Numerical Calculation Optimization for Particulate Matter Trapping and Oxidation of Catalytic Diesel Particulate Filter
Abstract
1. Introduction
2. Method
2.1. Calculation Model for PM Trapping Process
2.2. Exhaust Gas Flow in the DPF Length Direction (x-Direction)
2.3. Sedimentation Inside the DPF Wall
2.4. Handling of Temperature
2.5. PM Oxidation
2.6. Reaction Between the Catalytic Reaction and O2 in the Gas Phase
2.7. Calculation Conditions
3. Result
3.1. Three-Dimensional and Two-Dimensional Mapping of Amount of PM Remaining
3.2. Dependence of Exhaust Gas Temperature and Amount of Remaining PM
3.3. Impact of Activation Energy
4. Summary and Conclusions
- (1)
- The relationship between the exhaust gas temperature and the activation energy for the PM combustion catalyst was mapped. These results can evaluate the activities of the catalysts used to the fullest extent. We suggest that the optimum conditions may differ depending on the PM combustion catalyst used.
- (2)
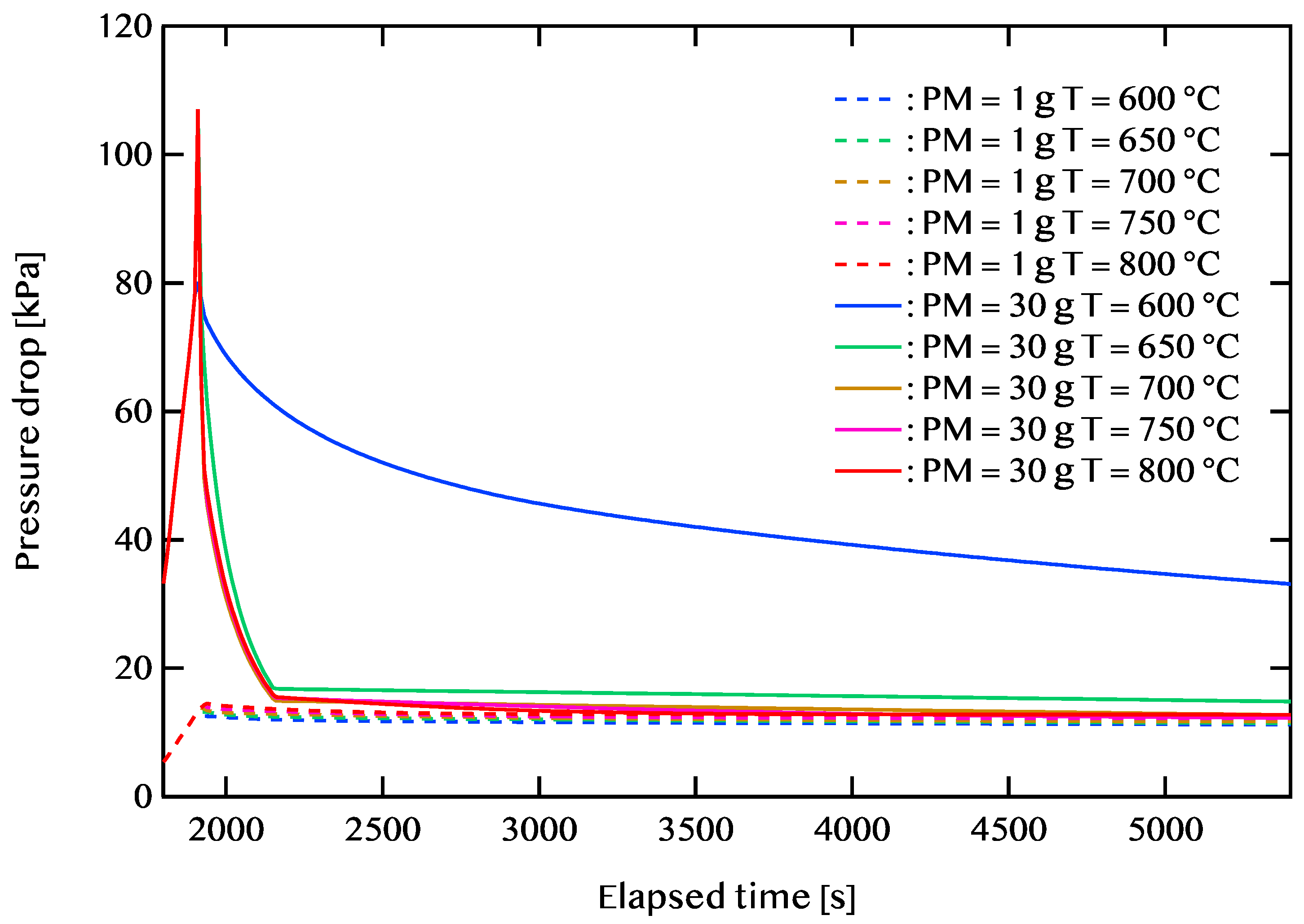
- When the amount of PM deposited is low, the catalytic reaction plays a more significant role. To maximize catalyst efficiency, it is preferable to perform regeneration with a smaller PM accumulation. Conversely, when the PM deposition exceeds approximately 20 g, gas-phase reactions become more dominant than direct catalytic contact. Additionally, the results indicate that pressure loss increases regardless of activation energy when a large amount of PM is present. To minimize pressure loss even under high PM accumulation, maintaining the exhaust gas temperature within a range of 700 to 750 °C is recommended. Furthermore, it was observed that when a catalyst is applied, regeneration time at elevated temperatures (above 650 °C) can be reduced.
- (3)
- The study also revealed that lower activation energy enhances PM combustion efficiency at high exhaust gas temperatures. This suggests that higher temperatures expand the effective range of catalytic activity. A threshold for catalytic efficiency was identified between activation energies of 100 and 120 kJ/mol.
Author Contributions
Funding
Institutional Review Board Statement
Informed Consent Statement
Data Availability Statement
Conflicts of Interest
Definitions/Abbreviations
| A | Frequency factor [m3/(mol·s)] |
| a | Longitudinal mesh width [m] |
| b | Lateral mesh width [m] |
| CC | Specific heat of cordierite [J/(kg·K)] |
| Cg | Specific heat of exhaust gas [J/(kg·K)] |
| D | DPF diameter [m] |
| Dc | Density of cordierite [kg/m3] |
| E | Activation energy [J/mol] |
| ΣF | Total flow rate [m3/s] |
| i | Cell number in the x direction [-] |
| j | Number in the wall thickness direction (y direction) in each i-th cell [-] |
