Mechanical Behavior of Carbon Fiber-Reinforced Concrete Structures After Structural Failure
Abstract
1. Introduction
2. Materials and Methods
- Coarse aggregate: Rolled aggregate with a granulometric fraction of 4–12 mm and a maximum aggregate size of 12 mm, siliceous in nature, in compliance with UNE-EN 12620:2003+A1:2009 (Aggregates for concrete) [41].
- Fine sand: Washed sand with a granulometric fraction of 0–4 mm, in accordance with standard UNE-EN 13139/AC:2004 [42].
- Potable water supplied by the Canal de Isabel II in the community of Madrid, meeting the technical requirements established for structural concrete.
- Plasticizer additive Sikament-165 ES, commonly used for all types of concrete.
- Polypropylene fibers: Extruded monofilaments with a diameter < 0.30 mm and a length of 12 mm (Sikafiber M-12).
- Unidirectional carbon fiber fabrics (MapeWrap C UNI-AX) with weights of 300 and 600 g/m2, equivalent dry fabric thickness of 0.164 mm, tensile strength > 4900 N/mm2, tensile modulus of 252 GPa, and elongation at break of 2%.
- Bidirectional carbon fiber fabrics (MapeWrap C BI-AX), with weights of 230 and 360 g/m2, equivalent dry fabric thicknesses of 0.064 mm and 0.1 mm, respectively, tensile strength > 4800 N/mm2, tensile modulus of 230 GPa, and elongation at break of 2.1%.
- Epoxy resin MapeWrap 31, a two-component resin used to bond the carbon fiber fabrics to concrete [43].
3. Results y Analysis
- fcc: Compressive strength of confined concrete. (N/mm2).
- fc: Compressive strength of unconfined concrete. (N/mm2).
- fl: Maximum confinement pressure due to FRP reinforcement. (N/mm2).
- Ef: Tensile modulus of elasticity of FRP. (N/mm2).
- n: Number of layers.
- tf: Thickness of the FRP material (mm).
- εfe: Effective strain in the FRP reinforcement at failure (mm/mm).
- εfu: Design tensile strain of the FRP reinforcement (mm/mm).
- Ke, φf: Coefficients.
4. Conclusions
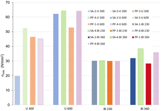
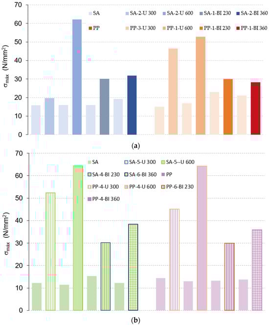
- The greatest compressive strength increases obtained by confining concrete were achieved in concretes with unconfined strengths below 15 N/mm2 (Type II), reinforced with unidirectional fabrics of 600 g/m2 weight. Specifically, a 464% increase was obtained in reference concretes (SA-5-U600) (Specimen 5 confined with MapeWrap C UNI-AX 600 carbon fibers without the addition of polypropylene fibers) and a 393% increase in concretes with polypropylene fibers (PP-4-U600) (Specimen 4 confined with MapeWrap C UNI-AX 600 carbon fibers with the addition of polypropylene fibers).
- The reinforcement of CFRP with the unidirectional fabric of 600 g/m2 results in a greater increase in strength compared to unreinforced concrete than when using a unidirectional fabric reinforcement of 300 g/m2. When reinforcement is carried out with bidirectional fabrics of 230 and 360 g/m2, the strength increases are significantly lower than those achieved with unidirectional fabrics of 300 and 600 g/m2, regardless of whether the concrete contains polypropylene fibers or not.
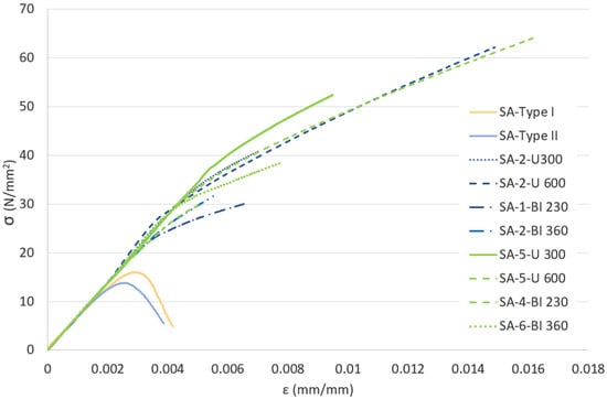
- As shown in Figure 2 and Figure 3, the strain energy density (area under the stress–strain curve) increases substantially when the concrete is reinforced with carbon fiber fabrics, reaching the highest values when unidirectional reinforcements with a weight of 600 g/m2 are used. This is observed both in reference concretes and in concretes with polypropylene fibers, significantly enhancing the ductility of the concrete.
