You are currently viewing a new version of our website. To view the old version click .
Applied Sciences
  • Article
  • Open Access

20 February 2025

Pull-Out Properties of Nano-Processed Para-Aramid Fabric Materials in Soft Ballistic: An Experimental Analysis

,
and
1
Nanotechnology Application and Research Centre (ERNAM), Erciyes University, Talas 38039, Kayseri, Turkey
2
Department of Nanoscience and Nanotechnology, Graduate School of Natural and Applied Sciences, Erciyes University, Talas 38039, Kayseri, Turkey
3
Faculty of Engineering, Nano/Microfiber Preform Design and Composite Laboratory, Department of Textile Engineering, Erciyes University, Talas 38039, Kayseri, Turkey
*
Author to whom correspondence should be addressed.
This article belongs to the Special Issue Advances in Nanomaterials and Their Applications

Abstract

Single and multiple pull-out properties of a nano-processed para-aramid fabric structure were investigated. The nano pull-out behavior exhibited three distinct regions, namely crimp extension, interlacement rupture, and stick-slip. Multiple yarn pull-out tests demonstrated a significantly higher pull-out force compared to single-yarn pull-out, primarily attributed to the incorporation of nanoparticles. Furthermore, it was observed that an increase in fabric length resulted in an approximately linear increase in both yarn crimp extension and pull-out force. The highest pull-out force was obtained in the nano-hexagonal boron carbide (nh-B4C, 0.3%) para-aramid structure, followed by multiwalled carbon nanotube (MWCNT, 0.3%) para-aramids. This is because of the enhancement of filament-to-filament friction, especially in the interlacement zone of fabric, alongside the cumulative frictional interactions among the nanoparticles. Additionally, the findings highlight an improvement in crimp extension energy absorption facilitated by nanoparticle incorporation in soft fabric. Notably, the improvement in the energy absorption capacity of yarns within the fabric, without disintegration, is considered significant at this stage. These results indicate a promising potential for performance enhancement in prospective soft ballistic applications.

1. Introduction

In general, fiber pull-out properties play important roles in protective fabric structures to absorb the impact energy, mainly using the friction principle [1]. Generally, ballistic and stab resistance properties are improved by the advancement of high-performance fibers such as para-aramid and tough matrices, special 2D and 3D fabric architectures [2], intra-ply hybridization [3], various surface treatments [4] and functionalization [5] providing strong chemical linkage and mechanical interlocking between the fibers and matrix, coatings [6], plasma [7], grafting [8], the growth of nanostructures [9] and nano additives, particularly carbon nanotubes (CNTs) [10], graphene nanoplatelets (GNPs) [11,12,13,14], boron carbide (B4C) [15,16,17,18], shear thickening fluid (STF) [19,20], and nanofibers [21,22,23], achieving multifunctional flexible or rigid [24] and lightweight nano ballistic material with an enhanced ballistic limit [25,26,27,28]. Yarn pull-out phenomena during ballistic impact are generally considered a pivotal energy mitigation process. Evaluating yarn pull-out in relation to fabric dimensions and the quantity of extracted yarns constitutes a critical energy dissipation mechanism during the ballistic impact on p-aramid fabrics, attributed to yarn uncrimping and translational displacement [29,30]. It was determined that yarn pull-out forces are influenced by fabric density, fabric dimensions, and the number of yarn ends. The findings indicated that the force required for multiple yarn pull-outs exceeded that observed in single-yarn pull-out tests [31]. Furthermore, fabrics exhibiting elevated yarn pull-out forces demonstrate enhanced impact performance. The yarn pull-out force can be augmented by adjusting directional linear density, crimp, and inter-yarn friction [32]. Another study exhibited that inter-yarn friction resulted in an expansion of the pull-out zone, while the pull-out zone in wet conditions contracted due to the lubricating properties of the liquid [33]. Moreover, stick-slip force and accumulative retraction force are influenced by fabric density and the quantity of extracted yarn ends. The stick-slip force and accumulative retraction force observed in multiple-yarn pull-out tests were greater than those in single-yarn pull-out tests [34]. A recent study illustrated that at high pull-out velocities, the yarn traversed multiple yarn intersections before experiencing accumulative retraction loading, which led to a significant force drop during the stick-slip phase due to a complete loss of contact or insufficient time delay [35].
Moreover, the frictional properties of high-strength and high-modulus yarn display anisotropic behavior attributable to filament texture. The surface topography and yarn orientation predominantly influence the frictional characteristics [36]. The frictional interactions in interlacement points considering yarn pull-out in a fabric are significant because of the integrity of the entire fabric structure and resistance of the interlacing points, especially during low strain rate loading [37]. Another study demonstrated that fabric-projectile friction delays yarn failure by redistributing stress along the boundary of the interaction zone between the projectile and the fabric. This postponement of fiber failure significantly enhances fabric energy absorption in the later stages of impact. Furthermore, fiber-to-fiber friction restricts relative yarn displacement, thereby resisting fabric crimp removal and potentially contributing to premature fabric failure during the impact process [38].
Another method to improve pull-out force employs shear thickening fluid (STF), which is a nanosuspension absorbing significant impact energy, enhancing fiber impact performance. The pull-out study showed that the high inter-fiber friction of STF-coated fabric enhances resistance to relative yarn displacement, increasing the involvement of surrounding yarns in impact energy attenuation and maximizing the role of p-aramid fabric during quasi-static stab threading [39,40,41]. Another study reported that the combination of polyethylene glycol (PEG) and micro boron carbide (B4C) improves both surface and intra-yarn interaction in the fabric [42]. Moreover, zinc oxide (ZnO) nanowire and silica (SiO2) coatings were observed to enhance strain energy, intra-yarn friction, and high strain rate energy absorption in p-aramid plain woven fabrics, with an areal density increase of less than 8%. A silica coating demonstrated superior enhancement in these properties compared to a zinc oxide nanowire coating [43]. Furthermore, advancements have been made in aramid nanofibers [44,45] and aramid-coated carbon nanotubes (CNTs) [46] to improve the properties of aramid fibers used in rigid composite plate structures.
Several modeling studies have been conducted on fiber-based structures. The two-dimensional (2D) fabric is simulated as a lattice of nodal masses linked by unidirectional viscoelastic components to elucidate the influence of crimp-induced deformation on excessive deflection in fabric armor under impact conditions [47]. The energy absorption, accounting for fabric shear deformation and yarn pull-out, was investigated by a proposed biaxial fiber stress model considering the digital image correlation (DIC) technique [48]. Furthermore, the high-performance fabric was modeled using LS-DYNA, with a focus on the effects of friction and material properties on ballistic performance. The analysis indicates that ballistic efficacy is governed by frictional forces, elastic modulus, and the tensile strength of the yarns [49]. On the other hand, the 3D computational model demonstrated that the pull-out force is significantly influenced by inter-yarn frictional interactions [50].
Based on the literature review, there appears to be no direct investigation into the pull-out properties of nano-processed fabrics in both single and multiple pull-out scenarios. Therefore, this study comprehensively examines the pull-out characteristics of para-aramid fabrics coated with nanomaterials. The nanocoating consists of nano boron carbide (B4C), multiwalled carbon nanotubes (MWCNTs), and graphene nanoplatelets (GNPs). The analysis of pull-out energy and crimp extension as a function of fabric length was conducted using computational methods, specifically Python programming. Additionally, the study provides recommendations for future research, particularly in the context of soft ballistic applications.

