Effects of Microplastics from Face Masks on Physicochemical and Biological Properties of Agricultural Soil: Development of Soil Quality Index “SQI”
Abstract
1. Introduction
2. Materials and Methods
2.1. Soil Sampling
2.2. Physicochemical Characterization of the Soil
2.3. Biological Characterization of the Soil
2.4. Microplastic Characterization
2.4.1. Optical Microscope Characterization
2.4.2. Molecular Characterization of Microplastics by FTIR
2.5. Experimental Design
2.6. Soil Pre-Incubation
2.7. C and N Mineralization Dynamics in Soil with MPs: Physicochemical, Enzymatic, and Ecophysiological Indicators
2.8. Statistical Analysis
2.9. Development of the SQI
3. Results
3.1. Physicochemical and Biological Characterization of the Soil
3.2. Characterization of the MPs
3.2.1. Optical Characterization of the MPs
3.2.2. Characterization of the MPs by FTIR
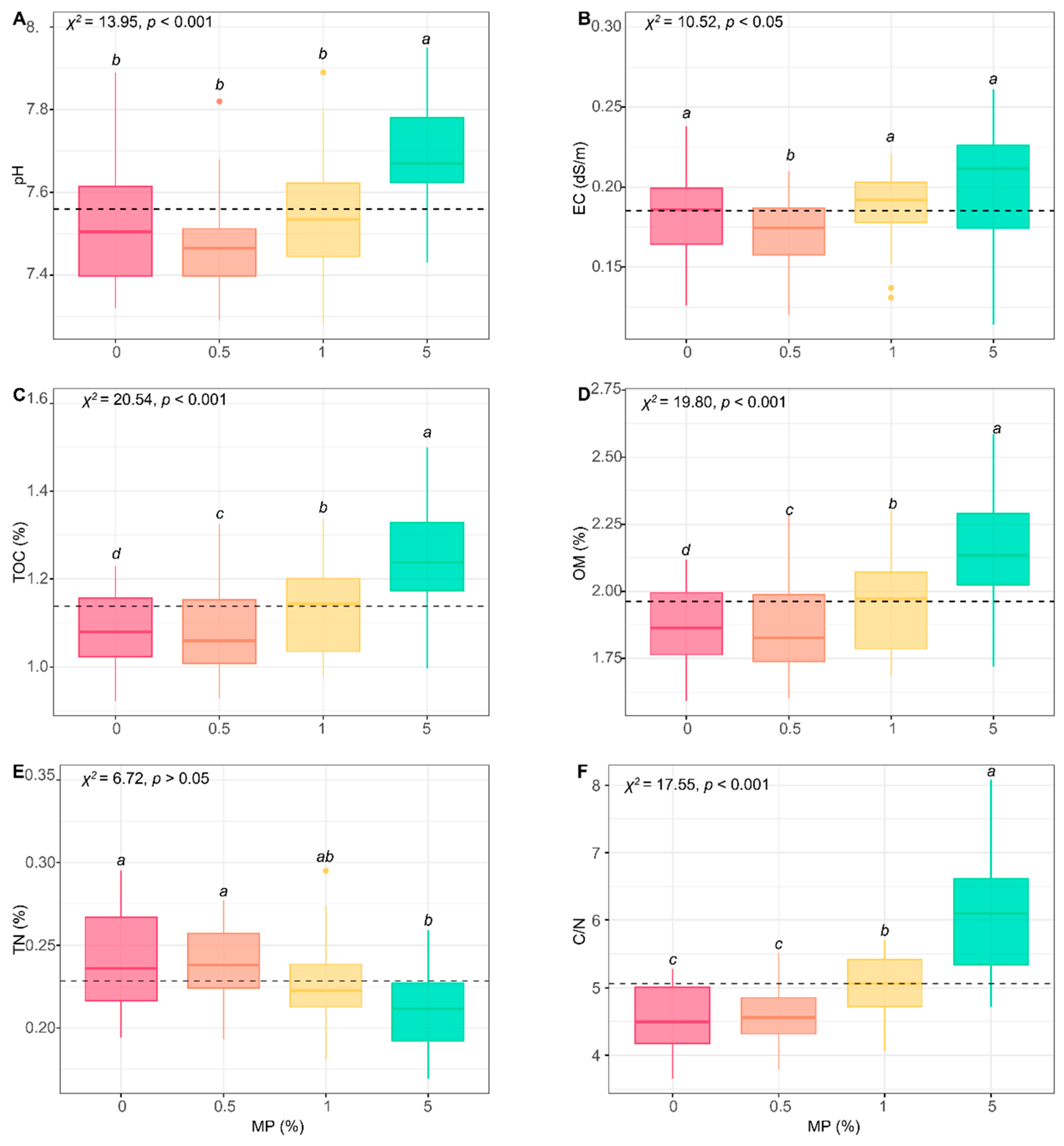
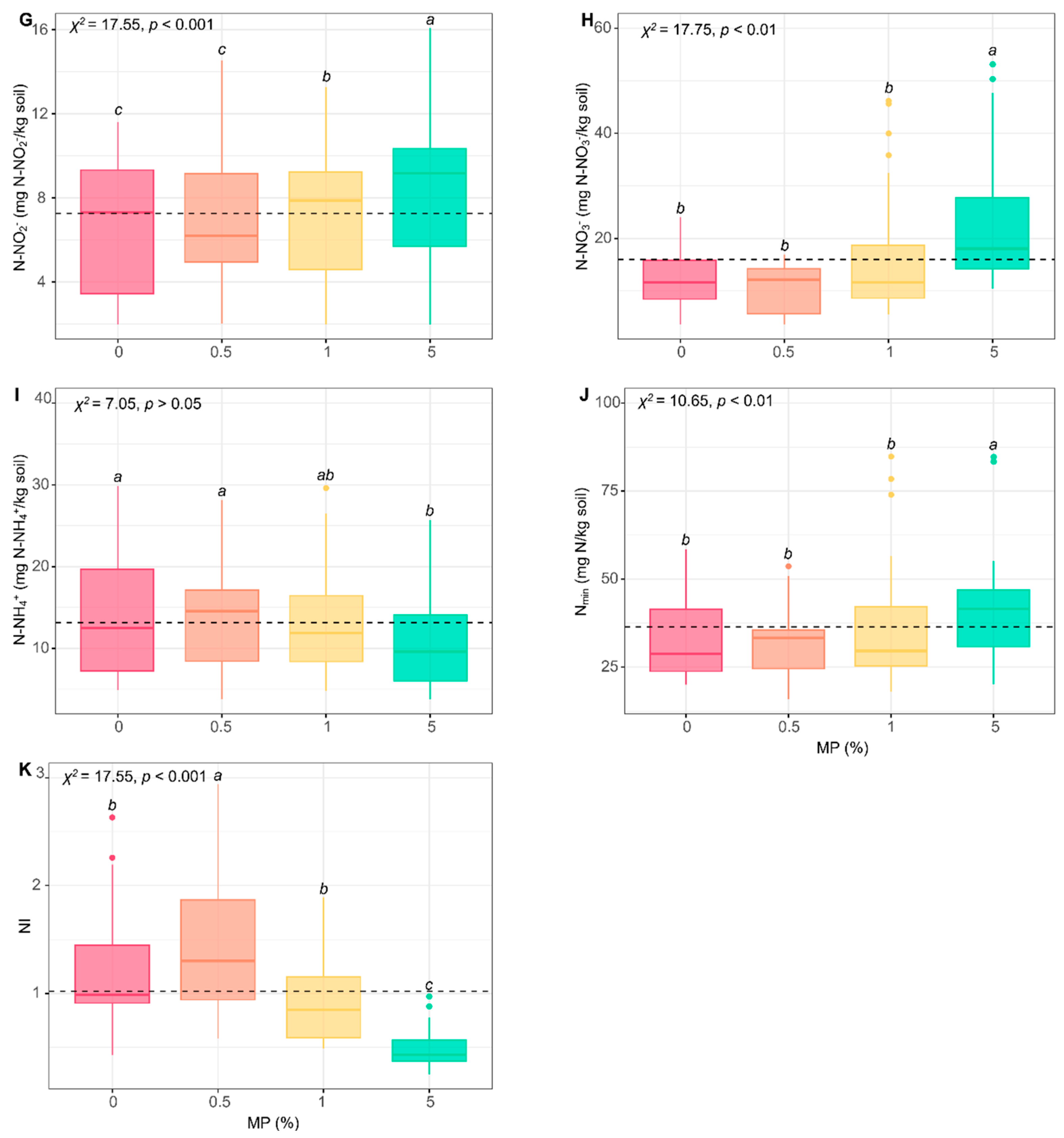
3.3. C and N Dynamics in Soil with MPs: Physicochemical Indicators
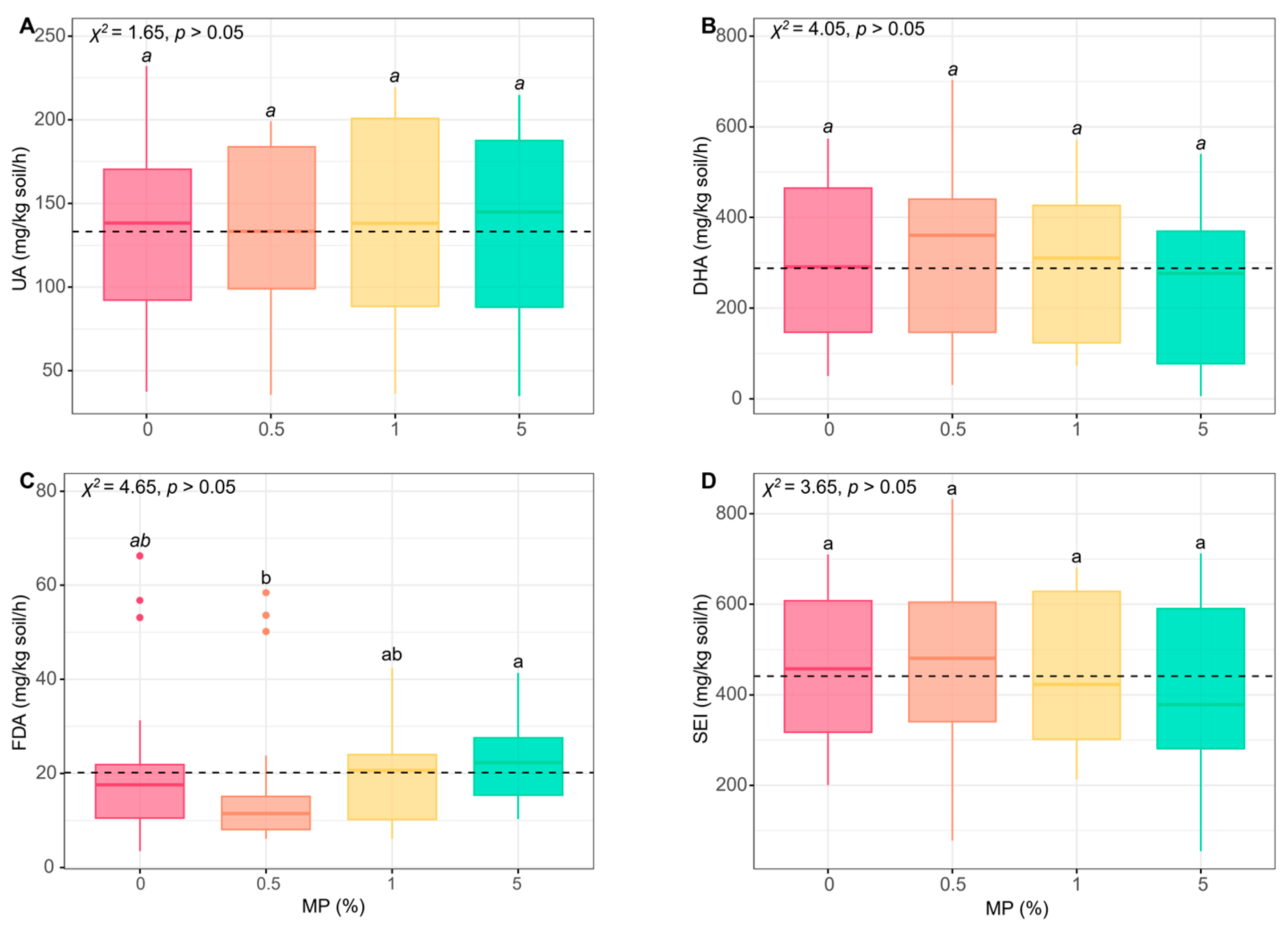
3.4. C and N Dynamics in Soil with MPs: Enzymatic Indicators
3.5. APIZYM Enzymatic Profile
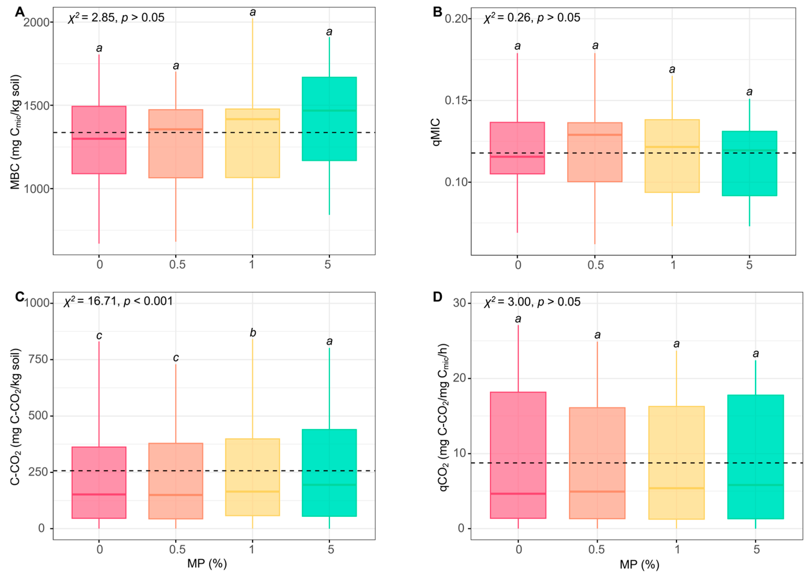
3.6. C and N Dynamics in Soil with MPs: Ecophysiological Indicators
3.7. Principal Component Analysis (PCA)
3.8. Development of the SQIu
4. Conclusions
Supplementary Materials
Author Contributions
Funding
Institutional Review Board Statement
Informed Consent Statement
Data Availability Statement
Acknowledgments
Conflicts of Interest
References
- Lehmann, A.; Fitschen, K.; Rillig, M.C. Abiotic and Biotic Factors Influencing the Effect of Microplastic on Soil Aggregation. Soil Syst. 2019, 3, 21. [Google Scholar] [CrossRef]
- Lim, X. Microplastics Are Everywhere—But Are They Harmful? Nature 2021, 593, 22–25. [Google Scholar] [CrossRef] [PubMed]
- Monkul, M.M.; Özhan, H.O. Microplastic Contamination in Soils: A Review from Geotechnical Engineering View. Polymers 2021, 13, 4129. [Google Scholar] [CrossRef]
