Abstract
Reinforced concrete shear walls (RCSWs) are complicated to compute their shear capacity due to their large cross-sectional height-to-thickness ratios and the fact that they are subjected to vertical loads. Numerous factors influence RCSWs’ shear strength capacity, and the analytical models find it challenging to fully account for each factor’s impact on RCSWs’ shear-bearing capacity. Machine learning (ML) technology can deeply capture the mapping relationship between each input feature and the target value, and provide a more flexible and effective prediction method for RCSW shear-bearing capacity. To this end, a shear capacity test database containing 583 RCSW specimens was first established and characterized, and then the database was employed to train single, ensemble, and deep learning models for the shear strength of shear walls and combined with hyper-parameter tuning to enhance each model’s prediction performance, after which the prediction performance of each model was compared. Then, the ML models were contrasted with conventional techniques founded on the mechanical premise. Finally, in order to improve the prediction accuracy and reliability of the ML methods, the individually trained models were integrated into a stacking model using the stacking method, and the stacking model’s prediction performance was assessed. The results of this study show that in the single model, the test set R2 of the decision tree (DT) reaches 0.94, showing good trend-capturing ability. Among the ensemble models, Gradient Boosting (GB) performs the best and is comparable to DT in terms of RMSE and R2 and significantly outperforms other ensemble methods, such as Random Forest (RF) and Bagging. Deep Neural Networks (DNNs) show the strongest predictive ability among all models, with the lowest RMSE (263 kN) and a test R2 of 0.95, which is much better than the majority of ensemble models. The ML models show high accuracy and reliability compared to the traditional RC shear wall shear capacity models. The stacking model has an R2 of 0.98 and a CoV of 0.147 in the test set, and it is much better than other independent ML models (R2 = 0.88~0.95, CoV = 0.179~0.651).
1. Introduction
As the primary component of high-rise structures and earthquake-resistant structures that resist lateral forces, RCSW members can effectively resist the loads caused by wind loads and seismic actions to ensure structural stability and safety []. At the same time, it lessens the lateral distortion of the structures and makes the building more rigid, thus reducing the risk of nonstructural damage. In seismic design, the design and calculation of the shear capacity of RCSWs directly affect the performance of the building under seismic actions []. Compared with beams and columns, RCSWs have larger section height-to-thickness ratios and are subjected to axial loads, resulting in a more complex shear mechanism []. Previous scholars have proposed more shear capacity calculation models by combining the force characteristics of RCSWs, such as the truss model [,,], the strut-and-tie model [,,], the modified compression field theory [,,], the truss-arch model [,], etc. However, the assumptions used in each theoretical model are not the same, which results in differences in the prediction performance of each model. Numerous factors influence the RCSWs’ shear strength capacity, such as wall height, section length and thickness, section form, longitudinal tendons, horizontal set of vertical distribution tendons, etc., and the aforementioned theoretical models find it challenging to fully account for each factor’s impact on the RCSWs’ shear-bearing capacity. Machine learning, on the other hand, utilizes its advantages of strong nonlinear processing capability, high-dimensional data, autonomous feature selection, strong integrated learning capability, strong adaptability, high robustness, and interpretability, which can deeply capture the mapping relationship between each input feature and the target value, and provides a more flexible and effective prediction method for RCSW shear-bearing capacity.
Currently, ML models for RCSW shear capacity have been intensively studied. Mangalathu and Jeon [] built a 536 beam–column joint test database; ML techniques were used to establish the corresponding damage modes, as well as shear capacity calculation models, and the results of the study show that Lasso regression (LR) is more accurate and efficient than other techniques. In the study of the shear capacity of low RCSWs, Feng et al. [] developed a model combining the eXtreme Gradient Boosting (XGBoost) algorithm and the SHAP method and extracted information on the nonlinear relationship between the basic characteristics of RC RCSWs and their bearing capacity from 434 RCSW samples. The study’s findings indicate that the developed ML model achieves 97% validation accuracy, which significantly outperforms the traditional mechanical modeling approach. Nguyen et al. [], on the other hand, trained an artificial neural network (ANN) with 369 experimental data samples to create a forecasting model for shear-bearing capacity for low RCSWs with flanges. The study also delved into the influence of input parameters on the shear capacity of the RCSWs and provided corresponding design recommendations. Chou et al. [] demonstrated an optimized machine learning model can be used to better accurately forecast the shear capacity of RCSWs, the potential of a data-driven approach (534 wall specimens) for improving the reliability of shear capacity design for RCSWs by combining different input variables to build the model and comparing them with traditional design codes, and the model built by XGBoost obtained the best prediction performance with R2 of 0.978. Zhang et al. [] explored the application of various ML algorithms in forecasting the failure modes and strengths of 198 RCSW specimens, and the results revealed the specific parameters (e.g., flexural and shear strength ratios and shear-span ratios) on the failure modes are critical. Rojas-León et al. [] established a shear capacity calculation formula for RCSWs with the same structure as ACI318-19 [] using a mix of regression analysis and ML based on a test database, including 340 wall specimens, and the suggested formula was upgraded on the basis of ACI318-19 by considering the effects of vertical loads, as well as longitudinal reinforcement on the shear capacity of the wall. In the study of Farzinpour et al. [], a model combining a genetic algorithm and boosting algorithm was used to estimate the shear strength of 558 low RCSW samples with great precision, which showed the importance of optimizing the configuration of the hyperparameters and improved the predictive performance of the model effectively (R2 > 0.986). Ma et al. [] and Iqbal et al. [] developed databases and predictive models, respectively, and the former provided information on 182 data on RCSWs with flanges, and the latter demonstrated the excellent performance of the combined SVR–HHO (Support Vector Regression and Harris Hawk Optimization) model in estimating short RCSWs’ shear strength (R2 = 0.94). In recent years, Huang et al. [] evaluated the predictive performance of different ML models for the prediction of the shear bearing of 149 composite RCSWs. The findings indicated that the XGBoost model outperformed the traditional empirical formulations regarding precision and forecasting skills. For the shear strength of corroded RCSWs (R2 = 0.99), Chen et al. [] proposed a new prediction method by applying the Random Forest algorithm to identify and classify different damage patterns, showing the unique value of ML in long-term performance assessment. The studies of Xie et al. [], using a hybrid ML model of an artificial neural network (ANN) model with a particle swarm optimization (PSO) to predict the shear strength of 168 RCSWs, failed in shear and achieved a prediction performance of R2 = 0.999. Trinh et al. [], on the other hand, combined deep learning with image processing techniques to propose an innovative method for assessing the deterioration of stiffness and strength of RCSWs after an earthquake. In addition to increasing the precision of assessing building damage, this study establishes the groundwork for the creation of associated monitoring methods. Ji et al. [] evaluated the degradation in strength and stiffness of 14 RCSW samples after earthquakes and suggested a technique that combined image processing and deep learning. By employing Damage-Net for damage detection and localization and developing the DegradeEval-Net_v2 network, the findings demonstrate that, in terms of assessment accuracy, the new approach performs noticeably better than the current standard guidelines, particularly when it comes to a notable decrease in the root mean square error (35% smaller) of stiffness and strength degradation compared to the codes in JBDPA and FEMA guidelines. Nguyenet al. [] concentrated on using machine learning to forecast the lateral strength of brief RCSWs. By analyzing 639 samples, the study found that ensemble learning models (e.g., XGBoost, R2 = 0.963) performed well in shear strength prediction and the use of Bayesian optimization can further improve the model performance.
The aforementioned study demonstrates that the machine learning approach can more precisely forecast the shear-bearing capacity of RCSWs; however, the present investigation could be enhanced in the following ways:
- (1)
- Current machine learning models have primarily been researched to increase machine learning fitting accuracy, with little attention paid to the predictability of their results;
- (2)
- Currently, the majority of research on RCSW shear capacity concentrates on individual or ensemble machine learning models with matching comparisons, without delving further into deep learning models’ ability to forecast RCSW shear capacity;
- (3)
- The core of existing machine learning models for forecasting the shear capacity of RCSWs lies in the comparison of prediction accuracy, but each machine learning model has its own prediction characteristics for different datasets, which fails to integrate the trained machine learning models in order to build an ML model with double-optimal accuracy and reliability.
In order to make up for the shortcomings in the above research, this paper firstly establishes a database for RCSW shear capacity test, then uses the database to train single, ensemble, and deep learning models, and combines them with hyper-parameter tuning to improve the prediction performance of each model, then compares the prediction performance of each model and, at the same time compares, it with the traditional method based on the principle of mechanics, and finally, in order to improve the prediction accuracy and reliability of machine learning methods, the trained models are integrated into a stacked model using the stacking method, and the model’s prediction performance is assessed.
2. Proposed Framework
The RCSW shear capacity prediction model is established using the procedure depicted in Figure 1. First, collect the test data from the existing literature and establish the corresponding database; in the second step, analyze the distribution characteristics of each input parameter and the correlation with the target parameter; in the third step, randomly split the dataset into two parts, 80% for training and 20% for testing, and train single, ensemble, and deep learning models; in the fourth step, examine each model’s prediction accuracy and compare with the theoretical model; in the fifth step, stack each model to establish a stacked model that combines the characteristics of each model and evaluate the model; and in the sixth step, the trained models are stacked to build a stacking model and then evaluate the model.