2. Materials and Methods

2.1. Materials

The woven fabric was made with p-aramid fibers (-[-CO-C6H4-CO-NH-C6H4-NH-]n, Twaron® of Teijin, Japan). Warp and filling yarn linear densities were 336 tex. The p-aramid fabric was Twaron CT® 747. It had a plain pattern, and the warp and filling densities were 6.25 ends/cm. The fabric areal weight was 410 g/m2. Directional warp and filling crimps were 5.80% and 5.90%, respectively. Fabric thickness was 0.62 mm, and water repellent treatment was applied to fabric. Table 1 presents the properties of the fiber, fabric, and nanomaterials. Additionally, Figure 1 illustrates the p-aramid fabric and nanomaterials utilized in this study.
Figure 1. (a) Optical microscope image of para-aramid fabric (OM, magnification 6.7×). (b) Field emission scanning electron microscope (FESEM) images of nano B4C (scale: 200 nm; magnification: 20,000×). (c) MWCNTs (scale: 200 nm; magnification: 30,000×); (d) GNPs (scale: 200 nm; magnification: 20,000×).
Nano-hexagonal boron carbide (nh-B4C) has 99.5% purity, 0.1 g/cm3 density, and 40–60 nm particle size, and it was employed as nanoparticles to make a nano-added p-aramid fabric structure. The nh-B4C was provided by Nanografi Corporation (Ankara, Turkey) [51]. The multiwall carbon nanotubes (MWCNTs, Nanothinx S.A., Patras, Greece) were utilized, as provided in Table 1 [52,53]. Graphene nanoplatelets (GNPs) were procured from Rasel Kimya (xGNP®-M-25, Sigma Aldrich, XG Sciences, Inc., Lansing, MI, USA). The basic properties of GNPs are exhibited in Table 1, including a specific surface area in the range of 120–150 m2/g and a thickness of 6–8 nm comprising approximately 20 graphene layers [54]. The rationale for incorporating nano-hexagonal boron carbide (nh-B4C), multiwalled carbon nanotubes (MWCNTs), and graphene nanoplatelets (GNPs) into para-aramid fabric is primarily attributed to their superior thermo-mechanical properties, particularly their high stiffness and strength. Specifically, B4C exhibits a high compressive modulus, whereas MWCNTs and GNPs possess remarkable tensile moduli. Additionally, their high surface area facilitates extensive frictional interaction, enhancing interfacial pull-out properties. Moreover, their commercial availability further supports their selection. Consequently, the synergistic effect between the high tensile properties of para-aramid fibers and the exceptional stiffness and frictional characteristics of these nanomaterials is anticipated to enhance overall soft fabric performance. Additionally, ethanol (CH3-CH2OH, 96% purity) was obtained from Rasel Kimya (United Ethanol Ind., Karachi, Pakistan).
Table 1. Specifications of fiber [55], fabric, and nanomaterials [51,52,53,54,56] used in nanocoated structures.
Table 1. Specifications of fiber [55], fabric, and nanomaterials [51,52,53,54,56] used in nanocoated structures.
FiberFiber diameter
(μ)
Fiber density
(g/cm3)
Tensile strength
(MPa)
Tensile modulus
(GPa)
Elongation at break
(%)
Melting temperature
(°C)
Para-aramid (Twaron CT, Teijin, Japan)121.4532001152.9450
FabricWeave typeFabric treatmentYarn linear density
(tex)
Fabric density
(per 10 cm)
Fabric area weight
(gm−2)
Yarn crimp
(%)
Fabric thickness
(mm)
Twaron CT® 747Plain (1/1)Water repellent336 (warp)
336 (weft)
62.50 (warp)
62.50 (weft)
4105.80 (warp)
5.90 (weft)
0.62
NanomaterialsParticle dimensions (diameter × length × thickness)
(nm × micron × nm)
Molecular weight
(g/mol)
Surface area
(m2/g)
Purity
(%)
Density
(g/cm3)
Tensile strength
(GPa)
Tensile modulus
(TPa)
Melting temperature
(°C)
nh-B4C
(Nanografi Inc., Ankara, Turkey)
- × - × 40–60-55≥99.50.10-0.35–0.55-
MWCNTs (Nanothinx, Patras, Greece)15–35 × 10 × 1–212.01>100≥971.742001.003550
GNPs
(Sigma Aldrich, Lansing, MI, USA)
25 × - × 6–8-120–150-2.20---

2.2. Preparation of Nanocoated Fabric

Nanoparticle-coated pull-out sample specifications for this study are presented in Table 2. Nano pull-out sample preparations steps are shown in Figure 2.
Table 2. Specifications of developed nanocoated p-aramid structures for pull-out test.
Figure 2. Processing route (iterative compression method) of developed various nanocoated p-aramid structures (digital camera).
As exhibited in Table 2 and Figure 2, nano pull-out samples were identified as control p-aramid fabric (KPO), nano boron carbide p-aramid fabric (BPO), multiwall carbon nanotube p-aramid fabric (MPO), and graphene nanoplatelet p-aramid fabric (GPO). In the first step, moisture in the para-aramid fabric (size 120 mm × 300 mm, width and length, respectively) was removed by heat treatment at 60° for 60 min under a heat rate of 15°/min in order to enhance the nanocoating between filaments in the fabric surface and nanoparticles.
The nano B4C (0.3% wt.) was weighted and poured in ethanol (250 mL). The solution was subjected to magnetic stirring at 350 rpm for 30 min to mitigate the potential for premature agglomeration. Subsequently, the mixture underwent ultrasonic treatment in a bath set to 25 °C for 60 min to facilitate the uniform dispersion of nanotubes within the ethanol medium. Next, the p-aramid fabric was immersed into the nano B4C solution and was again stirred in an ultrasonic bath at 25 °C for 120 min. They were put in a closed container at atmospheric conditions for 120 min to interact the B4C particles in the fabric surface. The fabric was removed from the nano B4C solution and placed under the press at 2 bar at 65 °C for 30 min. Then, it was again immersed in the solution in a container for 2 min. This process was repeated three times in order to accumulate the nanoparticles in filaments over the fabric surface and thus it may improve mechanical interlocking between nanoparticles and filamentary bundles. It may also ensure the homogeneous distribution of nanoparticles over the fabric surface. In the next step, p-aramid fabric was again immersed in the remaining solution in the container and was dried at 78 °C for 4 h in an oven at a heat rate of 5°/min. Finally, the ethanol was completely evaporated, and nano B4C coated p-aramid fabric was created. This established procedure was designated as the “iterative compression method”. An identical sequence of procedural steps was employed for the MWCNT- and GNP-coated p-aramid fabric to facilitate the pull-out testing.

2.3. Analysis and Characterizations

2.3.1. Nano Pull-Out Testing

Pull-out experiments were performed to evaluate the inter-yarn frictional behavior in single-yarn (1 yarn) and multi-yarn configurations (2 yarns and 3 yarns) at the frayed edges of the para-aramid plain weave (1/1) fabric structure. Thus, it was fulfilled by using an in-house developed test fixture [31]. Figure 3 shows the pull-out fixture with nanocoated p-aramid fabrics in the universal tensile instrument during testing. The nanocoated fabric sample dimensions were 50 mm (width) × 200 mm (length). The specimen exhibited a frayed yarn segment measuring 100 mm in length, while the total edge length secured within the fixture measured 70 mm (Figure 3j). The sequential extraction of individual yarns was performed from the central region of the frayed edge, commencing with the first yarn, followed by the second, and concluding with the third yarn. In addition, multiple yarns were successively pulled from fabric as two and three yarns for three times. Therefore, pull-out force–displacement curves for nanocoated p-aramid fabrics were obtained. The fabric specimens were secured at both edges without any initial pre-tension, and the pull-out force was applied along the warp orientation. The Instron 4411 universal testing machine (INSTRON, Norwood, MA, USA) was utilized with a crosshead speed set to 100 mm/min. During the experiment, the pull-out force and crimp extension—defined as the elongation of the yarn within the fabric structure under tensile loading due to interlacing—were measured. Conversely, fabric displacement, occurring prior to the onset of crimp extension under tensile loading on single or multiple yarns, was excluded from analysis due to the limited sample width. Additionally, fabric crimp interchange during the pull-out process was disregarded, as the edges were firmly clamped. For simplification, yarn slippage in both warp and weft directions within the interlaced regions was not accounted for. Furthermore, filament breakage within the extracted yarns was observed but was not considered in the analysis. The pull-out force–displacement (N, mm) curves were utilized to find maximum pull-out force with crimp extension, where sample surface was marked for each pick’s density (10 mm) to identify consecutive values, initial interlacement rupture force (N), intra-yarn shear strength (MPa), and stick-slip force (N).
Figure 3. Pull-out samples and testing for various nanocoated p-aramid fabric structures. (a) Nano B4C coated p-aramid fabric. (b) Pull-out sample of nano B4C fabric. (c) Pull-out sample of MWCNT fabric. (d) Pull-out sample of GNP fabric. (e) Pull-out sample of control fabric. (f1) Single-yarn and (f2) multiple-yarn pull-out in nano B4C fabric. (g1) Single-yarn and (g2) multiple-yarn pull-out in MWCNT fabric. (h1) Single-yarn and (h2) multiple-yarn pull-out in GNP fabric. (i1) Single-yarn and (i2) multiple-yarn pull-out in control fabric. (j) Pull-out fabric dimensions, schematic (digital camera).

