Abstract
Coal gangue slurry filling technology is an effective way of utilizing coal gangue solid waste resources rationally, and its fluidity and sedimentation behavior have an essential influence on filling performance. However, evaluation and optimization methods for the fluidity and sedimentation performance of coal gangue slurry filling materials (CSFMs) are still scarce. In order to solve this problem, based on the fractal grading theory, this paper carried out an experimental study on the influence of the fractal dimension on the flow characteristics of CSFMs, revealed the impact of the fractal dimension on the flow performance of slurry, and constructed a CSFM flow performance evaluation and optimization model based on the fractal dimension. At the same time, the influence of the fractal dimension on solid mass fraction and particle distribution in the CSFM sedimentation process was analyzed using a sedimentation experiment. Combined with fitting analysis and model construction, a CSFM sedimentation performance evaluation method based on fractal dimension D was proposed. The results show that (1) the slump, expansion, and yield stress of CSFMs increased first and then decreased with the increase in the fractal dimension, and the bleeding rate of CSFMs decreased with the rise in the fractal dimension. The analysis of the consistency coefficient of CSFMs shows that the increase in the proportion of fine particles will increase the consistency coefficient. (2) The fitting analysis indicates that the fractal dimension D of CSFMs is negatively correlated with the sedimentation performance PS. The change in D is most significant in the range of 2.3 to 2.4, where the slurry’s stability is poor. When D exceeds 2.5, the slurry’s stability improves significantly. (3) Based on the evaluation of flow performance and settlement performance, the flow performance and settlement performance of CSFMs with fractal dimensions between 2.50 and 2.59 achieve the best balance, which ensures the reliability of long-distance transportation and construction quality. The research results can provide a reference for the pipeline transportation of whole gangue slurry and have important practical significance for realizing the large-scale disposal of gangue solid waste and green mining of coal mines.
1. Introduction
Coal gangue is one of the most significant industrial waste residues in China [1,2,3,4]. Statistics indicate that by 2022, China’s coal gangue stock had reached approximately 7.5 billion tons and continues to grow at an annual rate of 500–800 million tons. Consequently, 1500 to 1700 gangue hills have formed, covering an area of more than 200,000 acres [5,6,7]. In addition to a small amount of comprehensive utilization, the current treatment methods still rely mainly on ground emissions, which not only occupy a large amount of valuable land resources but also inevitably cause air, groundwater, and soil pollution and ultimately lead to severe ecological and environmental problems [8,9,10,11]. In order to effectively deal with both environmental and resource pressures caused by coal gangue, during the 14th Five-Year Plan period, China vigorously promoted the use of coal gangue to carry out green filling and resource utilization [12]. The implementation of these policies not only provides technical guidance for the green development of the coal industry but also provides an effective way of solving the harm of coal gangue. Among these methods, gangue slurry filling technology, as a green and efficient solid waste resource utilization method, has been widely used in the mining industry in recent years due to its advantage of facilitating the large-scale disposal of coal gangue [13,14,15].
The process of gangue slurry filling often requires long-distance pipeline transportation [16,17,18]. During the filling operation, there have been many accidents due to slurry segregation and pipe plugging [19,20]. During the backfill mixture transportation process, the critical flow rate is defined as the minimum flow rate required to prevent particle settlement and ensure continuous pipeline transportation, which ensures the possibility of backfill slurry transportation and is particularly important for non-Newtonian slurry transportation, such as in the case of coal gangue. These speeds depend on factors such as yield stress, viscosity, and particle size distribution [21]. The flow and sedimentation performance of gangue slurry is the key factor for its safe transportation. It is essential to evaluate the flow and sedimentation performance of gangue slurry accurately. Relevant scholars have carried out much research on the flow and settlement performance of filling slurry. For example, Deng et al. [22] evaluated the fluidity of filling slurry through a slump test for mine-filling mining, ensured that it was suitable for long-distance pipeline transportation, and determined a reasonable transportation length. Chang et al. [23] established the ideal filling slurry ratio by testing the slump and fluidity of several coal-based solid waste filling slurries and by combining this with the response surface analysis method. Li et al. [24] investigated the influence of polycarboxylate superplasticizer dosage, as well as solid and binder content, on the rheological behavior, fluidity, and flow properties of filling slurry. Their findings indicated that the fluidity of the filling slurry exhibited an exponential increase with the rising dosage of polycarboxylate superplasticizer. Yang et al. [25] developed a mechanical model to describe the suspension state of gangue particles in filling slurry, examined the factors influencing this state, and highlighted that incorporating a suspension agent effectively prevents the settling of gangue particles. Cao et al. [26] evaluated the effects of solid content and the cement-to-tailings ratio on the rheological behavior and sedimentation performance of filling slurry through sedimentation rate and rheological parameter experiments. Existing research on the flow and settlement performance of gangue slurry mainly focuses on adjusting the ratios of cementing materials, aggregates, and other components to evaluate and optimize its flow and settlement performance. However, the raw materials used for coal gangue slurry filling are prepared by crushing pure gangue, which is significantly different from the properties of slurry containing a binder and aggregate. It is not easy to adjust and evaluate the fluidity and sedimentation performance of coal gangue slurry solely based on the ratio of several materials. There is an urgent need to assess and optimize the fluidity and sedimentation performance of gangue slurry.
The fractal theory was founded by American mathematician Benoit B. Mandelbrot in the 1970s [27,28]. Fractal theory can quantify the complexity and fractal characteristics of particle systems, which is especially suitable for describing the non-uniform, complex, or nonlinear distribution of particle systems. Fractal theory has recently been utilized in the examination of coarse-grained soil, yielding several advancements in particle fragmentation [29,30]. L et al. [31] employed the box-counting approach to determine the fractal dimension of SEM images. They further explored the relationships between the fractal dimension and various properties, including compressive strength, pore structure, and hydraulic permeability. Quan et al. [32] designed seven groups of recycled aggregate concrete slurry (RAC) with different fractal dimensions and investigated how the fractal dimension impacts the slump, compressive strength, and carbonation depth of recycled aggregate concrete (RAC) slurry. Ye et al. [33] developed a model to describe the relationship between the fractal dimension of gangue aggregate gradation and rheological parameters. They also examined how the correlation between aggregate gradation and rheological parameters evolves. The above research proves that there is a correlation between the fractal dimension and rheological parameters of gangue slurry. Still, the research results cannot evaluate the fractal dimension of the fluidity and sedimentation performance of gangue slurry. Therefore, the purpose of this study is to establish the relationship between the fractal dimension of CSFMs and the flow performance and sedimentation performance, and to evaluate the flow performance and sedimentation performance by using the fractal dimension D of the slurry.
In this paper, a new method for evaluating the flow performance and settlement performance of CSFMs based on the fractal dimension D is proposed, which aims to simplify the evaluation process and improve the accuracy of practical applications. The key innovations of this study are as follows. (1) By examining the mechanisms through which CSFMs impact the slump, expansion, bleeding rate, yield stress, and consistency coefficient under various fractal dimensions, an evaluation model for the flow performance of gangue filling slurry based on the fractal dimension is developed. (2) In terms of settlement performance, the dynamic settlement experiment was used to analyze the impact of the fractal dimension on the settlement behavior and stability of CSFMs, and an evaluation model is proposed to be established. (3) The optimum gradation range of CSFMs suitable for engineering is given by a synergistic evaluation of slurry flow performance and settlement performance. This study provides a new method for scientific CSFM performance evaluation and provides theoretical support and practical guidance for optimizing the filling process in mining engineering.