- Pinto-Poblete, A.; Retamal-Salgado, J.; López, M.D.; Zapata, N.; Sierra-Almeida, A.; Schoebitz, M. Combined Effect of Microplastics and Cd Alters the Enzymatic Activity of Soil and the Productivity of Strawberry Plants. Plants 2022, 11, 536. [Google Scholar] [CrossRef]
- Kumari, A.; Rajput, V.D.; Mandzhieva, S.S.; Rajput, S.; Minkina, T.; Kaur, R.; Sushkova, S.; Kumari, P.; Ranjan, A.; Kalinitchenko, V.P.; et al. Microplastic Pollution: An Emerging Threat to Terrestrial Plants and Insights into Its Remediation Strategies. Plants 2022, 11, 340. [Google Scholar] [CrossRef]
- Conley, K.; Clum, A.; Deepe, J.; Lane, H.; Beckingham, B. Wastewater Treatment Plants as a Source of Microplastics to an Urban Estuary: Removal Efficiencies and Loading per Capita over One Year. Water Res. X 2019, 3, 100030. [Google Scholar] [CrossRef]
- Wang, F.; Wang, Q.; Adams, C.A.; Sun, Y.; Zhang, S. Effects of Microplastics on Soil Properties: Current Knowledge and Future Perspectives. J. Hazard. Mater. 2022, 424, 127531. [Google Scholar] [CrossRef]
- Liu, W.; Cao, Z.; Ren, H.; Xi, D. Effects of Microplastics Addition on Soil Available Nitrogen in Farmland Soil. Agronomy 2022, 13, 75. [Google Scholar] [CrossRef]
- Yu, H.; Zhang, Y.; Tan, W.; Zhang, Z. Microplastics as an Emerging Environmental Pollutant in Agricultural Soils: Effects on Ecosystems and Human Health. Front. Environ. Sci. 2022, 10, 855292. [Google Scholar] [CrossRef]
- Yi, M.; Zhou, S.; Zhang, L.; Ding, S. The Effects of Three Different Microplastics on Enzyme Activities and Microbial Communities in Soil. Water Environ. Res. 2021, 93, 24–32. [Google Scholar] [CrossRef]
- Horton, A.A.; Walton, A.; Spurgeon, D.J.; Lahive, E.; Svendsen, C. Microplastics in Freshwater and Terrestrial Environments: Evaluating the Current Understanding to Identify the Knowledge Gaps and Future Research Priorities. Sci. Total Environ. 2017, 586, 127–141. [Google Scholar] [CrossRef] [PubMed]
- Fuller, S.; Gautam, A. A Procedure for Measuring Microplastics Using Pressurized Fluid Extraction. Environ. Sci. Technol. 2016, 50, 5774–5780. [Google Scholar] [CrossRef] [PubMed]