2.3.2. Nano Yarn Tensile Strength Testing

The tensile strength test was fulfilled to find the strength of dry warp yarn in the extraction from nanocoated p-aramid fabric (120 mm × 300 mm, width and length, respectively). The TS EN ISO 2062 test standard was generally followed [57]. The warp yarn linear density and length were 336 tex and 150 mm, respectively. The testing instrument was the Instron 4411 and the testing speed was 150 mm/min. Therefore, the tensile strength of nano-processed yarn was obtained in order to identify the possible effect of the nanocoating on the filamentary yarn structure. The crimp of the nanocoated warp yarn was disregarded, and the nanocoated filaments exhibited no entanglements, with nanoparticles evenly distributed across the filament surfaces. Yarn tensile strength was calculated by using Equation (1) as follows:
σ y = F m a x W y
where σy is the yarn tensile strength (N/tex, tenacity), Fmax is the max. tensile force, and Wy is the yarn linear density (g/1000 m, tex).

2.3.3. Intra-Yarn Shear Strength

Intra-yarn shear strength was examined concerning the single- or multiple-warp yarns when subjected to pull-out forces along the fabric’s lengthwise direction, leading to the angular deformation of filling yarns within the fabric plane before the onset of the stick-slip phenomenon. This concept is particularly relevant for characterizing the deformation between warp-to-warp or in particular warp-to-filling yarns during pull-out tests. Consequently, the intra-yarn shear strength (IYSS) of the nanocoated fabric was quantified using Equation (2) as follows:
τ i y I Y S S = F m a x π R l y
where τiy is the intra-yarn shear strength (N/m2, Pa), Fmax represents the maximum pull-out force (N), R stands for the yarn diameter (mm), and ly signifies the yarn length within the fabric (mm).
It was assumed that the influences of fabric crimp and possible fabric wrinkle were negligible, and the yarns in the nanocoated fabric were treated as inextensible multifilamentary structures. In addition, data generated from nano pull-out, nano yarn tensile strength, and intra-yarn shear strengths were computed by using Microsoft Excel (spreadsheet program) version 2016 [58].

2.3.4. Pull-Out Energy Analysis

Single and multiple yarn ends’ pull-out energies (J) were computed by the area under the pull-out load–displacement graph in order to determine the energy absorption at crimp extension, initial interlacement rupture, and stick-slip stages. The total energy absorption was derived from the summation of energies across all stages. Thus, the energy calculations on all nanocoated fabrics were executed by employing Python language reference version 3.1.2.4 (The Python Software Foundation, Amsterdam, Netherland). The energy absorption outcomes were derived utilizing Python’s computational capabilities for numerical integration [59].

2.3.5. Surface Morphology and Structure

The surface characteristics of the nanocoated specimens were examined employing a field emission scanning electron microscope (FESEM, ZEISS GeminiSEM500, Oberkochen, Germany) under ambient laboratory conditions. Low-magnification (x6.7) imagery of the nanocoated p-aramid textiles, along with yarn dimensional analysis, was acquired using an optical microscope (Olympus SZ61 integrated with Bs200DOC digital image analysis software 2015, Tokyo, Japan) prior to pull-out testing. Macro-scale visualization of the pull-out specimens and procedures was conducted using a digital camera (Nikon D3000 10.2 MP digital SLR camera equipped with an 18–55 mm f/3.5–5.6G AF-S DX VR Nikkor Zoom Lens, Tokyo, Japan).

2.3.6. Fabric Specification Tests

Crimp analysis was conducted utilizing a Tautex digital apparatus (James H. Heal Co., Halifax, UK) in compliance with TS 254 ISO 7211-3 [60]. Fabric thickness was assessed using an R&B cloth thickness gauge (James H. Heal Co., Halifax, UK) adhering to TS 7128 EN ISO 5084 [61]. Fabric weight quantification was executed in accordance with TS 251 (ISO 3801) [62].

3. Results and Discussion

3.1. Surface Morphology and Structure

FESEM

The surface morphology observed through the FESEM of various nanocoated para-aramid fabric structures are presented in Figure 4(a1–d3). As illustrated in Figure 4(a1–d3), the neat para-aramid plain fabrics (Figure 4(d1)) coated with n-B4C, MWCNTs, and GNPs reveal a consistent nanoparticle distribution across the surfaces of the multifilaments (Figure 4(a1), Figure 4(b1), Figure 4(c1), respectively). Upon closer inspection of the warp tow, the filament surfaces exhibit complete nanoparticle coverage (Figure 4(a3,b3,c3)) compared to the neat filament surfaces (Figure 4(d2,d3)), and the high-magnification images further confirm a homogeneous dispersion along the filament surface. Notably, a minimal agglomeration of B4C particles as bulk masses, MWCNTs as entangled tubes, and GNPs as dimple-like formations are observed (Figure 4(a4,b4,c4)).
Figure 4. Surface morphology of various nanocoated p-aramid fabric structures. (a1) Nano B4C-coated plain fabric surface (OM, magnification 6.7×). (a2,a3) Nano B4C-coated fabric and filament surfaces (SEM, 35×, 2000×, respectively). (a4) Magnified (SEM, 10,000×) view of nano B4C on the filament surface. (b1) MWCNT-coated fabric surface (OM, 6.7×). (b2,b3) Surface of MWCNT-coated fabric (SEM 35×, 2000×, respectively). (b4) Magnified (SEM, 10,000×) view of MWCNTs on the filament surface. (c1) GNP-coated fabric surface (OM, 6.7×). (c2,c3) GNP-coated fabric surface (SEM, 35×, 2000×, respectively). (c4) Magnified (SEM, 10,000×) view of GNPs on the filament surface. (d1) Control fabric surface (OM, 6.7×). (d2,d3) Control fabric surface (SEM, 35×, 300×, respectively).

