Damage Characteristics and Fracture Patterns of Sandstone Under the Coupled Effects of Blasting Stress and In Situ Stress
Abstract
1. Introduction
2. Blasting Experiment Design
3. Analysis of Rock Damage Characteristics
3.1. Macroscopic Analysis of Rock Damage Characteristics
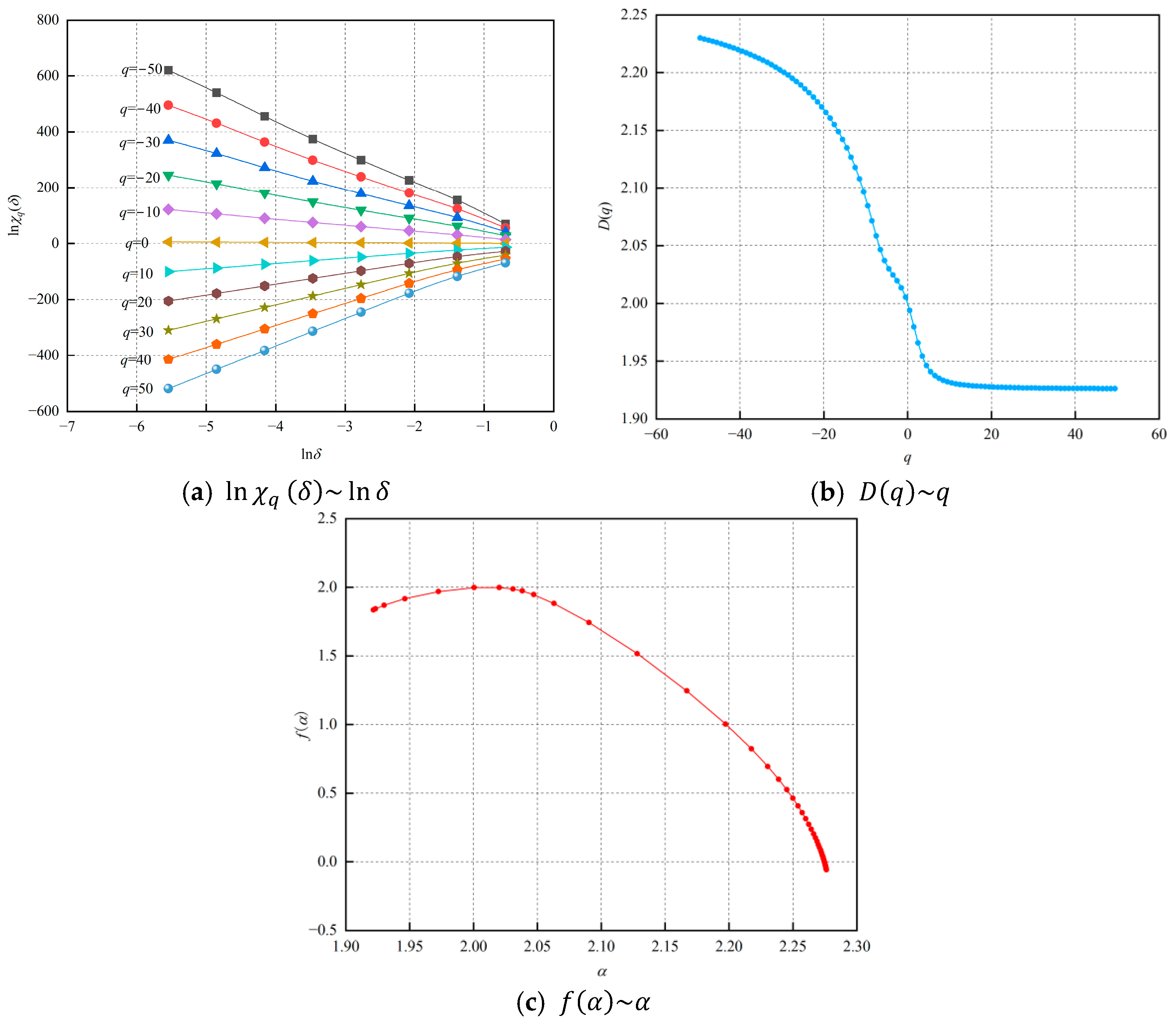
3.2. Mesoscopic Analysis of Rock Damage Characteristics
4. Analysis of Rock Fracture Patterns
4.1. Crack Fracture Morphology
4.2. Microscopic Analysis of Blasting Fracture Modes
5. Conclusions
Author Contributions
Funding
Institutional Review Board Statement
Informed Consent Statement
Data Availability Statement
Conflicts of Interest
References
- Xie, H.P. Research review of the state key research development program of China: Deep rock mechanics and mining theory. J. China Coal Soc. 2019, 44, 1283–1305. [Google Scholar]
- Charles, F. Some Challenges of Deep Mining. Engineering 2017, 3, 527–537. [Google Scholar]
- Li, P.; Cai, M.F. Challenges and new insights for exploitation of deep underground metal mineral resources. Trans. Nonferrous Met. Soc. China 2021, 31, 3478–3505. [Google Scholar] [CrossRef]
- He, M.C.; Wu, Y.Y.; Gao, Y.B.; Tao, Z.G. Research progress of rock mechanics in deep mining. J. China Coal Soc. 2024, 49, 75–99. [Google Scholar]
- Ma, S.Z.; Liu, K.W.; Yang, J.C.; Li, X.D.; Guo, T.F. Blast-induced damage characteristics and fracture mechanism of rock mass under initial stress. Explos. Shock Waves 2023, 43, 105201. [Google Scholar]
- Fan, Z.F.; Cai, J.H. Effects of Unidirectional In Situ Stress on Crack Propagation of a Jointed Rock Mass Subjected to Stress Wave. Shock Vib. 2021, 2021, 5529540. [Google Scholar] [CrossRef]
- Ge, J.J.; Xu, Y.; Huang, W.; Wang, H.B.; Yang, R.Z.; Zhang, Z.Y. Experimental Study on Crack Propagation of Rock by Blasting under Bidirectional Equal Confining Pressure Load. Nat. Sustain. 2021, 13, 12093. [Google Scholar] [CrossRef]
- Ge, J.J.; Xu, Y. Test and mechanism analysis for crack propagation by blasting in rock under the condition of unidirectional load. J. Vibroeng. 2022, 24, 885–903. [Google Scholar] [CrossRef]
- Yang, R.S.; Ding, C.X.; Li, Y.L.; Yang, L.Y.; Zhao, Y. Crack propagation behavior in slit charge blasting under high static stress conditions. Int. J. Rock Mech. Min. 2019, 119, 117–123. [Google Scholar] [CrossRef]
- Gupta, N.; Mishra, B.; Crandall, D.M. A New Workflow of X-ray CT Image Processing and Data Analysis of Structural Features in Rock Using Open-Source Software. Min. Metall. Explor. 2022, 39, 2011–2024. [Google Scholar] [CrossRef]