2. Materials and Methods
2.1. Experimental Materials
The coal gangue raw material was sourced from the Xiaobaodang Coal Mine Washery in northern Shaanxi. Figure 1a presents the X-ray diffraction (XRD) spectrum. The primary phase composition of coal gangue consists of kaolinite, feldspar, and quartz. The scanning electron microscope (SEM) is shown in Figure 1b. The scanning results show that the coarse particles in the gangue are dense, the bearing capacity is strong, and there are many voids between the coarse particles, which can be filled with fine particles. The chemical and mineral compositions of coal gangue were analyzed using an X-ray fluorescence spectrometer (XRF). The test results are shown in Table 1, and the main chemical components are Al2O3 and SiO2. Referring to the selected particle size of coal gangue slurry filling in the Shandong mining area, the coal gangue is broken down to a size smaller than 2.36 mm by a very fine crusher [34]. The tap water used in this experiment meets the requirements of JGJ 63-2006 [35].
Figure 1.
Material characteristics of gangue. (a) Gangue XRD pattern; (b) SEM image of gangue.
Table 1.
Main chemical composition of Materials.
2.2. Preparation of Coal Gangue Slurry
The fractal dimension D is utilized to quantify the irregularity of complex shapes, indicating the extent of their effective occupation within a given space. Through the fractal formula of grading gangue particle size, given different fractal dimensions (D), different grading curves can be obtained. Then, the passing percentage of each particle size of the aggregate can be calculated. The authors of reference [36] deduced the aggregate particle size distribution equation based on fractal theory:
In this formula, P(di) is the mass fraction of the interval particle size distribution; Mi is the aggregate mass with a particle size between di and dmin; Mt is the total mass of the aggregate, D represents the fractal dimension of the aggregate particle size distribution, dmax denotes the maximum particle size of the aggregate particles, and dmin refers to the minimum particle size of the aggregate particles. When the minimum particle size dmin = 0, Equation (1) can be simplified as:
The fractal dimension serves as a critical parameter for characterizing the distribution properties of particles. In order to better understand and optimize the particle size characteristics of coal gangue particles and their influence on the subsequent treatment process, it is necessary to clarify the mass distribution ratio of particles with different particle sizes. The coal gangue was sieved into five particle sizes (<0.15 mm, 0.15–0.30 mm, 0.30–0.60 mm, 0.60–1.18 mm, and 1.18–2.36 mm), and the passing rate of each sieve was determined by Formula (2). The cumulative passing rate for each particle size is shown in Figure 2. The obtained data were converted into mass ratios for each particle size range. Subsequently, seven groups of slurry with different particle size fractal dimensions were prepared, precisely 2.30, 2.40, 2.45, 2.50, 2.55, 2.60, and 2.70. The solid mass fraction of the gangue slurry is controlled at 75%.
Figure 2.
Accumulative pass rate of gangue.
2.3. Experimental Method
To explore the impact of the fractal dimension on the rheological properties and sedimentation performance of CSFMs, and to establish an evaluation method for the fluidity and sedimentation performance of coal gangue filling slurry based on fractal theory, experiments were conducted on the slump, expansion, bleeding rate, rheology, and sedimentation of CSFMs with different fractal dimensions. In the rheological test, slump test, and bleeding rate test, three independent samples were prepared for each experimental series, and three repeated tests were performed on each sample to reduce errors and improve the reliability of the results. In the settlement experiment, because the research focus is on the settlement behavior of the slurry, the experiment was only measured once, but the samples were taken at multiple time nodes and different height regions to ensure the representativeness of the data. The experimental process is illustrated in Figure 3.
Figure 3.
Flow chart of the experiment.
2.3.1. Mini-Slump Test
The slump test is a critical indicator of the cohesion and frictional resistance of slurry, as well as its transport performance [37]. The experiment was carried out using a collapse tube with upper and lower diameters of 50 mm and 100 mm and a height of 150 mm, as well as a support expansion measurement base. The mini-slump test was conducted in accordance with the GB/T 50080 standard issued by the China National Standardization Committee. To minimize experimental errors, three independent tests were performed for each slurry group, and the average value was used as the final result.
2.3.2. Bleeding Rate Test
The gangue particles cannot absorb all the mixed water, and the mixture’s stability is evaluated by measuring the bleeding rate of CSFMs [38]. Since there is no cementing material in the coal gangue slurry, it cannot solidify. Therefore, when the fluidity test is carried out, the platform does not start and is only used as a distance reference. The slurry bleeding rate was determined in accordance with the Standard for Test Methods for Performance of Concrete Mixtures (GB/T 50080-2002).
2.3.3. Rheometer Test
The rheological experiment was conducted using a 500 mL beaker, a HAAKE Viscotester iQ air rheometer, and an FL262B/SS-01170682 rotor (Figure 3). In order to reduce the influence of the side wall effect on the experiment, the insertion depth of the test blade and the volume of the slurry need to meet specific requirements [39]. Readers interested in the test process are encouraged to refer to the literature by Liu et al. [40] for more comprehensive steps. To simplify the description, a detailed introduction is not provided here.
2.3.4. Settlement Test
As shown in Figure 4, a settlement system with a diameter of 0.1 m and a height of 1 m was designed. The recovery port is set at 10 cm, 45 cm, and 80 cm from the bottom of the transparent tube, and the settlement of gangue with different particle sizes in the gangue slurry at different times is analyzed. The fully mixed gangue slurry is poured into the instrument to measure the settlement. After the experiment began, samples were taken at 5 min, 10 min, 15 min, 30 min, and 60 min on the upper, middle, and lower parts of the settlement instrument. Then, the drying oven temperature was set to 50 °C, and the sample was placed in a drying oven and dried for 48 h. After the dried samples were removed and crushed, they were sieved, and the mass of each particle size fraction obtained after screening was recorded.
Figure 4.
Schematic diagram of the settlement instrument.
3. Results and Discussion
3.1. Evaluation and Analysis of the Flow Characteristics of Gangue Filling Slurry Based on the Fractal Dimension
3.1.1. Analysis of Mini-Slump, Expansion, and Bleeding Rate
The influence of the fractal dimension on the mini-slump and expansion of CSFMs is presented in Figure 5. The mini-slump and expansion of CSFMs have similar trends, both of which increase first with the increase in the aggregate fractal dimension. When the fractal dimension exceeds 2.50, the mini-slump and expansion of CSFMs begin to decrease. This is because when the particle fractal dimension D increases, the proportion of large-particle gangue in the slurry decreases. This reduces the sliding friction of large particles in the mud flow process, thereby improving the fluidity. As the fractal dimension D of particle gradation continues to increase, the fraction of small gangue particles in the slurry increases, the system gradation deteriorates, and the slurry viscosity rises. Therefore, liquidity deteriorates [41]. Increased friction and particle collisions caused by tiny particles are another critical factor contributing to decreased fluidity [42,43]. In the reference paste filling, the minimum slump value is 100 mm. When the value is better than 160 mm, it is considered to have good fluidity. The slump values equivalent to a mini-slump cylinder are 44.4 mm and 70.8 mm, respectively [44]. Therefore, when using slump and expansion to evaluate the fluidity of coal gangue slurry, CSFMs with D = 2.3–2.7 exhibit good fluidity, meeting the requirements for pipeline transportation.
