Characterizing the Interaction Between Asphalt and Mineral Fillers in Hot Mix Asphalt Mixtures: A Micromechanical Approach
Abstract
1. Introduction
- (1)
- To calculate the thickness of the adsorbed asphalt film using the Hashin, Mori–Tanaka (MT), and generalized self-consistent (GSC) models, and to perform a comparative analysis of the values obtained from these models to identify the most appropriate one.
- (2)
- To determine the critical volume fraction of mineral fillers using nonlinear fitting, and to refine the interaction evaluation indices based on micromechanical models, removing their dependence on the volume fraction of mineral fillers.
- (3)
- To analyze the influence of the chemical composition, testing frequency, and temperature of mineral fillers on the interaction between asphalt and mineral fillers through a micromechanical approach.
2. Calculation of Adsorbed Asphalt Film Thickness Based on Micromechanical Model
2.1. Hashin Model
2.2. Mori–Tanaka Model
2.3. The Generalized Self-Consistent Model
3. Experimental Methods and Model Parameters
3.1. Experimental Methods
3.2. Model Parameters
3.3. Critical Volume Fraction of Mineral Filler in Asphalt Mastic
4. Results and Discussion
4.1. Dynamic Shear Rheometer (DSR) Test Results
4.2. Comparative Analysis of Adsorbed Asphalt Film Thickness Based on Different Micromechanical Models
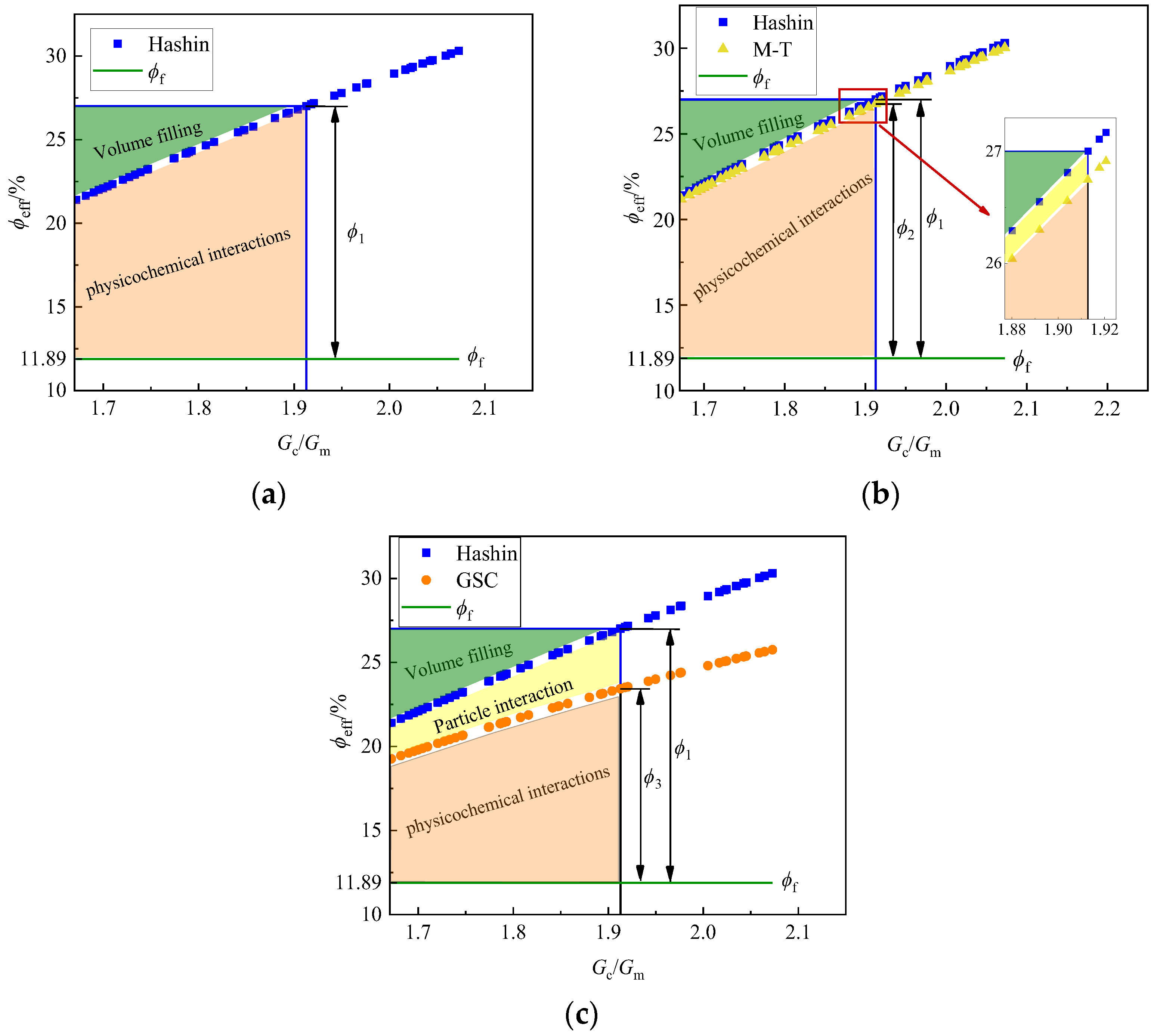
4.3. Improvement in Evaluation Indicators for the Interaction Between Asphalt and Mineral Filler Based on Hashin Model
4.4. Analysis of Factors Affecting the Interaction Capability Between Asphalt and Mineral Filler
4.4.1. Influence of Mineral Filler Chemical Composition on the Interaction Capacity Between Asphalt and Mineral Filler
4.4.2. Influence of Temperature on the Interaction Capability Between Asphalt and Mineral Fillers
4.4.3. Influence of Frequency on the Interaction Capability Between Asphalt and Mineral Filler
5. Conclusions
- (1)
- The adsorbed asphalt film thickness was calculated using the Hashin model, the Mori–Tanaka model, and the GSC model. The resulting thickness ranged from 0.01 to 0.37 µm, determined by calculating the difference between the effective and initial volume fractions of the mineral filler.
- (2)
