Next Article in Journal
Research on Non-Random Vibration Analysis of Concrete Pump Truck Boom Based on Dynamic Excitation
Next Article in Special Issue
A Next-Best-View Method for Complex 3D Environment Exploration Using Robotic Arm with Hand-Eye System
Previous Article in Journal
Spectrum Auction Policy Design for International Mobile Telecommunications in South Korea: Application of Agent-Based Simulation
Previous Article in Special Issue
The Real-Time Prediction of Cracks and Wrinkles in Sheet Metal Forming According to Changes in Shape and Position of Drawbeads Based on a Digital Twin
 
 
Font Type:
Arial Georgia Verdana
Font Size:
Aa Aa Aa
Line Spacing:
Column Width:
Background:
Article

Fault-Resilient Manufacturing Scheduling with Deep Learning and Constraint Solvers

Department of Computer Engineering, Changwon National University, Changwon 51140, Republic of Korea
Appl. Sci. 2025, 15(4), 1771; https://doi.org/10.3390/app15041771
Submission received: 3 January 2025 / Revised: 2 February 2025 / Accepted: 7 February 2025 / Published: 10 February 2025
(This article belongs to the Special Issue Smart Manufacturing and Industry 4.0, 2nd Edition)

Abstract

As edge computing environments become increasingly dynamic, the need for efficient job scheduling and proactive fault prevention is becoming paramount. In such environments, minimizing machine downtime and maintaining productivity are critical challenges. In this paper, we propose an integrated approach to scheduling optimization that combines deep learning-based fault prediction with Satisfiability Modulo Theories (SMT)-based scheduling techniques. The proposed system predicts fault probabilities for machines in real time by leveraging operational state features such as temperature, vibration, tool wear, and operating hours. These fault predictions are then used as inputs to the SMT solver, which dynamically optimizes job scheduling. The system ensures task completion within deadlines while minimizing fault risks and optimizing resource utilization. To achieve this, the deep learning model continuously updates fault probabilities through a rolling prediction mechanism, allowing the scheduling system to proactively adapt to changing machine conditions. The SMT solver incorporates these predictions into its optimization process, ensuring that the schedule dynamically reflects the latest system state. The proposed method has been evaluated in simulated production line scenarios, demonstrating significant reductions in machine faults, improved scheduling efficiency, and enhanced overall system reliability. By integrating predictive maintenance with optimization techniques, this research contributes to the development of robust and adaptive scheduling systems for dynamic production environments.

1. Introduction

In modern industrial environments, edge computing has emerged as a crucial technology for processing data closer to the source while reducing delays and bandwidth usage to enable real-time decision-making. This capability is particularly valuable in tasks such as predictive maintenance and job scheduling, where timely and accurate insights are essential to maintain operational efficiency and minimize costs. With the increase of IoT (Internet of Things) devices and the growing complexity of industrial processes, efficient job scheduling has become essential for optimizing resource use and ensuring that tasks are completed on time. In these dynamic settings, predictive maintenance has gained significant attention because early detection of potential machine faults can prevent unexpected downtimes and expensive repairs [1,2]. However, the challenge lies not only in predicting when a machine is likely to fail but also in how to optimally schedule jobs across multiple machines so as to minimize these fault risks. Traditional scheduling methods often fail to adapt to the real-time nature of production environments, where machine conditions and job requirements are constantly changing. To tackle this problem, recent research has explored combined approaches that integrate machine learning techniques with optimization algorithms to provide more adaptive and intelligent scheduling solutions.
To address this challenge, we propose a novel approach that integrates deep learning-based fault prediction with Satisfiability Modulo Theories (SMT)-based scheduling optimization. Our system uses real-time sensor data, including tool wear, temperature, vibration, and operating hours, to predict the fault probabilities of machines. These predictions are then input into an SMT solver to optimize job assignments across the production line.
By combining the predictive abilities of deep learning with the decision-making strengths of SMT solvers, the proposed system improves both the efficiency and reliability of production processes. The primary contributions of this research are threefold: (1) the development of a hybrid system that integrates predictive fault models with job scheduling optimization to enhance real-time decision-making, (2) the introduction of a proactive approach to fault prevention in dynamic and edge-based production environments, and (3) the implementation of a scalable framework adaptable to various industrial contexts requiring real-time predictive maintenance and scheduling optimization. The remainder of this paper is organized as follows: Section 2 reviews related works on job scheduling and fault prevention in edge computing; Section 3 defines the system and formulates the problem; Section 4 presents the deep learning-based fault prediction model, while Section 5 details the SMT-based scheduling optimization; Section 6 describes the integration of both approaches, and Section 7 discusses the results of our case study and experiments; finally, Section 8 concludes the paper with insights and future research directions.