Figure 1.
The proposed framework.
3. Database
Compared with thin beams as well as deep beams, the shear mechanism of RCSWs is relatively complex, mainly due to the fact that RCSWs experience axial forces and the height-to-width ratios of the sections are large. At present, many scholars examine the RCSWs’ shear performance through low-week repeated loading tests, as shown in Figure 2, where P is the axial load for the simulation of the vertical load borne by the wall, Vn is the horizontal load for the simulation of the horizontal load of the wall caused by the earthquake, which are used to obtain the value of Vn, that is, the walls’ seismic shear-bearing capacity. In the figure, hw is the height of the wall, lw is the height of the wall section, tw is the thickness of the unconfined zone of the wall panel, bf and tf are the width and length of the side columns or the edge confining members of the wall, respectively, and fyh (ρh), fyv (ρv), and fyl (ρl) are the yield strengths of longitudinal reinforcement of the side columns, the vertical distributing tendons, and the horizontal distributing tendons, respectively (the reinforcement ratio).

Figure 2.
Sketch of RC RCSW forces.
The shear test data of RCSWs were established by collecting the shear capacity test data of RCSWs from the existing literature containing 583 RCSW test data, including 434 wall specimens collected by Feng et al. [], as well as the authors’ collection of data (149) from the literature [,,,,,,,,,,].
The distribution of each parameter is displayed in Figure 3, where the horizontal coordinate is the size of the eigenvalue and the vertical coordinate is the specimen number. The distribution of each eigenvalue is wide and centered around the smaller value.

Figure 3.
Distribution of each parameter in the database.
Table 1 shows the statistical information of the established database. According to the mean value of each eigenvalue, the mean value of hw is 1079.8 mm, while the difference in standard deviation is 684.6 mm, indicating that the data of hw fluctuates a lot and shows a stronger discrete nature. Through the minimum and maximum values, hw ranges from 150 mm to 4572 mm, showing great variability. And the maximum value of lw, 3960 mm, likewise shows complex variation characteristics. The analysis of the median (50%) further reveals the distribution of the data, with hw of 1000 mm and lw of 1325 mm, indicating that most of the observations are concentrated around it and the overall positive skewness. Taken together, the statistical indicators of this database demonstrate a high degree of variability and complexity.

Table 1.
Statistical information on data.
Figure 4 shows the graph of the Pearson’s correlation coefficient of each parameter. The correlation coefficients of each parameter, with the shear strength of the wall range from −0.16 to 0.73, and each parameter has a certain influence on the RCSWs’ shear-bearing capacity. Among them, the wall size parameters, including wall height, section height and width, and the length and height of side column section, have a bigger impact on its ability to withstand shear, and their correlation coefficients are 0.33, 0.7, 0.73, 0.4, and 0.59, respectively, in which the horizontal and vertical reinforcements have a more obvious influence, but the longitudinal reinforcement rate of side columns shows a negative correlation. The correlation coefficient between the axial force of the RCSW and its shear capacity is 0.51, which indicates that the axial load cannot be disregarded when determining the RCSWs’ shear capacity.