3.2. Nanocoated Fabric Pull-Out Properties

3.2.1. Single and Multiple Nanocoated Fabric Pull-Out Force–Displacement Results

Figure 5 shows a general characterization of the pull-out force (N)–displacement (mm) graphs for a nanocoated p-aramid fabric structure considering a n-B4C-coated single-yarn pull-out graph. In addition, Figure 6(a1–c4) shows single-yarn and multiple-yarn (two ends and three ends) consecutive pull-out force (N)–displacement (mm) graphs for all nanocoated p-aramid fabric structures.
Figure 5. General characterization of the pull-out force (N)–displacement (mm) graphs for nanocoated p-aramid fabric structure (single yarn, n-B4C-coated).
Figure 6. Single-yarn and multiple-yarn (2 ends and 3 ends) consecutive pull-out force (N)–displacement (mm) graphs for nanocoated p-aramid fabric structures. (a1,b1,c1) Nanocoated B4C p-aramid fabric (BPO). (a2,b2,c2) MWCNT-coated p-aramid fabric (MPO). (a3,b3,c3) GNP-coated p-aramid fabric. (a4,b4,c4) Control fabric (KPO).
As illustrated in Figure 5, while the single-yarn pull-out graph for the nanocoated fabric closely aligns with that of the control sample, it demonstrates a distinct, slight non-linear escalation approaching the maximum pull-out force within the initial phase, identified as the crimp extension region. This phase arises from the accumulated yarn length attributed to warp-filling interlacement essential for fabric structure formation, and it encompasses the initial frictional region. The second region, designated as the initial interlacement rupture zone, extends to the initial interlacement force and is marked by an initial significant decline following the maximum pull-out force, where the warp initially detaches from the filling. The third region consists of the stick-slip (translation) zone, where the pull-out force follows a cyclic decrease–increase pattern, gradually stabilizing as the warp incrementally detaches from each filling yarn. At the beginning of this region, the cumulative influence of nanoparticles results in irregular and coarse stick-slip intervals. This phenomenon likely contributes to enhanced energy absorption due to frictional interactions. Additionally, the phase succeeding the initial interlacement force, during which the yarn fully disengages from the fabric structure, is designated as the kinetic friction stage [31,32].
As exhibited in Figure 6(a1–a4), the first single-yarn pull-out tests revealed an exceptionally high pull-out force relative to the successive second and third yarns (Figure 6(a1–a4)). The subsequent pull-out tests produced comparable results [1,63,64]. Notably, the nanocoated B4C structure (Figure 6(a1)) displayed significantly elevated values, particularly within the crimp extension region, in contrast to MWCNT- and GNP-coated and control structures (Figure 6(a2–a4)). Moreover, the single-yarn stick-slip zone of the n-B4C-coated structure demonstrated more irregular and widely ranged declining force values in comparison to MPO, GPO, and KPO structures. In addition, the pull-out forces observed in the subsequent second and third yarns for the n-B4C- and MWCNT-coated structures in stage I were significantly higher than those of the GNP-coated and control structures. Their pull-out forces in stick-slip region (stage III) exhibited slightly lower frequency and higher amplitude values compared to the GNP and control structures. This behavior is likely attributed to the delayed response induced by the incorporation of nano-sized boron carbide (B4C) and multiwalled carbon nanotubes (MWCNTs), which can be critical during the energy absorption process in soft fabrics [34]. Consequently, the main contributing factors include the surface roughening induced by nanoparticles, which intensifies filament-to-filament friction within the interlacement zone, alongside the cumulative frictional interactions among the nanoparticles [1,10,24]. This mechanism is expected to play a pivotal role in increasing energy absorption levels, a key attribute for prospective soft ballistic applications [38,42,65].
As exhibited in Figure 6(b1–b4,c1–c4), the first multiple (two ends and three ends)-yarn pull-out tests exhibited remarkably elevated pull-out forces in comparison to the subsequent second and third multiple yarns (Figure 6(b1–b4,c1–c4)). In particular, the nanocoated B4C structure (Figure 6(b1,c1)) exhibited extraordinary high values in the crimp extension region, surpassing those of MWCNT- and GNP-coated and uncoated control structures (Figure 6(b2–b4,c2–c4)). Furthermore, the stick-slip zone of the n-B4C-coated structure displayed more irregular and broad-range declining force values in contrast to the MWCNT and GNP structures. Additionally, the pull-out forces observed in the subsequent second and third multiple yarns for the n-B4C-coated structures were remarkably higher than those recorded for the MWCNT, GNP, and control structures. Despite the reduction in areal fabric density, it is posited that the incorporation of nanomaterials facilitates the entrapment of filament-to-filament stick-slip interactions within localized surface areas, thereby generating an accumulative resistance effect. This phenomenon is deemed critical for maintaining structural integrity to a certain extent under multiple impacts in soft ballistic applications [30,38].
The pull-out forces obtained in multiple-yarn tests demonstrate a pronounced non-linear response in contrast to single yarn. This behavior is a significant phenomenon, particularly in relation to bullet–structure interactions within the domain of soft ballistic applications. For example, the engagement of the projectile with multiple warp-filling yarns, such as in the case of 12 ends, exemplifies this effect [65].

3.2.2. Single and Multiple Nanocoated Fabric Crimp Extension and Pull-Out Force Results

Single and multiple crimp extension and pull-out force values corresponding to the increase in fabric length are provided in Table 3. Figure 7 shows the single and multiple (two yarns and three yarns) crimp extensions and pull-out forces corresponding to the fabric lengths for nanocoated p-aramid fabric structures. The single-yarn crimp extension versus pull-out force data, presented in Table 3 and Figure 7a, indicate that as fabric length increases, yarn crimp extension and pull-out force exhibit an approximately linear increase. The highest pull-out force was observed in the BPO structure, followed sequentially by MPO, KPO, and GPO structures. This phenomenon can be attributed to the presence of B4C at the warp–weft interlacement regions and surfaces of the para-aramid fabric, which enhances yarn-to-yarn friction partly due to its large surface area and their geometries and partly due to the placement between filaments [17,41,42,43]. A comparable pattern was identified in the MPO structure. However, in the GPO structure, it was noted that the GNPs act as a type of lubricant during the pull-out process, reducing fiber-to-fiber friction compared to the KPO structure [33]. This reduction is likely due to the smooth planar surfaces of the plate-like GNPs, which facilitate sliding motion both among themselves and with the fibers during the application of pull-out force. Meanwhile, the highest single-yarn crimp extension was observed in the BPO structure, followed sequentially by MPO, GPO, and KPO structures. This can be attributed to the additional friction exerted by B4C at the warp–weft interlacement regions of the para-aramid fabric, which enhances the crimp extension resistance. Consequently, additional crimp straightening is achieved on the warp yarn until the initial interlacement rupture phase. A similar phenomenon was obtained in the MPO and GPO structures. However, in the KPO structure, the lower crimp extension value is likely due to the smooth surface of the para-aramid fibers, which limits crimp extension to minor yarn-to-yarn slippage within the fabric structure.
Table 3. Single and multiple crimp extensions and pull-out forces corresponding to the fabric lengths.
Figure 7. Single and multiple (two yarns and three yarns) crimp extensions and pull-out forces corresponding to the fabric lengths for nanocoated p-aramid fabric structures. (a) Single-yarn crimp extension pull-out forces. (b) Two-yarn crimp extension pull-out forces. (c) Three-yarn crimp extension pull-out forces.
The two-yarn crimp extension versus pull-out force data, presented in Table 3 and Figure 7b, indicate that as fabric length increases, there is a rapid and significant linear increase in yarn crimp extension and pull-out force. The highest two-yarn pull-out force was observed in the BPO structure, followed sequentially by MPO, KPO, and GPO structures. A similar pattern was observed in the MPO structure. However, the two-yarn pull-out force of the GPO structure was low compared to the KPO. Further, the two yarn pull-out force of BPO was several times higher than that of the KPO, whereas the MPO was almost twice that of the KPO. On the contrary, the highest two-yarn crimp extension was obtained in the BPO structure, followed by MPO, KPO, and GPO structures, respectively. In addition, the two-yarn crimp extension of the BPO structure was over twice greater than the remaining structures. The three-yarn crimp extension versus pull-out force data, presented in Table 3 and Figure 7c, indicate that as fabric length increases, there is a sharp and steep rise in yarn crimp extension and pull-out force. The highest three-yarn pull-out force was observed in the BPO structure, followed by MPO, KPO, and GPO structures, respectively. An almost identical pattern was identified in the MPO structure. However, the three-yarn pull-out force of the GPO structure was low compared to the KPO. Moreover, the three-yarn pull-out force of the BPO was extraordinarily higher than that of the remaining structures. On the contrary, the highest three-yarn crimp extension was obtained in the BPO structure, followed by MPO, GPO, and KPO, respectively. In addition, the three-yarn crimp extension of the BPO structure was approximately twice greater than the other structures.
It has been deduced that prior to the initial interlacement rupture phase (stage I, which encompasses initial friction, crimp extension, and progresses up to the maximum pull-out force), an increase in the number of yarn ends results in a corresponding enhancement in both pull-out force and crimp extension. This increase is further amplified with the incorporation of 0.3% nano-hexagonal boron carbide and multiwall carbon nanotubes into the para-aramid fabric structure. The findings suggest that the pull-out force exhibits a higher-order proportionality with the number of yarn ends, while crimp extension demonstrates a proportional relationship with the crimp ratio—a fundamental structural formation parameter of the fabric—and to a degree, with yarn elongation. Moreover, it is evident that the range of variation in pull-out force and crimp extension should also be evaluated considering the breaking strength and elongation at break of individual yarns. The primary objective here is to enhance frictional interactions within the fabric structure without compromising the integrity of the fibers, thereby enabling an additional energy absorption mechanism. This is particularly significant for soft ballistic applications [65]. In this regard, the type and concentration of nanomaterials, as well as the applied processes and their optimization, hold critical importance.