2. Related Work

Efficient job scheduling and predictive maintenance are crucial in modern industrial environments, with various studies proposing diverse methodologies to enhance these processes. This section categorizes existing research into SMT-based scheduling, machine learning for predictive maintenance, reinforcement learning in scheduling, and energy-aware scheduling.

2.1. Problem Definition: Hybrid Flow Shop and Parallel Machine Scheduling

Job scheduling problems encompass a wide range of models, including Flow Shop Scheduling (FSS) and Parallel Machine Scheduling (PMS) [3]. Our research focuses on a hybrid scheduling problem that integrates characteristics of both [4,5,6,7]. In this model, jobs consist of multiple tasks with predefined precedence constraints, similar to traditional FSS. However, unlike conventional FSS, each task is not restricted to a single machine but can be executed on one of several parallel machines, introducing characteristics of PMS [8,9,10]. This hybrid approach improves both machine utilization and fault tolerance, making it well-suited for dynamic production settings.

2.2. Proposed Approach: Predictive and Proactive Scheduling

Traditional scheduling approaches often assume static job assignments, making them vulnerable to unexpected machine failures. To address this issue, our research integrates Predictive and Proactive Scheduling strategies [11]:
  • Predictive Scheduling: We employ deep learning-based fault prediction to estimate machine failures in real-time and anticipate disruptions in scheduling.
  • Proactive Scheduling: Instead of reacting to failures after they occur, our approach proactively reallocates jobs to alternative machines before failures impact the system.

2.3. Comparison with Existing Approaches

Several approaches have been proposed to improve scheduling optimization and predictive maintenance in industrial environments.

2.3.1. SMT-Based Scheduling

Bofill et al. [12] proposed a system that integrates SMT solvers with optimization techniques to address complex scheduling problems in multi-machine environments under various constraints. Their research underscores the role of SMT in enhancing decision-making within real-time scheduling scenarios. Craciunas and Oliver [13] developed an SMT-based approach for static schedule generation in time-triggered networked systems, specifically targeting task- and network-level scheduling for time-sensitive, preemptive systems. Their approach employs an incremental scheduling method to improve scalability for complex systems. Finzi and Craciunas [14] further enhanced SMT-based scheduling by integrating network calculus analysis to manage the coexistence of time-triggered (TT) and rate-constrained (RC) traffic in Ethernet networks. Unlike these studies, our work uniquely incorporates real-time fault prediction to dynamically adjust job assignments, making it more adaptable to dynamic edge computing environments.
To complement SMT-based methods, researchers have also explored approaches that focus on anticipating machine failures. The following section reviews literature on machine learning techniques employed for predictive maintenance.

2.3.2. Machine Learning for Predictive Maintenance

Wahid et al. [15] introduced a hybrid CNN–LSTM framework for predictive maintenance, leveraging time series data to anticipate machine failures in Industry 4.0 settings. Ayvaz and Alpay [16] proposed a predictive maintenance system utilizing IoT data and machine learning algorithms such as Random Forest and XGBoost for real-time fault detection in manufacturing environments. Yadav et al. [17] presented a machine learning-based approach that emphasizes the comparative analysis of various models, including deep learning techniques such as LSTM, for fault prediction using real-world datasets. While these studies focus primarily on fault prediction, our research integrates fault prediction with SMT-based job scheduling optimization, enabling simultaneous fault anticipation and resource management tailored for dynamic production environments.
In addition to predictive maintenance, adaptive scheduling under uncertainty has also been approached through reinforcement learning techniques. The next section explores these methods.

2.3.3. Reinforcement Learning for Scheduling Optimization

Waschneck et al. [18] proposed a deep RL-based scheduling method using Deep Q-Learning Network (DQN) agents for complex job shop environments, particularly in semiconductor manufacturing. Their method trains cooperative RL agents in simulation environments to optimize scheduling efficiency. Wang et al. [19] developed a Deep Reinforcement Learning (DRL) approach, SRP-DRL, for cloud task scheduling, focusing on load balancing and reducing task response time by adapting to varying workloads.
In Parallel Machine Scheduling (PMS), Liu et al. [20] proposed a DRL-based PMS framework, DPMS, to address the limitations of static optimization in handling machine failures and job variations. By modeling PMS as a Markov Decision Process (MDP), DPMS dynamically adjusts job assignments using Deep Reinforcement Learning (DRL). It employs a meta-dispatching rule system to optimize scheduling policies in real time, demonstrating superior performance over traditional heuristics (e.g., SPT, LPT, MLB) and metaheuristics (e.g., GA) in dynamic environments.
Unlike these studies, which rely solely on RL for dynamic scheduling, our approach combines fault prediction through deep learning with SMT-based scheduling optimization, focusing on proactive fault management alongside adaptive scheduling. By integrating Predictive Scheduling (fault anticipation) and Proactive Scheduling (preemptive job reassignment), our framework ensures both efficiency and reliability in dynamic production settings.