Figure 4.
Plot of correlation coefficients for each parameter.
4. Introduction to the ML Models
4.1. ML Model Selection
Although traditional theoretical models have their explanatory power, they appear to be insufficient in handling complex nonlinear relationships. Therefore, ML and deep learning methods capture potential complex patterns in the data. In model selection, the decision trees (DTs) model [] was first employed as a baseline model, as it is intuitive, easy to understand, and can handle nonlinear relationships suitable for feature importance analysis. The K-Nearest Neighbors (KNNs) [] model was chosen for its simplicity and suitability for small datasets, allowing for an understanding of local data characteristics. Subsequently, ensemble methods, such as Random Forest (RF) [], Bagging [], AdaBoost [], and Gradient Boosting [], were selected due to their ability to improve model stability and accuracy through the integration of multiple base classifiers, providing robustness against outliers and noise. These methods are particularly suitable for handling the multi-factor effects on shear walls. Lastly, Deep Neural Networks (DNNs) [] and Residual Networks (ResNet) [] were chosen for their ability to handle high-dimensional nonlinear data and automatic feature extraction capabilities, making them ideal for large-scale datasets where complex feature interactions need to be identified and prediction accuracy improved. In summary, these models are chosen to balance their respective advantages and achieve an efficient prediction of RCSW ultimate bearing capacity, with the goal of improving prediction accuracy and providing valuable references for practical engineering applications.
4.2. Predictive Performance Assessment Metrics
This paper adopts the decidability coefficient (R2), mean absolute error (MAE), mean square error (MSE), root mean square error (RMSE), and coefficient of variation (CoV) as the performance indexes to evaluate the prediction model. The regression model’s prediction effect is evaluated using R2, and the closer it is to 1, the greater the model effect. The mean absolute error between the expected and actual values is represented by the symbol MAE. The mean squared difference between the expected and actual observed values is known as the MSE. The RMSE, which is more susceptible to outliers, is the mean of the square root of the error between the actual value and the predicted value. The smaller number suggests that the predicted value, and the tested value differ from the actual value. CoV stands for the coefficient of variation in the ratios of predicted to tested values. The above assessment metrics are calculated according to the following formula:
where yi and are, respectively, the experimental and predicted values, and n is the sample size.
5. Model Evaluation
5.1. Single ML Models
The shear capacity prediction model for RCSWs is constructed using the two ML models, DT and RF. To enhance the model’s generalization performance and prediction accuracy, hyperparameters are tailored to the models’ input parameters. The hyperparameters of DT and RF ML models are optimized by a grid search and their performance is evaluated on a test set. The grid search traverses a predefined dictionary of models and performs a grid search for each model to debug its hyperparameters. Negative Mean Square Error (MSE) is computed through 5-fold cross-validation, and the best model is used to predict the test set and compute the MSE, which helps to select the best-performing model. Table 2 summarizes the optimal values of hyperparameters for DT and RF; for DT, the optimal values are a maximum depth of 10, a minimum number of leaf samples of 1, and a minimum number of division samples of 5, which helps to prevent overfitting. For KNN, the optimal number of neighbors is 7, the weights are distance-weighted, and the metric is chosen as the Manhattan distance.

Table 2.
Optimized values of hyperparameters for a single model.
Each value of the above hyperparameter optimization was inputted into the corresponding model and the trained model’s predictive performance was assessed; the anticipated values are displayed in Figure 5 to compare with the test values, with the training set data in blue and the test set data in orange. By displaying the error metrics for both datasets, it helps the readers obtain a complete picture of the model’s performance and visually compare the model’s performance during training with its performance on unknown data. This helps to assess whether the model is overfitting and allows the reader to see more clearly how the model learns and generalizes to new data.

Figure 5.
Comparison of predicted and experimental values of each RCSW specimen obtained by the single ML models.
Table 3 shows the prediction metrics of the established ML models, DT and RF. Combined with Figure 5, it can be seen that, first of all, DT’s RMSE in the training set is 2.39, which shows a good fitting ability, but its RMSE in the test set is as high as 279.4, which suggests that the model may suffer from a strong overfitting phenomenon. In contrast, the RMSEs of the KNN are 269.7 and 281.8 on the training and test sets, respectively, and although the difference is not significant, its overall performance is more stable, indicating that KNN has a stronger generalization ability. The MSE for the training set of DT is 5.7, and the test set is as high as 78,078.9, which further verifies its overfitting on the training data. The MSE of the KNN’s training set is 71,374.4 and the test set is 79,421.5, which is not a big difference between the two and shows some robustness. For the MAE, the DT is only 1 for the training set and jumps to 116.2 for the test set, showing the model’s lack of prediction accuracy on unknown data. The KNN’s MAE is 103.4 for the training set and 137.9 for the test set, and it means a higher level of error. For the R2 metric, DT has an R2 of 1 in the training set and 0.94 in the test set, showing an almost perfect fit on the training data while still maintaining a high explanatory power on the test set. KNN has an R2 of 0.91 and 0.94, reflecting a slightly lower performance than DT in the training set but a similar explanatory power on the test set. Meanwhile, the coefficient of variation (CoV) shows a CoV of 0.014 for the DT training set and 0.226 for the test set, reflecting the low volatility in the training set and high volatility in the test set, while the CoV of KNN is 0.262 for the two sets of data, which demonstrates the consistency of the model. In summary, DT has excellent performance on the training set but is not stable enough on the unknown data and needs to be optimized; KNN, although the overall error is slightly higher, shows good generalization ability and consistency and is suitable for application in a variety of scenarios.

Table 3.
Predictive performance metrics for single ML models.
5.2. Ensemble Models
The ensemble ML models of RF, Bagging, AdaBoost, and Gradient Boosting are used to establish the shear capacity prediction of the RCSW, and the hyperparameters of each model are optimized by a grid search, and the optimized parameter values are shown in Table 4. For RF, the optimized hyperparameters include the number of trees (n_estimators, optimally 100), the maximum depth (max_depth, optimally 30), the minimum number of samples required for node splitting (min_samples_split, optimally 2), and the minimum number of samples in the leaf nodes (min_samples_leaf (optimally 1). The hyperparameters of the Bagging method, on the other hand, include the number of base learners (n_estimators, optimally 10), the percentage of samples per base learner (max_samples, optimally 0.7), and the percentage of features (max_features, optimally 1). The main hyperparameters of the AdaBoost model are the number of base learners (n_estimators, optimally 100) and the learning rate (learning_rate, optimally 0.1). In the Gradient Boosting model, the hyperparameters include the number of base learners (n_estimators, optimally 50), the learning rate (learning_rate, optimally 0.2), the maximum depth (max_depth, optimally 3), and the sample share (subsample, optimally 0.8).

Table 4.
Hyperparameter optimization for ensemble machine learning models.
Each value of the above hyperparameter optimization was input into the corresponding model, and the predictive performance of the trained models was evaluated, where Figure 6 shows the predicted values of each specimen obtained by each model compared to the test values.