Figure 5.
Effect of the fractal dimension on the slump, expansion, and bleeding rate of slurry.
Figure 5 illustrates the influence of the fractal dimension on the bleeding rate of CSFMs. The analysis shows that the bleeding characteristics of CSFMs can be effectively adjusted by controlling the fractal dimension, and the bleeding rate has a significant negative correlation with the fractal dimension. This is due to the fact that a smaller fractal dimension, D, corresponds to a higher proportion of large particles in the gradation. When the proportion of large particles increases, the pore structure inside the slurry will increase. Free water will fill these voids and escape from the voids after standing for a period of time [45]. The bleeding rates of CSFMs with D = 2.3 to 2.7 were 7.61%, 6.63%, 4.88%, 3.24%, 3.15%, 3.02%, and 1.88%, respectively. Combined with the filling engineering practice of Shenzhou Coal Industry, when the bleeding rate of filling slurry exceeded 5%, slurry segregation and plugging accidents occurred, meaning that requirements for the safe transportation of slurry cannot be met [46]. Therefore, when the bleeding rate is used to evaluate the flow performance of coal gangue, the five groups of D = 2.45, D = 2.50, D = 2.55, D = 2.60, and D = 2.70 can meet the requirements of pipeline transportation. On the other hand, D = 2.3 and D = 2.4 cannot meet the requirements of pipeline transportation.
Based on the above research, when slump and expansion are used to evaluate the fluidity of coal gangue slurry, D = 2.3 and D = 2.4 can meet the requirements for gangue filling pipeline transportation fluidity. Conversely, when the bleeding rate is used to evaluate the fluidity of coal gangue, D = 2.3 and D = 2.4 cannot meet the requirements of pipeline transportation. It can be seen that it is difficult to accurately evaluate the fluidity of gangue slurry by using a single slump or bleeding rate index. Fractal dimension is a parameter related to the slump and bleeding rate, which has technical advantages in evaluating the fluidity of gangue slurry.
3.1.2. Analysis of Yield Stress and Apparent Viscosity
Figure 6 and Figure 7 present the rheological properties of CSFMs with varying fractal dimensions. Gangue filling slurry belongs to non-Newtonian fluid. There are generally three types of rheological models describing non-Newtonian fluid, namely the power–law fluid model, the Bingham fluid model, and the Herschel–Bulkley (H–B) model. Among them, the power–law fluid model is suitable for fluids without a power–law relationship between the yield stress, shear stress, and shear rate. Because the mass fraction of the slurry selected in this paper is 75%, it belongs to high-concentration slurry. Compared with the Bingham model, the H–B model fits the rheological curve better. For high-concentration slurry, the Herschel–Bulkley (H-B) model is utilized to fit the relationship between the shear stress and shear rate [47,48]. The fitting results and rheological parameters are shown in Table 2. The H–B model can be expressed as [49]:
Figure 6.
Relationship between shear rate and shear force.
Figure 7.
Relationship between shear rate and viscosity.
Table 2.
Rheological parameters of gangue slurry.
The formula τ represents the shear stress, K is the consistency coefficient, τ0 is the yield stress, γ denotes the shear rate, and n is the rheological index. When n < 1, the slurry exhibits shear-thinning behavior; when n = 1, the slurry conforms to the H–B model; and when n > 1, the slurry exhibits shear-thickening behavior [50,51]. It can be seen from Table 2 that the flow index n of CSFMs with a fractal dimension of 2.3 to 2.7 is greater than 1.
The rheological test results of slurry under different gradation conditions are shown in Figure 6. The results indicate that appropriately optimizing the particle size distribution of gangue particles in CSFMs can significantly reduce the yield stress of the slurry. As the fractal dimension D of CSFMs increases from 2.3 to 2.7, the initial yield stress τ0 of the slurry decreases first and then increases. This phenomenon occurs because, at smaller fractal dimensions, large-particle gangue settles and comes into contact with the rotating blade. This interaction causes significant fluctuations in the unstable beating value. The resulting increased shear stress leads to a higher initial yield stress of the slurry [52]. As the branch dimension D of the slurry continues to increase (a decrease in the particle thickness ratio), the proportion of fine particles in the slurry increases. Compared with coarse particles, fine particles better water absorption, resulting in an increase in the concentration of slurry and an increase in the initial yield stress τ0 of the slurry. The rheological characteristic curves of CSFMs with D = 2.45, D = 2.50, and D = 2.55 have the same trend, indicating that the flocculation structures of CSFMs with D = 2.45, D = 2.50, and D = 2.55 are similar. In addition, Ye et al. [33] also obtained the same conclusion on the influence of aggregate fractal series on the yield stress of paste, which is highly consistent with the trend of the fractal dimension on the yield stress of paste in this paper. In addition, some scholars have discussed how rheological parameters depend on different solid mass fractions and standing time, which are also factors affecting slurry rheology [53]. It is pointed out that the yield stress of slurry increases with the increase in mass fraction. The yield stress and viscosity of slurry increase with the increase in standing time.
Figure 7 shows the change in the apparent viscosity with shear rate. The results demonstrate that the plastic viscosity of CSFMs initially decreases and then increases as the shear rate increases, showing the shear thickening phenomenon. When the apparent viscosity of the slurry decreases in the early stages, it may be because the shear action destroys the original network structure, resulting in a significant change in the arrangement direction of the solid particles and reducing its apparent viscosity. As the shear rate continues to increase, the apparent viscosity of CSFMs begins to increase, and the shear thickening is caused by the agglomeration of particle clusters [49]. CSFMs with D = 2.3 to D = 2.7 exhibit distinct critical shear rate points, where shear thickening occurs. This is consistent with the expected rheological index. According to the order–disorder transition theory, the shear thinning or shear thickening behavior of the slurry is governed by the interparticle forces and the degree of particle dispersion [54].
3.1.3. Establishment of the CSFM Flow Performance Evaluation Model
In order to more accurately evaluate the flow properties of the slurry, the macroscopic flow properties (such as expansion, slump, and bleeding rate) and microscopic rheological properties (such as yield stress and consistency coefficient) of the slurry are comprehensively considered, which are collectively referred to as the flow characteristics of the slurry. Through the standardized processing and weight distribution of the experimental data, the mapping model between the fractal dimension and the comprehensive score of the flow characteristics is established, which provides a scientific basis for evaluating and optimizing the slurry ratio. The construction steps of the model are as follows.