2.3.4. Energy-Aware Scheduling

Berral et al. [21] discussed energy-aware scheduling in data centers using machine learning techniques. They proposed a framework that optimizes resource allocation by predicting power consumption and workload behavior, aiming to improve both energy efficiency and Service Level Agreement (SLA) compliance through workload consolidation and dynamic resource management. While their focus was on real-time machine learning-driven decisions for energy efficiency, our work contrasts by combining fault prediction and scheduling optimization to minimize machine faults in edge computing environments, thereby enhancing overall system efficiency.
The reviewed studies highlight the diverse methodologies employed in job scheduling and predictive maintenance, including SMT-based optimization, machine learning models, reinforcement learning techniques, and hybrid approaches. However, most existing methods focus primarily on either scheduling optimization or fault prediction, without fully integrating both in a dynamic and adaptive manner. Additionally, while SMT-based scheduling provides powerful optimization capabilities, it often lacks real-time adaptability, and machine learning-based fault prediction methods do not inherently optimize job scheduling. Our research addresses this gap by proposing a hybrid scheduling framework that seamlessly integrates Predictive Scheduling (fault prediction) with Proactive Scheduling (dynamic job reassignment). By leveraging deep learning for real-time fault anticipation and SMT-based optimization for dynamic job allocation, our approach enhances both efficiency and reliability in dynamic production environments, particularly in real-time edge-based production environments.

3. System Design and Scheduling Problem Definition

In this section, we define the system structure and the scheduling optimization problem. The system consists of a production line including multiple machines operate simultaneously to perform a sequence of jobs. The challenge is to allocate jobs to machines in a way that minimizes machine faults and ensures that all jobs are completed within their respective deadlines while optimizing resource usage. All symbols and definitions used are presented in Table 1.

3.1. System Overview

The following key components of the production line collectively form the foundation of the proposed scheduling system:
  • Production Line: A set of machines M = { M 1 , M 2 , , M n } capable of executing various jobs J = { J 1 , J 2 , , J m } .
  • Job and Task Definition: Jobs consist of multiple tasks with associated durations, deadlines, and priorities.
  • Machine States: Machines operate under varying conditions, including temperature, vibration, operating hours, and tool wear, which influence performance and fault probability.
  • Fault-Aware Scheduling: Scheduling decisions aim to reduce fault risks while ensuring timely job completion and efficient resource utilization.

3.2. Problem Definition and Objectives

The scheduling problem involves dynamically assigning jobs to machines while minimizing fault risks, meeting deadlines, and optimizing resource utilization. Each job consists of multiple tasks with predefined precedence constraints; in addition, machines operate under specific limitations, executing only one task at a time. Scheduling must be adaptive to real-time machine conditions to ensure system reliability and efficiency. The objective of this research is to develop an intelligent scheduling mechanism that proactively mitigates fault risks and dynamically reallocates jobs based on evolving machine states. The primary challenges in achieving an optimal scheduling solution include:
  • Fault-Aware Scheduling: Anticipate machine failures using real-time sensor data, such as vibration, temperature, and tool wear, and proactively reassign jobs to reduce the risk of disruption.
  • Deadline-Driven Task Allocation: Ensure that all jobs are completed within their specified deadlines while adapting to machine conditions without introducing significant delays.
  • Resource Utilization Optimization: Minimize machine idle time by effectively balancing workloads and preventing bottlenecks in task execution.
  • Dynamic Machine Adaptation: Continuously adjust job assignments based on real-time machine conditions to maintain operational continuity and prevent excessive wear or downtime.
By addressing these challenges, our approach enhances the adaptability and robustness of scheduling in dynamic production settings, ultimately improving overall system reliability and efficiency.

3.3. Problem Formulation

We define the scheduling problem, emphasizing the need to balance fault reduction, deadline compliance, and resource optimization in a dynamic production environment. The system-wise inputs and outputs are:
  • Inputs:
    -
    Machine States: Real-time data such as temperature (T), vibration (V), operating hours (H), and tool wear (W) provide insight into machine conditions and fault risks.
    -
    Job Characteristics: Information about tasks, their durations ( d j ), deadlines ( D j ), importance ( I j ), and task dependencies guides scheduling decisions.
  • Outputs:
    -
    Predicted fault probabilities ( P ( M i , J j , t ) ) for each machine–job pair and time step.
    -
    Optimized schedules, including task-to-machine assignments and start/end times, while respecting task dependencies and deadlines.