- De Souza Machado, A.A.; Horton, A.A.; Davis, T.; Maaß, S. Microplastics and Their Effects on Soil Function as a Life-Supporting System. In Microplastics in Terrestrial Environments; He, D., Luo, Y., Eds.; The Handbook of Environmental Chemistry; Springer International Publishing: Cham, Switzerland, 2020; Volume 95, pp. 199–222. ISBN 978-3-030-56270-0. [Google Scholar]
- Lozano, Y.M.; Lehnert, T.; Linck, L.T.; Lehmann, A.; Rillig, M.C. Microplastic Shape, Polymer Type, and Concentration Affect Soil Properties and Plant Biomass. Front. Plant Sci. 2021, 12, 616645. [Google Scholar] [CrossRef] [PubMed]
- de Souza Machado, A.A.; Lau, C.W.; Kloas, W.; Bergmann, J.; Bachelier, J.B.; Faltin, E.; Becker, R.; Görlich, A.S.; Rillig, M.C. Microplastics Can Change Soil Properties and Affect Plant Performance. Environ. Sci. Technol. 2019, 53, 6044–6052. [Google Scholar] [CrossRef]
- Khoo, K.S.; Ho, L.Y.; Lim, H.R.; Leong, H.Y.; Chew, K.W. Plastic Waste Associated with the COVID-19 Pandemic: Crisis or Opportunity? J. Hazard. Mater. 2021, 417, 126108. [Google Scholar] [CrossRef]
- Fadare, O.O.; Okoffo, E.D. Covid-19 Face Masks: A Potential Source of Microplastic Fibers in the Environment. Sci. Total Environ. 2020, 737, 140279. [Google Scholar] [CrossRef]
- Patrício Silva, A.L.; Prata, J.C.; Walker, T.R.; Duarte, A.C.; Ouyang, W.; Barcelò, D.; Rocha-Santos, T. Increased Plastic Pollution Due to COVID-19 Pandemic: Challenges and Recommendations. Chem. Eng. J. 2021, 405, 126683. [Google Scholar] [CrossRef]
- Peng, Y.; Wu, P.; Schartup, A.T.; Zhang, Y. Plastic Waste Release Caused by COVID-19 and Its Fate in the Global Ocean. Proc. Natl. Acad. Sci. USA 2021, 118, e2111530118. [Google Scholar] [CrossRef]
- Singh, N.; Tang, Y.; Zhang, Z.; Zheng, C. COVID-19 Waste Management: Effective and Successful Measures in Wuhan, China. Resour. Conserv. Recycl. 2020, 163, 105071. [Google Scholar] [CrossRef]
- Jambeck, J.R.; Geyer, R.; Wilcox, C.; Siegler, T.R.; Perryman, M.; Andrady, A.; Narayan, R.; Law, K.L. Plastic Waste Inputs from Land into the Ocean. Science 2015, 347, 768–771. [Google Scholar] [CrossRef]
- Zeng, F.; Liu, D.; Xiao, C.; Li, K.; Qian, X.; He, Y.; Giesy, J.P.; Mu, Y.; Wang, M. Advances and Perspectives on the Life-Cycle Impact Assessment of Personal Protective Equipment in the Post-COVID-19 Pandemic. J. Clean. Prod. 2024, 437, 140783. [Google Scholar] [CrossRef]
