Atomistic Investigation of Plastic Deformation and Dislocation Motion in Uranium Mononitride
Abstract
1. Introduction
2. Computational Methods
2.1. Deformation Behavior
2.2. Dislocation Motion
3. Results
3.1. Deformation Behavior
3.2. Dislocation Motion
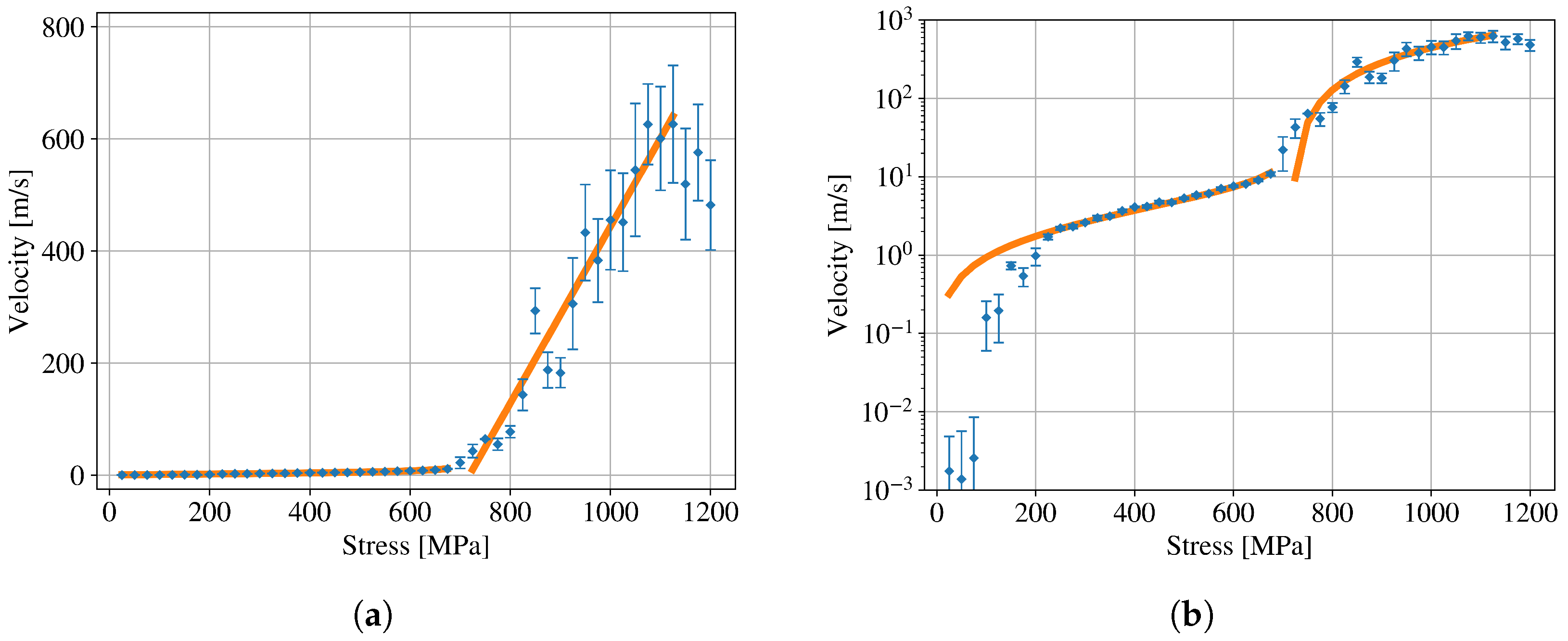
3.2.1. Edge Dislocations
3.2.2. Screw Dislocations
3.2.3. Yield Stress Estimate
4. Discussion
5. Conclusions
Author Contributions
Funding
Institutional Review Board Statement
Informed Consent Statement
Data Availability Statement
Acknowledgments
Conflicts of Interest
References
- Ekberg, C.; Costa, D.R.; Hedberg, M.; Jolkkonen, M. Nitride fuel for Gen IV nuclear power systems. J. Radioanal. Nucl. Chem. 2018, 318, 1713–1725. [Google Scholar] [CrossRef] [PubMed]
- Wallenius, J. Nitride fuels. Compr. Nucl. Mater. 2020, 5, 88–101. [Google Scholar] [CrossRef]
- Uno, M.; Nishi, T.; Takano, M. Thermodynamic and thermophysical properties of the actinide nitrides. In Comprehensive Nuclear Materials, 2nd ed.; Elsevier: Amsterdam, The Netherlands, 2020; pp. 202–231. [Google Scholar] [CrossRef]
- Olander, D.R.; Motta, A.T. Fundamentals. In Light Water Reactor Materials; American Nuclear Society: Westmont, IL, USA, 2017; Volume 1. [Google Scholar]
- Olander, D.R.; Motta, A.T. Applications. In Light Water Reactor Materials; American Nuclear Society: Westmont, IL, USA, 2021; Volume 2. [Google Scholar]
- Ivashchenko, V.I.; Turchi, P.E.; Shevchenko, V.I. Simulations of the mechanical properties of crystalline, nanocrystalline, and amorphous SiC and Si. Phys. Rev. B-Condens. Matter Mater. Phys. 2007, 75, 085209. [Google Scholar] [CrossRef]
- Li, Z.; Gao, Y.; Zhan, S.; Fang, H.; Zhang, Z. Molecular dynamics study on temperature and strain rate dependences of mechanical properties of single crystal Al under uniaxial loading. AIP Adv. 2020, 10, 075321. [Google Scholar] [CrossRef]
- Hansson, P.; Ahadi, A.; Melin, S. Molecular dynamic modelling of the combined influence from strain rate and temperature at tensile loading of nanosized single crystal Cu beams. Mater. Today Commun. 2022, 31, 103277. [Google Scholar] [CrossRef]
- Sole, M.J.; Walt, C.M.V.D. Oxidation and deformation studies of uranium nitride by electron microscopy. Acta Metall. 1968, 16, 501–510. [Google Scholar] [CrossRef]
- Xiu, P.; Jin, M.; Bawane, K.; Tyburska-Püschel, B.; Jaques, B.J.; Field, K.G.; Giglio, J.J.; He, L. Dislocation Loops in Proton Irradiated Uranium-Nitrogen-Oxygen System. J. Nucl. Mater. 2021, 557, 153244. [Google Scholar] [CrossRef]
- Tseplyaev, V.I.; Starikov, S.V. The atomistic simulation of pressure-induced phase transition in uranium mononitride. J. Nucl. Mater. 2016, 480, 7–14. [Google Scholar] [CrossRef]
- AbdulHameed, M.; Beeler, B.; Galvin, C.O.; Cooper, M.W. Assessment of uranium nitride interatomic potentials. J. Nucl. Mater. 2024, 600, 155247. [Google Scholar] [CrossRef]
