Real-Time AI-Based Power Demand Forecasting for Peak Shaving and Consumption Reduction Using Vehicle-to-Grid and Reused Energy Storage Systems: A Case Study at a Business Center on Jeju Island
Abstract
1. Introduction
2. Methodology
2.1. Data Preprocessing
2.2. k-Means Clustering
2.3. Long Short-Term Memory (LSTM)
- Forget gate: determines how much information from the previous cell state should be retained, using the previous hidden state and the current input :
- Input gate: decides how much new information should be added to the memory cell:
- Candidate cell state: computes a potential new memory cell value using the hyperbolic tangent function:
- Memory cell update: updates the memory cell state by combining the forget gate’s output with the new candidate value:
- Output gate: determines the final hidden state based on the updated memory cell state:
- Temporal attributes (year, month, day, hour, and minute);
- Environmental factors (temperature, humidity, wind speed, precipitation, and solar radiation);
- Operational indicators (working day/non-working day indicator, COVID-19 social distancing index, and number of employees present);
- Power consumption data.
2.4. Multi-Cluster Long Short-Term Memory (MC-LSTM)
- Input Features: The model processes 14 input features at each time step, capturing various aspects of power consumption.
- Number of Layers: The network is composed of 3 stacked LSTM layers, allowing it to model complex temporal dependencies.
- Hidden State Dimension: Each LSTM cell has a hidden state dimension of 6, balancing the model’s capacity and computational complexity.
- Sequence Length: The model considers 10 time steps for each prediction, providing sufficient context while maintaining efficiency.
- Output Features: The model is designed to predict a single value per time step.
3. Experimental Setup
3.1. Hardware Implementation
3.1.1. Reused Energy Storage System (R-ESS)
3.1.2. Photovoltaic (PV) Panels
3.1.3. Vehicle-to-Grid (V2G) Charger
3.1.4. Advanced Metering Infrastructure (AMI) Monitoring Device
3.2. Software Implementation
3.2.1. Data Input and Real-Time Acquisition
3.2.2. Classification and Prediction Process
3.2.3. Peak Shaving Implementation
3.2.4. Real-Time Validation and Feedback Loop
3.2.5. Integration of Prediction and Management
4. Results and Discussion
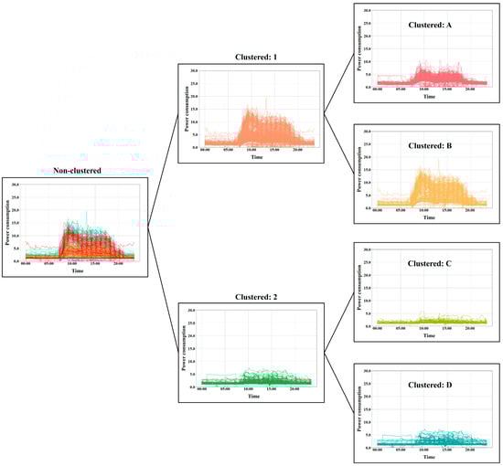
4.1. Clustering Results
4.2. Accuracy of the MC-LSTM Model
- represents the sequence length (i.e., the number of time steps);
- denotes the input dimension for the -th LSTM layer (with equal to the number of input features for the first layer and for subsequent layers);
- is the hidden state dimension of the -th layer.