- Bogush, A.A.; Kourtchev, I. Disposable Surgical/Medical Face Masks and Filtering Face Pieces: Source of Microplastics and Chemical Additives in the Environment. Environ. Pollut. 2024, 348, 123792. [Google Scholar] [CrossRef] [PubMed]
- Nghiem, L.D.; Iqbal, H.M.N.; Zdarta, J. The Shadow Pandemic of Single Use Personal Protective Equipment Plastic Waste: A Blue Print for Suppression and Eradication. Case Stud. Chem. Environ. Eng. 2021, 4, 100125. [Google Scholar] [CrossRef] [PubMed]
- Lin, L.; Hu, G.; Lijin, Y.; Gan, L.; Zhang, R.; Wang, L.; Lu, C.; Gao, J.; Lin, J.; Yang, L.; et al. Effects of Disposable Face Mask Microplastics on Soil Properties and Microbial Communities. CATENA 2024, 244, 108233. [Google Scholar] [CrossRef]
- Song, J.; Chen, X.; Li, S.; Tang, H.; Dong, S.; Wang, M.; Xu, H. The Environmental Impact of Mask-Derived Microplastics on Soil Ecosystems. Sci. Total Environ. 2024, 912, 169182. [Google Scholar] [CrossRef]
- Bedolla-Rivera, H.I.; Negrete-Rodríguez, M.d.l.L.X.; Gámez-Vázquez, F.P.; Álvarez-Bernal, D.; Conde-Barajas, E. Analyzing the Impact of Intensive Agriculture on Soil Quality: A Systematic Review and Global Meta-Analysis of Quality Indexes. Agronomy 2023, 13, 2166. [Google Scholar] [CrossRef]
- Aponte, H.; Medina, J.; Butler, B.; Meier, S.; Cornejo, P.; Kuzyakov, Y. Soil Quality Indices for Metal(Loid) Contamination: An Enzymatic Perspective. Land Degrad. Dev. 2020, 31, 2700–2719. [Google Scholar] [CrossRef]
- NORMA Oficial Mexicana NOM-021-RECNAT-2000, Que Establece las Especificaciones de Fertilidad, Salinidad y Clasificaciónde Suelos. Estudios, Muestreo y Análisis. 2002; p. 73. Available online: https://www.ordenjuridico.gob.mx/Documentos/Federal/wo69255.pdf (accessed on 11 February 2025).
- Bouyoucos, G.J. Hydrometer Method Improved for Making Particle Size Analyses of Soils1. Agron. J. 1962, 54, 464–465. [Google Scholar] [CrossRef]
- U.S. Department of Agriculture (USDA). Soil Survey Manual; United Department of Agriculture: Washington, DC, USA, 1951.