- Duan, Y.T.; Li, X.; Zheng, B.; He, J.M.; Hao, J. Cracking Evolution and Failure Characteristics of Longmaxi Shale Under Uniaxial Compression Using Real-Time Computed Tomography Scanning. Rock Mech. Rock Eng. 2019, 52, 3003–3015. [Google Scholar] [CrossRef]
- Ding, C.X.; Yang, R.S.; Zhu, X.G.; Feng, C.; Zhou, J. Rock fracture mechanism of air-deck charge blasting considering the action effect of blasting gas. Tunn. Undergr. Space Technol. 2023, 142, 105420. [Google Scholar] [CrossRef]
- Li, X.W.; Lan, Y.R.; Zou, J.X. A study of rock fractures. J. China Univ. Min. Technol. 1983, 12, 15–21. [Google Scholar]
- Zhang, M.; Ning, J.G.; Zhang, H.B.; Liu, X.S. Study on Microscopic Structure and Mineral Composition of Shallow Rock Using SEM. Appl. Mech. Mater. 2013, 2308, 2552–2558. [Google Scholar] [CrossRef]
- Yang, R.S.; Wang, Y.B.; Xue, H.J.; Liu, K. SEM experiment of rock crack cross section morphology after explosion fracturing with slotted cartridge. J. China Univ. Min. Technol. 2013, 42, 337–341. [Google Scholar]
- Wang, Y.B.; Wang, Z.Y.; Fu, D.R.; Luo, L. Visualization and quantitative characterization methods of post-blast rock fracture. J. China Coal Soc. 2024, 49, 1388–1402. [Google Scholar]
- Kirk, S. Shock Compression and Dynamic Fragmentation of Geological Materials. Doctoral Dissertation, University of Cambridge, Cambridge, UK, 2014. [Google Scholar]
- Xiao, C.L.; Yang, R.S.; Ding, C.X.; You, Y.Y.; Tang, W.D. Multi-Scale Research on Blasting Damage of Rock Based on Fractal Theory. Rock Mech. Rock Eng. 2024, 57, 5899–5911. [Google Scholar] [CrossRef]
- Paggi, M.; Carpinteri, A. Fractal and multifractal approaches for the analysis of cracksize dependent scaling laws in fatigue. Chaos Soliton Fractals 2007, 40, 1136–1145. [Google Scholar] [CrossRef]
- Xie, H.P.; Wang, J.A. Multifractal behaviors of fracture surfaces in rocks. Acta Mech. Sin. 1998, 30, 314–320. [Google Scholar]
- Rolph, S. Fractal geometry: Mathematical foundations and applications. Math. Gaz. 1990, 74, 288–317. [Google Scholar]
- Zhang, R.; Liu, J.; Sa, Z.; Sa, Z.Y.; Wang, Z.Q.; Lu, S.Q.; Wang, C.F. Experimental investigation on multi-fractal characteristics of acoustic emission of coal samples subjected to true triaxial loading-unloading. Fractals 2020, 28, 2050092. [Google Scholar] [CrossRef]
- Qiu, L.M.; Song, D.Z.; He, X.Q.; Wang, E.Y.; Li, Z.L.; Yin, S.; Wei, M.H.; Liu, Y. Multifractal of electromagnetic waveform and spectrum about coal rock samples subjected to uniaxial compression. Fractals 2020, 28, 2050061. [Google Scholar] [CrossRef]