3.2.3. Single and Multiple Nanocoated Fabric Maximum Pull-Out Force

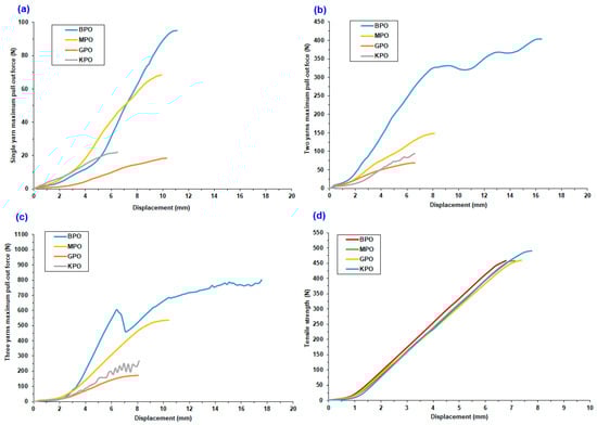
Single and multiple maximum pull-out force–displacement values of nanocoated p-aramid fabric are provided in Table 4. Additionally, Figure 8a–d shows the single and multiple pull-out force–displacement of nanocoated soft structures.
Table 4. Single and multiple max. pull-out force–displacement, initial interlacement rupture force, and intra-yarn shear strength considering single-yarn tensile strength for nanocoated p-aramid fabric structures.
Figure 8. Single- and multiple (two ends and three end)-yarn maximum pull-out force–displacement graph for nanocoated p-aramid fabric structures. (a) Single-yarn maximum pull-out forces. (b) Two-yarn pull-out forces. (c) Three-yarn pull-out forces. (d) Tensile strength of single various nanocoated para-aramid yarns.
The single and multiple pull-out force data provided in Table 4 and Figure 8a–c demonstrate that the single pull-out force of BPO exhibited a remarkable superiority of 38.86% compared to MPO and was over five times and 3.75 times higher than the GPO and KPO structures, respectively. In contrast, the single pull-out force of KPO was observed to be 38.23% greater than that of the GPO (Figure 8a). Moreover, the two-yarn pull-out force of BPO was found to be significantly greater, exceeding those of the MPO, GPO, and KPO structures by factors of 2.73, 5.87, and 4.25, respectively. Conversely, the two-yarn pull-out force of the KPO was 38.16% higher than that of the GPO (Figure 8b). Furthermore, the three-yarn pull-out force of the BPO was exceptionally higher, surpassing the MPO, GPO, and KPO structures by 51.90%, 465%, and 300%, respectively. Notably, the three-yarn pull-out force of the KPO was 55.38% greater than that of the GPO (Figure 8c).
The incorporation of B4C and MWCNTs likely facilitated their enhanced penetration between the warp and weft tows, resulting in the formation of rougher filament surfaces [43]. This enhanced surface topology is hypothesized to increase friction-based interactions between filaments, as well as between nanoparticles and filament–nano interfaces. Consequently, these materials exhibited higher maximum pull-out forces due to their resistance to tensile forces prior to the initial interlacement rupture phase. This mechanism is particularly significant in contributing to energy dissipation in soft ballistic applications. In contrast, the addition of GNPs was observed to reduce the maximum pull-out force of the soft fabric structure, attributed to a lubricative effect. This phenomenon is interpreted as arising from potential sliding interactions between the smooth nanoplatelet surfaces and at the filament–nano interfaces [66].
On the other hand, the tensile strength of single nanocoated para-aramid yarns for the KPO exhibited a modest increase of 7.15%, 7.99%, and 6.73% compared to the BPO, MPO, and GPO, respectively. Furthermore, the tensile curves of MWCNT- and GNP-coated para-aramid yarns overlapped significantly, while the B4C-coated yarns demonstrated slightly stiffer behavior, as illustrated in Figure 8d. The observed minor reduction in the tensile strength of nanocoated yarns may be attributed to the combined effects of the harsh processing conditions involving elevated temperature and pressure, as well as the partial penetration of nanoparticles into the inter-filament spaces, leading to a degree of entanglement with the filaments.

3.2.4. Single and Multiple Nanocoated Fabric Intra-Yarn Shear Strength Results

Single- and multiple-yarn intra-yarn shear strength values of nanocoated p-aramid fabric are provided in Table 4. Additionally, Figure 9 shows the single and multiple intra-yarn shear strengths of various nanocoated p-aramid fabric structures.
Figure 9. Single- and multiple (two ends and three ends)-yarn intra-yarn shear strengths for various nanocoated p-aramid fabric structures.
As seen in Table 4 and Figure 9, the single and multiple intra-yarn shear strength of nanocoated p-aramid fabric varies from 0.020 MPa to 0.287 MPa. The single intra-yarn shear strength of the BPO exhibited a notable increase of 34.67% compared to the MPO and was five times and 3.60 times higher than the GPO and KPO structures, respectively. In contrast, the single-yarn intra-yarn shear strength of the GPO was observed to be 28.57% lower than that of the KPO. Furthermore, the two-yarn intra-yarn shear strength of the BPO was found to be significantly greater, exceeding those of the MPO, GPO, and KPO structures by factors of 2.66, 5.83, and 4.15, respectively. Conversely, the two-yarn pull-out force of the GPO was 28.85% lower than that of the KPO. Additionally, the three-yarn intra-yarn shear strength of the BPO was exceptionally higher, surpassing the MPO, GPO, and KPO structures by 48.71%, 463%, and 293% times, respectively. On the other hand, the three-yarn intra-yarn shear strength of the GPO was 36.73% lower than that of the KPO. Additionally, the three-yarn intra-yarn shear strength of the BPO was 2.84 times superior compared to its single-yarn intra-yarn shear strength.
Considering the stage I pull-out phenomenon, single and multiple intra-yarn shear strengths are enhanced due to the incorporation of nano B4C and MWCNTs. This is attributed to the interaction between nanoparticles and the fabric structure’s interlacement regions, as well as filament surfaces, which leads to an increase in friction-based shear resistance between the yarns [67]. Conversely, the addition of nano-graphene platelets, as explained in the pull-out mechanism, induces shear failures at the platelet–platelet and filament–platelet interfaces, likely due to their smooth nano surfaces, resulting in a reduction in intra-yarn shear strength [66].
It is important to note that key parameters affecting intra-yarn shear strength include fabric directional density [29], interlacement pattern [29], fabric dimensions [65], and directional yarn linear densities [32]. More significantly, in line with the objectives of the study, the effects of various nano-additives and yarn ends on the local intra-yarn shear strength, particularly on the pull-out force applied to the warp and the angular strength in the warp-filling interlacement regions, were analyzed through the collection of data and subsequent evaluation.