- A comparison was made of the adsorbed asphalt film thicknesses, calculated using the three micromechanical models. The film thickness based on the Hashin model was slightly greater than that derived from the Mori–Tanaka model, while the GSC model produced a significantly thinner film. In comparison to the film thicknesses obtained from the GSC and Mori–Tanaka models, the Hashin model provided a clearer physical interpretation, with no negative values and a simpler formula. It offered a more effective evaluation of the interaction capability between asphalt and mineral filler.
- (3)
- The shear modulus ratios of asphalt mastic under different filler volume fractions were subjected to nonlinear fitting, which allowed for a more accurate calculation of the critical filler volume fractions. The critical filler volume fractions for LAM, FAM, and CAM were determined to be 30.65%, 44.96%, and 41.15%, respectively. These values provide a basis for the scope of research on the interaction between asphalt and fillers. The results of the fitting provided a single film thickness for each type of asphalt mastic, demonstrating good fitting quality. At all temperatures, the film thickness followed a consistent trend: CAM > LAM > FAM. This method eliminated the dependence of the interaction evaluation indicator on the mineral filler volume fraction.
- (4)
- The interaction capacity between asphalt and mineral fillers was systematically investigated. It was found that the incorporation of mineral fillers significantly enhances the complex shear modulus of base asphalt, thereby increasing its elasticity while reducing its viscosity. Within the critical filler volume fraction range, rutting resistance is predominantly influenced by the material properties of the fillers. The interaction capability between asphalt and mineral filler is influenced by multiple factors. A higher SiO2 content in mineral filler weakens the interaction with asphalt. The effect of frequency varies with temperature: below the softening point, a higher frequency reduces the interaction capability, whereas above this threshold, the interaction capability increases. The interaction between limestone filler and asphalt strengthens as temperature rises. The compact CaO-SiO2-Al2O3 structure of fly ash minimizes sensitivity to temperature changes, while the high SiO2 content in coal gangue inhibits its interaction with asphalt.
