Next Article in Journal
EUR Prediction for Shale Gas Wells Based on the ROA-CatBoost-AM Model
Next Article in Special Issue
Model Updating of Bridges Using Measured Influence Lines
Previous Article in Journal
The Sensitivity Analysis of Parameters in the 1D–2D Coupled Model for Urban Flooding
Previous Article in Special Issue
Influence of Boundary Conditions on the Three-Dimensional Temperature Field of a Box Girder in the Natural Environment: A Case Study
 
 
Font Type:
Arial Georgia Verdana
Font Size:
Aa Aa Aa
Line Spacing:
Column Width:
Background:
Article

Inverse Analysis of Thermal Parameters of Arch Dam Concrete Based on Walrus Optimization Algorithm

1
Changjiang Survey Planning Design and Research Co., Ltd., Wuhan 430010, China
2
State Key Laboratory of Water Resources Engineering and Management, Wuhan 430072, China
3
National Dam Safety Research Center, Wuhan 430010, China
4
College of Hydraulic & Environmental Engineering, China Three Gorges University, Yichang 443002, China
5
College of Natural Resources and Environment, Northwest A&F University, Yangling 712100, China
*
Author to whom correspondence should be addressed.
Appl. Sci. 2025, 15(4), 2155; https://doi.org/10.3390/app15042155
Submission received: 12 January 2025 / Revised: 11 February 2025 / Accepted: 13 February 2025 / Published: 18 February 2025

Abstract

In the simulation of concrete thermal stress fields, thermal parameters are crucial for calculating the concrete temperature field. In actual construction, due to the adjustment of the concrete mixing ratio and the changing external environment (temperature fluctuations, cooling conditions, solar radiation, thermal insulation measures, etc.), there are significant differences between the thermal parameters obtained in tests and the actual working conditions, which affect the simulation accuracy. Therefore, the inverse analysis of concrete thermal parameters under real working conditions can be carried out based on the measured temperature data. A method for inverse analysis of thermal parameters of arch dams using the walrus optimization algorithm (WaOA) is proposed. To verify the accuracy of the inversion parameters, twelve classical test functions are used to compare the three algorithms to evaluate their fitness. The efficiency difference is analyzed by nonparametric methods such as Fredman and Wilcoxon rank sum test. The results consistently indicate that the walrus optimization algorithm performs better. Furthermore, the WaOA is utilized for the parameter inversion of an arch dam in the downstream area of the Jinsha River. We bring the inversion results into different dam sections to calculate the temperature field during construction, which effectively verifies the efficient solution ability of the WaOA for the inverse analysis of concrete thermal parameters under complex engineering backgrounds.

1. Introduction

During the construction phase of the concrete arch dam, because of the superposition effect of the hydration heat release of the concrete itself and the external environment temperature, the temperature inside the dam will rise sharply. Then, a significant temperature gradient will be formed inside the dam body, accompanied by a large temperature stress. When the thermal stress exceeds the limit of the tensile strength of the concrete, it may induce temperature cracking [1,2,3] and affect the quality of pouring blocks. To predict real-time and accurate monitoring of arch dam temperature behavior information, it is insufficient to collect data only by current instruments. Therefore, it is necessary to introduce the simulation technology to forecast the forthcoming evolutionary tendency of the dam’s temperature, building an accurate concrete temperature field model, and then analyze the stress state of the dam [4,5,6]. The simulation of the temperature field and stress field is affected by many factors. The most important are the characteristic parameters of construction materials. The thermal conductivity coefficient, temperature rise coefficient, surface heat transfer coefficient, and adiabatic temperature rise of different structures are different. The actual thermodynamic parameters of the same concrete structure are different due to different environmental conditions [7,8,9,10] (including temperature, humidity, wind speed, etc.). The choice of traditional thermal parameters is often faced with the challenges of high cost and difficulty in accurately fitting the onsite construction conditions. It is difficult to ensure the accuracy of simulation calculation. Therefore, by using the field measured data to carry out parameter inversion analysis, we can obtain more accurate thermal parameter values. It can also improve the accuracy of the simulation calculation model of the concrete thermal stress field.
Parameter inverse analysis is a problem that requires searching through a large space of multiparameter combinations. Usually, the problem of parameter inversion analysis is converted into an optimization issue. The objective function is minimized by multiple iterations [11]. However, some traditional optimization methods often have problems such as locally optimal solution, being time-consuming, and having low accuracy for complex numerical models [12]. Therefore, searching for efficient optimization algorithms has become a popular topic. In recent years, the inversion of thermal parameters for dams has captured the interest of numerous scholars and has been thoroughly investigated. Pei et al. [10] utilized an enhanced genetic algorithm to conduct the inversion of the thermal parameters of concrete arch dams. Han et al. [13] set up a thermal model for concrete by taking the degree of hydration into account, and inversed the specific heat and thermal conductivity of fly-ash concrete by BP neural network. Zhao et al. [14] developed an inversion program relying on the particle swarm optimization algorithm (PSO) to invert the thermal resistance parameters of early cement paste. Shi et al. [15] used a genetic algorithm to inverse the thermal parameters, and used the inversed parameters to predict the temperature change of concrete within 300 days. According to the temperature data that were monitored by the DTS system, Su et al. [16] inverted the thermal diffusion coefficient and surface heat transfer coefficient of concrete, and inserted the results into the finite element model to conduct the calculation. It turned out that the simulation outcomes were highly consistent with the calculation results.
As a population-based optimization strategy, with the utilization of random operators by meta-heuristic algorithms (MAs), the global search capability is enhanced and the local optimal trap can be effectively avoided. It is straightforward to carry out and features low computational complexity. It is widely used in engineering fields [17]. The walrus optimization algorithm [18] is a new meta-heuristic algorithm proposed by Pavel Trojovský et al. in 2023, which mimics the behavior of walruses when they are feeding, migrating, escaping, and fighting against predators in nature. As a creature with social and natural behaviors, the walrus shows significant spatial displacement characteristics when preying on and avoiding natural enemies. Because of its unique characteristics, the WaOA has higher global search capability and efficiency, and shows excellent optimization performance for most benchmark test functions. Through applying a series of benchmark test functions (including unimodal, multimodal functions, and CEC 2015 and CEC 2017 test function sets), the researchers carried out the test on the performance of the WaOA, and compared it with ten other well-known meta-heuristic algorithms, like the genetic algorithm (GA), particle swarm optimization (PSO), gravitational search algorithm (GSA), etc., fully demonstrating its superior exploration and development capabilities. In addition, the algorithm was also utilized to solve engineering design problems and practical engineering optimization problems in the CEC 2011 test function set. This paper conducts a comparison involving WaOA, the sand cat swarm optimization algorithm (SCSO), the ant lion optimization algorithm (ALO), and the seagull optimization algorithm (SOA), and 12 standard functions are selected for testing. Two nonparametric statistical methods, the Friedman test and the Wilcoxon rank sum test, serve to guarantee the reliability of the evaluation results. The test results show that the WaOA performs well in most benchmark test functions and has the best performance.
Based on the field-measured temperature dataset of C40 concrete of a dam in the downstream area of Jinsha River, this study comprehensively considers the combined impacts of the fluctuation in external environmental temperature and water-cooling effect, and applies the WaOA to the inversion analysis of the thermal parameters of the dam concrete. By formulating specific engineering optimization problems, the performance of the WaOA is evaluated in depth, and it offers a reference for the inversion of thermal parameters of arch dam concrete.