- Thomas, G.W. Soil pH and Soil Acidity. In Methods of Soil Analysis; John Wiley & Sons, Ltd.: Hoboken, NJ, USA, 1996; pp. 475–490. ISBN 978-0-89118-866-7. [Google Scholar]
- Hendrickx, J.M.H.; Borchers, B.; Corwin, D.L.; Lesch, S.M.; Hilgendorf, A.C.; Schlue, J. Inversion of Soil Conductivity Profiles from Electromagnetic Induction Measurements. Soil Sci. Soc. Am. J. 2002, 66, 673–685. [Google Scholar] [CrossRef]
- Alef, K.; Nannipieri, P. Methods in Applied Soil Microbiology and Biochemistry; Academic Press: Cambridge, MA, USA, 1995. [Google Scholar]
- Walkley, A.; Black, I.A. An examination of the Degtjareff method for determining soil organic matter, and a proposed modification of the chromic acid titration method. Soil Sci. 1934, 37, 29. [Google Scholar] [CrossRef]
- Yilmaz, E.; Sönmez, M. The Role of Organic/Bio–Fertilizer Amendment on Aggregate Stability and Organic Carbon Content in Different Aggregate Scales. Soil Tillage Res. 2017, 168, 118–124. [Google Scholar] [CrossRef]
- Bremner, J.M. Nitrogen-Total. In Methods of Soil Analysis; John Wiley & Sons, Ltd.: Hoboken, NJ, USA, 1996; pp. 1085–1121. ISBN 978-0-89118-866-7. [Google Scholar]
- Conde, E.; Cardenas, M.; Ponce-Mendoza, A.; Luna-Guido, M.L.; Cruz-Mondragón, C.; Dendooven, L. The Impacts of Inorganic Nitrogen Application on Mineralization of 14C-Labelled Maize and Glucose, and on Priming Effect in Saline Alkaline Soil. Soil Biol. Biochem. 2005, 37, 681–691. [Google Scholar] [CrossRef]
- Kandeler, E.; Gerber, H. Short-Term Assay of Soil Urease Activity Using Colorimetric Determination of Ammonium. Biol. Fertil. Soils 1988, 6, 68–72. [Google Scholar] [CrossRef]
- von Mersi, W.; Schinner, F. An Improved and Accurate Method for Determining the Dehydrogenase Activity of Soils with Iodonitrotetrazolium Chloride. Biol. Fertil. Soils 1991, 11, 216–220. [Google Scholar] [CrossRef]
- Green, V.S.; Stott, D.E.; Diack, M. Assay for Fluorescein Diacetate Hydrolytic Activity: Optimization for Soil Samples. Soil Biol. Biochem. 2006, 38, 693–701. [Google Scholar] [CrossRef]
- Vance, E.D.; Brookes, P.C.; Jenkinson, D.S. An Extraction Method for Measuring Soil Microbial Biomass C. Soil Biol. Biochem. 1987, 19, 703–707. [Google Scholar] [CrossRef]
- Akarsu, C.; Madenli, Ö.; Deveci, E.Ü. Characterization of Littered Face Masks in the Southeastern Part of Turkey. Environ. Sci. Pollut. Res. 2021, 28, 47517–47527. [Google Scholar] [CrossRef]
- Liu, M.; Lu, S.; Song, Y.; Lei, L.; Hu, J.; Lv, W.; Zhou, W.; Cao, C.; Shi, H.; Yang, X.; et al. Microplastic and Mesoplastic Pollution in Farmland Soils in Suburbs of Shanghai, China. Environ. Pollut. 2018, 242, 855–862. [Google Scholar] [CrossRef]
- Beltrán-Hernández, R.I.; Luna-Guido, M.L.; Dendooven, L. Emission of Carbon Dioxide and Dynamics of Inorganic N in a Gradient of Alkaline Saline Soils of the Former Lake Texcoco. Appl. Soil Ecol. 2007, 35, 390–403. [Google Scholar] [CrossRef]
- Rustad, L.; Campbell, J.; Marion, G.; Norby, R.; Mitchell, M.; Hartley, A.; Cornelissen, J.; Gurevitch, J. GCTE-NEWS A Meta-Analysis of the Response of Soil Respiration, Net Nitrogen Mineralization, and Aboveground Plant Growth to Experimental Ecosystem Warming. Oecologia 2001, 126, 543–562. [Google Scholar] [CrossRef]
- Yang, Y.; Meng, T.; Qian, X.; Zhang, J.; Cai, Z. Evidence for Nitrification Ability Controlling Nitrogen Use Efficiency and N Losses via Denitrification in Paddy Soils. Biol. Fertil. Soils 2017, 53, 349–356. [Google Scholar] [CrossRef]
- Bedolla-Rivera, H.I.; Conde-Barajas, E.; Galván-Díaz, S.L.; Gámez-Vázquez, F.P.; Álvarez-Bernal, D.; Xochilt Negrete-Rodríguez, M.d.l.L. Compost Quality Indexes (CQIs) of Biosolids Using Physicochemical, Biological and Ecophysiological Indicators: C and N Mineralization Dynamics. Agronomy 2022, 12, 2290. [Google Scholar] [CrossRef]
- Dumontet, S.; Mazzatura, A.; Casucci, C.; Perucci, P. Effectiveness of Microbial Indexes in Discriminating Interactive Effects of Tillage and Crop Rotations in a Vertic Ustorthens. Biol. Fertil. Soils 2001, 34, 411–416. [Google Scholar] [CrossRef]
- Bedolla-Rivera, H.; Negrete-Rodríguez, M.X.; Medina-Herrera, M.; Gámez-Vázquez, F.; Álvarez-Bernal, D.; Samaniego-Hernández, M.; Gámez-Vázquez, A.; Conde-Barajas, E. Development of a Soil Quality Index for Soils under Different Agricultural Management Conditions in the Central Lowlands of Mexico: Physicochemical, Biological and Ecophysiological Indicators. Sustainability 2020, 12, 9754. [Google Scholar] [CrossRef]
- Boluda, R.; Roca-Pérez, L.; Iranzo, M.; Gil, C.; Mormeneo, S. Determination of Enzymatic Activities Using a Miniaturized System as a Rapid Method to Assess Soil Quality. Eur. J. Soil Sci. 2014, 65, 286–294. [Google Scholar] [CrossRef]