| L | Total length of DPF [m] |
| N | Cell number from inlet in direction i [-] |
| PM | PM content [mol] |
| Q | Heat capacity [J/K] |
| R | Gas constant [J/(K·mol)] |
| Rpm | Reaction amount of PM [mol] |
| S | Gas passage [kg] |
| T | Absolute temperature used in the formula for PM oxidation reaction rate [°C] |
| Tw | Wall surface temperature [°C] |
| TR | Corrected temperature [°C] |
| TPM | Oxidation heat temperature of PM [°C] |
| ΔT | Temperature change [°C] |
| V | Calculated unit cell deposition [m3] |
| Vi | Flow rate [m/s] |
| VO2 | O2 concentration [mol/m3] |
| WT | DPF wall-surface thickness [m] |
| α | Flow rate of each cell (superficial velocity) [m/s] |
| μ | Permeability of DPF wall-surface [-] |
| σ | Cross-sectional area of each cell [m2] |
| φ | Porosity [-] |
References
- Murayama, T. Diesel engine no shoraizo. J. Mar. Eng. Soc. Jpn. 1994, 29, 881–888. [Google Scholar]
- Sydbom, A.; Blomberg, A.; Parnia, S.; Stenfors, N.; Sandström, T.; Dahlén, S.-E. Health effects of diesel exhaust emissions. Eur. Respir. J. 2001, 17, 733–746. [Google Scholar] [CrossRef] [PubMed]
- Kakegawa, T. Clean diesel no kanousei -shin choki kisei no gaiyo to ohgata diesel no haishutsugasu teigen gijutsu. Jpn. Automob. Manuf. Assoc. 2008, 42, 14–20. [Google Scholar]
- Jahng, P.D.J. Kankyo to kenko risk -diesel haikigasu no risk management. Environ. Sci. 1993, 6, 403–411. [Google Scholar]
- Robert Bosch GmBH. Automotive Handbook (Japanese); Nikkei Bp.: Tokyo, Japan, 2011; pp. 497–501. [Google Scholar]
- Ichikawa, S.; Harada, T.; Hamanaka, T. Development of honeycomb ceramic for diesel particulate filters (DPF). J. Ceram. Soc. Jpn. 2003, 38, 296–300. [Google Scholar]
- Wirojsakunchai, E.; Schroeder, E.; Kolodziej, C.; Foster, D.E.; Schmidt, N.; Root, T.; Kawai, T.; Suga, T.; Nevius, T.; Kusaka, T. Detailed Diesel Exhaust Particulate Characterization and Real-Time DPF Filtration Efficiency Measurements During PM Filling Process; SAE Technical Paper 2007-01-0320; SAE International: Warrendale, PA, USA, 2007. [Google Scholar]
- Allanson, R.; Blakeman, P.G.; Cooper, B.J.; Hess, H.; Silcock, P.J.; Walker, A.P. Optimizing the Low Temperature Performance and Regeneration Efficiency of the Continuously Regenerating Diesel Particulate Filter (CR-DPF) System; SAE Technical Paper 2002-01-0428; SAE International: Warrendale, PA, USA, 2002. [Google Scholar]
- Koltsakis, G.C.; Konstantinou, A.; Haralampous, O.A.; Samaras, Z.C. Measurement and Intra-Layer Modeling of Soot Density and Permeability in Wall-Flow Filters; SAE Technical Paper 2006-01-0261; SAE International: Warrendale, PA, USA, 2006. [Google Scholar]