1. By fitting the experimental data, a relationship between the fractal dimension of CSFMs and the flow characteristic index is established. The detailed fitting results are presented in Table 3. The fitting results show that the correlation coefficient R2 of each index is very close to 1. These findings offer a theoretical foundation for comprehending the relationship between the fractal dimension and CSFM flow performance, serving as a valuable reference for further optimizing the composition and performance of CSFMs.
Table 3.
The fitting results of CSFM flow characteristic indexes with different fractal dimensions.
2. The weight of the flow characteristics index is determined based on the entropy weight method. The entropy weight method based on information entropy is adopted. This method measures the degree of variation by calculating the data distribution of each index so as to determine its relative importance in the comprehensive evaluation. Among them, slump and expansion are positive indicators, and bleeding rate, yield stress, and consistency coefficient are negative indicators. The specific weight calculation process of the entropy weight method has been introduced in detail in reference [55], and this paper will not repeat it. The calculation results are shown in Table 4.
Table 4.
Index weight of flow characteristics.
3. As shown in Figure 8, based on the different fractal dimensions and the corresponding flow performance index data collected by the experiment, the input and output relationship of the model is constructed using MATLAB (version 2021a) code. If the output slurry is not available, the fractal dimension can be adjusted by changing the particle distribution, and the comprehensive score FS of the flow characteristics can be brought in and calculated again. The score serves as an indicator of the slurry’s flow characteristics, with higher scores representing better performance. At the same time, when the comprehensive score FS of the flow characteristics of the slurry is more significant than 0.80, the flow performance of the slurry can be evaluated as excellent.
Figure 8.
Evaluation model of flow performance.
3.1.4. Validation of the Reliability of the Flow Performance Evaluation Model
To verify the reliability of the model, the broken gangue is sieved, the logarithms of both ends of Equation (2) are taken, and the fractal dimension is calculated to be 2.492. The fractal dimension is substituted into the flow characteristics evaluation model for calculation. The calculation process is shown in Figure 9, and the comprehensive score is 0.8548, indicating that the flow characteristics are excellent. At the same time, the flow characteristics of the original graded gangue are verified by traditional experiments. The experimental results show that the mini-slump is 143 mm, the expansion is 316 mm, the bleeding rate is 4.31%, the yield stress is 20.41 Pa, and the consistency coefficient is 0.00088. Combined with the practice of slurry filling, the slurry has excellent fluidity, which proves the reliability of the model evaluation results. At the same time, the model is simple to calculate and has high practical value.
Figure 9.
Calculation of the flow characteristic evaluation model.
3.2. Evaluation and Analysis of the Settlement Performance of Gangue Filling Slurry Based on Fractal Grading
3.2.1. Stress Analysis of Gangue Particles
Particle size distribution has a significant effect on the stability of slurry [56,57]. Therefore, it is crucial to study the stress of gangue in slurry under an appropriate mass gradation coefficient for slurry settlement analysis. Figure 10 describes the medium resistance and stress of the aggregate in the slurry, which can be reduced to spherical particles with uniform textures. When gangue particles are suspended in the slurry, the effective gravity of the solid particles must be less than or equal to the resistance of the slurry to the particles.
Figure 10.
The sinking force of single-particle gangue in static slurry.
Gravity G of spherical particles in slurry:
In this formula, ρ1 is the slurry density and ρ2 is the apparent density of the aggregate.
Resistance F is the resultant force of shear resistance caused by slurry yield stress. The calculation formula is as follows:
In this formula, A is the cross-sectional area of the particle and τ0 is the slurry yield stress, Pa.
When the gangue particles are suspended in the high-concentration slurry, they are in a state of force balance, and the sum of resistance, gravity, and buoyancy is zero.
The density, particle size, suspension velocity, and viscosity of gangue particles are the properties of the slurry itself, which are determined by the morphology of slurry particles. It can be seen that adjusting the grading coefficient of gangue is an effective strategy for controlling the plastic viscosity and yield stress of slurry and optimizing the suspension performance. For the sedimentation rate of high-concentration slurry particles, the modified Stokes equation is used [58]:
In the formula, η is the viscosity of the fluid, φ is the volume fraction of the particles in the slurry, and φ is a constant. When the slurry mass concentration is constant, for ρ1, η, and φ in Formula (6), there are:
When the fractal dimension of particles in the slurry increases, the increase in the proportion of fine particles will lead to changes in slurry density ρ1, viscosity η, and particle volume fraction φ. Through the settlement experiment, the influence of different gradation ranges on the settlement of gangue particles was evaluated, and the optimal particle gradation range was determined.
3.2.2. The Effect of the Fractal Dimension on the Solid Mass Fraction and Slurry Particle Distribution During the Settlement Process
Figure 11 is a schematic diagram of particle distribution during gangue settlement. In order to facilitate the analysis, we divided the settlement instrument into three regions: upper, middle, and lower, and analyzed the solid mass fraction W and the fractal dimension DS of the particle size distribution in each region in different time periods. The pair (2) can be obtained by taking logarithms on both sides:
Figure 11.
Particle distribution diagram during the process of slurry settlement.
Let 3-DS be equal to a. According to Formula (2), the least squares method is used to fit the best curve of the screened gangue particles. The parameters b and a are obtained, and the grading fractal dimension DS can be solved. The relevant data are calculated by screening processing.
Figure 12 shows the effect of the fractal dimension on the solid mass fraction W of the slurry. The analysis shows that the larger the fractal dimension is, the smaller the range of change of the solid mass fraction in the process of slurry settlement is, and the gentler the settlement behavior is. In the upper area of the settlement instrument, with the extension of the settlement time, the solid mass fraction of all slurry showed a downward trend, and the larger the fractal dimension, the smaller the decrease in the solid mass fraction. This is because as the fractal dimension increases, the proportion of fine particles gradually increases, the gap between particles in the slurry decreases, and the filling effect between particles increases. The filling effect increases the friction between particles and hinders the free settlement of particles. The filling effect of fine particles will increase the overall density of the slurry, resulting in a slower sedimentation rate. In the central area of the sedimentation instrument, the solid mass fraction of the slurry with fractal dimension D = 2.7 increased after settling for 5 min. In contrast, slurry with fractal dimensions D = 2.3–2.6 showed a continuous decrease in the solid mass fraction, and the change in the solid mass fraction in this area was relatively gentle. This is because the settled particles in the upper area have settled in the lower area. When the content of fine particles in the slurry is high, the interaction between the particles and the liquid will gradually slow down the settling velocity and eventually stabilize. In the lower area of the sedimentation instrument, the solid mass fraction of each slurry increases with time, and the larger the fractal dimension, the smaller the increase in the solid mass fraction. This is because the lower part of the settler will first accumulate large particles. With time, smaller particles will gradually reach the lower part, increasing the mass fraction of the lower part. Li et al. [59] pointed out in their study that in order to improve the time-dependent suspension stability of slurry during pipeline transportation, methods such as increasing the amount of fine-grained particles are usually used. Correspondingly, this study found that when the fractal dimension of the slurry is larger, the proportion of fine particles in the slurry is also more significant, which is consistent with the conclusion in the research results, i.e., in the slurry with a larger fractal dimension, the increase in the solid mass fraction in the upper region is smaller. This indicates that the increase in the proportion of fine particles helps to improve the stability of the slurry and may inhibit the drastic change in the solid mass fraction to a certain extent.
