Performance Analysis of Scandium-Doped Aluminum Nitride-Based PMUTs Under High-Temperature Conditions
Abstract
1. Introduction
2. Device and Methodology
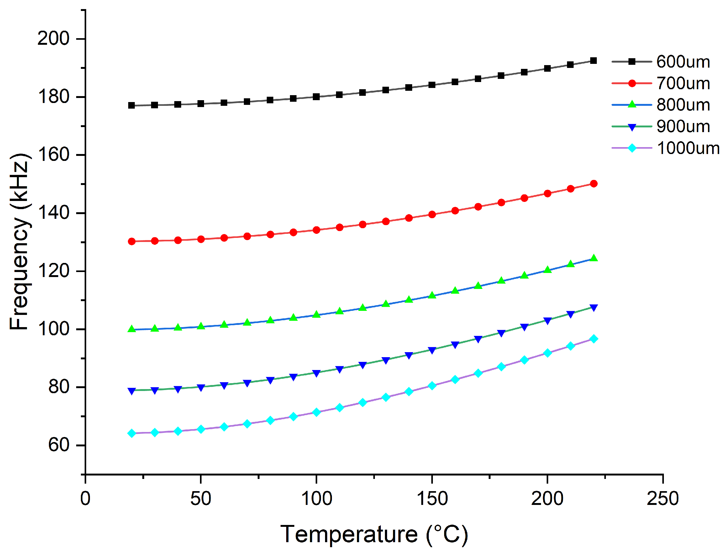
3. Experiment and Results
4. Conclusions
Author Contributions
Funding
Institutional Review Board Statement
Informed Consent Statement
Data Availability Statement
Acknowledgments
Conflicts of Interest
References
- Mehdizadeh, E.; Piazza, G. AlN on SOI pMUTs for ultrasonic power transfer. In Proceedings of the 2017 IEEE International Ultrasonics Symposium (IUS), Washington, DC, USA, 6–9 September 2017; IEEE: Piscataway, NJ, USA, 2017; pp. 1–4. [Google Scholar] [CrossRef]
- Shelton, S.; Chan, M.L.; Park, H.; Horsley, D.; Boser, B.; Izyumin, I.; Przybyla, R.; Frey, T.; Judy, M.; Nunan, K.; et al. CMOS-compatible AlN piezoelectric micromachined ultrasonic transducers. In Proceedings of the 2009 IEEE International Ultrasonics Symposium, Rome, Italy, 20–23 September 2009; pp. 402–405. [Google Scholar] [CrossRef]
- Algamili, A.S.; Khir, M.H.M.; Dennis, J.O.; Ahmed, A.Y.; Alabsi, S.S.; Ba Hashwan, S.S.; Junaid, M.M. A Review of Actuation and Sensing Mechanisms in MEMS-Based Sensor Devices. Nanoscale Res. Lett. 2021, 16, 16. [Google Scholar] [CrossRef] [PubMed]
- Mahameed, R.; Sinha, N.; Pisani, M.B.; Piazza, G. Dual-beam actuation of piezoelectric AlN RF MEMS switches monolithically integrated with AlN contour-mode resonators. J. Micromech. Microeng. 2008, 18, 105011. [Google Scholar] [CrossRef][Green Version]
- Fernandez-Bolanos Badia, M.; Buitrago, E.; Ionescu, A.M. RF MEMS Shunt Capacitive Switches Using AlN Compared to Si3N4 Dielectric. J. Microelectromech. Syst. 2012, 21, 1229–1240. [Google Scholar] [CrossRef]
- Ruotsalainen, K.; Morits, D.; Ylivaara, O.M.E.; Kyynäräinen, J. Resonating AlN-thin film MEMS mirror with digital control. J. Opt. Microsyst. 2022, 2, 011006. [Google Scholar] [CrossRef]
- Lei, H.; Wen, Q.; Yu, F.; Li, D.; Shang, Z.; Huang, J.; Wen, Z. AlN film based piezoelectric large-aperture MEMS scanning micromirror integrated with angle sensors. J. Micromech. Microeng. 2018, 28, 115012. [Google Scholar] [CrossRef]
- Segovia-Fernandez, J.; Sonmezoglu, S.; Block, S.T.; Kusano, Y.; Tsai, J.M.; Amirtharajah, R.; Horsley, D.A. Monolithic piezoelectric Aluminum Nitride MEMS-CMOS microphone. In Proceedings of the 2017 19th International Conference on Solid-State Sensors, Actuators and Microsystems (TRANSDUCERS), Kaohsiung, Taiwan, 18–22 June 2017; IEEE: Piscataway, NJ, USA, 2017; pp. 414–417. [Google Scholar] [CrossRef]
- Fei, C.; Liu, X.; Zhu, B.; Li, D.; Yang, X.; Yang, Y.; Zhou, Q. AlN piezoelectric thin films for energy harvesting and acoustic devices. Nano Energy 2018, 51, 146–161. [Google Scholar] [CrossRef]
- Roy, K.; Lee, J.E.Y.; Lee, C. Thin-film PMUTs: A review of over 40 years of research. Microsyst. Nanoeng. 2023, 9, 95. [Google Scholar] [CrossRef] [PubMed]
- Akhbari, S.; Sammoura, F.; Shelton, S.; Yang, C.; Horsley, D.; Lin, L. Highly responsive curved aluminum nitride pMUT. In Proceedings of the 2014 IEEE 27th International Conference on Micro Electro Mechanical Systems (MEMS), San Francisco, CA, USA, 26–30 January 2014; IEEE: Piscataway, NJ, USA, 2014; pp. 124–127. [Google Scholar] [CrossRef]