2. Walrus Optimization Algorithm

The walrus optimization algorithm (WaOA) simulates the walrus population behavior to achieve efficient optimization. The core idea is to balance global exploration and local exploration. In the early stage of the algorithm, the global search is enhanced by the leader and the random disturbance factor. The migration strategy maintains the diversity of the population. In the local development stage, the dynamic neighborhood radius adjustment mechanism is used to improve the convergence accuracy. This collaborative mechanism makes the algorithm perform well in complex multipeak problems. With these advantages, the WaOA solves high-dimensional, multiconstraint, and nonlinear problems in the field of mechanical structure optimization. It minimizes the cost under safety constraints in safety-sensitive fields such as pressure vessels. However, the existing research focuses on multifocus structure optimization. In this study, the WaOA is applied to the inversion of thermal parameters of concrete for the first time. By constructing a mapping relationship and using its dynamic neighborhood adjustment mechanism to break through the limitations of traditional algorithms, the optimization is transformed into an objective function solution. It improves the inversion accuracy and provides a new method for parameter optimization of complex engineering systems.

2.1. Initialization of the Algorithm

In the WaOA, every walrus stands for a prospective solution to the optimization problem. The candidate value of the problem variable directly corresponds to its position. Thus, each walrus can be considered as a vector, and the entire walrus population can be mathematically modeled through the population matrix. In the initial phase of the WaOA, the population matrix is randomly generated according to Equation (1).
X = X 1 X i X N N × m = x 1 , 1 x 1 , j x 1 , m x i , 1 x i , j x i , m x N , 1 x N , j x N , m N × m
In the formula, X is a walrus population; X i refers to the i th walrus; X i , j stands for the j th decision variable value recommended by the i th walrus; N and m represent the number of walrus and decision variables, respectively.
Each walrus symbolizes a candidate solution to the problem. The objective function of the problem can be assessed in light of the recommended value for the decision variable. Equation (2) presents the estimated value of the objective function derived from the walrus.
F = F 1 F i F N N × 1 = F ( X 1 ) F ( X i ) F ( X N )
In the formula, F represents the objective function vector; F i represents the objective function value based on the i th walrus calculation.
The objective function value is the core index used to evaluate the candidate solution. The candidate solutions that make the objective function achieve the optimal value are called the optimal members; others are called the worst members. The update of the objective function value in each iteration determines the update of the best and worst members.

2.2. Feeding Strategy

During the feeding phase, the strongest and longest-tusked walrus will guide other members of the population to forage. The length of the walrus tusk bears a resemblance to the quality of the objective function value of the candidate solution, and the candidate solution with the optimal objective function value is deemed the strongest walrus within the group. This search pattern adopted by the walrus scans diverse regions within the search space, thereby augmenting the global search capability of the WaOA. The mathematical model of updated walrus position is shown in Equations (3) and (4).
x i , j P 1 = x i , j + r a n d i , j · ( S W j I i , j · x i , j )
X i = X i P 1 , F i P 1 < F i X i , e l s e
In the formula, X i P 2 represents the new position of the i th walrus on the basis of the first stage; X i , j P 2 is its j th dimension; F i P 1 is its objective function value; r a n d i , j is a random number in the interval [0,1]; S W is the best candidate solution for the strongest walrus; I i , j is an integer randomly selected between 1 and 2. I i , j is used to enhance the probing ability of the algorithm. When I i , j is 2, the position change of the walrus is more significant and the range is wider.

2.3. Migration Strategy

Walruses have a natural behavior of migrating to outcrops or rocky beaches because of the rising temperatures in late summer. The WaOA utilizes this behavior to direct the walrus within the search space and locate the most suitable area. Mathematical modeling of this behavior mechanism is carried out by Equations (5) and (6). The model presumes that each walrus migrates to the location of another walrus (randomly selected) within the search space. A new position is generated on the basis of Equation (5), and then, in accordance with Equation (6), if it enhances the value of the objective function, the prior position of the walrus will be replaced.
x i , j P 2 = x i , j + r a n d i , j · x k , j I i , j · x i , j , F k < F i x i , j + r a n d i , j · x i , j x k , j , e l s e
X i = X i P 2 , F i P 2 < F i X i , e l s e
In the formula, X i P 2 represents the new position of the i th walrus generated on the basis of the second stage; X i , j P 2 is its j th dimension; F i P 2 is its objective function value; X k represents the position of selected walrus to migrate the i th walrus towards it. k 1 , 2 , , N and k i ; x k , j is its j th dimension; F k is its objective function value.

2.4. Avoid Predator Strategy

Simulating the natural behavior of a walrus changing its position to avoid predators effectively improves the local search capability of the WaOA. During the simulation, we set each walrus to have a dynamic neighborhood centered on its current position. At the beginning, with the aim of thoroughly probing the search space, the neighborhood radius is configured to be at its maximum. As the iteration increases, the neighborhood radius is gradually reduced in order to accurately approximate the optimal solution. It improves the local search capability. To realize this process, the concept of local lower/upper limits is introduced in the WaOA to dynamically adjust the neighborhood radius. A neighborhood is set around each walrus, and a new position is randomly generated initially according to Equation (7), and then its field is shrunk according to Equation (8). In cases where the value of the objective function is enhanced, the prior position will be substituted in accordance with Equation (9).
x i , j P 3 = x i , j + l b l o c a l , j t + u b l o c a l , j t r a n d · l b l o c a l , j t
L o c a l b o u n d s : l b l o c a l , j t = l b j t u b l o c a l , j t = u b j t
X i = X i P 3 , F i P 3 < F i X i , e l s e
In the formula, X i P 3 represents the new location of the i th walrus generated on the basis of the third stage; x i , j P 3 is its j th dimension, F i P 3 is its objective function value; t is the number of iterations; l b j t and u b j t are the lower limit and upper limit of the j th variable; l b l o c a l , j t and u b l o c a l , j t are the local lower limit and upper limit of the j th variable.
After the first iteration of the WaOA, the walrus position is updated and the value of the objective function is calculated following a three-stage strategy. Then, iterative optimization following the steps of the WaOA is performed until the number of iterations is appropriate. Finally, the WaOA outputs the optimal candidate solution as the final solution. The flowchart illustrating the execution of the WaOA is presented in Figure 1.