Figure 6.
Comparison between the anticipated and experimental values of each RCSW specimen obtained from the ensemble ML models.
Table 5 shows the prediction performance metrics of each of the ensemble ML models built, and in combination with Figure 6, we can obtain the following: Firstly, the RF model performs very well on the training set, with an RMSE of 71.1 and an R2 as high as 0.99, showing that the model can match the training data quite well. However, the RMSE on the test set rises sharply to 285.4, showing that the model may be overfitting, leading to a decrease in generalization ability. The MSE and MAE on the training and test sets show the same trend, with the test set error significantly larger than the training set. The CoVs are, respectively, 0.085 and 0.179 on the training and test sets, further indicating an increase in prediction variability on the test set. Second, the Bagging model shows similar deficiencies as the RF. While the RMSE for the training set was 83.1 and had an R2 value of 0.99, the RMSE for the test set increased to 288.2, indicating that the model performed poorly on unknown data. The model’s MAE and MSE also show large absolute errors on the test set, and the CoVs are, respectively, 0.099 and 0.206 for the training and test sets, reflecting a more erratic model performance on the new data. The AdaBoost model performs the worst, with an RMSE as high as 241.4 for the training set and 382.1 for the test set, which are both much greater than those other models. Its MAE and MSE are also extremely high, especially on the test set, indicating its lack of predictive ability, and its R2 values are 0.91 and 0.88, showing weak generalization performance. Meanwhile, the CoVs are, respectively, 0.541 and 0.651 on the training and test sets, proving that the model’s prediction results are highly unstable. Comparatively speaking, the Gradient Boosting model shows relatively strong performance, with an RMSE of 66.2 and 266.5 on the training and test set, proving that the model is more reliable on unknown data. The model also has a relatively high R2 of approximately 0.94 on the test set, showing good predictive ability. Its MAE and MSE are relatively moderate, and the model variability is relatively small, with a CoV of 0.175 and 0.203, respectively, showing that the model is more stable.

Table 5.
Predictive performance metrics of the ensemble models.
In summary, the RF and Gradient Boosting demonstrate proficiency on the training set, but exhibit some overfitting on the test set. The Gradient Boosting model performs relatively better on the test set, while the Bagging model is relatively moderate. The Adaptive Enhancement model, on the other hand, needs further optimization to improve its prediction stability and generalization ability.
5.3. Deep Learning Models
The deep learning models DNN and ResNet are used to establish the shear strength prediction model of RCSW, the hyperparameters are optimized by calling the ‘tuner.search’ method, the training set is used for training, and the optimized parameter values are shown in Table 6. For the DNN model, the optimal number of layers is four, which takes into account the model complexity and training difficulty. The units’ number in each layer is 256, 256, 96, and 32, showing that the first two layers can effectively capture complex features, while the gradual reduction in the number of units in the subsequent layers is in line with the principle of layer-by-layer abstraction in deep learning. In addition, the first and third layers use the ReLU activation function, while the second and fourth layers use the Sigmoid and ReLU, respectively, demonstrating effective modeling of nonlinear relationships. The optimizer is chosen to be Adam, which is recognized for its superiority in handling sparse data and convergence speed. For the ResNet model, the optimal number of units in the initial fully connected layer is 128, and five residual blocks are set up, aiming to increase the model complexity and alleviate the gradient vanishing problem through the residual learning mechanism. The number of units in each residual block is 192, which moderately guarantees the representation capability. The learning rate is chosen to be 0.00245, which shows satisfactory convergence speed and stability.

Table 6.
Hyperparameter optimization for deep machine learning models.
Each value of the above hyperparameter optimization was inputted into the corresponding model and the trained model’s prediction performance was assessed; Figure 7 shows the predicted values of each specimen obtained by each model in contrast to the test values, where the blue part of the figure shows the training set data and the orange part of the test set data.

Figure 7.
Comparison of predicted values with experimental values for each RCSW specimen obtained by deep ML models.
Based on the prediction performance metrics in Figure 7 and Table 7, DNN has an RMSE of 85.4 on the training set and 263 on the test set, showing its lower prediction error on the training set. In contrast, ResNet has an RMSE of 111.7 on the training set and 335.7 on the test set, and although both have higher errors on the test set, DNN still has a lower test error, indicating that it is more capable of generalization. DNN has an MSE of 7287.6 on the training set and 69,173.2 on the test set, while ResNet has an MSE of 12,466.9 on the training set and 112,717.9 on the test set, which further proves that DNN fits better than ResNet on the training set, and performs relatively well on the test set, showing a better generalization ability. The MAE of DNN is 50.7 and 112.7 on the training set and test set, respectively, compared to ResNet’s MAE of 59.7 and 107.7, indicating that DNN is more advantageous in terms of stability and accuracy. In addition, the R2 of DNN is 0.99 for the training set and 0.95 for the test set, showing a very high degree of fit, whereas the R2 values of ResNet are 0.98 and 0.91, which is not a bad performance, but a slightly better fit for DNN. Finally, in terms of CoV, DNN has CoVs of 0.244 and 0.26 for the training and test sets, respectively, compared to ResNet’s 0.226 and 0.238; although they are relatively close to each other and DNN’s CoV for the test set is slightly higher, the ResNet shows a slightly weaker consistency in generalization performance. Overall, DNN outperforms ResNet in all metrics, especially in the key metrics of RMSE, MSE, and MAE, reflecting lower prediction error and higher goodness-of-fit and showing higher reliability and accuracy.

Table 7.
Predictive performance metrics of the deep ML models.
5.4. Comparative Analysis of Single, Ensemble, and Deep Learning Models
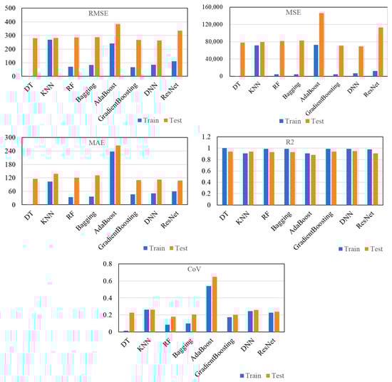
Figure 8 summarizes the comparison of the prediction performance of single, ensemble, and deep learning models. It can be seen that among the single models, DT performs outstandingly, with a test R2 of 0.94, showing good trend-capturing ability, and KNN is similar to it but slightly inferior overall. Among the ensemble models, Gradient Boosting performs the best, is comparable to DT in terms of RMSE and R2, and significantly outperforms other integration methods, such as RF and Bagging. On the contrary, AdaBoost’s performance declines significantly, with both RMSE and MAE showing large errors. Among the deep learning models, DNN shows the strongest predictive power among all models, with the lowest RMSE (263) and a test R2 of 0.95, which is much better than most ensemble models. ResNet showed a relatively weak performance with an RMSE of 335.7, indicating a failure to learn effectively during training. Overall, DNN leads in prediction accuracy; ensemble models perform differently, and a single model can still work well in a given situation.