3.4. Mathematical Formulation

To formalize the problem, we define the following mathematical model:
  • Decision Variables:
    -
    x i , j { 0 , 1 } : Indicates whether job J j is assigned to machine M i .
    -
    S j : Start time of job J j .
    -
    E j = S j + d j : End time of job J j , where d j is the duration of job J j .
  • Objective Function:
    min i = 1 n j = 1 m t P ( M i , J j , t ) · x i , j ,
    where P ( M i , J j , t ) represents the probability of the predicted fault for machine M i executing job J j at time t.
  • Constraints:
    • Job Assignment Constraint. Every job J j must be assigned to exactly one capable machine M i :
      i = 1 n x i , j = 1 J j J .
    • Machine Capability Constraint. A job can only be assigned to a machine if it is capable of performing it, where C i , j indicates machine M i ’s capability for job J j :
      x i , j C i , j M i M , J j J .
    • Non-Overlapping Jobs Constraint. For any two distinct jobs J j and J k assigned to the same machine M i , where δ is a small positive constant ensuring non-overlapping,
      S j E k + δ ( 1 x i , j ) + M ( 1 x i , k ) ,
      S k E j + δ ( 1 x i , k ) + M ( 1 x i , j ) .
    • Job Deadline Constraint. Each job J j must be completed before its deadline D j :
      E j D j J j J .
    • Task Precedence Constraint. For jobs with predefined order, job J i must finish before job J j starts:
      S j E i if J i precedes J j .
    • Machine State Constraints. Operational parameters must remain within safe limits during job execution, where T max , V max , H max , and W max are predefined safe thresholds for temperature, vibration, operating hours, and tool wear, respectively:
      T ( M i , t ) T max t [ S j , E j ] , J j assigned to M i ,
      V ( M i , t ) V max t [ S j , E j ] , J j assigned to M i ,
      H ( M i , t ) H max t [ S j , E j ] , J j assigned to M i ,
      W ( M i , t ) W max t [ S j , E j ] , J j assigned to M i .

3.5. Integration with Fault Prediction

Fault prediction insights are seamlessly integrated into the scheduling process, creating a feedback loop between the deep learning model and the SMT solver. Figure 1 illustrates the system’s feedback loop, where fault prediction and scheduling optimization interact seamlessly. This interplay ensures proactive and fault-aware decision-making, as detailed below:
  • Fault Prediction: Using both historical and real-time machine states as input, a deep learning model (e.g., 1D-CNN) estimates fault probabilities P ( M i , J j , t ) . These probabilities highlight high-risk periods for each machine, enabling the system to anticipate potential issues and adjust schedules accordingly.
  • Scheduling Optimization: The predicted fault probabilities are dynamically incorporated into an SMT-based scheduler. This allows the system to assign tasks in a manner that avoids high-risk machine states while respecting deadlines, task dependencies, and machine constraints.
  • Synergy: Integrating predictive insights with optimization techniques not only improves scheduling reliability but also proactively addresses fault risks. For instance, tasks are rescheduled dynamically to minimize interruptions caused by unexpected machine failures, thereby reducing downtime and enhancing overall operational efficiency.

4. Deep Learning-Based Fault Prediction

In this section, we describe the deep learning model employed to predict the probability of machine faults during job execution. The model takes a set of features representing the machine’s current state as input and outputs a predicted fault probability. Selecting an appropriate model based on the data characteristics is crucial for achieving accurate predictions while maintaining computational efficiency in edge computing environments.