3. Numerical Experiments and Analysis

3.1. Benchmark Function

In the process of developing and improving optimization algorithms, benchmark function testing is highly valued [7]. Twelve benchmark functions are selected for the simulation test, as shown in Table 1. The definition domain limits the search space, and the theoretical values reflect the optimal solutions. F1–F6 are unimodal functions that possess only one global optimal solution, without a local optimum. They are utilized to test the convergence speed and development behavior of the algorithm. F7–F12 are multimodal functions, which possess global optimum as well as several local optimal solutions. The number grows exponentially as the dimension increases, which can be utilized to examine the capability of the algorithm to break away from local optimal and global search capability [8,9]. One of the advantages of the multimodal function is that it has high similarity with the search space of practical problems [4]. Figure 2 displays the diagram of the search space of the WaOA in benchmark functions F7–F12.
The theoretical optimal value of function F8 presents the feature tightly related to its dimension. Meanwhile, it changes along with the change of the dimension. The ideal value of F8 ought to be f min = 418.9872 × dim . When the dimension denotes 30, the optimal value should be −12,569.5 [11].
Regarding the function F12,
y i = 1 + x i + 1 4 , u ( x i , a , k , m ) = k ( x i a ) m x i > a 0 a < x i < a k ( x i a ) m x i < a

3.2. Algorithm Parameter Setting

All algorithm tests are carried out in MATLAB R2022a software. The test setup consists of Windows 11, an AMD Ryzen 7 5800H 3.20 GHz processor, and 16 GB of RAM (MAXSUN, Yichang, China). To guarantee the fairness of the comparison, it is necessary to uniformly set all algorithms to the same variables uniformly. For the specific parameters of various algorithms, we refer to the relevant literature and adopt the parameter values recommended in the standard version of the algorithm. The parameters are configured as presented in Table 2.

3.3. Algorithm Performance Calculation

The meta-heuristic algorithm has the feature of random search. It usually obtains the approximate optimal solution, which may be different from the global optimal solution. The calculation results may be different each time [10]. In order to reduce the randomness bias, we perform twenty independent operations on each test function. The mean and standard deviation of fitness values serve as the metrics for evaluating algorithm performance. The mean value is utilized to verify the convergence rate and solution accuracy of the algorithm, while the standard deviation is employed to reveal the stability. Table 3 shows the test results of four different algorithms after 20 independent repeated experiments.
As shown in Table 3, the WaOA manages to find the optimal results in the majority of test functions. Particularly, on the functions F5, F6, F9, and F11, the theoretical optimal value 0 can be realized. It shows that the WaOA is very competitive among the eight algorithms. However, the optimization accuracy of the WaOA on function F10 is slightly worse than that of the SCSO. This phenomenon can be reasonably explained by the famous No Free Lunch (NFL) theorem; it means there is no universal algorithm that can show optimal performance on all test functions [19]. It emphasizes the close relationship between algorithm performance and problem characteristics.
However, relying on the data in Table 3 solely is not sufficient to fully evaluate the optimization effect of the WaOA on the benchmark function. In order to further understand its performance, the convergence curves on different functions for the WaOA and other algorithms are plotted, as shown in Figure 3.
As can be seen more intuitively from the Figure 3, the WaOA demonstrates excellent convergence speed and accuracy in the majority of test functions, and it can discover the optimal value more rapidly. Via the thorough analysis of the table data and the fitness curve, we can conclude that, among the four algorithms, the WaOA performs best and is capable of achieving better results.

3.4. Nonparametric Tests

Conducting a thorough analysis of the algorithm data is also a crucial part of the conclusion [20]. Nonparametric tests can provide significant results when disparities exist among the algorithms. In this paper, the Friedman test [21,22] is used to rank the algorithms. The top performance is assigned a rank of 1, the second-best one is given a rank of 2, and this ranking method continues accordingly [23]. The results of Friedman’s test calculations for the four algorithms are presented in Table 4.
It can be seen from Table 4 that the WaOA ranks first among the four algorithms, and the Freidman rank is 1.16, which suggests that it has excellent comprehensive performance.
When analyzing the performance of the algorithm, we apply the Wilcoxon rank sum test method and set the significance level p at 0.05. Under this setting, when the p-value is below 0.05, it shows that the WaOA differs significantly from other algorithms. On the contrary, it is not significant [24]. Table 5 lists the p-values of the WaOA in relation to the other three algorithms.
As shown in Table 5, the p-value of the majority of the algorithms is below 0.05 compared to the WaOA, regardless of unimodal or multimodal functions. It indicates that the WaOA has more obvious advantages. In functions F9 and F11, the p-values of the WaOA relative to the SCSO are both 1. According to the fitness curve, although the WaOA has better convergence speed and accuracy than the SCSO on these two functions in the early stage, due to the great global optimization ability of the SCSO, the WaOA cannot perform much better than the SCSO on these two functions with a sufficient number of iterations.
Generally speaking, the WaOA attains an effective equilibrium between global search and local search strategies. Compared with other algorithms, it shows better convergence speed and solution accuracy, reflecting its excellent optimization performance.