Figure 8.
Comparison of prediction performance of single, ensemble, and deep learning models.
6. Comparison with Theoretical Approaches
6.1. Theoretical Models
Many scholars have proposed shear capacity calculation models based on the RCSW force characteristics, such as the classical truss model, modified pressure field theory, and the tensile compression bar model, and after many years of development, these models have been modified and simplified and also applied in the codes of various countries. This paper obtains the calculated shear capacity of each RCSW specimen in the above test database by using the Chinese code JGJ 3-2010 [], the American code ACI 318-19 [], the Sánchez-Alejandre model [], and the strut-and-tie proposed by Hwang et al. []. Results are compared with the test values to assess the applicability of each calculation model for the shear capacity calculation of RCSWs. Equations (6)–(9) are the calculation formulae of the four models. The Chinese code JGJ 3-2010 [] adopts the truss model and considers the effect of axial force on RCSW shear capacity, the American specification ACI 318-19 [] also adopts the classical truss model without considering the effect of axial load, the Sánchez-Alejandre model [] is similar to the model of JGJ 3-2010 with the adoption of the truss model and consideration of the effect of axial force and, at the same time, it also considers the effect of vertical reinforcement of the wall on its shear-bearing capacity, and Hwang and Lee [] established the strut-and-tie model based on the transfer rule of the shear flow of RCSW, which is relative to the previous models, with clear mechanical principles and relatively complex.
- (1)
- Chinese code JGJ 3-2010 [] is as follows:
- (2)
- American Norms ACI 318-19 []
- (3)
- Sánchez-Alejandre model []
- (4)
- Hwang and Lee []
The predicted values of the shear capacity for each RCSW, based on the above models, are obtained, and the comparison with the test values is shown in Figure 9, with the distribution of the predicted-to-test value ratio for each wall specimen. Table 8 summarizes the predicted performance values of each model, as well as the mean, standard value, and CoV of the expected ratios of test values.


Figure 9.
Comparison of predicted load carrying capacity of theoretical model and test load carrying capacity.

Table 8.
Predictive performance metrics of the theoretical model.
Based on the comparative analysis of the four RCSW shear capacity calculation models, the Hwang and Lee model performed the best, with an RMSE of 261.1 and an MAE of 172.1. The R2 reaches 0.87, indicating its high prediction accuracy and reliability. This is followed by the JGJ 3-2010 model, which, despite its relatively low RMSE (391.8) and MAE (220.4), is slightly inferior to Hwang and Lee in explaining the variability of the actual data, with an R2 of 0.72. The ACI 318-19 model, which has a high RMSE (448.8), an MAE of 258.2, and an R2 of 0.67, also showed lower prediction accuracy, especially with a CoV of 0.512, indicating greater volatility in its predictions. The Sánchez-Alejandre model showed the worst prediction performance, with the highest RMSE (584.8) and MAE (285.9) and an R2 of only 0.58, suggesting that it was weak in its ability to account for the variability in the data. In summary, the Hwang and Lee model performs better than the other variants, especially in the high-precision prediction of shear-bearing capacity, while the performance of Sánchez-Alejandre is unsatisfactory.
6.2. Theoretical Models vs. ML Models
When comparing the prediction performance of RCSW shear capacity between traditional theoretical models and ML models, significant differences can be seen. First, in Table 8, for the performance metrics of the four theoretical models, the Hwang and Lee model shows the best prediction performance with an RMSE of 291.1, an MSE of 68,166.2, an MAE of 172.1, and an R2 of 0.87, which indicates a good ability to explain the variability of the data. Among the machine learning models, DT has an RMSE of 279.4 on the test set, which is significantly better than most theoretical models. RF also performs well on the test set with an RMSE of 285.4 and an R2 that can reach 0.93, indicating high prediction accuracy and the ability to account for data variability. Gradient Boosting and DNN models also show good performance, achieving an RMSE of 66.2 and 85.4 on the test set, respectively.
Overall, ML models generally show better predictive performance. ML methods, such as RF and Gradient Boosting, are able to achieve a better balance of accuracy and interpretability than traditional models. In summary, ML models may be more advantageous in the forecasting of the shear strength of RCSWs, especially with high data diversity and complexity. It can be seen that the shear mechanism of RCDW is a complex process. The traditional theoretical models are often limited by multiple assumptions, and the influence of the parameters considered is relatively limited, so they are often difficult to accurately and reliably reflect the complex nonlinear relationship between the parameters and the shear capacity of RCSWs. In contrast, the ML models, with powerful nonlinear processing capabilities, high-dimensional data processing capabilities, autonomous feature selection capabilities, strong ensemble learning capabilities, good adaptability, and high robustness, are able to deeply capture the mapping relationship between input features and the shear strength of RCSWs.
7. Model Fusion
From the above study, it is found that the ML models demonstrate excellent prediction accuracy in predicting the shear-bearing capacity of RCSWs, but each of the above ML models has different prediction accuracies for different data characteristics in the dataset and there is still room for improvement in the CoV of the predicted-to-experimental ratios; for this reason, the stacking approach is employed to combine the various ML models into a stacking learning method to better improve the prediction accuracy and reliability. First the RCSW shear-bearing capacity database (Section 3), and then, several different types of ML models (Section 5), including single, ensemble, and deep learning models, are combined, and each model is trained using a training set, which together build the first layer of the stack. Next, the predictions of each base model are applied to the training set and the validation (or test) set to obtain the predictions. Subsequently, the predictions of all base models are combined into a new feature set, with each column representing the output of a base model. Next, the selected model (LinearRegression) is used as the second layer model and is trained using the feature set and corresponding actual labels generated in the previous step. In the testing phase, the test set is then first predicted using all base models to generate a new feature set, and it is subsequently fed into the trained meta-model to produce the final prediction. Figure 10 shows the predicted values of each specimen obtained by the stacking model in contrast to the test values.

Figure 10.
Comparison of calculated and experimental values obtained from stacking model.
Based on the information in Table 9, the stacked model significantly outperforms other ML models in several prediction performance metrics, reflecting its significant improvement in prediction capability. First, the stacking model has an RMSE of 128.2 on the test set, which is significantly more accurate in prediction compared to models such as DT (279.4), KNN (281.8), and AdaBoost (382.1). Second, the MSE of the stacked model in the test set is 1644.4, which is much lower than that of KNN’s 79,421.5, showing its superior fitting ability and sensitivity to data variability. In terms of MAE, the stacked model has a test set MAE of 65.8, which is also better than the DT (116.2) and KNN (137.9), indicating its ability to provide more accurate predictions. Further, in terms of the R2, the stacking model has an almost perfect R2 of 0.98, showing its good ability to capture variations and trends in the data, while the other models generally have an R2 of less than 0.95, which is a poorer explanation. Finally, the CoV of the stacking model stays low on both the training and test sets, reflecting its stability (0.013 for the training set, 0.147 for the test set), and compared to models such as DNN (0.244 for the training set, 0.26 for the test set) and AdaBoost (0.541 for the training set, 0.651 for the test set), the stacking model shows better consistency performance. Overall, the stacking model effectively improves the overall prediction accuracy by integrating the advantages of multiple other models and shows stronger flexibility and performance.