Figure 12.
The change in the slurry solid mass fraction in the process of sedimentation. (a) The upper part of the settlement instrument; (b) The middle of the settlement instrument; (c) the Lower part of the settlement instrument.
Figure 13 shows the dynamic fractal distribution DS of particles in different regions of the slurry with different fractal dimensions during the settlement process. The analysis shows that the smaller the fractal dimension of the original slurry, the more significant the particle size distribution changes. In the upper area of the sedimentometer, for the slurry with D = 2.3–2.7, the DS shows an upward trend with the settlement process, and with the increase in the original fractal dimension, the change range of the fractal distribution gradually decreases. This is because the gangue with a large particle size settles fastest in the process of slurry settlement, resulting in a rapid decrease in the content of large particles in the upper region [60]. In the middle area of the sedimentation instrument, the particle distribution Ds of the slurry with a fractal dimension of 2.3 showed a significant downward trend with the sedimentation time. Still, the decline was gentler than in the upper area. At the same time, the variation of the fractal distribution DS of the slurry particles with the fractal dimension D of (2.5–2.7) is relatively stable. In the lower area of the sedimentation instrument, the fractal distribution coefficient DS of the particles shows a significant downward trend with the sedimentation time. With the increase in the original fractal dimension, the change in the fractal distribution is further slowed. This is because the particles are gradually settled to the lower part of the settlement instrument under the influence of gravity. The settlement speed of large particles is fast and a stable sedimentary layer is formed.
Figure 13.
Variation of the fractal dimension ds of particle size distribution in slurry during the sedimentation process. (a) The upper part of the settlement instrument; (b) The middle of the settlement instrument; (c) the Lower part of the settlement instrument.
3.2.3. Analysis of the Sedimentation Performance of Gangue Slurry
ΔW is used to represent the solid mass fraction difference between the upper and lower regions when the slurry settles for 60 min, which can characterize the separation effect of the slurry settlement. ΔDS is used to represent the difference between the fractal distribution DS of the upper and lower regions of the settler when the slurry settles for 60 min. It represents the difference in the distribution of particles during the settlement process. The ΔW and ΔDS of CSFMs with fractal dimensions of 2.30, 2.40, 2.50, 2.55, 2.60, and 2.70 were analyzed (a CSFM with D = 2.45 was used as verification). Figure 14 shows the influence of the particle size distribution of different gangue aggregates on the ΔW and ΔDS of slurry. The analysis shows that an increase in the fractal dimension will reduce the difference in the particle distribution and solid mass fraction in the process of slurry settlement, which further reflects that the settlement process of high-fractal-dimension slurry is more uniform. With the increase in fractal dimension D, both ΔW and ΔDS show a downward trend. When the fractal dimension D is (2.3–2.4), ΔW and ΔDS decrease the most. It shows that the stability of the slurry in this interval is poor.
Figure 14.
Fitting analysis of the fractal dimension on settlement performance.
3.2.4. The Establishment of the Settlement Performance Evaluation Model
In order to comprehensively evaluate the sedimentation of slurry, the following model was constructed using the linear weighting method:
Among them, PS represents the sedimentation performance of the slurry and A and B represent the weights of ΔW (D) and ΔDS (D), respectively. D is the fractal dimension of slurry particles. In order to objectively determine the weight of each index, the entropy weight method based on information entropy is adopted, and the weight coefficients A = 0.6328 and B = 0.3672 are obtained. The following formula expresses the settlement performance of the slurry.
For a clearer visualization, Equation (13) is converted into Figure 15. Figure 15 shows the relationship between the settlement index and the fractal dimension of the slurry. As shown in Figure 15, the sedimentation performance index (PS) of the slurry gradually decreases with the increase in the fractal dimension D. The downward trend of PS tends to be gentle with the increase in D. Combined with the influence of fractal dimension D on the solid mass fraction W and particle branch distribution DS in each region of the slurry, it is found that when the fractal dimension of the slurry is D = 2.30, D = 2.40, and D = 2.45, the variation curves of W and DS obviously change with time. When D exceeds 2.50 (D = 2.50, D = 2.55, D = 2.60, and D = 2.70), the overall trend of the variation curves of W and Ds with time tends to be gentle, and the slurry shows good stability. The blue area in Figure 15 shows that the sedimentation performance of the slurry shows good stability when the fractal dimension is in the range of 2.50 to 2.59. It can be seen that when PS < 0.0707, the slurry showed good stability, and with further increases in D, the stability gradually increased. The experimental results show that ΔW is 0.037 and ΔDS is 0.180. By substituting the experimental data into Formula 13, PS = 0.0895 can be calculated. The relative error between the predicted value and the simulated value is 4.25%, which is less than 10%. The results show that the model can accurately predict the sedimentation performance of slurry.
Figure 15.
Relationship between the fractal dimension and settlement performance.
3.3. Collaborative Evaluation and Analysis of the Flow and Sedimentation Performance of Coal Gangue Slurry
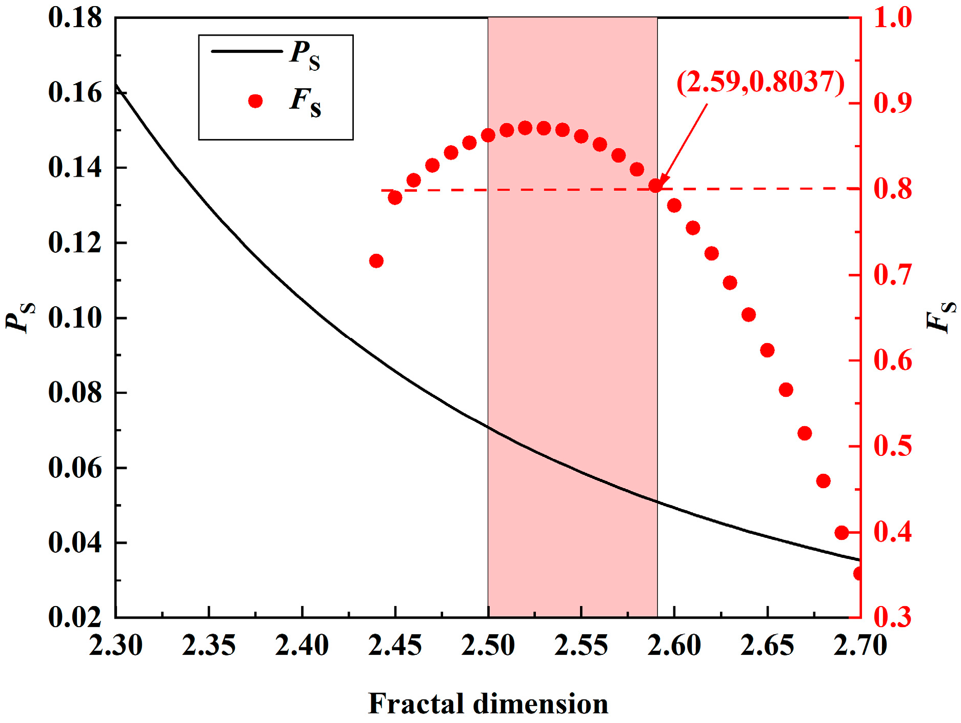
The pure gangue slurry (CSFM) prepared by the conventional crushing of gangue usually has problems such as poor fluidity and easy particle sedimentation stratification, which makes it difficult to meet the requirements of long-distance advection transportation. In order to solve the above problems, the analysis of the evaluation model of CSFM flow performance and sedimentation performance based on fractal dimensions is shown in Figure 16. In the range of (2.3–2.7), an average of 40 points are taken to analyze the influence of the fractal dimension on CSFM flow performance. The results show that when the fractal dimension of the CSFM is between 2.3 and 2.43, the flow performance evaluation model shows that the slurry is not available. The fractal gradation of particles can be optimized by increasing the content of fine particles. When the fractal dimension of CSFMs is between 2.45 and 2.59 (FS > 0.8), the CSFM shows better flow performance. Combined with the fractal dimension analysis of the slurry sedimentation performance, it was found that when D exceeded 2.50 (PS < 0.0707), the slurry showed good stability. Based on the evaluation of flow performance and settlement performance, it is recommended to select CSFMs with fractal dimensions between 2.50 and 2.59 to achieve the best balance between flow performance and settlement performance and ensure the reliability of long-distance transportation and construction quality. Although the model based on fractal dimensions performs well on coal gangue slurry, it should be pointed out that the application of the model still has limitations. The material composition of the coal gangue slurry discussed in this paper is only coal gangue and water and does not contain cementitious materials. However, for other types of slurry or filling materials, it still needs to be verified by further experimental research.