4. Basic Principle of Thermal Parameter Inversion

4.1. Parameter Selection

The hydration heat of cement is a vital factor for the variation in internal thermal stress. During the calculation process of the temperature field, the adiabatic temperature rise θ of the concrete is customarily utilized as the principal parameter. Adiabatic temperature rise is the temperature growth that is directly brought about by all the heat released by the adequate hydration process of cementitious materials in concrete when there is no heat loss in the ideal state of completely isolating the external heat exchange [25].
The calculation of adiabatic temperature rise depends on a series of thermal characteristic parameters of concrete. It is often expressed in hyperbolic form, and the expression is as follows:
θ ( τ ) = θ 0 τ n + τ
Within the formula, θ ( τ ) is the adiabatic temperature rise function of concrete; θ 0 is the final adiabatic temperature rise of concrete; τ is the age of concrete; n is the parameter of temperature rise law.
Although the results obtained by the hyperbolic formula demonstrate a high degree of coincidence with the experimental data, the calculation process is relatively complicated. In view of this, Zhu Bofang proposed a straightforward and efficient exponential approach to calculate the adiabatic temperature rise of concrete. The expression is as follows:
θ ( τ ) = θ 0 s ( 1 e m 1 τ ) + θ 0 ( 1 s ) ( 1 e m 2 τ )
The parametric relationship of Equation (12) is as follows:
m 1 = 1.45 n , m 2 = 0.10 m 1
In Equations (12) and (13), m 1 , m 2 represent the hydration heat dissipation coefficient of concrete. As constants without units, they dominate the slope change of the temperature rise curve in the primary stage and the advanced stage during the evolution of the concrete’s temperature. It means that they affect the rate of concrete temperature rise; s is a coefficient related to the concrete material. Most of the s values in the practical application were 0.60.
In this paper, the combined exponential formula that is applicable for operation is adopted as the expression for the adiabatic temperature rise of concrete during the parameter inversion calculation process. The inversion coefficient m 1 is transformed by Equation (13) to obtain the parameter n . The expression of the final result is formulated as a hyperbolic form that can be easily organized.
The chief parameters of thermal performance during the calculation of the temperature field of the concrete are final adiabatic temperature rise θ 0 , temperature rising law parameters n , surface heat transfer coefficient β , thermal conductivity λ , thermal diffusivity α , density of concrete ρ , and specific heat c . It merits attention that the number of inversion parameters has a substantial impact on the accuracy and speed of inversion. The more parameters there are, the more inappropriateness is increased and the lower the accuracy is. Therefore, the inversed thermal parameters should be preferentially selected to be sensitive to external factors and more crucial for the computation of the concrete temperature field.
The concrete density ρ , specific heat c , and thermal diffusivity α vary little with external factors, and more accurate results can be obtained through laboratory tests. Moreover, the thermal conductivity λ can be established based on the formula α = λ / c ρ .
Considering that concrete is a material of poor thermal conduction, the final adiabatic temperature rise is regarded as a thermal parameter that varies considerably after the pouring block is affected by various external factors. In addition, θ 0 is also affected by the variety of concrete cement, the amount of cement, the variety and dosage of mixed materials, etc., and there are differences between the laboratory test environment and the onsite construction conditions, so it is necessary to invert θ 0 . In Equations (12) and (13), the temperature rising law parameter n also exerts a significant influence on temperature calculation. After the completion of pouring, in order to ensure its quality, it is necessary to implement thermal insulation coverage on the surface or adopt a watering spray to maintain appropriate temperature conditions. For the block surface with different thermal insulation measures, we should use the different surface heat transfer coefficient β to simulate, and β needs to be inverted.
In summary, we select the final adiabatic temperature rise θ 0 , surface heat transfer coefficient β , and temperature rising law parameter n as the inversion parameters.

4.2. Calculation of Concrete Temperature

Setting cooling water pipes inside mass concrete is one of the most significant measures for controlling its temperature. A large amount of hydration heat generated inside the concrete is taken away by cooling water [5]. In an average sense, Zhu Bofang regarded the cooling water pipe as a negative heat source and proposed the equivalent heat conduction equation. The expression is as follows [26,27]:
T t = T ω i + T i T ω i ϕ i t + θ 0 ψ i t
ϕ i ( t ) = e p i t
ψ i ( t ) = s m 1 m 1 p i e p i m 1 t i e m 1 ( t + t i ) + ( 1 s ) m 2 m 2 p i e p i m 2 t i e m 2 ( t + t i )
In Equations (14)–(16), T t is the average temperature of concrete; T ω i is the cooling circulating water temperature of the i th stage; T i is the concrete temperature at the beginning of the water supply of the i th stage; ϕ i ( t ) is the water cooling function when the i th stage is accessing water; ψ i ( t ) is the temperature rise function of water cooling when the i th stage is accessing water; p i is the water cooling parameter. s , m 1 , m 2 are the same as in Equations (12) and (13).

4.3. The Objective Function

With the aim of reducing the gap between the calculated temperature and the measured temperature of the simulated concrete to the minimum, by using the ordinary least squares, the mathematical expression model of the objective function is formulated as follows:
Q ( x ) = j = 1 p i = 1 q T i j T i j T i j 2
x = ( x 1 , x 2 , x 3 , x D ) [ L d , U d ]
In the formula, Q ( x ) is the objective function of the optimization problem; x is the feasible solution of the optimization problem. Each solution is a D -dimensional vector; D is the number of parameters of the intelligent optimization problem; L d and U d are the upper and lower bounds of the solution space; T i j and T i j are the calculated value of finite element temperature and the measured value of field temperature at the j position of concrete at time i ; p is the entirety number of measuring points; and q is the total duration.
In MATLAB R2010a, the parameter inversion is converted into an optimization problem through the application of the objective function. The thermal parameters are iteratively optimized by the WaOA algorithm, and then introduced into ANSYS 12.1 for temperature field simulation. When the fitness values of the objective function fulfil the convergence condition, the optimal thermal parameter values are outputted. Figure 4 shows the flowchart of MATLAB calling ANSYS for computation.

