallow Buried Tunnel Under Nonlinear Failure Criterion. J. S. China Univ. Technol. Nat. Sci. Ed. 2024, 52, 107–118. [Google Scholar]











| Horizontal Surface (δ = 0°) | Slope Surface Dip Angle (δ = 18°) | |||||||||||
|---|---|---|---|---|---|---|---|---|---|---|---|---|
| Reference [50] | Reference [51] | Reference [17] | Limit Analysis Upper Bound Method in This Paper | |||||||||
| Limit Equilibrium Method | Limit Analysis Upper Bound Method | Limit Analysis Upper Bound Method | Normative Recommendation Method | |||||||||
| Mode A | Mode B | m = 1.0 | m = 1.1 | m = 1.2 | m = 1.4 | |||||||
| K0 | q0/kPa | K | q/kPa | q/kPa | q/kPa | φc/(°) | q/kPa | K | q/kPa | q/kPa | q/kPa | q/kPa |
| 1.5 | 264.7 | 1.2 | 148.9 | 147.7 | 158.5 | 30 | 307.1 | 1.2 | 144.3 | 172.7 | 188.9 | 218.1 |
| 1.4 | 270.9 | 1.0 | 169.6 | 169.3 | 175.7 | 32 | 308.5 | 1.0 | 166.5 | 192.4 | 225.7 | 257.2 |
| 1.3 | 277.3 | 0.8 | 197.8 | 199.1 | 201.1 | 34 | 310.3 | 0.8 | 193.3 | 231.0 | 268.4 | 293.9 |
| 1.2 | 283.9 | 0.6 | 238.8 | 243.2 | 243.0 | 36 | 312.5 | 0.6 | 235.2 | 280.3 | 329.1 | 365.7 |
| 1.1 | 290.8 | 0.5 | — | — | — | 38 | 315.2 | 0.5 | 272.9 | 315.2 | 361.7 | 414.6 |
| 1.0 | 297.9 | 0.4 | — | — | — | 40 | 318.2 | 0.4 | 301.3 | 344.7 | 401.9 | 466.2 |
| m | p/kPa | H/h | c0/kPa | σt/kPa |
|---|---|---|---|---|
| 1.0~1.4 | 0~200 | 1.0~2.0 | 7~15 | 30~70 |
Disclaimer/Publisher’s Note: The statements, opinions and data contained in all publications are solely those of the individual author(s) and contributor(s) and not of MDPI and/or the editor(s). MDPI and/or the editor(s) disclaim responsibility for any injury to people or property resulting from any ideas, methods, instructions or products referred to in the content. |
© 2025 by the authors. Licensee MDPI, Basel, Switzerland. This article is an open access article distributed under the terms and conditions of the Creative Commons Attribution (CC BY) license (https://creativecommons.org/licenses/by/4.0/).
Share and Cite
Luo, W.; Xiao, G.; Tao, Z.; Chen, J.; Lu, X.; Wang, H. Nonlinear Stability Analysis of Shallow-Buried Bias Tunnel Based on Failure Mode Improvement. Appl. Sci. 2025, 15, 3153. https://doi.org/10.3390/app15063153
Luo W, Xiao G, Tao Z, Chen J, Lu X, Wang H. Nonlinear Stability Analysis of Shallow-Buried Bias Tunnel Based on Failure Mode Improvement. Applied Sciences. 2025; 15(6):3153. https://doi.org/10.3390/app15063153
Chicago/Turabian StyleLuo, Wei, Gequan Xiao, Zhi Tao, Jingyu Chen, Xi Lu, and Haifeng Wang. 2025. "Nonlinear Stability Analysis of Shallow-Buried Bias Tunnel Based on Failure Mode Improvement" Applied Sciences 15, no. 6: 3153. https://doi.org/10.3390/app15063153
APA StyleLuo, W., Xiao, G., Tao, Z., Chen, J., Lu, X., & Wang, H. (2025). Nonlinear Stability Analysis of Shallow-Buried Bias Tunnel Based on Failure Mode Improvement. Applied Sciences, 15(6), 3153. https://doi.org/10.3390/app15063153