- Zhu, X.G.; Ding, C.X.; Sui, Z.; Su, H.; Guo, X. Rock fracture mechanism of buffer blasting with cushion layer at the borehole bottom. Int. J. Miner. Metall. Mater. 2025, 32, 325–334. [Google Scholar] [CrossRef]





















| Slice Position/h | Bottom Segment | Charge Segment | Stemming Segment | |||||||
|---|---|---|---|---|---|---|---|---|---|---|
| 10 mm | 20 mm | 30 mm | 40 mm | 50 mm | 60 mm | 70 mm | 80 mm | 90 mm | 100 mm | |
| 0 MPa | 0.3516 | 0.3546 | 0.3572 | 0.3588 | 0.3695 | 0.3736 | 0.3786 | 0.3881 | 0.3895 | 0.3956 |
| 0.5 MPa | 0.2415 | 0.2434 | 0.2477 | 0.2582 | 0.2817 | 0.3010 | 0.3237 | 0.3360 | 0.3390 | 0.3410 |
| 1 MPa | 0.2322 | 0.2337 | 0.2381 | 0.2505 | 0.2721 | 0.2865 | 0.2913 | 0.2980 | 0.3015 | 0.3067 |
| 2 MPa | 0.2322 | 0.2379 | 0.2409 | 0.2504 | 0.2673 | 0.2764 | 0.2784 | 0.2837 | 0.2886 | 0.2967 |
| 3 MPa | 0.2235 | 0.2323 | 0.2349 | 0.2398 | 0.2489 | 0.2622 | 0.2639 | 0.2710 | 0.2753 | 0.2806 |
Disclaimer/Publisher’s Note: The statements, opinions and data contained in all publications are solely those of the individual author(s) and contributor(s) and not of MDPI and/or the editor(s). MDPI and/or the editor(s) disclaim responsibility for any injury to people or property resulting from any ideas, methods, instructions or products referred to in the content. |
© 2025 by the authors. Licensee MDPI, Basel, Switzerland. This article is an open access article distributed under the terms and conditions of the Creative Commons Attribution (CC BY) license (https://creativecommons.org/licenses/by/4.0/).
Share and Cite
Ding, C.; Guo, X.; Xu, J.; Sui, Z.; You, Y.; Zhao, D. Damage Characteristics and Fracture Patterns of Sandstone Under the Coupled Effects of Blasting Stress and In Situ Stress. Appl. Sci. 2025, 15, 1819. https://doi.org/10.3390/app15041819
Ding C, Guo X, Xu J, Sui Z, You Y, Zhao D. Damage Characteristics and Fracture Patterns of Sandstone Under the Coupled Effects of Blasting Stress and In Situ Stress. Applied Sciences. 2025; 15(4):1819. https://doi.org/10.3390/app15041819
Chicago/Turabian StyleDing, Chenxi, Xu Guo, Jiye Xu, Zhe Sui, Yuanyuan You, and Deyang Zhao. 2025. "Damage Characteristics and Fracture Patterns of Sandstone Under the Coupled Effects of Blasting Stress and In Situ Stress" Applied Sciences 15, no. 4: 1819. https://doi.org/10.3390/app15041819
APA StyleDing, C., Guo, X., Xu, J., Sui, Z., You, Y., & Zhao, D. (2025). Damage Characteristics and Fracture Patterns of Sandstone Under the Coupled Effects of Blasting Stress and In Situ Stress. Applied Sciences, 15(4), 1819. https://doi.org/10.3390/app15041819