5. The Application Example

A hydropower station lies in the downstream section of Jinsha River, spanning Sichuan and Yunnan provinces. The controlling watershed of the hydropower station is large, located in the subtropical monsoon region. The initial installed capacity is 16,000 MW, boasting an annual power generation of 6409 million kW/h.
Figure 5 shows the information of the 29#-005~007 concrete pouring block of an arch dam in the downstream section of Jinsha River. It can be seen that the thickness of each pouring block amounts to three meters, and it consists of six blank layers that is half a meter thick. The concrete strength grade is C40. The finite element model is discretized using hexahedral eight-node isoparametric elements. There are 37,800 elements and 42,718 nodes built in total. According to the design value of concrete in this area and the laboratory test value provided by Changjiang River Scientific Research Institute [28], the range of inversion parameters is as follows: θ 0 [ 20 , 30 ] ° C , n [ 1.5 , 5 ] , β [ 100 , 900 ] kJ / ( m 2 · h · ° C ) .
The other parameters refer to the laboratory test values of the Changjiang River Scientific Research Institute. During simulation calculation, the C40 concrete density ρ equals 2601 kg / m 3 , the value of the specific heat c equals 0.851 kJ / ( kg · ° C ) , and the value of the thermal diffusivity α equals 0.0708 m 2   /   h .
The boundary conditions of the model include the following: the transverse joint surfaces on both sides of the pouring block are set as adiabatic boundary conditions, while the third type of temperature boundary conditions (i.e., convection boundary conditions) are imposed on the top surface along with the upstream and downstream surfaces of the pouring block. With the aim of emulating the effect of water pipe cooling, the equivalent heat conduction model of water pipe cooling is utilized. Meanwhile, with the application of the birth and death element technology of ANSYS, the pouring sequence of various concrete pouring blocks can be accurately simulated and controlled [29]. Once the pouring of the first concrete block commences, the finite elements of the first block are activated, while those of the others are terminated. When the second begins, the first and the second block concrete finite elements are activated, and the third is killed. According to the actual project progress, the pouring sequence of each pouring block is precisely regulated. With the aim of removing the interference, the measured temperature data of the bottom block do not participate in the inversion calculation.
The time step of temperature calculation is set at 0.5 d, and the overall time spans 30 d. The actual interval time among different blocks is decided in line with the pouring progress. The time, circulating water temperature, and water flow rate data of cooling water gained are in accordance with the intelligent water-cooling system of this dam, as depicted in Figure 6 and Figure 7. The average temperature of every 0.5 d is designated as the ambient temperature, as depicted in Figure 8.
For a thorough assessment of the performance of the WaOA in practical applications, the four algorithms described in Chapter 2 are included in the parameter inversion calculation. Taking the time factor into account, the population is set at thirty, and the iteration number amounts to forty. Figure 9 illustrates the change of the fitness value of different algorithms in relation to the number of iterations.
From Figure 9, it is observable that as the iteration proceeds, the fitness values exhibit a downward trend. However, the WaOA converges at a notably faster pace and boasts the highest convergence accuracy among the four algorithms. Table 6 shows the inversion results of the WaOA after forty iterations.
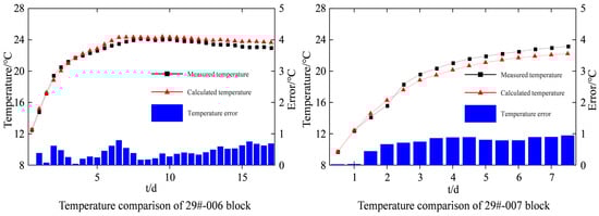
With reference to the thermal parameters that were acquired through inversion in Table 6, the numerical simulation of temperature field is carried out for the 29#-006~007 pouring block. Figure 10 presents the comparison of the measured temperature and the calculated temperature data throughout the time.
Apparently, the predicted value of the concrete temperature obtained by numerical simulation is highly consistent with the measured data in the field. The maximum error is controlled within 1 °C. It is proved that the thermal parameter values obtained by inversion have high reliability. The chief factor contributing to the error may be that it is tough to accurately define the initial temperature of concrete which imposes a certain effect on the results of the temperature rise stage. Meanwhile, owing to the instability of the cooling water flow onsite, the intermittent water flow causes the fluctuation of water flow at different times. It also exerts an influence on the calculation results. In terms of calculation, it is beneficial to enhance the accuracy of the calculation results by maintaining the continuous and smooth transition of the water flow and avoiding the occurrence of intermittent water cut-off.
Table 7 and Table 8 show the construction date of the 29#-005~007 and 27#-024~026 pouring blocks of an arch dam in the lower reaches of Jinsha River. Although these pouring blocks are not carried out simultaneously, their pouring time intervals are relatively short. Both of them used the C40 grade concrete materials. In a similar period of time, the concrete pouring process, aggregate gradation, and slump used by them are consistent. At the same time, the temperature conditions and the heat preservation measures taken during this period are also the same. Based on this, we propose a conjecture: in the adjacent time period, is the thermal parameters of the concrete of the same grade poured in the adjacent dam section consistent?
Figure 11 shows the information on pouring bay 27#-024 to 026. The grid cell of the finite element model is an eight-node hexahedral isoparametric cell, which is made up of 32,400 elements and 36,673 nodes in total.
Using the field-measured water information and ambient temperature data, the thermal parameters of C40 concrete in the 29#-005~007 block obtained by inversion in Table 6 are applied to the finite element numerical simulation model of the 27#-024~026 block. Through the calculation, the calculated temperature values of the 27#-025 and the 026 blocks are obtained, and compared with the measured temperature onsite. The results of the comparison are demonstrated in Figure 12.
As can be seen from the comparison results of Figure 12 that the variation trends of the calculated temperature and the measured temperature are in high accordance, and the maximum temperature deviation is controlled within 1 °C, which indicates that the numerical simulation method has high accuracy.
According to the research report of the Changjiang River Scientific Research Institute on the concrete mix proportion test of the dam of the hydropower station [28], the thermal parameters of the C40 strength grade concrete obtained through inversion are compared with the values from laboratory tests, as demonstrated in Table 9. Figure 13 shows the comparison of the curve of the adiabatic temperature rise of concrete as its age changes.
The Figure 13 reveals that the final adiabatic temperature rise of C40 concrete gained through the inversion process is a bit lower than the laboratory test value, and the error range is within 0.9 °C. The fitness curve obtained by inversion is roughly the same as the laboratory test results, which fully demonstrates that the inversion possesses high accuracy and reliability. Table 10 shows the design parameters of a dam in the downstream section of Jinsha River [28]. Obviously, in the laboratory test, the water–binder ratio of concrete ranges from 0.42 to 0.46. However, the water–binder ratio of concrete that is poured at the actual site typically reaches 0.5. We observe that the adiabatic temperature rise of concrete acquired through inversion is of a lower level than that obtained by laboratory standard tests. This variability may be attributed to the lower amount of cement used in the actual casting, resulting in an elevation of the water–binder ratio of the concrete, which in turn leads to the final adiabatic temperature rise being slightly less than the experimental values.

6. Conclusions

(1) In order to make the conclusion more credible, this study not only uses twelve standard benchmark functions as test sets, but also further tests its performance with three different algorithms, and implements nonparametric tests when evaluating the performance of the WaOA. The results show that the WaOA, as a new meta-heuristic algorithm, possesses the features of simple structure, ease of implementation, and fewer parameters. It can strike a fine balance between the exploration stage and the development stage of the algorithm, and shows significant advantages in performance, which can provide help for subsequent practical engineering calculation problems.
(2) By combining the inverse analysis theory with the finite element calculation of the temperature field, a numerical model for inverse analysis of thermal parameters relying on the WaOA is established, and the thermal parameters of C40 concrete of an arch dam in the lower reaches of Jinsha River are inverted. By comparing the measured and calculated temperature curves of typical measuring points, it is observable that the overall temperature change trend of the two shows a high degree of conformity, and the error stays below 1 °C. It suggests that the thermal parameters acquired through inversion can reflect the real thermal characteristics of concrete materials. Further verification shows that the inversion parameters are applied to different dam section models with adjacent pouring blocks and similar pouring time. High consistency is shown between the measured and calculated temperature values, and the maximum error is limited within 1 °C. The practicability and reliability of the inversion parameters are, thus, proved, and theoretical guidance is provided for subsequent research.

Author Contributions

Research and review, Y.W.; research and writing, Z.M.; review and modification, J.Z., R.S. and Y.P.; conceptualization and review, F.W. All authors have read and agreed to the published version of the manuscript.