Author Contributions
Funding
Institutional Review Board Statement
Informed Consent Statement
Data Availability Statement
Acknowledgments
Conflicts of Interest
References
- Sousa, M.; Dinis Almeida, M.; Fael, C.; Bentes, I. Permeable Asphalt Pavements (PAP): Benefits, Clogging Factors and Methods for Evaluation and Maintenance—A Review. Materials 2024, 17, 6063. [Google Scholar] [CrossRef] [PubMed]
- Habbouche, J.; Hajj, E.Y.; Piratheepan, M.; Sebaaly, P.E. Impact of high polymer modification on reflective cracking performance life of asphalt concrete overlays. Int. J. Pavement Res. Technol. 2020, 13, 510–523. [Google Scholar] [CrossRef]
- Liang, J.; Zhang, Q.; Gu, X. Classification of Asphalt Pavement Defects for Sustainable Road Development Using a Novel Hybrid Technology Based on Clustering Deep Features. Sustainability 2024, 16, 10145. [Google Scholar] [CrossRef]
- Wang, Z.; Guo, N.; Wang, S.; Xu, Y. Prediction of highway asphalt pavement performance based on Markov chain and artificial neural network approach. J. Supercomput. 2021, 77, 1354–1376. [Google Scholar] [CrossRef]
- Veytskin, Y.; Bobko, C.; Castorena, C.; Kim, Y. Nanoindentation investigation of asphalt binder and mastic cohesion. Constr. Build. Mater. 2015, 100, 163–171. [Google Scholar] [CrossRef]
- Das, A.K.; Singh, D. Investigation of rutting, fracture and thermal cracking behavior of asphalt mastic containing basalt and hydrated lime fillers. Constr. Build. Mater. 2017, 141, 442–452. [Google Scholar] [CrossRef]
- Zeng, M.; Wu, C. Effects of Type and Content of Mineral Filler on Viscosity of Asphalt Mastic and Mixing and Compaction Temperatures of Asphalt Mixture. Transp. Res. Rec. 2008, 2051, 31–40. [Google Scholar] [CrossRef]
- Mansor, N.; Sevil, K. Effect of filler types and asphalt penetration grade on properties of asphalt mastic. Petrol. Sci. Technol. 2018, 36, 1503–1509. [Google Scholar] [CrossRef]
- Pereira, L.; Freire, A.C.; da Costa, M.S.; Antunes, V.; Quaresma, L.; Micaelo, R. Experimental study of the effect of filler on the ductility of filler-bitumen mastics. Constr. Build. Mater. 2018, 189, 1045–1053. [Google Scholar] [CrossRef]
- Ibarra, L.; Paños, D. Dynamic properties of thermoplastic butadiene–styrene (SBS) and oxidized short carbon fiber composite materials. J. Appl. Polym. Sci. 1998, 67, 1819–1826. [Google Scholar] [CrossRef]
- Ziegel, K.D.; Romanov, A. Modulus reinforcement in elastomer composites. I. Inorganic fillers. Appl. Polym. Sci. 2010, 17, 1041–1050. [Google Scholar] [CrossRef]
- Einstein, A. Eine neue Bestimmung der Moleküldimensionen. Ann. Phys. 1906, 324, 289–306. [Google Scholar] [CrossRef]
- Chong, J.S.; Christiansen, E.B.; Baer, A.D. Rheology of Concentrated Suspensions. J. Appl. Polym. Sci. 1971, 15, 2007–2021. [Google Scholar] [CrossRef]
- Tan, Y.; Li, X.; Wu, J. Evaluation Indices of Interaction Ability of Asphalt and Aggregate Based on Rheological Characteristics. J. Wuhan Univ. Technol. 2012, 27, 979–985. [Google Scholar] [CrossRef]
- Tan, Y.Q.; Wu, J.T.; Li, X.M.; Ji, L. Evaluation indices of interaction ability of asphalt and aggregate. J. Harbin Inst. Technol. 2009, 41, 81–84. [Google Scholar] [CrossRef]
- Liu, G.; Jia, Y.; Pan, Y.; Yang, T.; Zhao, Y.; Zhang, J. Quantitative comparison of evaluation indices for asphalt–filler interaction ability within filler critical volume fraction. Road Mater. Pavement Des. 2018, 21, 906–926. [Google Scholar] [CrossRef]
- Guo, M. Mechanism of Asphalt-Mineral Interaction and Multi-Scale Evaluation Methods. Ph.D. Thesis, Harbin Institute of Technology, Harbin, China, 2016. [Google Scholar] [CrossRef]
- EN 13179-2:2002; Bituminous Binders—Test Methods—Part 2: Determination of the Interaction Between Bitumen and Mineral Fillers. European Committee for Standardization (CEN): Brussels, Belgium, 2002.