Table 9.
Predictive performance metrics for stacked models.
Meanwhile, Table 9 summarizes the predictive performance metrics of the stacking model proposed in this paper and the ML models of RCSW’s shear strength established by other scholars. It should be noted that the “-” in the table indicates that the indicator was not considered in the model evaluation. The models have similar R2 for the training and testing data, and the tested RMSE, MSE, MAE, and CoV of each model are close, and the difference is less than 33.4%. Therefore, the prediction performance of each model is relatively close. The main reason for the difference in the predictive performance of these ML models is the different data sets used. For example, the stacking model in this paper is based on 583 RCSW samples, while Feng et al. [] use 434 RCSW samples and Nguyen et al. [] use 639 RCSW samples. The data set for the ML model of Farzinpour et al. [] contained 558 shear wall samples, while Ma et al. [] mainly studied 182 RCSWs with flanges. The size and characteristics of the data set have a significant impact on the training and prediction ability of the model.
In summary, by stacking single, ensemble, and deep ML models, the advantages of each model can be fully utilized to form a more powerful forecasting model. It can learn valuable information in the output of different models to improve the overall forecasting accuracy. Each model has its own unique advantages and disadvantages; for example, a self-governed model may perform well on a particular dataset but be prone to overfitting, while a deep learning model may rely too heavily on specific features when dealing with complex data. Stacking can reduce the risk of these overfits, enhance the robustness of the model, and enable it to better adapt to new data and features. In addition, the stacking model can not only integrate the advantages of different models but also complement each other and extract features through output learning to further improve forecasting performance and generality.
8. Present Work Limitations of the and Future Research Recommendations
Limitations of the current study are as follows: First is the dataset’s size and diversity. Although this study utilized a database of 583 RCSW shear tests, the diversity in the dataset may not fully encompass all variability in material properties, geometric configurations, and loading conditions. This may limit the applicability of the developed model to a variety of shear walls not represented by the dataset. The effectiveness of ML models is highly dependent on feature selection. This study may not have considered all possible influences, such as environmental factors or material deterioration, which may affect shear strength capacity but were not included in the analysis. Second is the model interpretability. Although ensemble and deep ML models provide high predictive performance, they do not have the explanatory nature of traditional analytical models. The complexity of these models may hinder the understanding of the mechanisms behind shear wall behavior, which is critical for engineers. The final is the hyperparameter tuning. Although hyperparameter optimization is performed, the tuning process is still sensitive to the optimization algorithm and the choice of the defined search space. This may result in models that perform well on the training dataset but may not be robust enough in real-world applications.
Recommendations for future research are as follows: First is to expand the scope of dataset collection. Future research should aim to collect a wider and more diverse dataset, including different types of shear walls, material properties, and loading conditions, which will enhance the generalization and robustness of the predictive model. Again, incorporating other influencing factors. Future research could explore the incorporation of other variables, including environmental factors and other physical factors that may influence shear wall behavior. Incorporating these factors will improve the accuracy, reliability, and applicability of the predictions. Second is the improved model interpretability. Methods need to be developed to improve the interpretability of advanced models (e.g., deep learning) while maintaining their predictive power. Techniques, such as SHAP (Shapley Additive Interpretation) or LIME (Locally Interpretable Model Irrelevant Interpretation), can be employed to provide insights into the model’s decision-making process. In addition, hybrid models are applied. Hybrid models that combine traditional analytics and machine learning methods can be explored in the future to improve the accuracy and interpretability of predictive models. The final is to conduct a longitudinal study. It would be beneficial to examine the performance of shear walls over time. This could involve the development of predictive models that take into account the effects of material aging and changes in properties, thus providing a more comprehensive understanding of shear wall behavior under different conditions.
9. Conclusions
This paper proposes a stacking model based on the single, ensemble, and deep ML models combined with hyper-parameter tuning to enhance each model’s prediction performance. This stacking method greatly improves the forecasting accuracy and reliability, and the stacking model has an R2 of 0.98 and a CoV of 0.147 in the test set, and it is much better than other independent ML models (R2 = 0.88~0.95, CoV = 0.179~0.651). The following conclusions are mainly obtained:
- (1)
- In the single model, DT achieves an R2 of 0.94 for the test set, showing good trend-capturing ability. Among the ensemble models, Gradient Boosting performs the best and is comparable to DT in terms of RMSE and R2 and significantly outperforms other ensemble methods, such as RF and Bagging. DNN shows the strongest predictive power among all models, with the lowest RMSE (263) and a test R2 of 0.95, far outperforming the majority of ensemble models.
- (2)
- Among the traditional analytical models, the Hwang and Lee model shows the best prediction performance with an RMSE of 291.1, MSE of 68,166.2, MAE of 172.1, and an R2 of 0.87, demonstrating a good ability to explain data variability. Compared to ML methods, such as DNN, RF, and Gradient Boosting, the model is able to achieve a better balance of accuracy and interpretability than traditional analytical models.
- (3)