4.1. Data Preparation and Simulation

This subsection introduces the dataset used to train and evaluate the fault prediction model. The data simulate the operational states of three machines, denoted A, B, and C, over a 24-h period, capturing key factors influencing machine faults. The goal is to replicate realistic machine behavior, in order to enable robust model training and evaluation. The dataset comprises several key operational features recorded at one-min intervals:
  • Temperature: Reflects heat generated during operations.
  • Vibration: Indicates the intensity of mechanical oscillations.
  • Operating Hours: Tracks cumulative runtime as a wear indicator.
  • Tool Wear: Represents the wear progression of the machine tool.
  • Fault Probability: The likelihood of a fault occurring based on wear and other states.
The tool wear was designed to follow realistic wear patterns, divided into three phases:
  • Initial Wear Phase: A gradual increase in wear during the early stages of operation.
  • Stable Wear Phase: The tool wear increases steadily at a lower rate during normal operations.
  • Rapid Wear Phase: The wear rate accelerates significantly, leading to a higher fault probability as the tool nears the end of its life cycle.
The fault probability is modeled to increase as the tool wear approaches its threshold. When a tool reaches its maximum wear level, the machine is marked as faulty and requires maintenance or tool replacement, at which point the tool wear and fault probability are reset. These phases reflect the typical lifecycle of industrial tools, as illustrated in Figure 2. For Machines A, B, and C, the data reflects their distinct operational characteristics. Machine A experiences high vibration levels due to its drilling tasks, Machine B exhibits greater tool wear with minimal vibration from threading operations, and Machine C shows longer stable wear phases and higher temperature increases, consistent with milling operations.
The synthetic dataset contains:
  • Timestamp: One-min intervals over 24 h.
  • State Features: Temperature, vibration, tool wear, and operating hours.
  • Fault Probability: Modeled based on cumulative tool wear and operational state.
Table 2 provides a summary of the data for Machine A, while Figure 3 visualizes its temporal patterns across the 24-h simulation period.

4.2. Model Selection

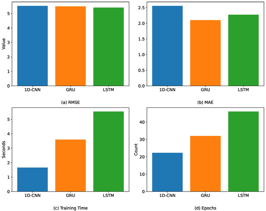
Three deep learning architectures were evaluated to determine the most suitable model for fault prediction in dynamic production environments: 1D-CNN, LSTM [22], and GRU [23]. The evaluation focused on metrics such as the Root Mean Squared Error (RMSE), Mean Absolute Error (MAE), training time, and number of epochs.
  • 1D-CNN: Known for identifying local temporal patterns, 1D-CNNs offer faster training times due to parallel processing, making them suitable for edge environments. Additionally, 1D-CNN models require fewer parameters compared to LSTM or GRU, resulting in lower memory usage and computational overhead. Their simpler architecture enhances interpretability, making it easier to analyze how different sensor inputs contribute to fault prediction.
  • LSTM: Although they are effective at capturing long-term dependencies, LSTM models are computationally intensive, requiring extended training times. While they often achieve superior accuracy, their high latency makes them less suitable for real-time applications in edge environments.
  • GRU: While GRUs combine efficiency with sequential pattern recognition, they may not fully capture temporal complexities compared to LSTMs.
As shown in Figure 4 and summarized in Table 3, although the 1D-CNN exhibited slightly higher RMSE and MAE results than the LSTM and GRU, it provided the best tradeoff between accuracy and efficiency. The significantly reduced training time and computational overhead make it a viable choice for real-time deployment in edge computing environments where rapid inference and low resource consumption are critical.

4.3. Model Architecture

The selected 1D-CNN model was designed to effectively capture temporal patterns in time series data of machine states, such as temperature, vibration, operating hours, and tool wear. The architecture balances prediction accuracy with computational efficiency, making it ideal for edge computing scenarios. The architecture details are outlined below:
  • Input Layer: The input to the model consists of sequences of machine state features with a shape of ( b a t c h _ s i z e , s e q u e n c e _ l e n g t h , f e a t u r e s );the sequence length is set to 10, and the number of features is 4 (temperature, vibration, operating hours, and tool wear).
  • Convolutional Layers: Two 1D convolutional layers apply filters to extract local temporal dependencies within the sequence. The key parameters for these layers are as follows:
    -
    Conv1: 32 filters, kernel size = 3, padding = 1, activation = ReLU.
    -
    Conv2: 32 filters, kernel size = 3, padding = 1, activation = ReLU.
  • Pooling Layers: A pooling layer follows each convolutional layer to reduce dimensionality and emphasize the most critical features, preventing overfitting and improving computational efficiency.
  • Flattening Layer: The multidimensional output from the convolutional layers is flattened into a one-dimensional vector in order to prepare it for the fully connected layer.
  • Fully-Connected Layers: These layers combine the extracted temporal features to predict the fault probability for the next 10-min interval.
  • Output Layer: This layer produces a single continuous value representing the fault probability ( P ( M i , J j , t + 10 ) ) for each machine–job pair.
The proposed architecture offers several key advantages that make it particularly suitable for real-time fault prediction in dynamic production environments. By incorporating a rolling prediction mechanism, the model generates updated fault probabilities every minute, enabling the system to dynamically adapt and make proactive scheduling decisions based on the latest machine state information. This real-time adaptability ensures that the scheduling process remains responsive to changing conditions, thereby minimizing fault risks.
In terms of computational efficiency, the use of convolutional layers allows the model to process input sequences in parallel, significantly reducing its training and inference times compared to traditional recurrent models. This efficiency is particularly beneficial in edge computing environments, where computational resources are often limited and low-latency predictions are critical. Furthermore, the architecture demonstrates strong scalability. Its design can easily accommodate variations in sequence length or the number of input features without requiring substantial modifications. This flexibility allows the model to be applied to a wide range of industrial scenarios, making it a robust solution for fault prediction in diverse manufacturing settings.