Funding

This research was supported by National Natural Science Foundation of China (Grant No. 51809154), Joint supported by Hubei Provincial Natural Science Foundation-Innovative Development of Three Gorges of China (No. 2023AFD189), Independent Innovation Project of Changjiang Survey, Planning, Design and Research Co., Ltd. (No. CX2021Z56), (No. CX2023S024). and Open Research Fund of Key Laboratory of Reservoir and Dam Safety Ministry of Water Resources (Grant No. YK323009).

Institutional Review Board Statement

Not applicable.

Informed Consent Statement

Not applicable.

Data Availability Statement

The datasets presented in this article are not readily available because authors do not have the relevant permissions. Requests to access the datasets should be directed to wangfengctgu@ctgu.edu.cn.

Conflicts of Interest

Author Youle Wang and Zhengjian Miao are employed by the company Changjiang Survey Planning Design and Research Co., Ltd. The remaining authors declare that the research was conducted in the absence of any commercial or financial relationships that could be construed as a potential conflict of interest.

References

  1. Javanmardi, F.; Léger, P. Grouting of cracks in concrete dams: Numerical modelling and structural behaviour. Prog. Struct. Eng. Mater. 2005, 7, 161–173. [Google Scholar] [CrossRef]
  2. Li, B.; Wang, Z.; Jiang, Y.; Zhu, Z. Temperature control and crack prevention during construction in steep slope dams and stilling basins in high-altitude areas. Adv. Mech. Eng. 2018, 10, 1687814017752480. [Google Scholar] [CrossRef]
  3. Zhao, Y.; Li, G.; Fan, C.; Pang, W.; Wang, Y. Effect of Thermal Parameters on Hydration Heat Temperature and Thermal Stress of Mass Concrete. Adv. Mater. Sci. Eng. 2021, 2021, 5541181. [Google Scholar] [CrossRef]
  4. Lim, C.-K.; Kim, J.-K.; Seo, T.-S. Prediction of concrete adiabatic temperature rise characteristic by semi-adiabatic temperature rise test and FEM analysis. Constr. Build. Mater. 2016, 125, 679–689. [Google Scholar] [CrossRef]
  5. Cheng, J.; Li, T.C.; Liu, X.; Zhao, L.H. A 3D discrete FEM iterative algorithm for solving the water pipe cooling problems of massive concrete structures. Int. J. Numer. Anal. Methods Geomech. 2016, 40, 487–508. [Google Scholar] [CrossRef]
  6. Castilho, E.; Schclar, N.; Tiago, C.; Farinha, M.L.B. FEA model for the simulation of the hydration process and temperature evolution during the concreting of an arch dam. Eng. Struct. 2018, 174, 165–177. [Google Scholar] [CrossRef]
  7. Nadimi-Shahraki, M.H.; Zamani, H. DMDE: Diversity-maintained multi-trial vector differential evolution algorithm for non-decomposition large-scale global optimization. Expert Syst. Appl. 2022, 198, 116895. [Google Scholar] [CrossRef]
  8. Mirjalili, S.; Mirjalili, S.M.; Hatamlou, A. Multi-Verse Optimizer: A nature-inspired algorithm for global optimization. Neural Comput. Appl. 2016, 27, 495–513. [Google Scholar] [CrossRef]
  9. He, Q.; Lin, J.; Xu, H. Hybrid Cauchy mutation and uniform distribution of grasshopper optimization algorithm. Control. Decis. 2021, 36, 1558–1568. (In Chinese) [Google Scholar] [CrossRef]
  10. Pei, L.; Chen, J.K.; Wu, Z.Y.; Li, Y.L.; Zhang, H. Response surface genetic algorithm of back analysis of concrete thermal parameters. Mater. Res. Innov. 2015, 19 (Suppl. S8), S8-840–S8-845. [Google Scholar] [CrossRef]
  11. Dhiman, G.; Kumar, V. Seagull optimization algorithm: Theory and its applications for large-scale industrial engineering problems. Knowl.-Based Syst. 2019, 165, 169–196. [Google Scholar] [CrossRef]
  12. Wolpert, D.H.; Macready, W.G. No free lunch theorems for optimization. IEEE Trans. Evol. Comput. 1997, 1, 67–82. [Google Scholar] [CrossRef]
  13. Han, Y.; Fu, S.; Wang, S.; Xie, Z. Study on Adiabatic Temperature Rise Reflecting Hydration Degree of Concrete. Adv. Mater. Sci. Eng. 2018, 2018, 1435049. [Google Scholar] [CrossRef]
  14. Zhao, H.; Fan, G.; Wei, Z.; Wang, J.; Huang, D. Investigation of thermal conductivity and related parameters of early-age cement paste. Int. J. Heat Mass Transf. 2020, 155, 119798. [Google Scholar] [CrossRef]
  15. Shi, N.; Zhang, R.; Huang, D. Thermal stress analyses and reinforcement design of massive RC structures. Eur. J. Environ. Civ. Eng. 2015, 19, 901–916. [Google Scholar] [CrossRef]
  16. Su, H.; Li, J.; Hu, J.; Wen, Z. Analysis and Back-Analysis for Temperature Field of Concrete Arch Dam During Construction Period Based on Temperature Data Measured by DTS. IEEE Sens. J. 2013, 13, 1403–1412. [Google Scholar] [CrossRef]
  17. Xu, P.A.; Lin, Q.; Hao, S.P.; Zhang, L.H. Twin-delayed-based Deep Deterministic Policy Gradient Method Integrating Gravitational Search. J. Softw. 2023, 34, 5191–5204. [Google Scholar] [CrossRef]
  18. Trojovský, P.; Dehghani, M. A new bio-inspired metaheuristic algorithm for solving optimization problems based on walruses behavior. Sci. Rep. 2023, 13, 8775. [Google Scholar] [CrossRef] [PubMed]
  19. Abdel-Basset, M.; El-Shahat, D.; Jameel, M.; Abouhawwash, M. Exponential distribution optimizer (EDO): A novel math-inspired algorithm for global optimization and engineering problems. Artif. Intell. Rev. 2023, 56, 9329–9400. [Google Scholar] [CrossRef]
  20. Carrasco, J.; García, S.; Rueda, M.M.; Das, S.; Herrera, F. Recent trends in the use of statistical tests for comparing swarm and evolutionary computing algorithms: Practical guidelines and a critical review. Swarm Evol. Comput. 2020, 54, 100665. [Google Scholar] [CrossRef]
  21. Friedman, M. The Use of Ranks to Avoid the Assumption of Normality Implicit in the Analysis of Variance. J. Am. Stat. Assoc. 1937, 32, 675–701. [Google Scholar] [CrossRef]
  22. Hutchinson, T.P. On the generalised friedman test. Comput. Stat. Data Anal. 1996, 21, 473–476. [Google Scholar] [CrossRef]
  23. García, S.; Fernández, A.; Luengo, J.; Herrera, F. Advanced nonparametric tests for multiple comparisons in the design of experiments in computational intelligence and data mining: Experimental analysis of power. Inf. Sci. 2010, 180, 2044–2064. [Google Scholar] [CrossRef]
  24. Wang, M.; Heidari, A.A.; Chen, M.; Chen, H.; Zhao, X.; Cai, X. Exploratory differential ant lion-based optimization. Expert Syst. Appl. 2020, 159, 113548. [Google Scholar] [CrossRef]
  25. Zhou, Y. Study on Hydration Heat and Temperature Control Measures of Mass Concrete; Chongqing Jiaotong University: Chongqing, China, 2020; (In Chinese). [Google Scholar] [CrossRef]
  26. Huang, Y.Y.; Zhou, S.W.; Fu, X.K.; Zhou, Y.H. Dynamic Forecasting Model of Concrete Casting Warehouse in Middle-late Cooling Age. Adv. Eng. Sci. 2013, 45, 34–38. (In Chinese) [Google Scholar] [CrossRef]
  27. Zhou, J.B.; Huang, Y.Y.; He, X.P.; Tian, K.P. Dynamic Prediction of Concrete Temperature for the Plugging of Bottom Diversion Outlet of Xiangjiaba Hydropower Project. J. Chang. River Sci. Res. Inst. 2015, 32, 119–122. (In Chinese) [Google Scholar]
  28. Yang, H.Q.; Dong, Y.; Xiao, K.T. Experimental Study on Concrete Mix Proportion of Baihetan Hydropower Station; Changjiang River Scientific Research Institute: Wuhan, China, 2015. (In Chinese) [Google Scholar]