- The stacking model has an RMSE of 128.2 on the test set, which is significantly more accurate in terms of prediction compared to other independent ML models (263~335.7). Second, the MSE of the stacking model in the test set is 1644.4, which is much lower than those of other independent ML models (69,173.2~145,930), showing its superior fitting ability and sensitivity to data variability. The stacking model has a test set MAE of 65.8, which is also better than those of other independent ML models (107.7~264.6), indicating its ability to provide more accurate predictions. Further, the stacking model’s R2 reaches 0.98, showing its good ability to capture variations and trends in the data, while the other models’ R2 is generally lower than 0.95. Finally, the stacking model’s CoV stays low for both the training set and the test set, reflecting its stability (0.013 and 0.147 for the training and test sets, respectively); the stacking model shows better consistency performance, which is significantly better than other independent ML models (R2 = 0.88~0.95, CoV = 0.179~0.651).
Author Contributions
Methodology, S.T. and X.N.; Investigation, S.T.; Resources, Y.W.; Data curation, Y.W.; Writing—original draft, S.T.; Writing—review & editing, X.N. All authors have read and agreed to the published version of the manuscript.
Funding
This research received no external funding.
Institutional Review Board Statement
Not applicable.
Informed Consent Statement
Not applicable.
Data Availability Statement
The data that support the findings of this study are available from the corresponding author upon reasonable request. The data are not publicly available due to privacy.
Conflicts of Interest
The authors declare no conflicts of interest.
References
- Ni, X.; Cao, S.; Liang, S.; Li, Y.; Liu, Y. High-strength bar reinforced concrete walls: Cyclic loading test and strength prediction. Eng. Struct. 2019, 198, 109508. [Google Scholar] [CrossRef]
- Kassem, W.; Elsheikh, A. Estimation of shear strength of structural shear walls. J. Struct. Eng. 2010, 136, 1215–1224. [Google Scholar] [CrossRef]
- Chandra, J.; Chanthabouala, K.; Teng, S. Truss Model for Shear Strength of Structural Concrete Walls. Ph.D. Thesis, Petra Christian University, Surabaya, Indonesia, 2018. [Google Scholar]
- Papadopoulos, P.G.; Lamprou, P.E. Structural Analysis of a RC Shear Wall by Use of a Truss Model. Open J. Civ. Eng. 2022, 12, 320–352. [Google Scholar] [CrossRef]
- Yu, H.W.; Hwang, S.J. Evaluation of softened truss model for strength prediction of reinforced concrete squat walls. J. Eng. Mech. 2005, 131, 839–846. [Google Scholar] [CrossRef]
- Chetchotisak, P.; Chomchaipol, W.; Teerawong, J.; Shaingchin, S. Strut-and-tie model for predicting shear strength of squat shear walls under earthquake loads. Eng. Struct. 2022, 256, 114042. [Google Scholar] [CrossRef]
- Kassem, W. Shear strength of squat walls: A strut-and-tie model and closed-form design formula. Eng. Struct. 2015, 84, 430–438. [Google Scholar] [CrossRef]
- Yi, W.J.; Li, Y.; Chen, H.; Ma, Z.J.; Zhou, K.J.; Huang, Y.; Zhou, Y. Shear strength evaluation of RC D-Regions based on Single-Panel Strut-and-Tie model. Eng. Struct. 2022, 265, 114500. [Google Scholar] [CrossRef]
- Jin, C.; Wu, C.; Pan, Z.; Meng, S. A truss-arch model-based method for calculating shear walls with small shear span ratio. J. Build. Eng. 2023, 80, 108052. [Google Scholar] [CrossRef]
- Banting, B.; El-Dakhakhni, W. Modified Compression Field Theory (MCFT) for Shear Strength Predictions of Reinforced Masonry Shear Walls. In Proceedings of the 15th International Brick and Block Masonry Conference, Florianópolis, Brazil, 3–6 June 2012. [Google Scholar]
- Rahal, K.N. Simplified design and capacity calculations of shear strength in reinforced concrete membrane elements. Eng. Struct. 2008, 30, 2782–2791. [Google Scholar] [CrossRef]
- Bae, G.; Cho, J.; Lee, S.; Proestos, G.; Bentz, E. In-Plane Shear Behavior of Nuclear Power Plant Wall Elements with High-Strength Reinforcing Bars. In Proceedings of the 22nd Conference on Structural Mechanics in Reactor Technology, San Francisco, CA, USA, 18–23 August 2013. [Google Scholar]
- Jiang, J.; Wang, Y.; Yu, B.; Li, B.; Ma, J. A modified truss-arch model for shear strength evaluation of corroded reinforced concrete columns. Adv. Struct. Eng. 2024, 27, 1461–1476. [Google Scholar] [CrossRef]
- Lee, J.D.; Mander, J.B. Unified Truss-Arch Model for the Analysis of Bending-Shear Interaction in Reinforced Concrete Members. J. Struct. Eng. 2022, 148, 04022074. [Google Scholar] [CrossRef]
- Mangalathu, S.; Jeon, J.S. Classification of failure mode and prediction of shear strength for reinforced concrete beam-column joints using machine learning techniques. Eng. Struct. 2018, 160, 85–94. [Google Scholar] [CrossRef]
- Feng, D.C.; Wang, W.J.; Mangalathu, S.; Taciroglu, E. Interpretable XGBoost-SHAP machine-learning model for shear strength prediction of squat RC walls. J. Struct. Eng. 2021, 147, 04021173. [Google Scholar] [CrossRef]
- Nguyen, D.D.; Tran, V.L.; Ha, D.H.; Nguyen, V.Q.; Lee, T.H. A machine learning-based formulation for predicting shear capacity of squat flanged RC walls. In Structures; Elsevier: Amsterdam, The Netherlands, 2021; Volume 29, pp. 1734–1747. [Google Scholar]
- Chou, J.S.; Liu, C.Y.; Prayogo, H.; Khasani, R.R.; Gho, D.; Lalitan, G.G. Predicting nominal shear capacity of reinforced concrete wall in building by metaheuristics-optimized machine learning. J. Build. Eng. 2022, 61, 105046. [Google Scholar] [CrossRef]
- Zhang, H.; Cheng, X.; Li, Y.; Du, X. Prediction of failure modes, strength, and deformation capacity of RC shear walls through machine learning. J. Build. Eng. 2022, 50, 104145. [Google Scholar] [CrossRef]
- Rojas-León, M.; Wallace, J.W.; Abdullah, S.A.; Kolozvari, K. New Equations to Estimate Reinforced Concrete Wall Shear Strength Derived from Machine Learning and Statistical Methods. ACI Struct. J. 2024, 121, 89–104. [Google Scholar]
- American Concrete Institute. Building Code Requirements for Structural Concrete and Commentary (ACI 318-19); American Concrete Institute: Farmington Hills, MI, USA, 2019; pp. 205–223. [Google Scholar]
- Farzinpour, A.; Dehcheshmeh, E.M.; Broujerdian, V.; Esfahani, S.N.; Gandomi, A.H. Efficient boosting-based algorithms for shear strength prediction of squat RC walls. Case Stud. Constr. Mater. 2023, 18, e01928. [Google Scholar] [CrossRef]
- Ma, J.; Wang, M.; Wang, C.; Yu, X.; Li, B. Database of flanged reinforced concrete squat walls and its utilization based on machine learning. In Structures; Elsevier: Amsterdam, The Netherlands, 2023; Volume 58, p. 105649. [Google Scholar]