4.4. Training Process and Loss Function

The training process for the 1D-CNN model was designed to balance computational efficiency with predictive accuracy. The model was trained to minimize the error between actual and predicted fault probabilities using the Mean Absolute Error (MAE) as the loss function. The MAE is well-suited for regression tasks, providing robustness to outliers while ensuring accurate fault probability predictions. The loss function is defined as follows:
L MAE ( θ ) = 1 N i = 1 N y i f θ ( x i )
where y i is the true fault probability and f θ ( x i ) is the predicted probability.
The model was trained using historical machine state data where the true fault probabilities were known. The input features (temperature, vibration, operating hours, and tool wear) were normalized and the target output (fault probability) was scaled to a range of 0 to 100. Training was conducted using the Adam optimizer, which was chosen for its adaptive learning rate capabilities, and the hyperparameters in Table 4 were used.
The hyperparameters were determined through grid search to optimize model performance. The sequence length of 10 reflects the rolling prediction mechanism, which captures temporal dependencies over a 10-min window. The batch size of 32 was selected to balance memory usage and training efficiency, which is particularly critical in edge computing environments.
Training was performed in batches, with sequences of input features fed into the convolutional layers to extract local temporal patterns. These patterns were then passed through fully connected layers to predict fault probabilities. The model achieved convergence in an average of 22 epochs, with early stopping employed to prevent overfitting and reduce training time.
By employing these hyperparameters and training strategies, the 1D-CNN model demonstrated both computational efficiency and strong predictive performance, as discussed in the subsequent evaluation section.

5. SMT-Based Scheduling Optimization for Fault-Aware Job Assignments

In this section, we explain how Satisfiability Modulo Theories (SMT) is utilized to optimize job scheduling based on the fault probabilities predicted by the deep learning model. The objective is to minimize the risk of machine faults while ensuring that all jobs are completed within their deadlines and adhering to machine constraints.

5.1. Optimization Problem Overview

The scheduling problem is formulated as a multi-objective optimization task, where the primary goal is to minimize the total predicted fault probability across all machines and jobs. This must be achieved while satisfying job deadlines, machine availability, job precedence constraints, and other system-specific constraints. The SMT solver plays a pivotal role in handling this optimization by considering both the predicted fault probabilities and the various operational constraints inherent to the production environment.

5.2. Integration with Fault Prediction

The SMT solver dynamically incorporates the fault probabilities predicted by the deep learning model. This integration allows the scheduler to adapt to real-time machine conditions, ensuring proactive and fault-aware scheduling. Key aspects of integration are:
  • Real-Time Data Utilization: Continuous updates of fault probabilities inform the scheduler, enabling prompt responses to changing machine states.
  • Dynamic Schedule Adjustment: The SMT solver re-optimizes job assignments and timings as fault probabilities change, maintaining minimal fault risks.
  • Resource Constraints Consideration: The scheduler simultaneously accounts for fault probabilities and operational constraints, ensuring feasible and optimized job assignments.

6. Integration Mechanism for Fault Prediction and Scheduling Optimization

This section explores the seamless integration of deep learning-based fault prediction with SMT-based scheduling optimization. By establishing a feedback loop between these two techniques, the system dynamically adapts job schedules in real-time based on current machine conditions. This integration minimizes the risk of faults while enhancing production efficiency.

6.1. Feedback Loop Mechanism

The interaction between the deep learning model and the SMT solver operates iteratively. Real-time machine state data, denoted as S ( t ) , capture variables such as temperature ( T ( M i , t ) ), vibration ( V ( M i , t ) ), operating hours ( H ( M i , t ) ), and tool wear ( W ( M i , t ) ). These states are continuously monitored and updated to provide a snapshot of the current operational conditions of the machines.
  • Fault Probability Prediction: The deep learning model predicts fault probabilities P ( M i , J j , t ) for each machine M i based on real-time machine state data S ( t ) , which include parameters such as temperature, vibration, tool wear, and operating hours. These predictions are periodically updated as machine states evolve during production.
  • Schedule Optimization: The predicted fault probabilities P ( M i , J j , t ) are provided to the SMT solver, which optimizes the scheduling of jobs by minimizing the total fault risk while ensuring that all jobs are completed within their deadlines and that machines are utilized efficiently.
  • Continuous Update and Real-Time Adaptation: As new machine state data become available (either after job completions or at regular intervals), the deep learning model recalculates P ( M i , J j , t ) ; these updated predictions trigger the SMT solver to re-optimize the job schedule based on the latest conditions, enabling continuous real-time adaptation of job scheduling and fault risk mitigation.