4.3. Power Consumption and Peak Reduction
5. Conclusions
Author Contributions
Funding
Institutional Review Board Statement
Informed Consent Statement
Data Availability Statement
Acknowledgments
Conflicts of Interest
References
- Yang, Y.; Yang, S.; Moon, H.; Woo, J. Analyzing heterogeneous electric vehicle charging preferences for strategic time-of-use tariff design and infrastructure development: A latent class approach. Appl. Energy 2024, 374, 124074. [Google Scholar] [CrossRef]
- Park, E.; Kim, K.J.; Kwon, S.J.; Han, T.; Na, W.S.; Del Pobil, A.P. Economic Feasibility of Renewable Electricity Generation Systems for Local Government Office: Evaluation of the Jeju Special Self-Governing Province in South Korea. Sustainability 2017, 9, 82. [Google Scholar] [CrossRef]
- Son, H.; Jang, G. The operation strategy of the MIDC systems for optimizing renewable energy integration of Jeju power system. Energies 2023, 16, 5699. [Google Scholar] [CrossRef]
- Javaid, S.; Kurose, Y.; Kato, T.; Matsuyama, T. Cooperative distributed control implementation of the power flow coloring over a Nano-grid with fluctuating power loads. IEEE Trans. Smart Grid 2016, 8, 342–352. [Google Scholar] [CrossRef]
- Javaid, S.; Kaneko, M.; Tan, Y. Energy Balancing of Power System Considering Periodic Behavioral Pattern of Renewable Energy Sources and Demands. IEEE Access 2024, 12, 70245–70262. [Google Scholar] [CrossRef]
- Kakkar, R.; Agrawal, S.; Tanwar, S. A systematic survey on demand response management schemes for electric vehicles. Renew. Sustain. Energy Rev. 2024, 203, 114748. [Google Scholar] [CrossRef]
- Cortez, V.; Rabelo, R.; Carvalho, A.; Floris, A.; Pilloni, V. On the Impact of Flexibility on Demand-Side Management: Understanding the Need for Consumer-Oriented Demand Response Programs. Int. J. Energy Res. 2024, 2024, 8831617. [Google Scholar] [CrossRef]
- Rashid, S.M. Employing advanced control, energy storage, and renewable technologies to enhance power system stability. Energy Rep. 2024, 11, 3202–3223. [Google Scholar] [CrossRef]
- Huang, A.; Mao, Y.; Chen, X.; Xu, Y.; Wu, S. A multi-timescale energy scheduling model for microgrid embedded with differentiated electric vehicle charging management strategies. Sustain. Cities Soc. 2024, 101, 105123. [Google Scholar] [CrossRef]
- Ayub, M.A.; Hussan, U.; Rasheed, H.; Liu, Y.; Peng, J. Optimal energy management of MG for cost-effective operations and battery scheduling using BWO. Energy Rep. 2024, 12, 294–304. [Google Scholar] [CrossRef]
- Rubino, L.; Rubino, G.; Esempio, R. Linear Programming-Based Power Management for a Multi-Feeder Ultra-Fast DC Charging Station. Energies 2023, 16, 1213. [Google Scholar] [CrossRef]
- Alvarado-Barrios, L.; del Nozal, Á.R.; Valerino, J.B.; Vera, I.G.; Martínez-Ramos, J.L. Stochastic unit commitment in microgrids: Influence of the load forecasting error and the availability of energy storage. Renew. Energy 2020, 146, 2060–2069. [Google Scholar] [CrossRef]
- Yang, X.; Wang, X.; Leng, Z.; Deng, Y.; Deng, F.; Zhang, Z.; Yang, L.; Liu, X. An optimized scheduling strategy combining robust optimization and rolling optimization to solve the uncertainty of RES-CCHP MG. Renew. Energy 2023, 211, 307–325. [Google Scholar] [CrossRef]
- Sultana, N.; Hossain, S.Z.; Almuhaini, S.H.; Düştegör, D. Bayesian optimization algorithm-based statistical and machine learning approaches for forecasting short-term electricity demand. Energies 2022, 15, 3425. [Google Scholar] [CrossRef]
- Zhu, J.; Zhao, Z.; Zheng, X.; An, Z.; Guo, Q.; Li, Z.; Sun, J.; Guo, Y. Time-Series Power Forecasting for Wind and Solar Energy Based on the SL-Transformer. Energies 2023, 16, 7610. [Google Scholar] [CrossRef]
- Mahmud, K.; Sahoo, A. Multistage energy management system using autoregressive moving average and artificial neural network for day-ahead peak shaving. Electron. Lett. 2019, 55, 853–855. [Google Scholar] [CrossRef]
- Kazemzadeh, M.-R.; Amjadian, A.; Amraee, T. A hybrid data mining driven algorithm for long term electric peak load and energy demand forecasting. Energy 2020, 204, 117948. [Google Scholar] [CrossRef]