- The confinement reinforcement of concrete with bidirectional carbon fibers increases the strength compared to unreinforced concrete, but in a similar manner regardless of the fabric weight used (230 and 360 g/m2) or whether the concrete contains polypropylene fibers or not. Higher stress levels were only achieved when the unreinforced concrete had compressive strengths below 15 N/mm2 (Type II), using the reinforcement with the higher fabric weight.
- The addition of polypropylene fibers to the concrete does not improve its compressive strength but enhances the cohesion of the concrete, thereby preventing explosive failure of the specimens.
- Type II stresses (σ < 15 N/mm2) have achieved the highest values compared to Type I stresses. Additionally, there is a closer alignment of stress values for bidirectional fibers compared to unidirectional fibers.
- Low-performance concretes with strengths below 15 N/mm2 can achieve significant increases in compressive strength when confined with unidirectional carbon fiber fabrics of 600 g/m2 weight. The same type of reinforcement in concretes with the addition of polypropylene fibers also generates significant improvements in compressive strength. However, the values obtained are not always on the safe side concerning the existing standards (ACI [48] and FIB [49]).
Author Contributions
Funding
Institutional Review Board Statement
Informed Consent Statement
Data Availability Statement
Acknowledgments
Conflicts of Interest
References
- Bakis, C.E.; Bank, L.C.; Brown, V.L.; Cosenza, E.; Davalos, J.F.; Lesko, J.J.; Machida, A.; Rizkalla, S.H.; Triantafillou, T.C. Fiber-reinforced polymer composites for construction—State-of-the-art review. J. Compos. Constr. 2002, 6, 73–87. [Google Scholar] [CrossRef]
- De, B.; Bera, M.; Bhattacharjee, D.; Ray, B.C.; Mukherjee, S. A comprehensive review on fiber-reinforced polymer composites: Raw materials to applications, recycling, and waste management. Prog. Mater. Sci. 2024, 146, 101326. [Google Scholar] [CrossRef]
- Hammad, M.; Bahrami, A.; Khokhar, S.A.; Khushnood, R.A. A State-of-the-Art Review on Structural Strengthening Techniques with FRPs: Effectiveness, Shortcomings, and Future Research Directions. Materials 2024, 17, 1408. [Google Scholar] [CrossRef] [PubMed]
- Arabshahi, A.; Tavakkolizadeh, M. Predictive model for slenderness limit of circular RC columns confined with FRP wraps. Struct. Concr. 2021, 23, 849–875. [Google Scholar] [CrossRef]
- Jiang, T.; Wang, X.F.; Zhang, W.; Chen, G.; Lin, Z. Behavior of FRP-Confined Recycled Brick Aggregate Concrete under Monotonic Compression. J. Compos. Constr. 2020, 24, 04020067. [Google Scholar] [CrossRef]
- Feng, C.; Yu, F.; Fang, Y. Mechanical behavior of PVC tube confined concrete and PVC-FRP confined concrete: A review. Structures 2021, 31, 613–635. [Google Scholar] [CrossRef]
- Bai, Y.; Dai, J.; Yaseen, Z.M. Cyclic stress-strain model incorporating buckling effect for steel reinforcing bars embedded in FRP-confined concrete. Compos. Struct. 2017, 182, 54–66. [Google Scholar] [CrossRef]
- Del Rey Castillo, E.; Griffith, M.C.; Ingham, J. Seismic behavior of RC columns flexurally strengthened with FRP sheets and FRP anchors. Compos. Struct. 2018, 203, 382–395. [Google Scholar] [CrossRef]
- Ouyang, L.; Zeng, J.; Zhen, B.; Lu, Z. Seismic retrofit of square reinforced concrete columns using basalt and carbon fiber-reinforced polymer sheets: A comparative study. Compos. Struct. 2017, 162, 294–307. [Google Scholar] [CrossRef]