- Uenishi, T.; Sato, S.; Tanaka, E.; Otoguro, Y.; Kusaka, J.; Daisho, Y. Research on internal transfer phenomena of the diesel particulate filter performance (second report)—Numerical study of the effect of soot loading condition on soot cake layer. Trans. Soc. Automot. Eng. Jpn. 2014, 132, 31–36. [Google Scholar]
- Karin, P. Microscopic Visualization and Characterization of Particulate Matter Trapping and Oxidation in Diesel Particulate Filters and Membrane Filter. Ph.D. Thesis, Institute of Science Tokyo, Meguro, Japan, 2010. [Google Scholar]
- Nakamura, M.; Hanamura, K.; Shibuta, T.; Yoshino, H.; Iwasaki, K. Numerical Simulation of Trapping Process in Hexagonal Diesel Particulate Filter. Trans. Soc. Automot. Eng. Jpn. 2015, 46, 313–317. [Google Scholar]
- Nakamura, M.; Ozawa, M. Effect of Surface Cavity Shape on PM Deposition and Pressure Drop on DPF Porous Material. J. Soc. Mater. Sci. Jpn. 2018, 67, 562–567. [Google Scholar] [CrossRef]
- Nakamura, M.; Ozawa, M. Phenomena of PM Deposition and Oxidation in the Diesel Particulate Filter; SAE Technical Paper 2019-01-2288; SAE International: Warrendale, PA, USA, 2019. [Google Scholar]
- Okai, K. Characteristic Modeling of Catalytic Converter for Diesel Particulate Combustion. Licentiate Thesis, Nagoya University, Nagoya, Japan, 2020. [Google Scholar]
- Orihuela, M.P.; Miceli, P.; Ramirez-Rico, J.; Fino, D.; Chacartegui, R. Ceria-based catalytic coatings on biomorphic silicon carbide: A system for soot oxidation with enhanced properties. Chem. Eng. J. 2021, 415, 128959. [Google Scholar] [CrossRef]
- Perez, V.R.; Bueno-López, A. Catalytic regeneration of diesel particulate filters: Comparison of Pt and CePr active phases. Chem. Eng. J. 2015, 279, 79–85. [Google Scholar] [CrossRef]
- Miceli, P.; Bensaid, S.; Russo, N.; Fino, D. Effect of the morphological and surface properties of CeO2-based catalysts on the soot oxidation activity. Chem. Eng. J. 2015, 278, 190–198. [Google Scholar] [CrossRef]
- Kumar, P.A.; Tanwar, M.D.; Bensaid, S.; Russo, N.; Fino, D. Soot combustion improvement in diesel particulate filters catalyzed with ceria nanofibers. Chem. Eng. J. 2012, 207–208, 258–266. [Google Scholar] [CrossRef]
- Andana, T.; Piumetti, M.; Bensaid, S.; Russo, N.; Fino, D.; Pirone, R. Nanostructured ceria-praseodymia catalysts for diesel soot combustion. Appl. Catal. B Environ. 2016, 197, 125–137. [Google Scholar] [CrossRef]
- Atribak, I.; Bueno-López, A.; García-García, A. Thermally stable ceria–zirconia catalysts for soot oxidation by O2. Catal. Commun. 2008, 9, 250–255. [Google Scholar] [CrossRef]
- Liang, Q.; Wu, X.; Weng, D.; Lu, Z. Selective oxidation of soot over Cu doped ceria/ceria–zirconia catalysts. Catal. Commun. 2008, 9, 202–206. [Google Scholar] [CrossRef]
- Mukherjee, D.; Rao, B.G.; Reddy, B.M. CO and soot oxidation activity of doped ceria: Influence of dopants. Appl. Catal. B Environ. 2016, 197, 105–115. [Google Scholar] [CrossRef]