- Sun, S.; Wang, J.; Ning, Y.; Zhang, M. Air-coupled piezoelectric micromachined ultrasonic transducers for surface stain detection and imaging. Nanotechnol. Precis. Eng. 2022, 5, 013004. [Google Scholar] [CrossRef]
- Karuthedath, C.B.; Sebastian, A.T.; Saarilahti, J.; Sillanpaa, T.; Pensala, T. Design and Fabrication of Aluminum Nitride Piezoelectric Micromachined Ultrasonic Transducers for Air Flow Measurements. In Proceedings of the 2019 IEEE International Ultrasonics Symposium (IUS), Glasgow, UK, 6–9 October 2019; pp. 2489–2492. [Google Scholar] [CrossRef]
- Sammoura, F.; Akhbari, S.; Lin, L.; Kim, S.G. Enhanced coupling of piezoelectric micromachined ultrasonic transducers with initial static deflection. In Proceedings of the SENSORS, Baltimore, MD, USA, 3–6 November 2013; IEEE: Piscataway, NJ, USA, 2013; pp. 1–4. [Google Scholar] [CrossRef]
- Akhbari, S.; Sammoura, F.; Eovino, B.; Yang, C.; Lin, L. Bimorph Piezoelectric Micromachined Ultrasonic Transducers. J. Microelectromech. Syst. 2016, 25, 326–336. [Google Scholar] [CrossRef]
- Su, J.; Fichtner, S.; Ghori, M.Z.; Wolff, N.; Islam, M.R.; Lotnyk, A.; Kaden, D.; Niekiel, F.; Kienle, L.; Wagner, B.; et al. Growth of Highly c-Axis Oriented AlScN Films on Commercial Substrates. Micromachines 2022, 13, 783. [Google Scholar] [CrossRef] [PubMed]
- Sadeghpour, S.; Joshi, S.V.; Wang, C.; Kraft, M. Novel Phased Array Piezoelectric Micromachined Ultrasound Transducers (pMUTs) for Medical Imaging. IEEE Open J. Ultrason. Ferroelectr. Freq. Control 2022, 2, 194–202. [Google Scholar] [CrossRef]
- Savoia, A.S.; Casavola, M.; Boni, E.; Ferrera, M.; Prelini, C.; Tortoli, P.; Giusti, D.; Quaglia, F. Design, Fabrication, Characterization, and System Integration of a 1-D PMUT Array for Medical Ultrasound Imaging. In Proceedings of the 2021 IEEE International Ultrasonics Symposium (IUS), Xi’an, China, 11–16 September 2021; IEEE: Piscataway, NJ, USA, 2021; pp. 1–3. [Google Scholar] [CrossRef]
- Hardy, E.; Fain, B.; Mesquida, T.; Blard, F.; Gardien, F.; Rummens, F.; Bastien, J.; Chatroux, J.; Martin, S.; Rat, V.; et al. Spike-based Beamforming using pMUT Arrays for Ultra-Low Power Gesture Recognition. In Proceedings of the 2022 International Electron Devices Meeting (IEDM), San Francisco, CA, USA, 3–7 December 2022; IEEE: Piscataway, NJ, USA, 2022; pp. 1–24. [Google Scholar] [CrossRef]
- Gubinyi, Z.; Batur, C.; Sayir, A.; Dynys, F. Electrical properties of PZT piezoelectric ceramic at high temperatures. J. Electroceramics 2008, 20, 95–105. [Google Scholar] [CrossRef]
- Maiwa, H.; Kim, S.H.; Ichinose, N. Temperature dependence of the electrical and electromechanical properties of lead zirconate titanate thin films. Appl. Phys. Lett. 2003, 83, 4396–4398. [Google Scholar] [CrossRef]
- Esteves, G.; Habermehl, S.D.; Clews, P.J.; Fritch, C.; Griffin, B.A. AlN/SiC MEMS for High-Temperature Applications. J. Microelectromech. Syst. 2019, 28, 859–864. [Google Scholar] [CrossRef]
- Liang, Y.; Eovino, B.E.; Lin, L. Pinned Boundary Piezoelectric Micromachined Ultrasonic Transducers. In Proceedings of the 2019 IEEE 32nd International Conference on Micro Electro Mechanical Systems (MEMS), Seoul, Republic of Korea, 27–31 January 2019; IEEE: Piscataway, NJ, USA, 2019; pp. 791–794. [Google Scholar] [CrossRef]
- Lyu, H.; Xiu, X.; Zhang, S.; Yang, H.; Safari, A. Piezoelectric Micromachined Ultrasonic Transducers under Forced Vibration: Improving Acoustic Range and Reducing Blind Area. IEEE Sens. J. 2024, 24, 36451–36458. [Google Scholar] [CrossRef]