- Alabduljabbar, H.; Mamun, A.A.; Alyousef, R.; Amran, Y.M. Strengthening of reinforced concrete beams by using fiber-reinforced polymer composites: A review. J. Build. Eng. 2019, 25, 100798. [Google Scholar] [CrossRef]
- Soudki, K.; Alkhrdaji, T. Guide for the design and construction of externally bonded FRP systems for strengthening concrete structures (ACI 440.2 R-02). In Structures Congress 2005: Metropolis and Beyond; American Society of Civil Engineers: Reston, VA, USA, 2005; pp. 1–8. [Google Scholar]
- Abdalla, J.A.; Hraib, F.; Hawileh, R.A.; Mirghani, A.M. Experimental investigation of bond-slip behavior of aluminum plates adhesively bonded to concrete. J. Adhes. Sci. Technol. 2017, 31, 82–99. [Google Scholar] [CrossRef]
- Smith, S.T.; Teng, J.G. FRP-strengthened RC beams. I: Review of debonding strength models. Eng. Struct. 2002, 24, 385–395. [Google Scholar] [CrossRef]
- Haroun, M.A.; Feng, M.Q.; Bhatia, H.; Baird, K.; Elsanadedy, H. Structural Qualification Testing of Composite-Jacketed Circular and Rectangular Bridge Columns; No. FHWA/CA/UCI-99-01; The National Academies of Sciences, Engineering, and Medicine: Washington, DC, USA, 1999. [Google Scholar]
- Park, T.; Na, U.J.; Chung, L.; Feng, M.Q. Compressive behavior of concrete cylinders confined by narrow strips of CFRP with spacing. Compos. Part B-Eng. 2008, 39, 1093–1103. [Google Scholar] [CrossRef]
- Chen, D.; Sun, G.; Meng, M.; Jin, X.; Li, Q. Flexural performance, and cost efficiency of carbon/basalt/glass hybrid FRP composite laminates. Thin-Walled Struct. 2019, 142, 516–531. [Google Scholar] [CrossRef]
- Zeng, J.; Guo, Y.; Zeng, J.; Chen, W. Stress-strain behavior of concrete in circular concrete columns partially wrapped with FRP strips. Compos. Struct. 2018, 200, 810–828. [Google Scholar] [CrossRef]
- Hao, H.; Hadi, M.N.S.; Youssef, J.A. Optimized FRP Wrapping Schemes for Circular Concrete Columns under Axial Compression. J. Compos. Constr. 2015, 19, 04015015. [Google Scholar] [CrossRef]
- Zeng, J.; Guo, Y.; Zeng, J.; Li, J.; Xie, J. Behavior of partially and fully FRP-confined circularized square columns under axial compression. Constr. Build. Mater. 2017, 152, 319–332. [Google Scholar] [CrossRef]
- Triantafyllou, G.G.; Rousakis, T.C.; Karabinis, A.I. Axially Loaded Reinforced Concrete Columns with a Square Section Partially Confined by Light GFRP Straps. J. Compos. Constr. 2015, 19, 04014035. [Google Scholar] [CrossRef]
- Baquer Sistach, J. La Fibra de Carbono en Refuerzo de Estructuras de Hormigón; Institut d´Estudis Estructurals: Barcelona, Spain, 2021. [Google Scholar]
- Akeed, M.H.; Qaidi, S.M.A.; Ahmed, H.U.; Faraj, R.H.; Mohammed, A.; Emad, W.; Tayeh, B.A.; Azevedo, A.R. Ultra-high-performance fiber-reinforced concrete. Part IV: Durability properties, cost assessment, applications, and challenges. Case Stud. Constr. Mater. 2022, 17, e01271. [Google Scholar] [CrossRef]
- Cao, Q.; Gao, Q.; Jia, J.; Gao, R. Early-Age Cracking Resistance of Fiber-Reinforced Expansive Self-Consolidating Concrete. Am. Concr. Inst. J. 2019, 116, 15–26. [Google Scholar] [CrossRef]
- Yousefieh, N.; Joshaghani, A.; Hajibandeh, E.; Shekarchi, M. Influence of fibers on drying shrinkage in restrained concrete. Constr. Build. Mater. 2017, 148, 833–845. [Google Scholar] [CrossRef]