- Skelton, R.; Walker, A.M. Peierls-Nabarro modeling of dislocations in UO2. J. Nucl. Mater. 2017, 495, 202–210. [Google Scholar] [CrossRef]
- Osetsky, Y.N.; Bacon, D.J. An atomic-level model for studying the dynamics of edge dislocations in metals. Model. Simul. Mater. Sci. Eng. 2003, 11, 427. [Google Scholar] [CrossRef]
- Liu, L.; Wu, X.Z.; Wang, R.; Feng, H.F.; Wu, S. On the generalized stacking energy, core structure and Peierls stress of the 12〈110〉{110} dislocations in alkali halides. Eur. Phys. J. B 2012, 85, 58. [Google Scholar] [CrossRef]
- Cho, J.; Molinari, J.F.; Anciaux, G. Mobility law of dislocations with several character angles and temperatures in FCC aluminum. Int. J. Plast. 2017, 90, 66–75. [Google Scholar] [CrossRef]
- Dang, K.; Bamney, D.; Bootsita, K.; Capolungo, L.; Spearot, D.E. Mobility of dislocations in aluminum: Faceting and asymmetry during nanoscale dislocation shear loop expansion. Acta Mater. 2019, 168, 426–435. [Google Scholar] [CrossRef]
- Olmsted, D.L.; Hector, L.G.; Curtin, W.A.; Clifton, R.J. Atomistic simulations of dislocation mobility in Al, Ni and Al/Mg alloys. Model. Simul. Mater. Sci. Eng. 2005, 13, 371. [Google Scholar] [CrossRef]
- Kaloni, T.P.; Prudil, A.; Spearot, D.E.; Torres, E. Modeling of dislocation properties in Fe40Cr25Ni35 and Fe50Cr20Ni30 systems. Nucl. Eng. Des. 2023, 411, 112422. [Google Scholar] [CrossRef]
- Yadav, S.K.; Ramprasad, R.; Misra, A.; Liu, X.Y. Core structure and Peierls stress of edge and screw dislocations in TiN: A density functional theory study. Acta Mater. 2014, 74, 268–277. [Google Scholar] [CrossRef]
- Ukita, M.; Nakamura, A.; Yokoi, T.; Matsunaga, K. Electronic and atomic structures of edge and screw dislocations in rock salt structured ionic crystals. Philos. Mag. 2018, 98, 2189–2204. [Google Scholar] [CrossRef]
- Kocevski, V.; Cooper, M.W.; Claisse, A.J.; Andersson, D.A. Development and application of a uranium mononitride (UN) potential: Thermomechanical properties and Xe diffusion. J. Nucl. Mater. 2022, 562, 153553. [Google Scholar] [CrossRef]
- Thompson, A.P.; Aktulga, H.M.; Berger, R.; Bolintineanu, D.S.; Brown, W.M.; Crozier, P.S.; in ’t Veld, P.J.; Kohlmeyer, A.; Moore, S.G.; Nguyen, T.D.; et al. LAMMPS—A flexible simulation tool for particle-based materials modeling at the atomic, meso, and continuum scales. Comput. Phys. Commun. 2022, 271, 108171. [Google Scholar] [CrossRef]
- Stukowski, A. Visualization and analysis of atomistic simulation data with OVITO—The Open Visualization Tool. Model. Simul. Mater. Sci. Eng. 2010, 18, 015012. [Google Scholar] [CrossRef]
- Lao, J.; Tam, M.N.; Pinisetty, D.; Gupta, N. Molecular dynamics simulation of FCC metallic nanowires: A review. J. Miner. Met. Mater. Soc. 2013, 65, 175–184. [Google Scholar] [CrossRef]