- Hussein, A.; Awad, M. Time series forecasting of electricity consumption using hybrid model of recurrent neural networks and genetic algorithms. Meas. Energy 2024, 2, 100004. [Google Scholar] [CrossRef]
- Aurangzeb, K.; Alhussein, M.; Javaid, K.; Haider, S.I. A pyramid-CNN based deep learning model for power load forecasting of similar-profile energy customers based on clustering. IEEE Access 2021, 9, 14992–15003. [Google Scholar] [CrossRef]
- Aslam, S.; Herodotou, H.; Mohsin, S.M.; Javaid, N.; Ashraf, N.; Aslam, S. A survey on deep learning methods for power load and renewable energy forecasting in smart microgrids. Renew. Sustain. Energy Rev. 2021, 144, 110992. [Google Scholar] [CrossRef]
- Ullah, K.; Ahsan, M.; Hasanat, S.M.; Haris, M.; Yousaf, H.; Raza, S.F.; Tandon, R.; Abid, S.; Ullah, Z. Short-Term Load Forecasting: A Comprehensive Review and Simulation Study with CNN-LSTM Hybrids Approach. IEEE Access 2024, 12, 111858–111881. [Google Scholar] [CrossRef]
- Kong, W.; Dong, Z.Y.; Jia, Y.; Hill, D.J.; Xu, Y.; Zhang, Y. Short-term residential load forecasting based on LSTM recurrent neural network. IEEE Trans. Smart Grid 2017, 10, 841–851. [Google Scholar] [CrossRef]
- Hartigan, J.A.; Wong, M.A. Algorithm AS 136: A k-means clustering algorithm. J. R. Stat. Soc. Ser. C 1979, 28, 100–108. [Google Scholar] [CrossRef]
- Likas, A.; Vlassis, N.; Verbeek, J.J. The global k-means clustering algorithm. Pattern Recognit. 2003, 36, 451–461. [Google Scholar] [CrossRef]
- Kanungo, T.; Mount, D.M.; Netanyahu, N.S.; Piatko, C.; Silverman, R.; Wu, A.Y. The analysis of a simple k-means clustering algorithm. In Proceedings of the Sixteenth Annual Symposium on Computational Geometry, Hong Kong, China, 12–14 June 2000; pp. 100–109. [Google Scholar]
- Ran, X.; Xi, Y.; Lu, Y.; Wang, X.; Lu, Z. Comprehensive survey on hierarchical clustering algorithms and the recent developments. Artif. Intell. Rev. 2023, 56, 8219–8264. [Google Scholar] [CrossRef]
- Singh, H.V.; Girdhar, A.; Dahiya, S. A Literature survey based on DBSCAN algorithms. In Proceedings of the 2022 6th International Conference on Intelligent Computing and Control Systems (ICICCS), Madurai, India, 25–27 May 2022; pp. 751–758. [Google Scholar]
- Gogebakan, M. A novel approach for Gaussian mixture model clustering based on soft computing method. IEEE Access 2021, 9, 159987–160003. [Google Scholar] [CrossRef]
- Kodinariya, T.M.; Makwana, P.R. Review on determining number of Cluster in K-Means Clustering. Int. J. 2013, 1, 90–95. [Google Scholar]
- Kuraria, A.; Jharbade, N.; Soni, M. Centroid selection process using WCSS and elbow method for K-mean clustering algorithm in data mining. Int. J. Sci. Res. Sci. Eng. Technol. 2018, 12, 190–195. [Google Scholar] [CrossRef]
- Cui, M. Introduction to the k-means clustering algorithm based on the elbow method. Account. Audit. Financ. 2020, 1, 5–8. [Google Scholar]
- Yu, Y.; Si, X.; Hu, C.; Zhang, J. A review of recurrent neural networks: LSTM cells and network architectures. Neural Comput. 2019, 31, 1235–1270. [Google Scholar] [CrossRef]
- Sherstinsky, A. Fundamentals of recurrent neural network (RNN) and long short-term memory (LSTM) network. Phys. D Nonlinear Phenom. 2020, 404, 132306. [Google Scholar] [CrossRef]
- Graves, A.; Graves, A. Long short-term memory. In Supervised Sequence Labelling with Recurrent Neural Networks; Springer: Berlin/Heidelberg, Germany, 2012; pp. 37–45. [Google Scholar]
- Gers, F.A.; Schmidhuber, J.; Cummins, F. Learning to forget: Continual prediction with LSTM. Neural Comput. 2000, 12, 2451–2471. [Google Scholar] [CrossRef] [PubMed]
- DiPietro, R.; Hager, G.D. Deep learning: RNNs and LSTM. In Handbook of Medical Image Computing and Computer Assisted Intervention; Elsevier: Amsterdam, The Netherlands, 2020; pp. 503–519. [Google Scholar]
- Zhao, Z.; Chen, W.; Wu, X.; Chen, P.C.; Liu, J. LSTM network: A deep learning approach for short-term traffic forecast. IET Intell. Transp. Syst. 2017, 11, 68–75. [Google Scholar] [CrossRef]
- Ahmadi, L.; Young, S.B.; Fowler, M.; Fraser, R.A.; Achachlouei, M.A. A cascaded life cycle: Reuse of electric vehicle lithium-ion battery packs in energy storage systems. Int. J. Life Cycle Assess. 2017, 22, 111–124. [Google Scholar] [CrossRef]