- Malchiodi, B.; Pelaccia, R.; Pozzi, P.; Siligardi, C. Three sustainable polypropylene surface treatments for the compatibility optimization of PP fibers and cement matrix in fiber-reinforced concrete. Ceram. Int. 2023, 49, 24611–24619. [Google Scholar] [CrossRef]
- Mao, J.; Liang, N.; Liu, X.; Zhong, Z.; Zhou, C. Investigation on early-age cracking resistance of basalt-polypropylene fiber reinforced concrete in restrained ring tests. J. Build. Eng. 2023, 70, 106155. [Google Scholar] [CrossRef]
- Esakki, A.D.K.; Dev, S.K.A.; Gomathy, T.; Gifta, C.C. Influence of adding steel–glass–polypropylene fibers on the strength and flexural behaviour of hybrid fiber reinforced concrete. Mater. Today Proc. 2023; in press. [Google Scholar] [CrossRef]
- Taghipoor, H.; Sadeghian, A.G. Experimental investigation of single and hybrid-fiber reinforced concrete under drop weight test. Structures 2022, 43, 1073–1083. [Google Scholar] [CrossRef]
- Zhai, K.; Fang, H.; Li, B.; Guo, C.; Yang, K.; Du, X.; Du, M.; Wang, N. Failure experiment on CFRP-strengthened prestressed concrete cylinder pipe with broken wires. Tunn. Undergr. Space Technol. 2023, 135, 105032. [Google Scholar] [CrossRef]
- Khan, M.S.; Hashmi, A.F.; Shariq, M.; Ibrahim, S.M. Effects of incorporating fibres on mechanical properties of fibre-reinforced concrete: A review. Mater. Today Proc. 2023; in press. [Google Scholar] [CrossRef]
- Hosseinzadeh, H.; Salehi, A.M.; Mehraein, M.; Asadollahfardi, G. The effects of steel, polypropylene, and high-performance macro polypropylene fibers on mechanical properties and durability of high-strength concrete. Constr. Build. Mater. 2023, 386, 131589. [Google Scholar] [CrossRef]
- Su, Q.; Xu, J. Durability and mechanical properties of rubber concrete incorporating basalt and polypropylene fibers: Experimental evaluation at elevated temperatures. Constr. Build. Mater. 2023, 368, 130445. [Google Scholar] [CrossRef]
- Alhassan, M.A.; Al Rousan, R.Z.; Al Shuqari, E.A. Bond-slip behavior between fiber reinforced concrete and CFRP composites. Ain Shams Eng. J. 2019, 10, 359–367. [Google Scholar] [CrossRef]
- Liu, X.; Wu, T.; Chen, H.; Liu, Y. Compressive stress-strain behavior of CFRP-confined lightweight aggregate concrete reinforced with hybrid fibers Author links open overlay panel. Compos. Struct. 2020, 244, 112288. [Google Scholar] [CrossRef]
- Raza, A.; Rafique, U.; Masood, B.; Ali, B.; ul Haq, F.; Nawaz, M.A. Performance evaluation of hybrid fiber reinforced low strength concrete cylinders confined with CFRP wraps Ali Raza. Structures 2021, 31, 182–189. [Google Scholar] [CrossRef]
- Sathwik, M.C.; Prashanth, M.H.; Naik, S.C.; Satish, A. Experimental and numerical studies on compressive behaviour of CFRP wrapped cylindrical concrete specimens subjected to different pre-loading conditions. Mater. Today Proc. 2020, 27, 327–335. [Google Scholar] [CrossRef]
- Serrano, R.; Cobo, A.; Prieto, M.I.; González, M.N. Analysis of fire resistance of concrete with polypropylene or steel fibers. Constr. Build. Mater. 2016, 122, 302–309. [Google Scholar] [CrossRef]
- Fernández-Cánovas, M.; González-García, M.N.; Piñero, J.Á.; Cobo, A. Compressive strength behaviour of low- and medium-strength concrete specimens confined with carbon fibres in defective implementation conditions: An experimental study. Mater. De Constr. 2016, 66, e103. [Google Scholar] [CrossRef][Green Version]
- UNE-EN 197-1:2011; Cement. Part 1: Composition, Specifications, and Conformity Criteria for Common Cements. Spanish Association for Standardization: Madrid, Spain, 2011.