- Rösler, J.; Harders, H.; Bäker, M. Mechanical Behaviour of Engineering Materials; Springer: Berlin/Heidelberg, Germany, 2007. [Google Scholar]
- Larsen, P.M. Revisiting the Common Neighbour Analysis and the Centrosymmetry Parameter. arXiv 2020, arXiv:2003.08879. [Google Scholar] [CrossRef]
- Kelchner, C.L.; Plimpton, S. Dislocation nucleation and defect structure during surface indentation. Phys. Rev. B-Condens. Matter Mater. Phys. 1998, 58, 11085. [Google Scholar] [CrossRef]
- Bulatov, V.; Cai, W. Computer Simulations of Dislocations; Oxford University Press: Oxford, UK, 2006. [Google Scholar]
- Stukowski, A.; Bulatov, V.V.; Arsenlis, A. Automated identification and indexing of dislocations in crystal interfaces. Model. Simul. Mater. Sci. Eng. 2012, 20, 085007. [Google Scholar] [CrossRef]
- Cai, W.; Nix, W. Imperfections in Crystalline Solids, 1st ed.; Cambridge University Press: Cambridge, UK, 2016. [Google Scholar] [CrossRef]
- Hull, D.; Bacon, D.J. Introduction to Dislocations, 5th ed.; Butterworth-Heinemann: Oxford, UK, 2011; pp. 124–126. [Google Scholar] [CrossRef]
- Smoluchowski, R. Dislocations in ionic crystals: Structure, charge effects and interaction with Impurities. J. Phys. Colloq. 1966, 27, 3–11. [Google Scholar] [CrossRef]
- Cooper, M.W.; Rizk, J.; Matthews, C.; Kocevski, V.; Craven, G.T.; Gibson, T.; Andersson, D.A. Simulations of self- and Xe diffusivity in uranium mononitride including chemistry and irradiation effects. J. Nucl. Mater. 2023, 587, 154685. [Google Scholar] [CrossRef]
- Gilbert, M.R.; Queyreau, S.; Marian, J. Stress and temperature dependence of screw dislocation mobility in α-Fe by molecular dynamics. Phys. Rev. B-Condens. Matter Mater. Phys. 2011, 84, 174103. [Google Scholar] [CrossRef]
- Puls, M.P.; Norgett, M.J. Atomistic calculation of the core structure and Peierls energy of an (a/2) [110] edge dislocation in MgO. J. Appl. Phys. 1976, 47, 466–477. [Google Scholar] [CrossRef]
- Starikov, S.; Tseplyaev, V. Two-scale simulation of plasticity in molybdenum: Combination of atomistic simulation and dislocation dynamics with non-linear mobility function. Comput. Mater. Sci. 2020, 179, 109585. [Google Scholar] [CrossRef]
- Ventelon, L.; Willaime, F.; Leyronnas, P. Atomistic simulation of single kinks of screw dislocations in α-Fe. J. Nucl. Mater. 2009, 386–388, 26–29. [Google Scholar] [CrossRef]
- Kresse, O.; Truskinovsky, L. Lattice friction for crystalline defects: From dislocations to cracks. J. Mech. Phys. Solids 2004, 52, 2521–2543. [Google Scholar] [CrossRef]
- Salleh, M.D.; Macdonald, J.E.; Saunders, G.A.; Du Plessis, P.D.V. Hydrostatic pressure dependences of elastic constants and vibrational anharmonicity of uranium nitride. J. Mater. Sci. 1986, 21, 2577–2580. [Google Scholar] [CrossRef]