  29. Zhang, H.D. Application to ANSYS Unit Technical Software to Structural Design and Construction. Build. Constr. 2008, 9, 824–825+833. (In Chinese) [Google Scholar]
Figure 1. Flowchart of the WaOA.
Figure 1. Flowchart of the WaOA.
Applsci 15 02155 g001
Figure 2. Search space diagram of the WaOA in benchmark functions.
Figure 2. Search space diagram of the WaOA in benchmark functions.
Applsci 15 02155 g002
Figure 3. Algorithm fitness iteration curve.
Figure 3. Algorithm fitness iteration curve.
Applsci 15 02155 g003
Figure 4. Flowchart of MATLAB calling ANSYS for computation.
Figure 4. Flowchart of MATLAB calling ANSYS for computation.
Applsci 15 02155 g004
Figure 5. Information on pouring block 29#-005 to 007.
Figure 5. Information on pouring block 29#-005 to 007.
Applsci 15 02155 g005
Figure 6. Circulating water temperature.
Figure 6. Circulating water temperature.
Applsci 15 02155 g006
Figure 7. Water flow rate.
Figure 7. Water flow rate.
Applsci 15 02155 g007
Figure 8. Ambient air temperature.
Figure 8. Ambient air temperature.
Applsci 15 02155 g008
Figure 9. Fitness iteration curve.
Figure 9. Fitness iteration curve.
Applsci 15 02155 g009
Figure 10. Temperature comparison chart for pouring block 29#-006 to 007.
Figure 10. Temperature comparison chart for pouring block 29#-006 to 007.
Applsci 15 02155 g010
Figure 11. Information on pouring block 27#-024 to 026.
Figure 11. Information on pouring block 27#-024 to 026.
Applsci 15 02155 g011
Figure 12. Temperature comparison chart for pouring block 27#-025 to 026.
Figure 12. Temperature comparison chart for pouring block 27#-025 to 026.
Applsci 15 02155 g012
Figure 13. Relationship curve between adiabatic temperature rise and age of C40 concrete.
Figure 13. Relationship curve between adiabatic temperature rise and age of C40 concrete.
Applsci 15 02155 g013
Table 1. Test function.
Table 1. Test function.
NumberNameBenchmark FunctionsDimRange f min
F1Sphere f 1 ( x ) = i = 1 D i m x i 2 30[−100,100]0
F2Schwefel 2.22 f 2 ( x ) = i = 1 D i m x i + i = 1 D i m x i 30[−10,10]0
F3Schwefel 1.2 f 3 ( x ) = i = 1 D i m ( j 1 i x i ) 2 30[−100,100]0
F4Schwefel 2.21 f 4 ( x ) = max i x i , 1 i D 30[−100,100]0
F5Rosenbrock f 5 ( x ) = i = 1 D i m 1 100 ( x i + 1 x i 2 ) 2 + ( x i 1 ) 2 30[−30,30]0
F6Step f 6 ( x ) = i = 1 D i m x i + 0.5 2 30[−100,100]0
F7Quartic f 7 ( x ) = i = 1 D i m i × x i 4 + r a n d o m [ 0 , 1 ) 30[−1.28,1.28]0
F8Schwefel 12.26 f 8 ( x ) = i = 1 D i m x i sin x i 30[−500,500]−12,569.5
F9Rastrigin f 9 ( x ) = i = 1 D i m x i 2 10 cos ( 2 π x i + 10 ) 30[−5.12,5.12]0
F10Ackley f 10 ( x ) = 20 exp 0.2 i D i m i = 1 D i m x i 2 exp 1 D i m i = 1 D i m cos ( 2 π x i ) + 20 + e 30[−32,32]0
F11Griewank f 11 ( x ) = 1 4000 i = 1 D i m x i 2 i = 1 D i m cos x i i + 1 30[−600,600]0
F12Generalized
penalized
f 12 ( x ) = π D i m { 10 sin ( π y 1 ) + i = 1 D i m 1 ( y i 1 ) 2 1 + 10 sin 2 ( π y i + 1 ) + ( y D i m 1 ) 2 } + i = 1 D i m u ( x i , 10 , 100 , 4 ) y i = 1 + x i + 1 4 , u ( x i , a , k , m ) = k ( x i a ) m x i > a 0 a < x i < a k ( x i a ) m x i < a 30[−50,50]0
Table 2. Different algorithm parameter settings.
Table 2. Different algorithm parameter settings.
AlgorithmsParametersValues
For all algorithmsPopulation size30
Iterations500
Walrus optimization algorithm
(WaOA)
No specific parameters
Sand cat swarm optimization algorithm
(SCSO)
S M 2
Roulette selection[0,360]
Seagull optimization algorithm
(SOA)
Control parameter A [0,2]
f c 2
Ant lion optimization algorithm
(ALO)
Random number F [0.2,0.8]
Probability factor P C R 0.8
Table 3. Performance comparison of four algorithms.
Table 3. Performance comparison of four algorithms.
FunctionWaOASCSOALOSOA
MeanStdMeanStdMeanStdMeanStd
F15.50 × 10−2830.001.49 × 10−1134.61 × 10−1131.08 × 10−37.18 × 10−41.70 × 10−113.42 × 10−11
F23.89 × 10−1441.36 × 10−1438.07 × 10−612.86 × 10−615.64 × 1014.81 × 1012.38 × 10−83.19 × 10−8
F37.22 × 10−2150.001.84 × 10−1004.47 × 10−1004.93 × 1032.13 × 1032.00 × 10−52.85 × 10−5
F43.40 × 10−1351.10 × 10−1347.31 × 10−522.62 × 10−511.71 × 1015.10 × 1005.37 × 10−31.55 × 10−2
F50.000.0028.20.704.62 × 1024.83 × 1022.84 × 1014.2 × 10−1
F60.000.002.040.562.26 × 10−31.93 × 10−33.18 × 1003.66 × 10−1
F75.04 × 10−53.97 × 10−52.34 × 10−42.25 × 10−42.47 × 10−18.50 × 10−23.04 × 10−31.50 × 10−3
F8−8.57 × 1036.04 × 102−6.31 × 1031.08 × 103−5.46 × 1035.92 × 101−5.02 × 1033.50 × 102
F90.000.000.000.008.15 × 1012.17 × 1012.94 × 1004.58 × 100
F102.22 × 10−151.78 × 10−154.44 × 10−161.97 × 10−316.03 × 1002.72 × 1002.00 × 1011.50 × 10−3
F110.000.000.000.005.24 × 10−23.02 × 10−22.33 × 10−23.80 × 10−2
F121.57 × 10−325.47 × 10−489.83 × 10−24.61 × 10−21.49 × 1016.96 × 1003.53 × 10−11.79 × 10−1
Table 4. Friedman test results.
Table 4. Friedman test results.
AlgorithmFreidman RankRanking
WaOA1.161
ALO3.654
SOA3.203
SCSO1.982
Table 5. p-values of the Wilcoxon rank sum test for different algorithms on functions F1–F12.
Table 5. p-values of the Wilcoxon rank sum test for different algorithms on functions F1–F12.
FunctionALOSOASCSO
F18.86 × 10−58.86 × 10−58.86 × 10−5
F28.86 × 10−58.86 × 10−58.86 × 10−5
F38.86 × 10−58.86 × 10−58.86 × 10−5
F48.86 × 10−58.86 × 10−58.83 × 10−5
F58.86 × 10−58.86 × 10−58.86 × 10−5
F68.86 × 10−58.86 × 10−58.86 × 10−5
F78.86 × 10−58.86 × 10−53.38 × 10−4
F88.86 × 10−58.86 × 10−51.40 × 10−4
F98.86 × 10−58.86 × 10−51
F108.86 × 10−58.86 × 10−50.002
F118.86 × 10−58.86 × 10−51
F128.86 × 10−58.86 × 10−58.86 × 10−5
Table 6. Inversion value of thermal parameters.
Table 6. Inversion value of thermal parameters.
ParameterSurface Heat Transfer Coefficient
kJ / ( m 2 · h · ° C )
Adiabatic Temperature Rise
C40 inversion value742.7 θ ( t ) = 24.2 t t + 2.83
Table 7. Construction sequence of pouring block 29#-005~007.
Table 7. Construction sequence of pouring block 29#-005~007.
Pouring Block29#-00529#-00629#-007
Start2019-10-09 06:002019-10-16 05:282019-10-25 21:15
End2019-10-10 04:032019-10-17 06:292019-10-27 00:43
Table 8. Construction sequence of pouring block 27#-024~026.
Table 8. Construction sequence of pouring block 27#-024~026.
Pouring Block27#-02427#-02527#-026
Start2019-07-04 22:502019-07-21 05:312019-07-28 05:37
End2019-07-06 06:292019-07-22 09:102019-07-29 09:38
Table 9. Comparison of adiabatic temperature rise.
Table 9. Comparison of adiabatic temperature rise.
Strength GradeData SourcesAdiabatic Temperature Rise (°C)
C4029#-005~007 θ ( t ) = 24.2 t t + 2.83
Laboratory test value θ ( t ) = 25.2 t t + 3.26
Table 10. Design parameters of dam concrete for Baihetan Hydropower Station.
Table 10. Design parameters of dam concrete for Baihetan Hydropower Station.
Strength GradeDesign Age
(d)
Strength GuaranteeFrost Resistance GradeImpermeability GradeTensile Strength
(MPa)
Ultimate Tensile Value
(×10−6)
Maximum Water-Binder Ratio AllowedGradation
C3518085%≥F90300≥W9014≥3.0≥1000.46Three and four
C40≥F90300≥W9015≥3.2≥1050.42Four
Disclaimer/Publisher’s Note: The statements, opinions and data contained in all publications are solely those of the individual author(s) and contributor(s) and not of MDPI and/or the editor(s). MDPI and/or the editor(s) disclaim responsibility for any injury to people or property resulting from any ideas, methods, instructions or products referred to in the content.