3.2.5. Single and Multiple Nanocoated Fabric Pull-Out Energy Results

Figure 10 depicts the representative energy stages from the pull-out displacement graph of the nano B4C-coated p-aramid fabric. Single and multiple pull-out energy results including the crimp extension energy, initial interlacement rupture energy, and stick-slip energy of various nanocoated p-aramid fabric structures computed by using Python language reference version 3.1.2.4 (The Python Software Foundation, Amsterdam, The Netherland) are presented in Figure 11.
Figure 10. Determination of the representative energy stages from the pull-out displacement graph of the nano B4C-coated p-aramid fabric.
Figure 11. Single and multiple (two yarns and three yarns) pull-out energy results of nanocoated p-aramid fabric structures. (a) Single-yarn pull-out energy. (b) Two-end pull-out energy. (c) Three-end pull-out energy.
As demonstrated in Figure 10, the pull-out displacement mechanism can be categorized into three distinct energy regions, namely crimp extension energy (stage I), initial interlacement rupture energy (stage II), and stick-slip energy (stage III).
Stage I corresponds to the crimp-straightening region (OABO), where the energy required to extract the yarn from the fabric structure is primarily absorbed through the process of crimp removal. This mechanism serves as a critical energy absorption pathway, particularly in areas of warp–weft intersections, where it generates localized pressure. This pressure is further explained by the following relationship (Equation (3)), leading to enhanced contraction effects on the warp and weft yarns [68,69]:
T w = T f c f / c w
where Tw is the warp tension (N), Tf is the filling tension (N), cf is the crimp ratio of filling (%) and cw is the crimp ratio of warp (%). Stage II (Region ACDB) occurs immediately after the peak pull-out force is reached. This phase, referred to as initial interlacement rupture energy, is characterized by the initial disintegration of warp/weft interlacements. Instantaneous energy absorption during this stage has been observed [63].
Stage III (Region CEFD) involves the progressive disintegration of warp and weft intersections at each crossing point. In this phase, yarn surfaces interact predominantly through friction. As the pull-out displacement increases, the associated forces gradually diminish, defining the stick-slip energy region. The cumulative effects of adjacent yarns within the fabric structure amplify the complexity of the phenomena occurring at each intersection.
As illustrated in Figure 11, the contribution of crimp extension energy, initial interlacement rupture energy, and stick-slip energy to the total energy absorption in single-yarn pull-out tests was determined as follows: for the KPO, the respective contributions were 6.61%, 3.94%, and 89.40%. In the case of the BPO, these values were 6.26%, 3.10%, and 90.64%, respectively. For the MPO, the contributions were recorded as 8.67%, 5.47%, and 85.86%, while for the GPO, they were identified as 8.21%, 3.36%, and 88.43%, respectively.
In the context of two-yarn pull-out tests of all nanocoated soft fabric structures, the contribution of crimp energy to the total energy absorption was observed to range between 6.05% and 11.57%, while the contribution of initial interlacement rupture energy was within the range of 4.42% to 5.43%. Stick-slip energy exhibited a dominant contribution, ranging from 83.00% to 89.16%. Conversely, for three-yarn pull-out tests, crimp energy contributed between 7.59% and 26.36% to the total energy absorption, whereas the initial interlacement rupture energy contribution ranged from 0.97% to 4.79%. Stick-slip energy contributions were found to vary between 72.34% and 91.01%.
As exhibited in Figure 11, the single-yarn total pull-out energy of the BPO exhibited a notable increase of 76.37% compared to the MPO and was 6.32 times and 4.52 times higher than the GPO and KPO structures, respectively. In contrast, the single-yarn total pull-out energy of the GPO was observed to be 28.39% lower than that of the KPO. Furthermore, the two-yarn total pull-out energy of the BPO was found to be significantly greater, exceeding those of the MPO, GPO, and KPO structures by factors of 4.02, 11.98, and 7.92, respectively. Conversely, the two-yarn total pull-out energy of the GPO was 33.94% lower than that of the KPO.
Moreover, the three-yarn total pull-out energy of the MPO structure exhibited a remarkable enhancement, exceeding that of the GPO and KPO configurations by factors of 5.03 and 3.17, respectively. Conversely, the three-yarn total pull-out energy of the GPO structure was observed to be 37.09% lower compared to that of the KPO structure.
The three-yarn total pull-out energy for the BPO structure was excluded from analysis due to premature yarn breakages during the pull-out tests, attributed to the generation of significantly high resistive frictional forces. Nonetheless, the three-yarn total pull-out energy of the BPO structure remained several times higher than that of both the GPO and KPO structures. In conclusion, the highest energy absorption regions in the single-yarn and multiple-yarn pull-out energy of nanocoated fabric structures were identified, in descending order, as stick-slip energy (stage III), crimp extension energy (stage I), and initial interlacement rupture energy (stage II). The contributions of B4C and MWCNTs demonstrated enhancements across all these regions.
An additional noteworthy observation is the enhancement of crimp extension energy absorption through nano-reinforcement. Interestingly, the improvement in the energy absorption capacity of yarns within the fabric structure, without disintegration, is considered significant at this stage. For instance, the crimp extension energies of B4C-reinforced fabrics, compared to the control fabric, were higher by factors of 4.28, 15.14, and 9.86 for single, two-yarn, and three-yarn configurations, respectively. These findings suggest a potential performance enhancement for prospective soft ballistic applications.

4. Conclusions

Single and multiple pull-out properties of nano-processed para-aramid fabric structure were investigated. It was determined that filament surfaces in para-aramid fabric exhibit almost complete homogeneous nanoparticle (nh-B4C, MWCNTs, GNPs, 0.3%) coverage where the proposed coating process is effective.
The first single-yarn pull-out tests revealed an exceptionally high pull-out force relative to the successive second and third yarns. The main contributing factors include the surface roughening induced by nanoparticles, which intensifies filament-to-filament friction within the interlacement zone, alongside the cumulative frictional interactions among the nanoparticles. The highest pull-out force was observed in the BPO structure, followed sequentially by the MPO, KPO, and GPO structures. This phenomenon can be attributed to the presence of B4C and MWCNTs at the warp–weft interlacement regions and surfaces of the para-aramid fabric, which enhances yarn-to-yarn friction partly due to its large surface area and their geometries and partly due to the placement between filaments. It has been deducted that prior to the initial interlacement rupture phase, an increase in the number of yarn ends results in a corresponding enhancement in both pull-out force and crimp extension. This increase is further amplified with the incorporation of 0.3% nano-hexagonal boron carbide and multiwall carbon nanotubes into the para-aramid fabric structure.
Single and multiple intra-yarn shear strengths are enhanced due to the incorporation of nano B4C and MWCNTs. This is attributed to the interaction between nanoparticles and the fabric structure’s interlacement regions, as well as filament surfaces, which leads to an increase in friction-based shear resistance between the yarns.
The highest energy absorption regions in the single-yarn and multiple-yarn pull-out energy of nanocoated fabric structures were identified, in descending order, as stick-slip energy (stage III), crimp extension energy (stage I), and initial interlacement rupture energy (stage II). The contributions of B4C and MWCNTs demonstrated enhancements across all these regions. An additional noteworthy observation is the enhancement of crimp extension energy absorption through nano-reinforcement. Notably, the improvement in the energy absorption capacity of yarns within the fabric structure, without disintegration, is considered significant at this stage. These findings suggest a potential performance enhancement for prospective soft ballistic applications.

Author Contributions

Conceptualization, K.B.; methodology, K.B. and N.E.B.; software, N.E.B. and G.E.; validation, N.E.B. and K.B.; formal analysis, N.E.B. and G.E.; investigation, N.E.B. and K.B.; resources, N.E.B., G.E. and K.B.; data curation, N.E.B., G.E. and K.B.; writing—original draft preparation, K.B. and N.E.B.; writing—review and editing, K.B.; visualization, N.E.B., K.B. and G.E.; supervision, K.B.; project administration, K.B.; funding acquisition, EUBAP. All authors have read and agreed to the published version of the manuscript.

Funding

This research received a grant from Erciyes University Scientific Research Unit (EUBAP) under contract number FDK-2023-13113.

Data Availability Statement

All data generated or analyzed during this study are included in this published article.

Acknowledgments

The authors would like to acknowledge the assistance of Mahmut Korkmaz from Kayseri University for conducting pull-out and tensile strength tests. Additionally, the authors are indebted to Bekir Yıldırım of the Department of Textile Engineering for his expertise in Python-based numerical computation methods.

Conflicts of Interest

The authors declared no potential conflicts of interest with respect to the research, authorship, and/or publication of this article.