- Zhang, H.; Wang, Y.; Wang, L.; Liu, Y.; Chen, H.; Wu, Z. Process Control Monitor (PCM) for Simultaneous Determination of the Piezoelectric Coefficients d31 and d33 of AlN and AlScN Thin Films. Micromachines 2022, 13, 581. [Google Scholar] [CrossRef] [PubMed]













| Element | wt% | wt% Sigma | Atomic Percentage (%) |
|---|---|---|---|
| N | 33.35 | 0.38 | 52.02 |
| O | 0.32 | 0.20 | 0.43 |
| Al | 47.28 | 0.34 | 38.28 |
| Sc | 19.06 | 0.30 | 9.26 |
| Total | 100.00 | – | 100.00 |
| Parameter | Dimension |
|---|---|
| Top Mo electrode diameter (m) | 468/780 |
| Membrane diameter (m) | 600/1000 |
| Top Mo electrode thickness (m) | 0.1 |
| ScAlN piezoelectric layer thickness (m) | 1 |
| Bottom Mo electrode thickness (m) | 0.2 |
| Seed layer thickness (m) | 0.05 |
| Si structural layer thickness (m) | 4 |
| Property | Mo | ScAlN | Si |
|---|---|---|---|
| Dielectric permittivity | 13.7 | ||
| Density (kg/m³) | 10,200 | 3560 | 2320 |
| Young’s Modulus (GPa) | 312 | 230 | 130 |
| (GPa) | 325 | ||
| (GPa) | 279 | ||
| (GPa) | 131 | ||
| (GPa) | 99 | ||
| (GPa) | 94 | ||
| (pm/V) | |||
| (pm/V) | 9.9 |
| Initial Frequency (kHz) | Frequency Drift 80 °C (kHz) | Frequency Drift Percentage 80 °C | Frequency Drift 200 °C (kHz) | Frequency Drift Percentage 200 °C | Linearity |
|---|---|---|---|---|---|
| 62.73 | 69.6 | 11% | 92.39 | 47.3% | 0.19 |
| 62.46 | 69.17 | 10.7% | 92.03 | 47.3% | 0.19 |
| 61.07 | 65.68 | 7.5% | 88 | 44.1% | 0.186 |
| 59.55 | 64.25 | 7.9% | 86.86 | 45.9% | 0.188 |
| Device | Initial Warp (m) | Warp at 50 °C (m) | Warp at 100 °C (m) | Warp at 150 °C (m) |
|---|---|---|---|---|
| 600 m No. 1 | 0.20 | 0.34 | 0.55 | 0.87 |
| 600 m No. 2 | 0.21 | 0.36 | 0.57 | 0.93 |
| 1000 m No. 1 | 0.19 | 0.58 | 1.12 | 1.83 |
| 1000 m No. 2 | 0.3 | 0.71 | 1.24 | 2.15 |
Disclaimer/Publisher’s Note: The statements, opinions and data contained in all publications are solely those of the individual author(s) and contributor(s) and not of MDPI and/or the editor(s). MDPI and/or the editor(s) disclaim responsibility for any injury to people or property resulting from any ideas, methods, instructions or products referred to in the content. |
© 2025 by the authors. Licensee MDPI, Basel, Switzerland. This article is an open access article distributed under the terms and conditions of the Creative Commons Attribution (CC BY) license (https://creativecommons.org/licenses/by/4.0/).
Share and Cite
Lyu, H.; Safari, A. Performance Analysis of Scandium-Doped Aluminum Nitride-Based PMUTs Under High-Temperature Conditions. Appl. Sci. 2025, 15, 2428. https://doi.org/10.3390/app15052428
Lyu H, Safari A. Performance Analysis of Scandium-Doped Aluminum Nitride-Based PMUTs Under High-Temperature Conditions. Applied Sciences. 2025; 15(5):2428. https://doi.org/10.3390/app15052428
Chicago/Turabian StyleLyu, Haochen, and Ahmad Safari. 2025. "Performance Analysis of Scandium-Doped Aluminum Nitride-Based PMUTs Under High-Temperature Conditions" Applied Sciences 15, no. 5: 2428. https://doi.org/10.3390/app15052428
APA StyleLyu, H., & Safari, A. (2025). Performance Analysis of Scandium-Doped Aluminum Nitride-Based PMUTs Under High-Temperature Conditions. Applied Sciences, 15(5), 2428. https://doi.org/10.3390/app15052428