Figure 16.
The relationship between the fractal dimension and flow and settlement performance.
4. Conclusions
Based on the fractal theory, this paper systematically studies the influence of the fractal dimension on the flow and sedimentation performance of CSFMs and establishes an evaluation model. The main conclusions are as follows:
- (1)
- The fractal dimension has a significant effect on the slump, expansion, bleeding rate, yield stress, and consistency coefficient of CSFMs. With an increase in fractal dimension (D), the slump and expansion degree increase first and then decrease, and the bleeding rate decreases gradually. In contrast, an increase in the fine particle ratio will increase the consistency coefficient. Based on this, a CSFM flow performance evaluation model based on fractal dimensions is constructed, which provides a theoretical basis for optimizing the fluidity of slurry.
- (2)
- The influence of the fractal dimension on the sedimentation behavior and stability of CSFMs was revealed by dynamic sedimentation experiments and particle fractal distribution analysis. Studies have shown that the larger the fractal dimension (D), the slower the settling velocity of the slurry and the higher the stability. Based on the experimental results, a CSFM sedimentation performance evaluation model was established, which provided a new method for evaluating the sedimentation stability of slurry.
- (3)
- Through the collaborative evaluation and analysis of the flow characteristics and settlement performance of CSFMs, it is found that the CSFM with a fractal dimension (D) between 2.46 and 2.59 has the best balance between flow performance and settlement performance, which can ensure the reliability of long-distance transportation and construction quality.
- (4)
- The fractal theory can be used to evaluate the fluidity and sedimentation performance of CSFMs. By screening the particle size of gangue particles and calculating the fractal dimension, the complexity of particles and its influence on the filling performance of slurry can be accurately described. The fractal theory is easy to operate and suitable for the application of CSFMs in practical engineering.
Author Contributions
Conceptualization, X.S. and W.W.; software, B.Z.; validation, R.T.; formal analysis, W.W.; investigation, J.N.; data curation, Z.W.; writing—original draft, W.W.; writing—review and editing, Y.Z.; visualization, X.D.; supervision, R.T.; project administration, X.S.; funding acquisition, X.S. All authors have read and agreed to the published version of the manuscript.
Funding
This research was supported by the National Natural Science Foundation of China under Grant Nos. 52400185 and the Key R & D plan of Shaanxi Province in 2023 under Grant Nos. 2023-LL-QY-02.
Institutional Review Board Statement
Not applicable.
Informed Consent Statement
Not applicable.
Data Availability Statement
Data will be made available on request.
Acknowledgments
The authors express their sincere gratitude to Quanhao Song and Chuang Tian for their valuable suggestions and assistance during the preparation of this study. Their contributions were instrumental in refining the research methodology and enhancing the quality of the manuscript.
Conflicts of Interest
The authors declare no conflicts of interest.
References
- Li, J.Y.; Wang, J.M. Comprehensive utilization and environmental risks of coal gangue: A review. J. Clean. Prod. 2019, 239, 117946. [Google Scholar] [CrossRef]
- Li, Y.D. Current situation and prospects of coal gangue’s comprehensive utilization. Coal Econ. Res. 2024, 44, 127–133. [Google Scholar]
- Qureshi, A.A.; Kazi, T.G.; Baig, J.A.; Arain, M.B.; Afridi, H.I. Exposure of heavy metals in coal gangue soil, in and outside the mining area using BCR conventional and vortex assisted and single step extraction methods. Impact on orchard grass. Chemosphere 2020, 255, 126960. [Google Scholar] [CrossRef]
- Li, D.; Wu, D.S.; Xu, F.G.; Lai, J.H.; Li, S.H. Literature overview of Chinese research in the field of better coal utilization. J. Clean. Prod. 2018, 185, 959–980. [Google Scholar] [CrossRef]
- Zhu, L.; Gu, W.Z.; Yuan, C.F.; Liu, C.Y.; Pan, H.; Song, T.Q.; Sheng, F.T. Application and Prospect of Coal Gangue Slurry Filling Technology. Coal Sci. Technol. 2024, 52, 93–104. [Google Scholar]
- Deng, Y.L.; Wei, K.J.; Zhao, D.F. Resource Utilization of Coal Gangue Solid Waste in the Field of Construction and Environmental Restoration in China. Energy Res. Util. 2021, 33–36. [Google Scholar] [CrossRef]
- Song, W.J.; Zhang, J.X.; Li, M.; Yan, H.; Zhou, N.; Yao, Y.N.; Guo, Y.B. Underground Disposal of Coal Gangue Backfill in China. Appl. Sci. 2022, 12, 12060. [Google Scholar] [CrossRef]
- Li, F.; Li, X.J.; Hou, L.; Shao, A.R. A long-term study on the soil reconstruction process of reclaimed land by coal gangue filling. Catena 2020, 195, 104874. [Google Scholar]
- Wu, D.; Wang, Y.Y.; Wang, M.C.; Wei, C.; Hu, G.Q.; He, X.L.; Wei, F. Basic characteristics of coal gangue in a small-scale mining site and risk assessment of radioactive elements for the surrounding soils. Minerals 2021, 11, 647. [Google Scholar] [CrossRef]
- Li, J.M.; Huang, Y.L.; Pu, H.; Gao, H.D.; Li, Y.S.; Ouyang, S.Y.; Guo, Y.C. Influence of block shape on macroscopic deformation response and meso-fabric evolution of crushed gangue under the triaxial compression. Powder Technol. 2021, 384, 112–124. [Google Scholar] [CrossRef]
- Yang, D.L.; Li, J.M.; Huang, Y.L.; Song, T.Q.; Gao, H.D.; Qiao, M. Research on Migration Law of Mn in Mudstone Floor in the Goaf under Coupling Conditions of Seepage and Stress. Pol. J. Environ. Stud. 2020, 29, 939–950. [Google Scholar] [CrossRef]