- Wen, P.; Tao, G.; Spearot, D.E.; Phillpot, S.R. Molecular dynamics simulation of the shock response of materials: A tutorial. J. Appl. Phys. 2022, 131, 051101. [Google Scholar] [CrossRef]
- Pal, S.; Ray, B.C. Molecular Dynamics Simulation of Nanostructured Materials: An Understanding of Mechanical Behavior, 1st ed.; CRC Press: Boca Raton, FL, USA, 2020. [Google Scholar]
- Adachi, J.; Kurosaki, K.; Uno, M.; Yamanaka, S.; Takano, M.; Akabori, M.; Minato, K. Mechanical properties at sub-microscale and macroscale of polycrystalline uranium mononitride. J. Nucl. Mater. 2009, 384, 6–11. [Google Scholar] [CrossRef]
- Frazer, D.; Maiorov, B.; Carvajal-Nuñez, U.; Evans, J.; Kardoulaki, E.; Dunwoody, J.; Saleh, T.A.; White, J.T. High temperature mechanical properties of fluorite crystal structured materials (CeO2, ThO2, and UO2) and advanced accident tolerant fuels (U3Si2, UN, and UB2). J. Nucl. Mater. 2021, 554, 153035. [Google Scholar] [CrossRef]
- Kuksin, A.Y.; Starikov, S.V.; Smirnova, D.E.; Tseplyaev, V.I. The diffusion of point defects in uranium mononitride: Combination of DFT and atomistic simulation with novel potential. J. Alloys Compd. 2016, 658, 385–394. [Google Scholar] [CrossRef]
- Walt, C.M.V.D.; Sole, M.J. On the plastic behaviour of crystals with the NaCl-structure. Acta Metall. 1967, 15, 459–462. [Google Scholar] [CrossRef]
- Vasudevamurthy, G.; Nelson, A.T. Uranium carbide properties for advanced fuel modeling: A review. J. Nucl. Mater. 2022, 558, 153145. [Google Scholar] [CrossRef]
- Haasen, P. Dislocations and the plasticity of ionic crystals. Mater. Sci. Technol. 1985, 1, 1013–1024. [Google Scholar] [CrossRef]
- Desai, T.G.; Millett, P.C.; Wolf, D. Molecular dynamics study of diffusional creep in nanocrystalline UO2. Acta Mater. 2008, 56, 4489–4497. [Google Scholar] [CrossRef]
- Taylor, C.D. Evaluation of first-principles techniques for obtaining materials parameters of α-uranium and the (001) α-uranium surface. Phys. Rev. B-Condens. Matter Mater. Phys. 2008, 77, 094119. [Google Scholar] [CrossRef]
- Meyers, M.; Chawla, K. Mechanical Behavior of Materials, 2nd ed.; Cambridge University Press: Cambridge, UK, 2009. [Google Scholar]
- Yu, S.; Wang, C.Y.; Yu, T. The kink-pair nucleation in edge dislocation motion. Solid State Sci. 2009, 11, 733–739. [Google Scholar] [CrossRef]
- Baranov, V.G.; Devyatko, Y.N.; Tenishev, A.V.; Khlunov, A.V.; Khomyakov, O.V. A physical model for evaluating uranium nitride specific heat. J. Nucl. Mater. 2013, 434, 248–251. [Google Scholar] [CrossRef]
- Johnston, W.G.; Gilman, J.J. Dislocation velocities, dislocation densities, and plastic flow in lithium fluoride crystals. J. Appl. Phys. 1959, 30, 129–144. [Google Scholar] [CrossRef]
- Murty, K.L.; Charit, I. An Introduction to Nuclear Materials, 1st ed.; Wiley-VCH Verlag GmbH & Co. KGaA: Weinheim, Germany, 2013. [Google Scholar]