- Piumetti, M.; Bensaid, S.; Fino, D.; Russo, N.; Pirone, R. Investigations into nanostructured ceria–zirconia catalysts for soot combustion. Appl. Catal. B Environ. 2016, 180, 271–282. [Google Scholar] [CrossRef]
- Liang, Q.; Wu, X.; Weng, D.; Xu, H. Oxygen activation on Cu/Mn–Ce mixed oxides and the role in diesel soot oxidation. Catal. Today 2008, 139, 113–118. [Google Scholar] [CrossRef]
- Di Sarli, V.; Landi, G.; Lisi, L.; Saliva, A.; Di Benedetto, A. Catalytic diesel particulate filters with highly dispersed ceria: Effect of the soot-catalyst contact on the regeneration performance. Appl. Catal. B Environ. 2016, 197, 116–124. [Google Scholar] [CrossRef]
- dos Santos Xavier, L.P.; Rico-Pérez, V.; Hernández-Giménez, A.M.; Lozano-Castelló, D.; Bueno-López, A. Simultaneous catalytic oxidation of carbon monoxide, hydrocarbons and soot with Ce–Zr–Nd mixed oxides in simulated diesel exhaust conditions. Appl. Catal. B Environ. 2015, 162, 412–419. [Google Scholar] [CrossRef]
- Palma, V.; Ciambelli, P.; Meloni, E.; Sin, A. Study of the catalyst load for a microwave susceptible catalytic DPF. Catal. Today 2013, 216, 185–193. [Google Scholar] [CrossRef]
- Van Setten, B.A.A.L.; Schouten, J.M.; Makkee, M.; Moulijn, J.A. Realistic contact for soot with an oxidation catalyst for laboratory studies. Appl. Catal. B Environ. 2000, 28, 253–257. [Google Scholar] [CrossRef]
- Jeguirim, M.; Tschamber, V.; Ehrburger, P. Catalytic effect of platinum on the kinetics of carbon oxidation by NO2 and O2. Appl. Catal. 2007, 76, 235–240. [Google Scholar] [CrossRef]
- Nakamura, M.; Yokota, K.; Hattori, M.; Ozawa, M. Numerical Calculation of PM Trapping and Oxidation of Diesel Particulate Filter with Catalyst; SAE Technical Paper 2020-01-2169; SAE International: Warrendale, PA, USA, 2020. [Google Scholar] [CrossRef]
- Sawatmongkhon, B.; Promhuad, P.; Thaisruang, T.; Theinnoi, K.; Sittichompoo, S.; Wongchang, T.; Sukjit, E. Kinetic Analysis of Devolatilized Diesel-Soot Oxidation Catalyzed by Ag/Al2O3 and Ag/CeO2 Using Isoconversional and Master-Plots Techniques. ACS Omega 2023, 8, 29437–29447. [Google Scholar] [CrossRef] [PubMed]
- Daido, S.; Takagi, N. Visualization of the PM Deposition and Oxidation Behavior Inside DPF Wall; SAE Technical Paper 2009-01-1473; SAE International: Warrendale, PA, USA, 2009. [Google Scholar]
- Konstandopoulos, A.G.; Johnson, J.H. Wall-flow diesel particulate filters—Their pressure drop and collection efficiency. SAE Trans. 1989, 98, 625–647. [Google Scholar]
- Sanui, R.; Hanamura, K. Electron microscopic time-lapse visualization of surface cavity filtration on particulate matter trapping process. J. Microsc. 2016, 263, 250–259. [Google Scholar] [CrossRef] [PubMed]