- Liu, F.; Cao, W.J.; Zhang, J.M.; Cao, G.M.; Guo, L.F. Current technological innovation and development direction of the 14th Five-Year Plan period in China coal industry. J. China Coal Soc. 2021, 46, 1–15. [Google Scholar]
- Wang, J.Q.; Zhang, J.X.; Li, M.; Sartaj, M.; Wang, Y.B. A Numerical Simulation of the Interaction of Aggregate and Rockfill in a Gangue Fluidized Filling Method. Sustainability 2022, 14, 12838. [Google Scholar] [CrossRef]
- Li, Y.B.; Yang, Y.K.; Su, X.G. Research on In-situ Disposal Technique of Coal Gangue. In Proceedings of the 2011 International Conference on Environmental Systems Science and Engineering (ICESSE 2011), Dalian, Liaoning, China, 6 August 2011. [Google Scholar]
- Zhang, J.X.; Tu, S.H.; Yijun, C.; Tan, Y.L.; Xin, H.Q.; Pang, J.L. Research progress of technologies for intelligent separation and in-situ backfill in deep coal mines in China. J. Min. Saf. Eng. 2020, 37, 1–10. [Google Scholar]
- Tang, R.L.; Zhao, B.C.; Xin, J.; Sun, J.P.; Xu, B.W.; Tian, C.; Ning, J.B.; Li, L.Q.; Shao, X.P.; Ren, W.A. Multisolid waste collaborative production of aeolian sand-red mud-fly ash cemented paste backfill. Case Stud. Constr. Mat. 2024, 20, e02843. [Google Scholar] [CrossRef]
- Hu, B. Research and application of gangue filling in Xiaobaodang Coal Mine. Coal Eng. 2021, 53, 16–19. [Google Scholar]
- Dong, C.W.; Zhou, N.; Ferro, G.A.; Yan, H.; Xu, J.; Wang, H.; Liu, S.; Zhang, Z. Research on proportion and performance optimization of pure gangue backfilling slurry based on multi-objective differential evolution algorithm. Constr. Build. Mater. 2024, 418, 135432. [Google Scholar] [CrossRef]
- Wang, C.H.; Gan, D.Q. Study and Analysis on the Influence Degree of Particle Settlement Factors in Pipe Transportation of Backfill Slurry. Metals 2021, 11, 1780. [Google Scholar] [CrossRef]
- Li, Y.G.; Qi, L.Z. Study on pumpability of paste filling slurry and filling plugging factors in Daliang Mining Group. Min. Technol. 2017, 17, 23–24. [Google Scholar]
- Xie, S.Q.; Ma, J.S.; Zhou, C.X. Rheological properties analysis and critical velocity calculation of filling slurry. China Mine Eng. 2016, 45, 26–29+73. [Google Scholar]
- Deng, D.Q.; Gao, Y.T.; Wu, S.C. Liquidity Detection Based on the Slump Testing of Coarse Aggregate Filling Material. J. Beijing Inst. Civ. Eng. Archit. 2009, 25, 30–33. [Google Scholar]
- Chang, G.F.; Hua, X.Z.; Liu, X.; Li, C.; Wang, E.Q.; Sun, B.J. Fluidity Influencing Factor Analysis and Ratio Optimization of New Filling Slurry Based on the Response Surface Method. J. Renew. Mater. 2022, 10, 1439–1458. [Google Scholar] [CrossRef]
- Li, Q.L.; Wang, B.W.; Wei, Z.; Zhong, Y. Experiment and numerical simulation study of polycarboxylate superplasticizer modified cemented ultrafine tailings filling slurry: Rheology, fluidity, and flow properties in pipeline. Constr. Build. Mater. 2024, 438, 137041. [Google Scholar] [CrossRef]
- Yang, J.; Wu, J.L.; Jin, J.Y. Study on the suspended properties of gangue particles with high concentration of gangue and fly ash. J. Min. Sci. Technol. 2019, 4, 127–132. [Google Scholar]
- Cao, S.; Xue, G.L.; Erol, Y.; Yin, Z.Y. Assessment of rheological and sedimentation characteristics of fresh cemented tailings backfill slurry. Int. J. Min. Reclam. Environ. 2021, 35, 319–335. [Google Scholar] [CrossRef]
- Mandelbrot, B.B.; Wallis, J.R. Robustness of the rescaled range R/S in the measurement of noncyclic long run statistical dependence. Water Resour. Res. 1969, 5, 967–988. [Google Scholar] [CrossRef]
- Mandelbrot, B.B.; Freeman, W.H. The Fractal Geometry of Nature; W.H. Freeman and Co.: San Francisco, CA, USA, 1982. [Google Scholar]
- Feng, P.; Liu, B.; Tang, R.; Wei, M.D.; Zhang, Y.; Zhang, H.J. Dynamic fracture behaviors and fragment characteristics of pre-compressed flawed sandstones. Int. J. Mech. Sci. 2022, 220, 107162. [Google Scholar] [CrossRef]
- Xu, Y.F.; Feng, X.B.; Zhu, H.G.; Chu, F.F. Fractal model for rockfill shear strength based on particle fragmentation. Granul. Matter 2015, 17, 753–761. [Google Scholar] [CrossRef]
- Lü, Q.; Qiu, Q.L.; Zheng, J.; Wang, J.Y.; Zeng, Q. Fractal dimension of concrete incorporating silica fume and its correlations to pore structure, strength and permeability. Constr. Build. Mater. 2019, 228, 116986. [Google Scholar] [CrossRef]
- Quan, C.Q.; Jiao, C.J.; Chen, W.Z.; Xue, Z.C.; Liang, R.; Chen, X.F. The Impact of Fractal Gradation of Aggregate on the Mechanical and Durable Characteristics of Recycled Concrete. Fractal. Fract. 2023, 7, 663. [Google Scholar] [CrossRef]
- Ye, X.L.; Guo, Y.X.; Feng, G.R.; Wang, X.X.; Hu, W.Y.; Ma, J.H. Rheological properties of cemented gangue backfill material based on fractal characteristics of waste coal gangue. Environ. Sci. Pollut. Res. 2023, 30, 48375–48388. [Google Scholar] [CrossRef] [PubMed]
- Wang, X.D.; Xu, C.; Wu, B.Q.; Bin, Z.S.; Zhang, Y.H.; Le, H.; Hu, X.Y.; Li, Y.S. Study on the filling and grouting performance of gangue slurry and its influencing factors. China Coal 2024, 50, 123–133. [Google Scholar]
- Ding, W.; Leng, F.G.; Qiu, W.C. Analysis on “Concrete Water Consumption Standard” JGJ63-2006. Constr. Technol. 2007, 36, 92–93. [Google Scholar]
- Yang, R.H.; Xu, Z.H. Relationship between fractal dimension and road performance of dense-gradation asphalt mixture. China Civ. Eng. J. 2007, 40, 98–103, 109. [Google Scholar]
- Creber, K.J.; McGuinness, M.; Kermani, M.F.; Hassani, F.P. Investigation into changes in pastefill properties during pipeline transport. Int. J. Miner. Process. 2017, 163, 35–44. [Google Scholar] [CrossRef]