- Stoller, R.E.; Zinkle, S.J. On the relationship between uniaxial yield strength and resolved shear stress in polycrystalline materials. J. Nucl. Mater. 2000, 283–287, 349–352. [Google Scholar] [CrossRef]
- Hayes, R.L.; Ortiz, M.; Carter, E.A. Universal binding-energy relation for crystals that accounts for surface relaxation. Phys. Rev. B-Condens. Matter Mater. Phys. 2004, 69, 172104. [Google Scholar] [CrossRef]
- Bocharov, D.; Gryaznov, D.; Zhukovskii, Y.F.; Kotomin, E.A. Ab initio simulations of oxygen interaction with surfaces and interfaces in uranium mononitride. J. Nucl. Mater. 2013, 435, 102–106. [Google Scholar] [CrossRef]








| Tseplyaev | Kocevski | Experimental | |
|---|---|---|---|
| [GPa] | 522.7 | 354.1 | 387.0 [40] |
| H [GPa] | 25.38 | 9.28 | 7.8 ± 0.2 [44], 9.7 ± 0.4 [43] |
| Parameter | Edge Dislocation | Screw Dislocation |
|---|---|---|
| Kink-pair formation energy, [eV] | 0.11 | 1.0 |
| Exponent p | 0.37 | 0.0037 |
| Exponent q | 0.62 | 0.30 |
| Transition stress between regimes I and II, [MPa] | 1150 | 700 |
| Transition velocity between regimes I and II, [m/s] | 10.1 | 20.1 |
| Phonon drag coefficient, B [] | ||
| Mobility, M [] | 817 | 4546 |
| Additive constant, C [m/s] | ||
| Transition stress between regimes II and III, [MPa] | 1725 | 1125 |
Disclaimer/Publisher’s Note: The statements, opinions and data contained in all publications are solely those of the individual author(s) and contributor(s) and not of MDPI and/or the editor(s). MDPI and/or the editor(s) disclaim responsibility for any injury to people or property resulting from any ideas, methods, instructions or products referred to in the content. |
© 2025 by the authors. Licensee MDPI, Basel, Switzerland. This article is an open access article distributed under the terms and conditions of the Creative Commons Attribution (CC BY) license (https://creativecommons.org/licenses/by/4.0/).
Share and Cite
AbdulHameed, M.; Beeler, B.; Claisse, A. Atomistic Investigation of Plastic Deformation and Dislocation Motion in Uranium Mononitride. Appl. Sci. 2025, 15, 2666. https://doi.org/10.3390/app15052666
AbdulHameed M, Beeler B, Claisse A. Atomistic Investigation of Plastic Deformation and Dislocation Motion in Uranium Mononitride. Applied Sciences. 2025; 15(5):2666. https://doi.org/10.3390/app15052666
Chicago/Turabian StyleAbdulHameed, Mohamed, Benjamin Beeler, and Antoine Claisse. 2025. "Atomistic Investigation of Plastic Deformation and Dislocation Motion in Uranium Mononitride" Applied Sciences 15, no. 5: 2666. https://doi.org/10.3390/app15052666
APA StyleAbdulHameed, M., Beeler, B., & Claisse, A. (2025). Atomistic Investigation of Plastic Deformation and Dislocation Motion in Uranium Mononitride. Applied Sciences, 15(5), 2666. https://doi.org/10.3390/app15052666