- Ministry of Public Works. RC-16: Instruction for the Reception of Cements. Technical General Secretariat of the Ministry of Public Works. 2016. Available online: https://www.mitma.gob.es/ (accessed on 15 June 2024).
- UNE-EN 12620:2003+A1:2009; Aggregates for Concrete. Spanish Association for Standardization: Madrid, Spain, 2009. Available online: https://www.une.org/encuentra-tu-norma/busca-tu-norma/norma?c=N0043155 (accessed on 3 June 2024).
- UNE-EN 13139/AC:2004; Aggregates for Mortar. Spanish Association for Standardization: Madrid, Spain, 2004. Available online: https://www.une.org/encuentra-tu-norma/busca-tu-norma/norma?c=N0032204 (accessed on 15 May 2024).
- Mapei Adhesivos, Selladores y Productos Químicos Para la Construcción (No Date) Spain. Available online: https://www.mapei.com/es/es/pagina-de-inicio (accessed on 13 June 2023).
- UNE-EN 12390-1:2022; Testing Hardened Concrete. Part 1: Shape, Dimensions, and Other Requirements for Specimens and Moulds. Spanish Association for Standardization: Madrid, Spain, 2022. Available online: https://www.une.org/encuentra-tu-norma/busca-tu-norma/norma?c=N0069630 (accessed on 18 April 2024).
- UNE-EN 12390-3:2020; Testing Hardened Concrete. Part 3: Compressive Strength of Test Specimens. Spanish Association for Standardization: Madrid, Spain, 2020. Available online: https://www.une.org/encuentra-tu-norma/busca-tu-norma/norma?c=N0063272 (accessed on 13 May 2024).
- CNR-DT 200 R1/2013; Guide for the Design and Construction of Externally Bonded FRP Systems for Strengthening Existing Structures. Consiglio Nazionale Delle Ricerche: Roma, Italy, 2013.
- Norma Europea EN 14889-2:2006; Fibras Para Hormigón. Parte 2: Fibras Poliméricas. Definiciones, Especificaciones y Conformidad. Asociación Española de Normalización: Madrid, Spain, 2006.
- ACI PRC-440.2-17; Guide for the Design and Construction of Externally Bonded FRP Systems for Strengthening Concrete Structures. American Concrete Institute (ACI): Toronto, ON, Canada, 2017. Available online: https://www.concrete.org/store/productdetail.aspx?ItemID=440217&Language=English&Units=US_AND_METRIC (accessed on 6 May 2023).
- Fédération Internationale du Béton (FIB). Externally Bonded FRP Reinforcement for RC Structures; International Federation for Structural Concrete: Lausanne, Switzerland, 2001. [Google Scholar]










| Specimens/ Type of Fibers | UNI AX-300 | UNI AX-600 | Specimens/ Type of Fibers | UNI AX-300 | UNI AX-600 |
|---|---|---|---|---|---|
| SA-1-U 300 | SA-1-U 600 | PP-1-U 300 | PP-1-U 600 | ||
| Type I Stresses | SA-2-U 300 | SA-2-U 600 | Type I Stresses | PP-2-U 300 | PP-2-U 600 |
| SA-3-U 300 | SA-3-U 600 | PP-3-U 300 | PP-3-U 600 | ||
| SA-4-U 300 | SA-4-U 600 | PP-4-U 300 | PP-4-U 600 | ||
| Type II Stresses | SA-5-U 300 | SA-5-U 600 | Type II Stresses | PP-5-U 300 | PP-5-U 600 |