- Karin, P.; Cui, L.; Rubio, P.; Tsuruta, T.; Hanamura, K. Microscopic Visualization of PM Trapping and Regeneration in Micro-Structural Pore s of a DPF Wall; SAE Technical Paper 2009-01-1476; SAE International: Warrendale, PA, USA, 2009. [Google Scholar]
- Hanamura, K.; Karin, P.; Cui, L.; Rubio, P.; Tsuruta, T.; Tanaka, T.; Suzuki, T. Micro- and macroscopic visualization of particulate matter trapping and regeneration processes in wall-flow diesel particulate filters. Int. J. Engine Res. 2009, 10, 305. [Google Scholar] [CrossRef]
- Konstandopoulos, A.G. Flow Resistance Descriptors for Diesel Particulate Filters: Definitions, Measurements and Testing; SAE Technical Paper 2003-01-0846; SAE International: Warrendale, PA, USA, 2003. [Google Scholar]













| Oxidation heat of carbon [kJ/mol] | 292.51 |
| Specific heat of cordierite [J/(g·K)] | 0.75 |
| The density of cordierite [kg/m3] | 2.5 |
| The total length of the DPF, L [mm] | 110 |
| The diameter of the DPF, R [mm] | 130 |
| DPF wall thickness [mil] | 13 |
| DPF wall porosity [%] | 60 |
| Exhaust amount flow rate [g/s] | 30 |
Disclaimer/Publisher’s Note: The statements, opinions and data contained in all publications are solely those of the individual author(s) and contributor(s) and not of MDPI and/or the editor(s). MDPI and/or the editor(s) disclaim responsibility for any injury to people or property resulting from any ideas, methods, instructions or products referred to in the content. |
© 2025 by the authors. Licensee MDPI, Basel, Switzerland. This article is an open access article distributed under the terms and conditions of the Creative Commons Attribution (CC BY) license (https://creativecommons.org/licenses/by/4.0/).
Share and Cite
Nakamura, M.; Yokota, K.; Ozawa, M. Numerical Calculation Optimization for Particulate Matter Trapping and Oxidation of Catalytic Diesel Particulate Filter. Appl. Sci. 2025, 15, 2356. https://doi.org/10.3390/app15052356
Nakamura M, Yokota K, Ozawa M. Numerical Calculation Optimization for Particulate Matter Trapping and Oxidation of Catalytic Diesel Particulate Filter. Applied Sciences. 2025; 15(5):2356. https://doi.org/10.3390/app15052356
Chicago/Turabian StyleNakamura, Maki, Koji Yokota, and Masakuni Ozawa. 2025. "Numerical Calculation Optimization for Particulate Matter Trapping and Oxidation of Catalytic Diesel Particulate Filter" Applied Sciences 15, no. 5: 2356. https://doi.org/10.3390/app15052356
APA StyleNakamura, M., Yokota, K., & Ozawa, M. (2025). Numerical Calculation Optimization for Particulate Matter Trapping and Oxidation of Catalytic Diesel Particulate Filter. Applied Sciences, 15(5), 2356. https://doi.org/10.3390/app15052356