6.2. Real-Time Data Integration

The effectiveness of the integrated system relies on the continuous availability of the real-time machine state variables S ( t ) , including the temperature, vibration, operating hours, and tool wear for each machine M i at time t. These states are collected through sensors and processed by the deep learning model to predict fault probabilities P ( M i , J j , t ) . The SMT solver then uses these predictions to adjust the job schedules dynamically. This dynamic integration ensures that the system remains responsive to evolving machine conditions, allowing for proactive fault mitigation and optimized resource allocation.
  • Dynamic Updates: As the machine state data evolve, the fault probability P ( M i , J j , t ) is recalculated by the deep learning model. This ensures that scheduling optimization reflects the most current conditions of the machines.
  • Real-Time Scheduling: The SMT solver receives the updated P ( M i , J j , t ) and re-optimizes the schedule to minimize overall fault risk while considering job deadlines and machine availability.

6.3. Algorithm for Integrated System

To highlight the interaction between the deep learning model and the SMT solver, Algorithm 1 outlines the steps involved in the integrated system’s operation.

6.4. Benefits of the Integrated System

Integrating deep learning-based fault prediction with SMT-based scheduling optimization offers several key advantages for production line management:
  • Proactive Fault Prevention: The deep learning model predicts potential machine faults before they occur, enabling the SMT solver to adjust job schedules proactively. This reduces the likelihood of unexpected breakdowns and enhances overall system reliability.
  • Efficient Scheduling: By incorporating fault probability P ( M i , J j , t ) into the scheduling process, the SMT solver optimizes job assignments to minimize both fault risk and machine downtime. This leads to increased operational efficiency and productivity.
  • Flexibility and Adaptability: The feedback loop allows the system to continuously adapt to real-time changes in machine conditions and job requirements. This flexibility ensures smooth operation even in dynamic and unpredictable production environments.
Algorithm 1 Integration of Fault Prediction and SMT-Based Scheduling Optimization
  1:
procedure INTEGRATED_OPTIMIZATION(Real-time Machine States S ( t ) , Jobs J, Constraints)
  2:
    while Production Line Active do
  3:
         S ( t ) Acquire real-time machine state data from sensors
  4:
         P ( M i , J j , t ) Predict Fault Probabilities using Deep Learning Model
      (Fault prediction step)
  5:
        Initialize SMT Solver
      (Start SMT-based scheduling optimization)
  6:
        Define S j , E j , and x i , j as SMT Variables
      for all J j J and M i M
  7:
        for each J j J  do
  8:
           Add constraint: E j D j
      (Deadline constraint)
  9:
           Add constraint: x i , j C i , j for all M i M
      (Machine capability constraint)
10:
           Add constraint: E j = S j + d j
      (Job duration)
11:
        end for
12:
        for each pair of jobs ( J j , J k ) J × J , J j J k  do
13:
           for each M i M  do
14:
               Add constraint: x i , j + x i , k 1 S j E k + δ S k E j + δ
      (Non-overlapping jobs)
15:
           end for
16:
        end for
17:
        total_fault_cost ← 0
18:
        for each J j J  do
19:
           for each M i M  do
20:
               total_fault_cost ← total_fault_cost + P ( M i , J j , E j ) · x i , j
      (Fault risk minimization)
21:
           end for
22:
        end for
23:
        Minimize total_fault_cost
24:
        if solver.check() = SAT then
25:
           solution ← solver.model()
26:
           for each J j J  do
27:
               Assign J j to M i where x i , j = 1 with schedule ( S j , E j )
28:
           end for
29:
        else
30:
           Return “No feasible schedule found”
31:
        end if
32:
        if Model Drift Detected then
33:
           Retrain or Fine-tune Deep Learning Model with new data
      (Adaptation step)
34:
        end if
35:
    end while
36:
end procedure

6.5. Implementation Challenges

While the integration of deep learning and SMT brings numerous benefits, it also presents several challenges that must be addressed to ensure system effectiveness and reliability:
  • Scalability: As the number of machines and jobs increases, the complexity of the scheduling optimization problem grows exponentially. To maintain real-time performance, efficient algorithms and robust hardware support are essential, such as GPUs for deep learning computations.
  • Data Reliability: The accuracy of fault predictions P ( M i , J j , t ) depends on the quality of the real-time machine state data. Noisy, incomplete, or missing data can significantly degrade prediction performance, and consequently scheduling effectiveness. Implementing robust data preprocessing and handling techniques is crucial to mitigating these issues.
  • Solver Performance: The SMT solver must efficiently handle large-scale optimization problems to provide timely solutions. In cases where exact solutions are computationally expensive, integrating heuristic or approximation algorithms with the SMT solver may be necessary in order to achieve acceptable performance within required time frames.