- Heymans, C.; Walker, S.B.; Young, S.B.; Fowler, M. Economic analysis of second use electric vehicle batteries for residential energy storage and load-levelling. Energy Policy 2014, 71, 22–30. [Google Scholar] [CrossRef]
- Faessler, B. Stationary, second use battery energy storage systems and their applications: A research review. Energies 2021, 14, 2335. [Google Scholar] [CrossRef]
- Tan, K.M.; Ramachandaramurthy, V.K.; Yong, J.Y. Integration of electric vehicles in smart grid: A review on vehicle to grid technologies and optimization techniques. Renew. Sustain. Energy Rev. 2016, 53, 720–732. [Google Scholar] [CrossRef]
- Ravi, S.S.; Aziz, M. Utilization of electric vehicles for vehicle-to-grid services: Progress and perspectives. Energies 2022, 15, 589. [Google Scholar] [CrossRef]
- Liu, C.; Chau, K.; Wu, D.; Gao, S. Opportunities and challenges of vehicle-to-home, vehicle-to-vehicle, and vehicle-to-grid technologies. Proc. IEEE 2013, 101, 2409–2427. [Google Scholar] [CrossRef]
- Kim, S.; Kim, H. A new metric of absolute percentage error for intermittent demand forecasts. Int. J. Forecast. 2016, 32, 669–679. [Google Scholar] [CrossRef]
- Yang, W.; Shi, J.; Li, S.; Song, Z.; Zhang, Z.; Chen, Z. A combined deep learning load forecasting model of single household resident user considering multi-time scale electricity consumption behavior. Appl. Energy 2022, 307, 118197. [Google Scholar] [CrossRef]
- Guo, Y.; Qin, Z.; Tao, X.; Dobre, O.A. Federated Generative-Adversarial-Network-Enabled Channel Estimation. Intell. Comput. 2024, 3, 0066. [Google Scholar] [CrossRef]
- Kim, K.; Kim, Y.; Kim, Y.-J. Hybrid Frequency–Spatial Domain Learning for Image Restoration in Under-Display Camera Systems Using Augmented Virtual Big Data Generated by the Angular Spectrum Method. Appl. Sci. 2024, 15, 30. [Google Scholar] [CrossRef]







| Metric | LSTM | MC-LSTM | |
|---|---|---|---|
| Accuracy | Average | 91.20% | 97.93% |
| Maximum | 92.42% | 99.24% | |
| Minimum | 82.03% | 84.51% | |
| Computational Complexity | 10.56 kFLOPs | 10.56 kFLOPs | |
Disclaimer/Publisher’s Note: The statements, opinions and data contained in all publications are solely those of the individual author(s) and contributor(s) and not of MDPI and/or the editor(s). MDPI and/or the editor(s) disclaim responsibility for any injury to people or property resulting from any ideas, methods, instructions or products referred to in the content. |
© 2025 by the authors. Licensee MDPI, Basel, Switzerland. This article is an open access article distributed under the terms and conditions of the Creative Commons Attribution (CC BY) license (https://creativecommons.org/licenses/by/4.0/).
Share and Cite
Kim, K.; Ko, D.; Jung, J.; Ryu, J.-O.; Hur, K.-J.; Kim, Y.-J. Real-Time AI-Based Power Demand Forecasting for Peak Shaving and Consumption Reduction Using Vehicle-to-Grid and Reused Energy Storage Systems: A Case Study at a Business Center on Jeju Island. Appl. Sci. 2025, 15, 3050. https://doi.org/10.3390/app15063050
Kim K, Ko D, Jung J, Ryu J-O, Hur K-J, Kim Y-J. Real-Time AI-Based Power Demand Forecasting for Peak Shaving and Consumption Reduction Using Vehicle-to-Grid and Reused Energy Storage Systems: A Case Study at a Business Center on Jeju Island. Applied Sciences. 2025; 15(6):3050. https://doi.org/10.3390/app15063050
Chicago/Turabian StyleKim, Kibaek, Dongwoo Ko, Juwon Jung, Jeng-Ok Ryu, Kyung-Ja Hur, and Young-Joo Kim. 2025. "Real-Time AI-Based Power Demand Forecasting for Peak Shaving and Consumption Reduction Using Vehicle-to-Grid and Reused Energy Storage Systems: A Case Study at a Business Center on Jeju Island" Applied Sciences 15, no. 6: 3050. https://doi.org/10.3390/app15063050
APA StyleKim, K., Ko, D., Jung, J., Ryu, J.-O., Hur, K.-J., & Kim, Y.-J. (2025). Real-Time AI-Based Power Demand Forecasting for Peak Shaving and Consumption Reduction Using Vehicle-to-Grid and Reused Energy Storage Systems: A Case Study at a Business Center on Jeju Island. Applied Sciences, 15(6), 3050. https://doi.org/10.3390/app15063050