- Mahajan, G.; Das, B.; Morajkar, S.; Desai, A.; Murgaokar, D.; Kulkarni, R.; Sale, R.; Patel, K. Soil Quality Assessment of Coastal Salt-Affected Acid Soils of India. Environ. Sci. Pollut. Res. 2020, 27, 26221–26238. [Google Scholar] [CrossRef]
- Yu, P.; Liu, S.; Zhang, L.; Li, Q.; Zhou, D. Selecting the Minimum Data Set and Quantitative Soil Quality Indexing of Alkaline Soils under Different Land Uses in Northeastern China. Sci. Total Environ. 2018, 616–617, 564–571. [Google Scholar] [CrossRef]
- Zeraatpisheh, M.; Bakhshandeh, E.; Hosseini, M.; Alavi, S.M. Assessing the Effects of Deforestation and Intensive Agriculture on the Soil Quality through Digital Soil Mapping. Geoderma 2020, 363, 114139. [Google Scholar] [CrossRef]
- Prieto-Méndez, J.; Prieto-García, F.; Acevedo-Sandoval, O.A.; Méndez-Marzo, M.A. Indicadores e índices de calidad de los suelos (ICS) cebaderos del sur del estado de hidalgo, México. Agron. Mesoam. 2013, 24, 83–91. [Google Scholar] [CrossRef]
- Castelán-Vega, R.; Tamaríz-Flores, J.V.; Ramírez-García, A.L.; Handal-Silva, A.; García-Suastegui, W.A.; Castelán-Vega, R.; Tamaríz-Flores, J.V.; Ramírez-García, A.L.; Handal-Silva, A.; García-Suastegui, W.A. Susceptibilidad ambiental a la desertificación en la microcuenca del río Azumiatla, Puebla, México. Ecosistemas Recur. Agropecu. 2019, 6, 91–101. [Google Scholar] [CrossRef]
- Hazelton, P.; Murphy, B. Interpreting Soil Test Results: What Do All the Numbers Mean? Csiro Publishing: Clayton, VIC, Australia, 2016; ISBN 978-1-4863-0397-7. [Google Scholar]
- Bettinelli, M.; Baroni, U. A Microwave Oven Digestion Method for the Determination of Metals in Sewage Sludges by ICP-AES and GFAAS. Int. J. Environ. Anal. Chem. 1991, 43, 33–40. [Google Scholar] [CrossRef]
- Xie, K.; Li, X.; He, F.; Zhang, Y.; Wan, L.; David, B.H.; Wang, D.; Qin, Y.; Gamal, M.A.F. Effect of Nitrogen Fertilization on Yield, N Content, and Nitrogen Fixation of Alfalfa and Smooth Bromegrass Grown Alone or in Mixture in Greenhouse Pots. J. Integr. Agric. 2015, 14, 1864–1876. [Google Scholar] [CrossRef]
- Burket, J.Z.; Dick, R.P. Microbial and Soil Parameters in Relation to N Mineralization in Soils of Diverse Genesis under Differing Management Systems. Biol. Fertil. Soils 1998, 27, 430–438. [Google Scholar] [CrossRef]
- Sánchez-Guzmán, A.; Bedolla-Rivera, H.I.; Conde-Barajas, E.; Negrete-Rodríguez, M.d.l.L.X.; Lastiri-Hernández, M.A.; Gámez-Vázquez, F.P.; Álvarez-Bernal, D. Corn Cropping Systems in Agricultural Soils from the Bajio Region of Guanajuato: Soil Quality Indexes (SQIs). Appl. Sci. 2024, 14, 2858. [Google Scholar] [CrossRef]
- Joergensen, R.G.; Hemkemeyer, M.; Beule, L.; Iskakova, J.; Oskonbaeva, Z.; Rummel, P.S.; Schwalb, S.A.; Wichern, F. A Hitchhiker’s Guide: Estimates of Microbial Biomass and Microbial Gene Abundance in Soil. Biol. Fertil. Soils 2024, 60, 457–470. [Google Scholar] [CrossRef]
- Szefer, E.M.; Majka, T.M.; Pielichowski, K. Characterization and Combustion Behavior of Single-Use Masks Used during COVID-19 Pandemic. Materials 2021, 14, 3501. [Google Scholar] [CrossRef]
- Jung, M.R.; Horgen, F.D.; Orski, S.V.; Rodriguez, V.; Beers, K.L.; Balazs, G.H.; Jones, T.T.; Work, T.M.; Brignac, K.C.; Royer, S.-J.; et al. Validation of ATR FT-IR to Identify Polymers of Plastic Marine Debris, Including Those Ingested by Marine Organisms. Mar. Pollut. Bull. 2018, 127, 704–716. [Google Scholar] [CrossRef]
- Morent, R.; De Geyter, N.; Leys, C.; Gengembre, L.; Payen, E. Comparison between XPS- and FTIR-Analysis of Plasma-Treated Polypropylene Film Surfaces. Surf. Interface Anal. 2008, 40, 597–600. [Google Scholar] [CrossRef]
- Socrates, G. Infrared and Raman Characteristic Group Frequencies: Tables and Charts; John Wiley & Sons: Hoboken, NJ, USA, 2004; ISBN 978-0-470-09307-8. [Google Scholar]
- Zhao, T.; Lozano, Y.M.; Rillig, M.C. Microplastics Increase Soil pH and Decrease Microbial Activities as a Function of Microplastic Shape, Polymer Type, and Exposure Time. Front. Environ. Sci. 2021, 9, 675803. [Google Scholar] [CrossRef]
- Kim, S.W.; Waldman, W.R.; Kim, T.-Y.; Rillig, M.C. Effects of Different Microplastics on Nematodes in the Soil Environment: Tracking the Extractable Additives Using an Ecotoxicological Approach. Environ. Sci. Technol. 2020, 54, 13868–13878. [Google Scholar] [CrossRef]
- Wang, F.; Zhang, X.; Zhang, S.; Zhang, S.; Sun, Y. Interactions of Microplastics and Cadmium on Plant Growth and Arbuscular Mycorrhizal Fungal Communities in an Agricultural Soil. Chemosphere 2020, 254, 126791. [Google Scholar] [CrossRef] [PubMed]