References

  1. Yi, Z.; Muhammad, A.; Gong, X.; Yang, D. An overview of yarn pull-out behavior of woven fabrics. Text. Res. J. 2019, 89, 223–234. [Google Scholar] [CrossRef]
  2. Bilisik, K. Two dimensional (2D) fabrics and three dimensional (3D) preforms for ballistic and stabbing protection: A review. Text. Res. J. 2017, 87, 2275–2304. [Google Scholar] [CrossRef]
  3. Calvin, R.; Baker, L.; Archer, E.; McIlhagger, A. Optimization of soft armor: The response of homogenous and hybrid multi-ply para-aramid and ultra-high molecular weight polyethylene fabrics under ballistic impact. Text. Res. J. 2023, 93, 5168–5186. [Google Scholar] [CrossRef]
  4. Sarianna, P.; Vuorinen, J.; Noordermeer, J.W.M.; Sarlin, E. Development in Additive Methods in Aramid Fiber Surface Modification to Increase Fiber-Matrix Adhesion: A Review. Coatings 2020, 10, 556. [Google Scholar] [CrossRef]
  5. Gore, P.M.; Kandasubramanian, B. Functionalized Aramid Fibers and Composites for Protective Applications: A Review. Ind. Eng. Chem. Res. 2018, 57, 16537–16563. [Google Scholar] [CrossRef]
  6. Chen, J.; Zhu, Y.; Ni, Q.; Fu, Y.; Fu, X. Surface modification and characterization of aramid fibers with hybrid coating. Appl. Surf. Sci. 2014, 321, 103–108. [Google Scholar] [CrossRef]
  7. Chu, Y.; Chen, X.; Tian, L. Modifying friction between ultra-high molecular weight polyethylene (UHMWPE) yarns with plasma enhanced chemical vapour deposition (PCVD). Appl. Surf. Sci. 2017, 406, 77–83. [Google Scholar] [CrossRef]
  8. Chen, W.; Qian, X.; He, X.; Liu, Z.; Liu, J. Surface modification of Kevlar by grafting carbon nanotubes. J. Appl. Polym. Sci. 2011, 123, 1983–1990. [Google Scholar] [CrossRef]
  9. Biradar, A.; Arulvel, S.; Kandasamy, J. Significance of ballistic parameters and nanohybridization in the development of textile-based body armor: A review. Int. J. Impact Eng. 2023, 180, 104700. [Google Scholar] [CrossRef]
  10. Mylvaganam, K.; Zhang, L. Ballistic resistance capacity of carbon nanotubes. Nanotechnology 2007, 18, 475701. [Google Scholar] [CrossRef]
  11. Bizao, R.A.; Machado, L.D.; de Sousa, J.M.; Pugno, N.M.; Galvao, D.S. Scale effects on the ballistic penetration of graphene sheets. Sci. Rep. 2018, 8, 6750. [Google Scholar] [CrossRef]
  12. Piyush, G.; Poonam, S.; Karan, G.; Tabrez, K.; Aloufi, M.A. Comprehensive Review of Graphene-Based Nanomaterials for Ballistic and Impact Resistance in Defence Applications. Heliyon 2024, 53, 1–58. Available online: https://ssrn.com/abstract=4681898 (accessed on 20 January 2025).
  13. Li, Z.; Cheng, S.; Zhang, H.; Yang, W.; Yi, Z.; Yi, Y.; Wang, J.; Ahmad, S.; Raza, R. Ultrathin broadband terahertz metamaterial based on single-layer nested patterned graphene. Phys. Lett. A 2025, 534, 130262. [Google Scholar] [CrossRef]
  14. Jiang, B.Q.; Hou, Y.G.; Wu, J.X.; Ma, Y.X.; Gan, X.T.; Zhao, J. In-fiber photoelectric device based on graphene-coated tilted fiber grating. Opto-Electron. Sci. 2023, 2, 230012. [Google Scholar] [CrossRef]
  15. Gallo, L.S.; Boas, M.O.C.V.; Rodrigues, A.C.M.; Melo, F.C.L.; Zanotto, E.D.Z. Reviewe article: Transparent glass–ceramics for ballistic protection: Materials and challenges. J. Mater. Res. Technol. 2019, 8, 3357–3372. [Google Scholar] [CrossRef]
  16. Domnich, V.; Reynaud, S.; Haber, R.A.; Chhowalla, M. Boron Carbide: Structure, Properties, and Stability under Stress. J. Am. Ceram. Soc. 2011, 94, 3605–3628. [Google Scholar] [CrossRef]
  17. Suri, A.K.; Subramanian, C.; Sonber, J.K.; Murthy, T.S.R.C. Synthesis and Consolidation of Boron Carbide: A Review. Int. Mater. Rev. 2010, 55, 4–40. [Google Scholar] [CrossRef]
  18. Thevenot, F. Boron carbide—A comprehensive review. J. Eur. Ceram. 1990, 6, 205–225. [Google Scholar] [CrossRef]
  19. Bajya, M.; Majumdar, A.; Butola, B.S. A review on current status and development possibilities of soft armour panel assembly. J. Mater. Sci. 2023, 58, 14997–15020. [Google Scholar] [CrossRef]
  20. Mawkhlieng, U.; Majumdar, A.; Laha, A. A review of fibrous materials for soft body armour applications. RSC Adv. 2020, 10, 1066. [Google Scholar] [CrossRef]
  21. Reneker, D.H.; Chun, I. Nanometre diameter fibres of polymer, produced by electrospinning. Nanotechnology 1996, 7, 216. [Google Scholar] [CrossRef]
  22. Al-Saleh, M.H.; Sundararaj, U. Review of the mechanical properties of carbon nanofiber/polymer composites. Compos.-A Appl. Sci. Manuf. 2011, 42, 2126–2142. [Google Scholar] [CrossRef]
  23. Zhang, X.; Wang, A.; Zhou, X.; Chen, F.; Fu, Q. Fabrication of aramid nanofiber-wrapped graphene fibers by coaxial spinning. Carbon 2020, 165, 340–348. [Google Scholar] [CrossRef]
  24. Cheeseman, B.A.; Bogetti, T.A. Ballistic impact into fabric and compliant composite laminates. Compos. Struct. 2003, 61, 161–173. [Google Scholar] [CrossRef]
  25. Wu, S.-Y.; Sikdar, P.; Bhat, G.S. Recent progress in developing ballistic and anti-impact materials: Nanotechnology and main approaches. Def. Technol. 2023, 21, 33–61. [Google Scholar] [CrossRef]
  26. Junare, N.; Vakil, M.; Rajpurohit, A.; Ahuja, P.; Joshi, A. 3 dimensional fabrics for ballistic impact response: A Critical Evalution. Int. J. Interact. Des. Manuf. 2024, 18, 1865–1877. [Google Scholar] [CrossRef]
  27. Tran, P.; Ngo, T.; Yang, E.C.; Mendis, P.; Humphries, W. Effects of architecture on ballistic resistance of textile fabrics: Numerical study. Int. J. Damage Mech. 2014, 23, 359–376. [Google Scholar] [CrossRef]
  28. Barhoumi, H.; Bhouri, N.; Feki, I.; Baffoun, A.; Hamdaoui, M.; Abdesslem, S.B. Review of ballistic protection materials: Propeties and performances. J. Reinf. Plast. Comp. 2023, 42, 685–699. [Google Scholar] [CrossRef]
  29. Kırkwood, K.M.; Kırkwood, J.E.; Lee, Y.S.; Ronald, G.; Egres, J.R. Yarn pull-out as a mechanism for dissipating impact energy in Kevlar KM-2 fabric Part I: Quasi-static characterization of yarn pull-out. Text. Res. J. 2004, 74, 920–928. [Google Scholar] [CrossRef]
  30. Kırkwood, J.E.; Kırkwood, K.M.; Lee, Y.S.; Ronald, G.; Egres, J.R.; Wagner, J.N. Yarn pull-out as a mechanism for dissipating impact energy in Kevlar KM-2 fabric Part II: Predicting ballistic performance. Text. Res. J. 2004, 74, 920–928. [Google Scholar] [CrossRef]
  31. Bilisik, K. Properties of yarn pull-out in para-aramid fabric structure and analysis by statistical model. Compos.-A Appl. Sci. Manuf. 2011, 42, 1930–1942. [Google Scholar] [CrossRef]
  32. Dong, Z.; Sun, C.T. Testing and modeling of yarn pull-out in plain Kevlar fabrics. Compos. Part A Appl. Sci. Manuf. 2009, 40, 1863–1869. [Google Scholar] [CrossRef]
  33. Bazhenov, S. Dissipation of energy by bulletproof aramid fabric. J. Mater. Sc. 1997, 32, 4167–4173. [Google Scholar] [CrossRef]
  34. Bilisik, K. Stick-Slip Behavior of Para-Aramid (Twaron®) Fabric in Yarn Pull-Out. Text. Res. J. 2013, 83, 13–33. [Google Scholar] [CrossRef]
  35. Thomasa, F.D.; Roarka, J.; Moy, P.; Sockalingam, S.; O’Brien, D.J.; Weerasooriya, T. Experiments and simulations for dynamic yarn pull-out response of Kevlar® fabrics. Compos. A Appl. Sci. Manuf. 2024, 181, 108147. [Google Scholar] [CrossRef]