- Wang, Y.; Wang, H.J.; Wu, A.X.; Li, H.; Liu, H.J.; Gu, Z.J. Research on fine tailings bleeding characteristics and the influencing factors. Gold 2011, 32, 51–54. [Google Scholar]
- Bauer, E.; de Sousa, J.G.G.; Guimarães, E.A.; Silva, F.G.S. Study of the laboratory Vane test on mortars. Build. Environ. 2007, 42, 86–92. [Google Scholar] [CrossRef]
- Liu, L.; Fang, Z.Y.; Qi, C.C.; Zhang, B.; Guo, L.J.; Song, K.I.I.L. Numerical study on the pipe flow characteristics of the cemented paste backfill slurry considering hydration effects. Powder Technol. 2019, 343, 454–464. [Google Scholar] [CrossRef]
- Wang, S.S.; Li, Y.L.; Li, Q.; Wang, Z.X.; Wang, Y.X. Influence of gangue gradation coefficient on the performance of filling material based on talbol theory. J. Min. Saf. Eng. 2022, 39, 683–692. [Google Scholar]
- Kim, S.W.; Yeo, C.E.; Lee, D.Y. Effect of Fines Content on Fluidity of FCC Catalysts for Stable Operation of Fluid Catalytic Cracking Unit. Energies 2019, 12, 293. [Google Scholar] [CrossRef]
- Ke, X.; Hou, H.B.; Zhou, M.; Wang, Y.; Zhou, X. Effect of particle gradation on properties of fresh and hardened cemented paste backfill. Constr. Build. Mater. 2015, 96, 378–382. [Google Scholar] [CrossRef]
- Zhao, H.; Sun, W.; Wu, X.M.; Gao, B. The effect of coarse aggregate gradation on the properties of self-compacting concrete. Mater. Des. 2012, 40, 109–116. [Google Scholar] [CrossRef]
- Yin, S.H.; Yan, Z.P. The effect of coarse aggregate on the bleeding and mechanical properties of cemented paste backfill. J. Cent. South Univ. 2023, 30, 555–567. [Google Scholar] [CrossRef]
- Wu, A.X.; Li, H.; Cheng, H.Y.; Wang, Y.M.; Li, C.P.; Ruan, Z.E. Status and prospects of research on the rheology of paste backfill using unclassified tailings (Part 2): Rheological measurement and prospects. Chin. J. Eng. 2021, 43, 451–459. [Google Scholar]
- Xu, W.B.; Yang, B.G.; Yang, S.L.; Dang, P. Experimental study on correlativity between rheological parameters and grain grading of coal gauge backfill slurry. J. Cent. South Univ. 2016, 47, 1282–1289. [Google Scholar]
- Zhang, C.Y.; Wang, M.; Liu, R.T.; Li, X.H.; Liu, Y.K.; Jiang, P.; Yan, J.; Zhu, Z.J.; Chen, M.J. Rheological properties of cement-based slurry and evaluation of rheological model: Influence of particle size and shape. Constr. Build. Mater. 2023, 406, 133498. [Google Scholar] [CrossRef]
- Jiao, D.W.; Shi, C.J.S.; Yuan, Q. Influences of shear-mixing rate and fly ash on rheological behavior of cement pastes under continuous mixing. Constr. Build. Mater. 2018, 188, 170–177. [Google Scholar] [CrossRef]
- Liang, L.; Zhang, X.; Liu, Q.L. Effect of Rheology on Properties of Ultra-high Ductility Cementitious Composites. Mater. Rep. 2023, 37, 97–103. [Google Scholar]
- Li, Q.C. Study on the Rheological Behaviour of Cement Pastes with the Addition of Nano-Metakaolin. Master’s Thesis, Dalian Maritime University, Dalian, China, 2021. [Google Scholar]
- Li, L.T. Study on Segregation Mechanism and Control Technology Coarse Aggregate Filling slurry in Jinchuan. Ph.D. Thesis, University of Science and Technology Beijing, Beijing, China, 2020. [Google Scholar]
- Zhao, B.C.; Chen, P.; Zhai, D.; Zhang, J.G.; Wei, Q.M. Influence of particle gradation and timeliness on rheological properties of filling slurry. Saf. Coal Mines 2023, 54, 117–127. [Google Scholar]
- Hoffman, R.L. Explanations for the cause of shear thickening in concentrated colloidal suspensions. J. Rheol. 1998, 42, 111–123. [Google Scholar] [CrossRef]
- Li, W.; Shang, Y.M.; Ji, Y. Analysis of Multiple Objective Decision Methods Based on Entropy Weight. In Proceedings of the 2008 IEEE Pacific-Asia Workshop on Computational Intelligence and Industrial Application, Wuhan, China, 19–20 December 2008; IEEE: Piscataway, NJ, USA, 2008; pp. 953–956. [Google Scholar]
- Boylu, F.; Dinçer, H.; Ateşok, G. Effect of coal particle size distribution, volume fraction and rank on the rheology of coal–water slurries. Fuel Process. Technol. 2004, 85, 241–250. [Google Scholar] [CrossRef]
- Routray, A.; Senapati, P.K.; Padhy, M.; Das, D. Effect of mixture of natural and synthetic surfactant and particle size distribution for stabilized high-concentrated coal water slurry. Int. J. Coal Prep. Util. 2022, 42, 238–253. [Google Scholar] [CrossRef]
- Nagasawa, Y.; Kato, Z.; Tanaka, S. Particle sedimentation monitoring in high-concentration slurries. AIP Adv. 2016, 6, 115206. [Google Scholar] [CrossRef]
- Li, T.; Yang, T.; Cheng, L.J.; Liu, Z.J.; Yang, T.Y. Study on the suspension state stability of coal-based solid waste filling slurry of long-distance pipeline transportation. Coal Sci. Technol. 2024, 1–14. [Google Scholar]
- Qin, J.H.; Zheng, J.; Li, L. An analytical solution to estimate the settlement of tailings or backfill slurry by considering the sedimentation and consolidation. Int. J. Min. Sci. Technol. 2021, 31, 463–471. [Google Scholar] [CrossRef]
Disclaimer/Publisher’s Note: The statements, opinions and data contained in all publications are solely those of the individual author(s) and contributor(s) and not of MDPI and/or the editor(s). MDPI and/or the editor(s) disclaim responsibility for any injury to people or property resulting from any ideas, methods, instructions or products referred to in the content. |
© 2025 by the authors. Licensee MDPI, Basel, Switzerland. This article is an open access article distributed under the terms and conditions of the Creative Commons Attribution (CC BY) license (https://creativecommons.org/licenses/by/4.0/).