- Teixeira, A.; Lesueur, D. Impact of Different Fillers on the Properties of Asphalt Mixtures. In RILEM International Symposium on Bituminous Materials; ISBM 2020, RILEM Bookseries; Springer: Cham, Switzerland, 2022; Volume 27, pp. 1007–1013. [Google Scholar] [CrossRef]
- Tan, Y.; Guo, M. Interfacial thickness and interaction between asphalt and mineral fillers. Mater. Struct. 2014, 47, 605–614. [Google Scholar] [CrossRef]
- Pipintakos, G.; Soenen, H.; Goderis, B.; Blom, J.; Lu, X. Crystallinity of Bitumen via WAXD and DSC and Its Effect on the Surface Microstructure. Crystals. 2022, 12, 755. [Google Scholar] [CrossRef]
- Guo, M.; Bhasin, A.; Tan, Y.Q. Effect of mineral fillers adsorption on rheological and chemical properties of asphalt binder. Constr. Build. Mater. 2017, 141, 152–159. [Google Scholar] [CrossRef]
- Guo, M.; Tan, Y.; Yu, J.; Hou, Y.; Wang, L. A direct characterization of interfacial interaction between asphalt binder and mineral fillers by atomic force microscopy. Mater. Struct. 2017, 50, 141. [Google Scholar] [CrossRef]
- Wang, Z.; Guo, N.; Xu, Y.; Wang, S. Micromechanical prediction model of viscoelastic properties for asphalt mastic based on morphologically representative pattern approach. Adv. Mater. Sci. Eng. 2020, 5, 7915140. [Google Scholar] [CrossRef]
- Wang, Z.; Jin, X.; Sun, Y.; Wang, S. Micromechanics approach to calculate the adsorbed asphalt film thickness on mineral fillers and evaluate physiochemical interactions. Int. J. Pavement Eng. 2024, 25, 2303670. [Google Scholar] [CrossRef]
- Hashin, Z. The Elastic Moduli of Heterogeneous Materials. J. Appl. Mech. 1962, 29, 2938–2945. [Google Scholar] [CrossRef]
- Benveniste, Y. A new approach to the application of Mori-Tanaka’s theory in composite materials. Mech. Mater. 1987, 6, 147–157. [Google Scholar] [CrossRef]
- Christensen, R.M.; Lo, K.H. Solutions for effective shear properties in three phase sphere and cylinder models. J. Mech. Phys. Solids 1979, 27, 315–330. [Google Scholar] [CrossRef]
- Kim, M. Development of differential scheme micromechanics modeling framework for predictions of hot-mix asphalt (HMA) complex modulus and experimental validations. Diss. Theses-Gradworks 2009, 7, 64–105. [Google Scholar] [CrossRef]
- Yin, H.M.; Sun, L.Z.; Paulino, G.H. Micromechanics-based elastic model for functionally graded materials with particle interactions. Acta Mater. 2004, 52, 3535–3543. [Google Scholar] [CrossRef]
- Shashidhar, N.; Shenoy, A. On using micromechanical models to describe dynamic mechanical behavior of asphalt mastics. Mech. Mater. 2002, 34, 657–669. [Google Scholar] [CrossRef]
- Mori, T.; Tanaka, K. Average stress in matrix and average elastic energy of materials with misfitting inclusions. Acta Metall. 1973, 21, 571–574. [Google Scholar] [CrossRef]
- Buttlar, W.; Bozkurt, D.; Al-Khateeb, G.; Waldhoff, A. Understanding Asphalt Mastic Behavior Through Micromechanics. Transp. Res. Rec. 1999, 1681, 157–169. [Google Scholar] [CrossRef]