  36. Cornelissen, B.; Rietman, B.; Akkerman, R. Frictional behaviour of high performance fibrous tows: Friction experiments. Compos. A Appl. Sci. Manuf. 2013, 44, 95–104. [Google Scholar] [CrossRef]
  37. Pan, N.; Kovar, R.; Dolatabadi, M.K.; Wang, P.; Zhang, D.; Sun, Y.; Chen, L. Origin of tensile strength of a woven sample cut in bias directions. R. Soc. Open Sci. 2015, 2, 140499. [Google Scholar] [CrossRef] [PubMed][Green Version]
  38. Duan, Y.; Kefe, M.; Bogetti, T.A.; Cheeseman, B.A.; Powers, B. A numerical investigation of the influence of friction on energ absorption by a high-strength fabric subjected to ballistic impact. Int. J. Impact Eng. 2006, 32, 1299–1312. [Google Scholar] [CrossRef]
  39. Li, D.; Wang, R.; Guan, F.; Zhu, Y.; You, F. Enhancement of the quasi-static stab resistance of Kevlar fabrics impregnated with shear thickening fluid. J. Mater. Res. Technol. 2022, 18, 3673–3683. [Google Scholar] [CrossRef]
  40. Boisse, P.; Hamila, N.; Guzman-Maldonado, E.; Madeo, A.; Hivet, G.; Dell’ısola, F. The bias-extension test for the analysis of in-plane shear properties of textile composite reinforcements and prepregs: A review. Int. J. Mater. 2017, 10, 473–492. [Google Scholar] [CrossRef]
  41. Bai, R.; Ma, Y.; Lei, Z.; Feng, Y.; Liu, C. Energy analysis of fabric impregnated by shear thickening fluid in yarn pullout test. Compos. B Eng. 2019, 174, 10690. [Google Scholar] [CrossRef]
  42. Gürgen, S.; Majumdar, A. Tuning the Frictional Properties of Carbon Fabrics Using Boron Carbide Particles. Fibers Polym. 2019, 20, 725–731. [Google Scholar] [CrossRef]
  43. Gowthaman, S.; Srinu, B.; Balaganesan, G. Effects of ZnO nanowire and silica coatings on the inter-yarn friction and ballistic properties of Kevlar fabrics. Int. J. Impact Eng. 2023, 178, 104637. [Google Scholar] [CrossRef]
  44. Fan, J.; Shi, Z.; Zhang, L.; Wang, J.; Yin, J. Aramid nanofiber-functionalized graphene nanosheets for polymer reinforcement. Nanoscale 2012, 4, 7046–7055. [Google Scholar] [CrossRef]
  45. Lin, J.; Bang, S.H.; Malakooti, M.H.; Sodano, H.A. Isolation of Aramid Nanofibers for High Strength and Toughness Polymer Nanocomposites. ACS Appl. 2017, 9, 11167–11175. [Google Scholar] [CrossRef] [PubMed]
  46. Ahmad, Z.; Al-Sagheer, F.; Shiju, J. Aramid-multiwalled carbon nanotube nanocomposites: Effect of compatibilization through oligomer wrapping of the nanotubes. Polym. Int. 2016, 65, 1204–1213. [Google Scholar] [CrossRef]
  47. Tan, V.B.C.; Shim, V.P.W.; Zeng, S.X. Modeling crimp in woven fabrics subjected to ballistic impact. Int. J Imp. Eng. 2005, 32, 561–574. [Google Scholar] [CrossRef]
  48. Bai, R.; Ma, Y.; Lei, Z.; Feng, Y.; Zou, J.; Liu, D. Shear deformation and energy absorption analysis of flexible fabric in yarn pullout test. Compos. Part A Appl. Sci. 2020, 128, 105678. [Google Scholar] [CrossRef]
  49. Raoa, M.P.; Duan, Y.; Keefe, M.; Powers, B.M.; Bogetti, T.A. Modeling the effects of yarn material properties and friction on the ballistic impact of a plain-weave fabric. Compos. Struct. 2009, 89, 556–566. [Google Scholar] [CrossRef]
  50. López-Gálvez, H.; Rodriguez-Millán, M.; Feito, N.; Miguelez, H. A method for inter-yarn friction coefficient calculation for plain weave of aramid fibers. Mech. Res. Commun. 2016, 74, 52–56. [Google Scholar] [CrossRef]
  51. Nanografi Inc., Ankara, Turkey. Available online: https://nanografi.com/nanoparticles/boron-carbide-b4c-nanopowder-nanoparticles-purity-99-5-size-40-60-nm-hexagonal/ (accessed on 11 July 2024).
  52. Nanothinx Inc. Institute of Chemical Engineering and High Temperature Chemical Processes (ICE-HT) in Patras, Greece. Available online: http://www.nanothinx.com/raw-cnts-in-powder-form/ (accessed on 10 January 2024).
  53. Lehman, J.H.; Terrones, M.; Mansfield, E.; Hurst, K.E.; Meunier, V. Evaluating the characteristics of multiwall carbon nanotubes: Review. Carbon 2011, 49, 2581–2602. [Google Scholar] [CrossRef]
  54. Bhattacharya, M. Polymer nanocomposites-A comparison between carbon nanotubes, graphene, and clay as nanofillers. Materials 2016, 9, 262. [Google Scholar] [CrossRef]
  55. Hearle, J.W.S. High Performance Fibers; Woodhead Publishing Limited and CRC Press LLC: Cambridge, UK, 2001; p. 69. ISBN 9781855735392. [Google Scholar]
  56. US Research Nanomaterials, Inc. Available online: https://www.us-nano.com/inc/sdetail/479 (accessed on 11 August 2024).
  57. TS EN ISO 2062; Textiles-Yarns Form Packages-Determination of Single-End Breaking Force and Elongation at Break. Turkish Standards Institution: Ankara, Turkey, 2010.
  58. Microsoft Corporation. Microsoft Excel (Version 2016) [Computer software]. 2016. Available online: https://office.microsoft.com/excel (accessed on 22 January 2025).
  59. Python Software Foundation. Python Language Reference, Version 3.12.4. Available online: http://www.python.org (accessed on 15 July 2024).
  60. TS 254 ISO 7211-3; Textiles-Woven Fabrics-Construction-Methods of the Determination of Shrinkage of Yarns from Woven Fabrics. Turkish Standards Institution: Ankara, Turkey, 1989.
  61. TS 7128 EN ISO 5084; Textiles-Determination of Thickness of Textiles and Textile Products. Turkish Standards Institution: Ankara, Turkey, 1998.
  62. TS 251 (ISO 3801); Determination of Mass Per Unit Length and Mass Per Unit Area of Woven Fabrics. Turkish Standards Institution: Ankara, Turkey, 1991.
  63. Bilisik, K.; Korkmaz, M. Single and multiple yarn pull-outs on aramid woven fabric structures. Text. Res. J. 2021, 81, 847–864. [Google Scholar] [CrossRef]
  64. Nilakantan, G.; Gillespie, J.W., Jr. Yarn pull-out behaviour of plain woven Kevlar fabrics: Effect of yarn sizing, pullout rate, and fabric pre-tension. Compos. Struct. 2013, 101, 215–224. [Google Scholar] [CrossRef]
  65. Bilisik, K.; Korkmaz, M. Multilayered and multidirectional stitched aramid woven fabric structures: Experimental characterization of ballistic performance by considering yarn pull–out test. Tex. Res. J. 2010, 80, 697–1720. [Google Scholar] [CrossRef]
  66. Chandrasekaran, S.; Sato, N.; Tölle, F.; Mülhaupt, R.; Fiedler, B.; Schulte, K. Fracture toughness and failure mechanism of graphene based epoxy composites. Compos. Sci. Technol. 2014, 97, 90–99. [Google Scholar] [CrossRef]
  67. Bilisik, K. Experimental determination of fabric shear by yarn pull-out method. Text. Res. J. 2012, 82, 1050–1064. [Google Scholar] [CrossRef]
  68. Hearle, J.W.S.; Grosberg, P.; Backer, S. Structural Mechanics of Fibres, Yarn and Fabrics; Wiley Interscience: New York, NY, USA, 1969; pp. 1–469. ISBN 0471366692. [Google Scholar]
  69. Lord, P.R.; Mohamed, M.H. Weaving: Conversion of Yarn to Fabric; Merrow Publishing Company: Durham, UK, 1992; p. 134. ISBN 0900541784. [Google Scholar]
Disclaimer/Publisher’s Note: The statements, opinions and data contained in all publications are solely those of the individual author(s) and contributor(s) and not of MDPI and/or the editor(s). MDPI and/or the editor(s) disclaim responsibility for any injury to people or property resulting from any ideas, methods, instructions or products referred to in the content.

Article Metrics

Citations

Article Access Statistics

Multiple requests from the same IP address are counted as one view.