| SA-6-U 300 | SA-6-U 600 | PP-6-U 300 | PP-6-U 600 | ||
| Specimens/ Type of Fibers | BI AX-230 | BI AX-360 | Specimens/ Type of Fibers | BI AX-230 | BI AX-360 |
| SA-1-BI 230 | SA-1-BI 360 | PP-1-BI 230 | PP-1-BI 360 | ||
| Type I Stresses | SA-2-BI 230 | SA-2-BI 360 | Type I Stresses | PP-2-BI 230 | PP-2-BI 360 |
| SA-3-BI 230 | SA-3- BI 360 | PP-3-BI 230 | PP-3-BI 360 | ||
| SA-4-BI 230 | SA-4-BI 360 | PP-4-BI 230 | PP-4-BI 360 | ||
| Type II Stresses | SA-5-BI 230 | SA-5- BI 360 | Type II Stresses | PP-5-BI 230 | PP-5-BI 360 |
| SA-6-BI 230 | SA-6-BI 360 | PP-6-BI 230 | PP-6-BI 360 |
| Specimens | σmax (N/mm2) | σult (N/mm2) | εmax | εult | |
|---|---|---|---|---|---|
| Type I ≥ 15 N/mm2 | SA | 16.24 ± 0.67 | 5.23 ± 0.43 | 0.0027 ± 0.003 | 0.0042 ± 0.006 |
| PP | 18.93 ± 0.78 | 6.09 ± 0.35 | 0.0032 ± 0.002 | 0.0047 ± 0.001 | |
| Type II ≤ 15 N/mm2 | SA | 12.62 ± 0.52 | 4.11 ± 0.50 | 0.0023 ± 0.004 | 0.0040 ± 0.008 |
| PP | 13.60 ± 0.52 | 4.09 ± 0.18 | 0.0025 ± 0.001 | 0.0045 ± 0.004 |
| Specimens | σmax (N/mm2) | (%) | σult (N/mm2) | (%) | εmax | (%) | εult | (%) | |
|---|---|---|---|---|---|---|---|---|---|
| Type I | SA-2-U 300 | 40.81 ± 1.17 | 195 | 40.81 ± 1.17 | 636 | 0.007 ± 0.04 | 192 | 0.007 ± 0.04 | 90 |
| SA-2-U 600 | 62.21 ± 0.27 | 288 | 62.21 ± 0.27 | 1187 | 0.015 ± 0.003 | 415 | 0.015 ± 0.003 | 259 | |
| SA-1-BI 230 | 30.05 ± 0.41 | 101 | 30.05 ± 0.41 | 570 | 0.007 ± 0.01 | 163 | 0.007 ± 0.01 | 48 | |
| SA-2-BI 360 | 31.91 ± 0.85 | 66 | 31.91 ± 0.85 | 450 | 0.006 ± 0.01 | 70 | 0.006 ± 0.01 | 15 | |
| Type II | SA-5-U 300 | 52.39 ± 0.38 | 328 | 52.39 ± 0.38 | 964 | 0.009 ± 0.09 | 327 | 0.009 ± 0.09 | 145 |
| SA-5-U 600 | 64.41 ± 0.89 | 464 | 64.41 ± 0.89 | 1778 | 0.016 ± 0.02 | 670 | 0.016 ± 0.02 | 603 | |
| SA-4-BI-230 | 30.21 ± 0.61 | 97 | 30.21 ± 0.61 | 557 | 0.005 ± 0.09 | 104 | 0.005 ± 0.09 | 40 | |
| SA-6-BI 360 | 38.35 ± 0.23 | 214 | 38.35 ± 0.23 | 944 | 0.008 ± 0.007 | 244 | 0.008 ± 0.007 | 106 |
| Specimens | σmax (N/mm2) | (%) | σult (N/mm2) | (%) | εmax | (%) | εult | (%) | |
|---|---|---|---|---|---|---|---|---|---|
| Type I | PP-3-U 300 | 46.45 ± 0.26 | 229 | 46.45 ± 0.26 | 992 | 0.009 ± 0.014 | 120 | 0.009 ± 0.014 | 120 |
| PP-1-U 600 | 52.86 ± 1.57 | 211 | 52.86 ± 1.57 | 937 | 0.016 ± 0.028 | 187 | 0.016 ± 0.028 | 187 | |
| PP-1-BI 230 | 29.98 ± 0.59 | 31 | 29.98 ± 0.59 | 328 | 0.006 ± 0.017 | 27 | 0.006 ± 0.017 | 27 | |
| PP-1-BI 360 | 28.28 ± 0.7 | 34 | 28.28 ± 0.7 | 345 | 0.005 ± 0.018 | −13 | 0.005 ± 0.018 | −13 | |
| Type II | PP-4-U 300 | 45.15 ± 0.68 | 214 | 45.15 ± 0.68 | 942 | 0.010 ± 0.027 | 103 | 0.010 ± 0.027 | 103 |
| PP-4-U 600 | 64.24 ± 0.66 | 393 | 64.24 ± 0.66 | 1539 | 0.018 ± 0.035 | 270 | 0.018 ± 0.035 | 270 | |
| PP-6-BI 230 | 29.95 ± 0.22 | 125 | 29.95 ± 0.22 | 645 | 0.006 ± 0.001 | 51 | 0.006 ± 0.001 | 51 | |