- Iqbal, M.; Salami, B.A.; Khan, M.A.; Jalal, F.E.; Jamal, A.; Bardhan, A. Computational approach towards shear strength prediction of squat RC walls implementing ensemble and hybrid SVR paradigms. Mater. Today Commun. 2024, 40, 109921. [Google Scholar] [CrossRef]
- Huang, P.; Dai, K.; Yu, X. Data-driven shear strength prediction of steel reinforced concrete composite shear wall. Mater. Today Commun. 2024, 38, 108173. [Google Scholar] [CrossRef]
- Chen, L.; Zhou, Y.; Zhao, J.; Li, K.; Chen, D.; Lei, J. Data-driven prediction method for shear capacity of corroded rectangular reinforced concrete shear walls under varied failure modes. In Structures; Elsevier: Amsterdam, The Netherlands, 2024; Volume 59, p. 105723. [Google Scholar]
- Xie, S.; Lin, H.; Chen, Y.; Yao, R.; Sun, Z.; Zhou, X. Hybrid machine learning models to predict the shear strength of discontinuities with different joint wall compressive strength. Nondestruct. Test. Eval. 2024, 1–21. [Google Scholar] [CrossRef]
- Trinh, H.T.; Pham, T.A.; Tho, V.D.; Nguyen, D.H. The research explores the predictive capacity of the shear strength of reinforced concrete walls with different cross-sectional shapes using the XGBoost model. PLoS ONE 2024, 19, e0312531. [Google Scholar] [CrossRef] [PubMed]
- Ji, X.; Yu, Y.; Gao, X.; Zhuang, Y.; Zhang, S. Evaluation of strength and stiffness degradation of RC shear walls: An integrated image processing and deep learning approach. Earthq. Eng. Struct. Dyn. 2024, 53, 2827–2849. [Google Scholar] [CrossRef]
- Le Nguyen, K.; Trinh, H.T.; Banihashemi, S.; Pham, T.M. Machine learning approaches for lateral strength estimation in squat shear walls: A comparative study and practical implications. Expert. Syst. Appl. 2024, 239, 122458. [Google Scholar] [CrossRef]
- Synge, A.J. Ductility of Squat Shear Walls; University of Canterbury: Christchurch, New Zealand, 1980; p. 142. [Google Scholar]
- Maier, J.; Thurlimann, B. Bruchversuche an Stahlbetonscheiben; Birkhauser Verlag: Basel, Switzerland, 1985. [Google Scholar]
- Saito, H.; Kikuchi, R.; Kanechika, M.; Okamoto, K. Experimental study on the effect of concrete strength on shear wall behavior. In Proceedings of the International Conference on Structural Mechanics in Reactor Technology (SMIRT), Anaheim, CA, USA, 14–18 August 1989. [Google Scholar]
- Sato, S.; Ogata, Y.; Yoshizaki, S.; Kanata, K.; Yamaguchi, T.; Nakayama, T.; Inada, Y.; Kadoriku, J. Behavior of shear wall using various yield strength of rebar, part 1: An experimental study. In Proceedings of the 10th International Conference on Structural Mechanics in Reactor Technology, Anaheim, CA, USA, 14–18 August 1989. [Google Scholar]
- Seki, M.; Kobayashi, J.; Shibata, A.; Kubo, T.; Taira, T.; Akino, K. Restoring force verification test on RC shear wall. In Proceedings of the Thirteenth International Conference on Structural Mechanics in Reactor Technology, Porto Alegre, Brazil, 13–18 August 1995. [Google Scholar]
- Naze, P.A.; Sidaner, J.F. Presentation and interpretation of safe tests: Reinforced concrete walls subjected to shearing. In Proceedings of the Sixteenth International Conference on Structural Mechanics in Reactor Technology, Washington, DC, USA, 2–17 August 2001. [Google Scholar]
- Fu, J.; Yao, J.; Cui, J.; Chen, X. Experimental studies and finite element analysis on seismic shear behavior of high-strength rebars shear walls with flanges. China Civ. Eng. J. 2018, 51, 44–51. (In Chinese) [Google Scholar]
- Han, X.; Lin, L.; Ji, J.; Wei, Y.; Xie, S. Experimental study on deformation index limits of I-shaped shear walls. China Civ. Eng. J. 2018, 51, 26–36. (In Chinese) [Google Scholar]
- Palermo, D.; Vecchio, F.J. Behavior of three-dimensional reinforced concrete shear walls. Acids Struct. J. 2002, 99, 81–89. [Google Scholar]
- Kitada, Y.; Akino, K.; Terada, K.; Aoyama, H.; Miller, A. Report on seismic shear wall international standard problem organized by OECD/NEA/CSNI. In Proceedings of the Fourteenth International Conference on Structural Mechanics in Reactor Technology, Lyon, France, 17–22 August 1997. [Google Scholar]
- Ma, J.; Li, B. Seismic behavior of l-shaped RC squat walls under various lateral loading directions. J. Earthq. Eng. 2019, 23, 422–443. [Google Scholar] [CrossRef]
- Quinlan, J.R. C4.5: Programs for Machine Learning; Morgan Kaufmann: San Mateo, CA, USA, 1993. [Google Scholar]
- Liaw, A.; Wiener, M. Classification and Regression by randomForest. R News 2002, 2, 18–22. Available online: https://CRAN.R-project.org/doc/Rnews/ (accessed on 1 December 2002).
- Breiman, L. Bagging Predictors. Mach. Learn. 1996, 24, 123–140. [Google Scholar] [CrossRef]
- Freund, Y.; Schapire, R.E. A Decision-Theoretic Generalization of On-Line Learning and an Application to Boosting. In Computational Learning Theory: 10th Annual Conference on Computational Learning Theory, COLT’97, 23–37; ACM Press: New York, NY, USA, 1997. [Google Scholar]
- Friedman, J.H. Greedy Function Approximation: A Gradient Boosting Machine. Ann. Stat. 2001, 29, 1189–1232. [Google Scholar] [CrossRef]
- Kaiming, H.; Zhang, X.; Ren, S.; Sun, J. Deep Residual Learning for Image Recognition. In Proceedings of the IEEE Conference on Computer Vision and Pattern Recognition (CVPR), Las Vegas, NV, USA, 27–30 June 2016; pp. 770–778. [Google Scholar] [CrossRef]
- JGJ 3-2010; Technical Specification for Concrete Structure of Tall Buildings. Construction Industry Press: Beijing, China, 2010.
- Sanchez-Alejandre, A.; Alcocer, S.M. Shear strength of squat reinforced concrete walls subjected to earthquake loading—Trends and models. Eng. Struct. 2010, 32, 2466–2476. [Google Scholar] [CrossRef]
- Hwang, S.-J.; Lee, H.-J. Strength prediction for discontinuity regions by softened strut-and-tie model. ASCE J. Struct. Eng. 2002, 128, 1519–1526. [Google Scholar] [CrossRef]
Disclaimer/Publisher’s Note: The statements, opinions and data contained in all publications are solely those of the individual author(s) and contributor(s) and not of MDPI and/or the editor(s). MDPI and/or the editor(s) disclaim responsibility for any injury to people or property resulting from any ideas, methods, instructions or products referred to in the content. |
© 2025 by the authors. Licensee MDPI, Basel, Switzerland. This article is an open access article distributed under the terms and conditions of the Creative Commons Attribution (CC BY) license (https://creativecommons.org/licenses/by/4.0/).