- Rong, L.; Zhao, L.; Zhao, L.; Cheng, Z.; Yao, Y.; Yuan, C.; Wang, L.; Sun, H. LDPE Microplastics Affect Soil Microbial Communities and Nitrogen Cycling. Sci. Total Environ. 2021, 773, 145640. [Google Scholar] [CrossRef] [PubMed]
- Xu, S.; Zhao, R.; Sun, J.; Sun, Y.; Xu, G.; Wang, F. Microplastics Change Soil Properties, Plant Performance, and Bacterial Communities in Salt-Affected Soils. J. Hazard. Mater. 2024, 471, 134333. [Google Scholar] [CrossRef] [PubMed]
- Da Costa, J.P.; Avellan, A.; Mouneyrac, C.; Duarte, A.; Rocha-Santos, T. Plastic Additives and Microplastics as Emerging Contaminants: Mechanisms and Analytical Assessment. TrAC Trends Anal. Chem. 2023, 158, 116898. [Google Scholar] [CrossRef]
- Liu, H.; Yang, X.; Liu, G.; Liang, C.; Xue, S.; Chen, H.; Ritsema, C.J.; Geissen, V. Response of Soil Dissolved Organic Matter to Microplastic Addition in Chinese Loess Soil. Chemosphere 2017, 185, 907–917. [Google Scholar] [CrossRef]
- Li, J.; Yu, Y.; Zhang, Z.; Cui, M. The Positive Effects of Polypropylene and Polyvinyl Chloride Microplastics on Agricultural Soil Quality. J. Soils Sediments 2023, 23, 1304–1314. [Google Scholar] [CrossRef]
- Hu, B.; Guo, P.; Han, S.; Jin, Y.; Nan, Y.; Deng, J.; He, J.; Wu, Y.; Chen, S. Distribution Characteristics of Microplastics in the Soil of Mangrove Restoration Wetland and the Effects of Microplastics on Soil Characteristics. Ecotoxicology 2022, 31, 1120–1136. [Google Scholar] [CrossRef]
- Chen, H.; Wang, Y.; Sun, X.; Peng, Y.; Xiao, L. Mixing Effect of Polylactic Acid Microplastic and Straw Residue on Soil Property and Ecological Function. Chemosphere 2020, 243, 125271. [Google Scholar] [CrossRef]
- de Souza Machado, A.A.; Lau, C.W.; Till, J.; Kloas, W.; Lehmann, A.; Becker, R.; Rillig, M.C. Impacts of Microplastics on the Soil Biophysical Environment. Environ. Sci. Technol. 2018, 52, 9656–9665. [Google Scholar] [CrossRef]
- Yuan, X.; Li, S.; Jeon, S.; Deng, S.; Zhao, L.; Lee, K.B. Valorization of Waste Polyethylene Terephthalate Plastic into N-Doped Microporous Carbon for CO2 Capture through a One-Pot Synthesis. J. Hazard. Mater. 2020, 399, 123010. [Google Scholar] [CrossRef]
- Liu, M.; Feng, J.; Shen, Y.; Zhu, B. Microplastics Effects on Soil Biota Are Dependent on Their Properties: A Meta-Analysis. Soil Biol. Biochem. 2023, 178, 108940. [Google Scholar] [CrossRef]
- Liu, X.; Li, Y.; Yu, Y.; Yao, H. Effect of Nonbiodegradable Microplastics on Soil Respiration and Enzyme Activity: A Meta-Analysis. Appl. Soil Ecol. 2023, 184, 104770. [Google Scholar] [CrossRef]
- Zhang, S.; Wang, J.; Yan, P.; Hao, X.; Xu, B.; Wang, W.; Aurangzeib, M. Non-Biodegradable Microplastics in Soils: A Brief Review and Challenge. J. Hazard. Mater. 2021, 409, 124525. [Google Scholar] [CrossRef]
- Canuto, R.A. Dehydrogenases; BoD—Books on Demand; IntechOpen: Rijeka, Croatia, 2012; ISBN 978-953-307-019-3. [Google Scholar]
- Suliman, K.H.; Gaafar, A.-R.Z.; Abdelmalik, A.M.; AlMunqedhi, B.M.; Elzein, A.; Hodhod, M.S. Microbial Dynamics and Dehydrogenase Activity in Tomato (Lycopersicon esculentum Mill.) Rhizospheres: Impacts on Growth and Soil Health across Different Soil Types. Open Chem. 2024, 22, 20230209. [Google Scholar] [CrossRef]
- Fan, L.; Tarin, M.W.K.; Zhang, Y.; Han, Y.; Rong, J.; Cai, X.; Chen, L.; Shi, C.; Zheng, Y. Patterns of Soil Microorganisms and Enzymatic Activities of Various Forest Types in Coastal Sandy Land. Glob. Ecol. Conserv. 2021, 28, e01625. [Google Scholar] [CrossRef]
- Bergkemper, F.; Schöler, A.; Engel, M.; Lang, F.; Krüger, J.; Schloter, M.; Schulz, S. Phosphorus Depletion in Forest Soils Shapes Bacterial Communities towards Phosphorus Recycling Systems. Environ. Microbiol. 2016, 18, 1988–2000. [Google Scholar] [CrossRef]
- Greenfield, L.M.; Razavi, B.S.; Bilyera, N.; Zhang, X.; Jones, D.L. Root Hairs and Protein Addition to Soil Promote Leucine Aminopeptidase Activity of Hordeum vulgare L. Rhizosphere 2021, 18, 100329. [Google Scholar] [CrossRef]
- Medina-Herrera, M.D.R.; Negrete-Rodríguez, M.D.L.L.X.; Álvarez-Trejo, J.L.; Samaniego-Hernández, M.; González-Cruz, L.; Bernardino-Nicanor, A.; Conde-Barajas, E. Evaluation of Non-Conventional Biological and Molecular Parameters as Potential Indicators of Quality and Functionality of Urban Biosolids Used as Organic Amendments of Agricultural Soils. Appl. Sci. 2020, 10, 517. [Google Scholar] [CrossRef]
- Shi, J.; Wang, J.; Lv, J.; Wang, Z.; Peng, Y.; Shang, J.; Wang, X. Microplastic Additions Alter Soil Organic Matter Stability and Bacterial Community under Varying Temperature in Two Contrasting Soils. Sci. Total Environ. 2022, 838, 156471. [Google Scholar] [CrossRef]