| PP-4-BI 360 | 35.88 ± 0.61 | 160 | 35.88 ± 0.61 | 762 | 0.008 ± 0.017 | 86 | 0.008 ± 0.017 | 86 |
| Specimens | Stresses | σmax, σult (N/mm2) | (%) | εmax, εult | (%) |
|---|---|---|---|---|---|
| SA-2-U 300 | Type I | 40.81 ± 1.17 | 14 | 0.007 ± 0.04 | 33 |
| PP-3-U 300 | Type I | 46.45 ± 0.26 | 0.009 ± 0.014 | ||
| SA-5-U 300 | Type II | 52.39 ± 0.89 | −14 | 0.009 ± 0.009 | 4 |
| PP-4-U 300 | Type II | 45.15 ± 0.68 | 0.010 ± 0.027 | ||
| SA-2-U 600 | Type I | 62.21 ± 0.27 | −15 | 0.015 ± 0.03 | 4 |
| PP-1-U 600 | Type I | 52.86 ± 1.57 | 0.016 ± 0.028 | ||
| SA-5-U 600 | Type II | 64.41 ± 0.89 | −0.3 | 0.016 ± 0.02 | 10 |
| PP-4-U 600 | Type II | 64.24 ± 0.66 | 0.018 ± 0.035 | ||
| SA-1-BI 230 | Type I | 30.05 ± 0.41 | −0.2 | 0.007 ± 0.01 | −14 |
| PP-1-BI 230 | Type I | 29.98 ± 0.59 | 0.006 ± 0.017 | ||
| SA-4-BI 230 | Type II | 30.21 ± 0.61 | −1 | 0.005 ± 0.02 | 15 |
| PP-6-BI 230 | Type II | 29.95 ± 0.22 | 0.006 ± 0.001 | ||
| SA-2-BI 360 | Type I | 31.91 ± 0.85 | −11 | 0.006 ± 0.01 | −6 |
| PP-1-BI 360 | Type I | 28.28 ± 0.70 | 0.005 ± 0.018 | ||
| SA-6-BI 360 | Type II | 38.35 ± 0.23 | −6 | 0.008 ± 0.007 | 5 |
| PP-4-BI 360 | Type II | 35.88 ± 0.61 | 0.008 ± 0.017 |
| ACI440-17 | FIB |
|---|---|
| = (4) | (7) |
| (5) | (8) |
| (6) | (9) |
Disclaimer/Publisher’s Note: The statements, opinions and data contained in all publications are solely those of the individual author(s) and contributor(s) and not of MDPI and/or the editor(s). MDPI and/or the editor(s) disclaim responsibility for any injury to people or property resulting from any ideas, methods, instructions or products referred to in the content. |
© 2025 by the authors. Licensee MDPI, Basel, Switzerland. This article is an open access article distributed under the terms and conditions of the Creative Commons Attribution (CC BY) license (https://creativecommons.org/licenses/by/4.0/).
Share and Cite
Prieto, T.G.; Prieto, M.I.; Leal, A.; Ferrández, D. Mechanical Behavior of Carbon Fiber-Reinforced Concrete Structures After Structural Failure. Appl. Sci. 2025, 15, 1783. https://doi.org/10.3390/app15041783
Prieto TG, Prieto MI, Leal A, Ferrández D. Mechanical Behavior of Carbon Fiber-Reinforced Concrete Structures After Structural Failure. Applied Sciences. 2025; 15(4):1783. https://doi.org/10.3390/app15041783
Chicago/Turabian StylePrieto, Tomas Gómez, María Isabel Prieto, Alberto Leal, and Daniel Ferrández. 2025. "Mechanical Behavior of Carbon Fiber-Reinforced Concrete Structures After Structural Failure" Applied Sciences 15, no. 4: 1783. https://doi.org/10.3390/app15041783
APA StylePrieto, T. G., Prieto, M. I., Leal, A., & Ferrández, D. (2025). Mechanical Behavior of Carbon Fiber-Reinforced Concrete Structures After Structural Failure. Applied Sciences, 15(4), 1783. https://doi.org/10.3390/app15041783