Share and Cite

MDPI and ACS Style

Wang, Y.; Miao, Z.; Song, R.; Zhou, J.; Pan, Y.; Wang, F. Inverse Analysis of Thermal Parameters of Arch Dam Concrete Based on Walrus Optimization Algorithm. Appl. Sci. 2025, 15, 2155. https://doi.org/10.3390/app15042155

AMA Style

Wang Y, Miao Z, Song R, Zhou J, Pan Y, Wang F. Inverse Analysis of Thermal Parameters of Arch Dam Concrete Based on Walrus Optimization Algorithm. Applied Sciences. 2025; 15(4):2155. https://doi.org/10.3390/app15042155

Chicago/Turabian Style

Wang, Youle, Zhengjian Miao, Rui Song, Junchi Zhou, Yuheng Pan, and Feng Wang. 2025. "Inverse Analysis of Thermal Parameters of Arch Dam Concrete Based on Walrus Optimization Algorithm" Applied Sciences 15, no. 4: 2155. https://doi.org/10.3390/app15042155

APA Style

Wang, Y., Miao, Z., Song, R., Zhou, J., Pan, Y., & Wang, F. (2025). Inverse Analysis of Thermal Parameters of Arch Dam Concrete Based on Walrus Optimization Algorithm. Applied Sciences, 15(4), 2155. https://doi.org/10.3390/app15042155

Note that from the first issue of 2016, this journal uses article numbers instead of page numbers. See further details here.

Article Metrics

Back to TopTop