- Qi, R.; Jones, D.L.; Tang, Y.; Gao, F.; Li, J.; Chi, Y.; Yan, C. Regulatory Path for Soil Microbial Communities Depends on the Type and Dose of Microplastics. J. Hazard. Mater. 2024, 473, 134702. [Google Scholar] [CrossRef]
- Lehmann, A.; Leifheit, E.F.; Gerdawischke, M.; Rillig, M.C. Microplastics Have Shape- and Polymer-Dependent Effects on Soil Processes. bioRxiv 2020. [Google Scholar] [CrossRef]
- Rubol, S.; Manzoni, S.; Bellin, A.; Porporato, A. Modeling Soil Moisture and Oxygen Effects on Soil Biogeochemical Cycles Including Dissimilatory Nitrate Reduction to Ammonium (DNRA). Adv. Water Resour. 2013, 62, 106–124. [Google Scholar] [CrossRef]
- Salas-Enriquez, B.G.; Bedolla-Rivera, H.I.; Negrete-Rodríguez, M.d.l.L.X.; Torres-Huerta, A.M.; Domínguez-Crespo, M.A.; Licona-Aguilar, Á.I.; Conde-Barajas, E. Development of a Soil Quality Index “SQI” from a Former Open Dump: Dynamics of C and N Mineralization. Soil Ecol. Lett. 2024, 6, 240234. [Google Scholar] [CrossRef]
- Bedolla-Rivera, H.I.; Bedolla-Rivera, H.I.; Negrete-Rodríguez, M.d.l.L.X.; Negrete-Rodríguez, M.d.l.L.X.; Gámez-Vázquez, F.P.; Gámez-Vázquez, F.P.; Inifap, C.E.B.; Inifap, C.E.B.; Álvarez-Bernal, D.; Álvarez-Bernal, D.; et al. Comparison of Methodolgies of Soil Quality Indices (SQI) for Sodic Soil. Rev. Int. Contam. Ambient. 2022, 38, 317–334. [Google Scholar] [CrossRef]
- Legay, N.; Clément, J.C.; Grassein, F.; Lavorel, S.; Lemauviel-Lavenant, S.; Personeni, E.; Poly, F.; Pommier, T.; Robson, T.M.; Mouhamadou, B.; et al. Plant Growth Drives Soil Nitrogen Cycling and N-Related Microbial Activity through Changing Root Traits. Fungal Ecol. 2020, 44, 100910. [Google Scholar] [CrossRef]












| Soil Quality | Very High | High | Moderate | Low | Very Low |
|---|---|---|---|---|---|
| Scale | 0.08–1.00 | 0.60–0.79 | 0.40–0.59 | 0.20–0.39 | 0.00–0.19 |
| Class | 1 | 2 | 3 | 4 | 5 |
| Indicator | Values | Indicator | Values |
|---|---|---|---|
| Texture | Clay loam | N-NO2− | 6.10 ± 0.80 |
| pH | 7.50 ± 0.05 | N-NO3− | 24.98 ± 0.08 |
| EC | 0.19 ± 0.01 | N-NH4+ | 18.17 ± 1.90 |
| WHC | 102.84 ± 5.20 | UA | 213.45 ± 4.60 |
| TOC | 1.22 ± 0.02 | DHA | 264.41 ± 21.10 |
| OM | 2.12 ± 0.04 | FDA | 42.72 ± 2.50 |
| TN | 0.24 ± 0.05 | MBC | 272.94 ± 7.30 |
| C/N | 5.08 |
Disclaimer/Publisher’s Note: The statements, opinions and data contained in all publications are solely those of the individual author(s) and contributor(s) and not of MDPI and/or the editor(s). MDPI and/or the editor(s) disclaim responsibility for any injury to people or property resulting from any ideas, methods, instructions or products referred to in the content. |
© 2025 by the authors. Licensee MDPI, Basel, Switzerland. This article is an open access article distributed under the terms and conditions of the Creative Commons Attribution (CC BY) license (https://creativecommons.org/licenses/by/4.0/).
Share and Cite
Patiño-Galván, H.; Bedolla-Rivera, H.I.; Negrete-Rodríguez, M.d.l.L.X.; Herrera-Pérez, A.; Álvarez-Bernal, D.; Lastiri-Hernández, M.A.; Bernardino-Nicanor, A.; González-Cruz, L.; Conde-Barajas, E. Effects of Microplastics from Face Masks on Physicochemical and Biological Properties of Agricultural Soil: Development of Soil Quality Index “SQI”. Appl. Sci. 2025, 15, 2010. https://doi.org/10.3390/app15042010
Patiño-Galván H, Bedolla-Rivera HI, Negrete-Rodríguez MdlLX, Herrera-Pérez A, Álvarez-Bernal D, Lastiri-Hernández MA, Bernardino-Nicanor A, González-Cruz L, Conde-Barajas E. Effects of Microplastics from Face Masks on Physicochemical and Biological Properties of Agricultural Soil: Development of Soil Quality Index “SQI”. Applied Sciences. 2025; 15(4):2010. https://doi.org/10.3390/app15042010
Chicago/Turabian StylePatiño-Galván, Honorio, Héctor Iván Bedolla-Rivera, María de la Luz Xochilt Negrete-Rodríguez, Alejandra Herrera-Pérez, Dioselina Álvarez-Bernal, Marcos Alfonso Lastiri-Hernández, Aurea Bernardino-Nicanor, Leopoldo González-Cruz, and Eloy Conde-Barajas. 2025. "Effects of Microplastics from Face Masks on Physicochemical and Biological Properties of Agricultural Soil: Development of Soil Quality Index “SQI”" Applied Sciences 15, no. 4: 2010. https://doi.org/10.3390/app15042010
APA StylePatiño-Galván, H., Bedolla-Rivera, H. I., Negrete-Rodríguez, M. d. l. L. X., Herrera-Pérez, A., Álvarez-Bernal, D., Lastiri-Hernández, M. A., Bernardino-Nicanor, A., González-Cruz, L., & Conde-Barajas, E. (2025). Effects of Microplastics from Face Masks on Physicochemical and Biological Properties of Agricultural Soil: Development of Soil Quality Index “SQI”. Applied Sciences, 15(4), 2010. https://doi.org/10.3390/app15042010