- Kim, Y.R.; Little, D.N. Linear Viscoelastic Analysis of Asphalt Mastics. J. Mater. Civ. Eng. 2004, 16, 122–132. [Google Scholar] [CrossRef]
- Underwood, B.S.; Kim, Y.R. A four phase micro-mechanical model for asphalt mastic modulus. Mech. Mater. 2014, 75, 13–33. [Google Scholar] [CrossRef]
- Li, F.; Yang, Y. Understanding the temperature and loading frequency effects on physicochemical interaction ability between mineral filler and asphalt binder using molecular dynamic simulation and rheological experiments. Constr. Build. Mater. 2020, 244, 118311. [Google Scholar] [CrossRef]
- Li, F.; Yang, Y.; Wang, L. Evaluation of physicochemical interaction between asphalt binder and mineral filler through interfacial adsorbed film thickness. Constr. Build. Mater. 2020, 252, 119135. [Google Scholar] [CrossRef]
- Di Benedetto, H.; Olard, F.; Sauzéat, C.; Delaporte, B. Linear viscoelastic behavior of bituminous materials: From binders to mixes. Road Mater. Pavement Des. 2004, 5, 163–202. [Google Scholar] [CrossRef]
- Faheem, A.F.; Bahia, H.U. Modelling of Asphalt Mastic in Terms of Filler-Bitumen Interaction. Road Mater. Pavement Des. 2010, 11 (Suppl. S1), 281–303. [Google Scholar] [CrossRef]
- Fan, L.; Lin, J.T.; Li, Y.Z. Characterization of mineral filler particles related to asphalt mastic properties. J. Wuhan Univ. Technol. (Transp. Sci. Eng.) 2021, 45, 82–87. [Google Scholar]
- Cheng, Y.; Tao, J.; Jiao, Y.; Tan, G.; Guo, Q.; Wang, S.; Ni, P. Influence of the properties of filler on high and medium temperature performances of asphalt mastic. Constr. Build. Mater. 2016, 118, 268–287. [Google Scholar] [CrossRef]
- Tan, Y.Q.; Li, X.L.; Wu, J.T.; Luo, D.S.; Cao, L.P. Effect of temperature and loading frequency on asphalt-aggregate interaction ability. China J. Highw. Transp. 2012, 25, 65–72. [Google Scholar] [CrossRef]
- Ke, G.J.; Yang, X.F.; Peng, H.; Jia, F.; Yue, H.T. Research progress on the mechanism of chemical activation of fly ash. J. China Coal Soc. 2005, 30, 366–370. [Google Scholar] [CrossRef]
- Zhou, Z.X. Study on the Influence of Filler on the High and Low Temperature Performance of Asphalt Mastic and Prediction of Asphalt Mastic Properties. Master’s Thesis, Hunan University, Changsha, China, 2013. [Google Scholar] [CrossRef]













| Index | Penetration at 25 °C (0.1 mm) | Softening Point (°C) | Ductility at 5 °C (cm) | Flash Point (°C) | Density at 15 °C (g/cm3) |
|---|---|---|---|---|---|
| Test results | 80 | 48 | 8.6 | 254 | 1.003 |
| Specification requirements (JTG F40-2004) 1 | 80–100 | ≥44 | / | ≥254 | As-measured record |
| Index | Limestone Filler | Fly Ash | Coal Gangue Filler |
|---|---|---|---|
| Apparent density (g/cm3) | 2.971 | 1.896 | 1.901 |
| Specific surface area (m2/g) | 0.911 | 2.829 | 2.681 |
| Filler Type | Volume Fraction in Asphalt Mastic | ||||
|---|---|---|---|---|---|
| F/B = 0.4 | F/B = 0.8 | F/B = 1.2 | F/B = 1.6 | F/B = 2.0 | |
| Limestone filler | 11.89% | 21.26% | 28.82% | 35.06% | 40.30% |
| Fly ash | 17.46% | 29.73% | 38.82% | 45.83% | 51.40% |
| Coal gangue filler | 17.42% | 29.67% | 38.76% | 45.77% | 51.33% |
| Filler Type | Fitting Parameters | |||||
|---|---|---|---|---|---|---|
| G1 | ϕc | G2 | a1 | a2 | Correlation Coefficient R2 | |
| Limestone filler | 2.36 | 30.65% | 0.62 | 0.03 | 0.45 | 0.916 |
| Fly ash | 1.83 | 44.96% | 5.28 | 2.33 | 2.83 | 0.981 |
| Coal gangue filler | 4.29 | 41.15% | 3.06 | 0.05 | 4.55 | 0.998 |
| Temperature (°C) | LAM | FAM | CAM | |||
|---|---|---|---|---|---|---|
| Fitting Result | Correlation Coefficient R2 | Fitting Result | Correlation Coefficient R2 | Fitting Result | Correlation Coefficient R2 | |
| 28 | 0.163 | 0.888 | 0.138 | 0.897 | 0.187 | 0.989 |
| 40 | 0.175 | 0.844 | 0.135 | 0.899 | 0.179 | 0.989 |
| 52 | 0.183 | 0.826 | 0.145 | 0.924 | 0.173 | 0.977 |
| Filler Type | Chemical Component (%) | ||||||
|---|---|---|---|---|---|---|---|
| SiO2 | Al2O3 | Fe2O3 | MgO | CaO | Na2O | K2O | |
| Limestone filler | 2.13 | 0.53 | 0.25 | 9.48 | 51.48 | 0.11 | 0.2 |
| Fly ash | 45.01 | 16.52 | 17.1 | 1.2 | 2.8 | 0.5 | 0.6 |
| Coal gangue filler | 35.42 | 25.93 | 2.39 | 1.22 | 19.01 | 0.86 | 0.21 |
Disclaimer/Publisher’s Note: The statements, opinions and data contained in all publications are solely those of the individual author(s) and contributor(s) and not of MDPI and/or the editor(s). MDPI and/or the editor(s) disclaim responsibility for any injury to people or property resulting from any ideas, methods, instructions or products referred to in the content. |
© 2025 by the authors. Licensee MDPI, Basel, Switzerland. This article is an open access article distributed under the terms and conditions of the Creative Commons Attribution (CC BY) license (https://creativecommons.org/licenses/by/4.0/).
Share and Cite
Wang, S.; Wang, Z.; Yu, A.; Yu, H.; He, Z.; Meng, X.; Gong, Z.; Guan, D.; Zhang, F. Characterizing the Interaction Between Asphalt and Mineral Fillers in Hot Mix Asphalt Mixtures: A Micromechanical Approach. Appl. Sci. 2025, 15, 2735. https://doi.org/10.3390/app15052735
Wang S, Wang Z, Yu A, Yu H, He Z, Meng X, Gong Z, Guan D, Zhang F. Characterizing the Interaction Between Asphalt and Mineral Fillers in Hot Mix Asphalt Mixtures: A Micromechanical Approach. Applied Sciences. 2025; 15(5):2735. https://doi.org/10.3390/app15052735
Chicago/Turabian StyleWang, Shuang, Zhichen Wang, Ankang Yu, Huanan Yu, Zhongming He, Xiangzhu Meng, Zhi Gong, Deqing Guan, and Fuli Zhang. 2025. "Characterizing the Interaction Between Asphalt and Mineral Fillers in Hot Mix Asphalt Mixtures: A Micromechanical Approach" Applied Sciences 15, no. 5: 2735. https://doi.org/10.3390/app15052735
APA StyleWang, S., Wang, Z., Yu, A., Yu, H., He, Z., Meng, X., Gong, Z., Guan, D., & Zhang, F. (2025). Characterizing the Interaction Between Asphalt and Mineral Fillers in Hot Mix Asphalt Mixtures: A Micromechanical Approach. Applied Sciences, 15(5), 2735. https://doi.org/10.3390/app15052735