7. Case Study and Results

This section presents a case study to evaluate the integration of deep learning-based fault prediction with SMT-based scheduling optimization using synthetically generated data. The case study outlines the system setup, experimental design, and performance metrics, demonstrating the proposed system’s effectiveness in minimizing fault risks and optimizing production schedules.

7.1. Case Study Overview

  • Objective: To evaluate the system’s ability to predict machine faults and optimize job schedules effectively in a simulated manufacturing environment.
  • Scope: A production line with three machines operating continuously for 24 h, processing five predefined jobs with diverse task durations and constraints.
  • Significance: Highlights the potential for improving production efficiency and reliability through the proposed integration.

7.2. Experimental Setup

Scheduling optimization was performed using the Z3 SMT Solver (version 4.8.13) integrated into a Python environment (version 3.9). The experiments simulated real-time machine states and job scheduling under dynamically evolving fault probabilities. The solver was configured to minimize cumulative fault risk while satisfying job deadlines and machine constraints.
The experiments were conducted on a system equipped with an AMD Ryzen 9 3900X processor (12 cores, 24 threads, base clock speed of 3.79 GHz), 64.0 GB RAM, and an NVIDIA GeForce RTX 2080 Ti GPU with 11.0 GB dedicated memory. This hardware configuration ensured efficient execution of both the deep learning fault prediction and the SMT-based scheduling optimization.
Solver performance metrics, including execution time and schedule feasibility, were recorded to evaluate the system’s effectiveness under various scenarios.

7.2.1. Production Line Description and Case Study Design

The case study environment consists of eight machines organized in three groups (A, B, C) processing twelve jobs with varying priorities and due dates. This configuration was carefully designed to balance experimental complexity with practical relevance to real-world manufacturing scenarios. The setup mirrors typical production environments where multiple parallel machines perform identical tasks, allowing for operational flexibility and workload distribution.
  • Machines: Eight machines in three groups:
    -
    Group A: Three machines ( A 1 , A 2 , A 3 ) for Task A
    -
    Group B: Three machines ( B 1 , B 2 , B 3 ) for Task B
    -
    Group C: Two machines ( C 1 , C 2 ) for Task C
  • Jobs: Twelve jobs ( J 1 to J 12 ) with:
    -
    Task sequences (e.g., Task A → Task B)
    -
    Due dates and priority levels (1–9, where 9 is highest)
    -
    Processing times: Task A (3 units), Task B (2 units), Task C (3 units)
This experimental setup offers several key advantages for validating the proposed methodology. The parallel machine configuration within each group enables thorough testing of fault-response strategies and load balancing capabilities. When faults occur, the system can explore various task reallocation options among identical machines, which is similar to actual manufacturing environments. The number of jobs and their varying characteristics create a sufficiently complex scheduling problem with approximately 30 total tasks, generating a large solution space that challenges the scheduling algorithm while remaining computationally manageable.
Furthermore, this configuration provides an ideal testbed for evaluating both the fault prediction and scheduling optimization components. The controlled complexity of three machine groups maintains clarity in process flow while offering enough scheduling alternatives to demonstrate the system’s ability to handle resource conflicts, priority-based decisions, and fault avoidance strategies. The inclusion of multiple parallel machines in each group particularly enhances the study of fault-adaptive behaviors, as it allows for realistic scenarios where workload can be redistributed among alternative resources when faults are predicted.

7.2.2. Data Generation

  • Machine State Variables:
    -
    Temperature, vibration, tool wear, and operating hours recorded at 1-min intervals for 24 h.
  • Synthetic Data Characteristics:
    -
    Simulates realistic wear and tear with fault probabilities increasing as tools degrade.
    -
    Includes fault probability P ( M i , J j , t ) as the key output for optimization.

7.3. SMT-Based Scheduling Optimization

7.3.1. Problem Formulation

  • Objective: Minimize the total fault probability while ensuring job deadlines and machine utilization constraints are met.
  • Constraints:
    -
    Task order and job precedence.
    -
    Machine availability and mutual exclusivity.
    -
    Deadline compliance.
    -
    Priority level consideration.
    -
    Minimize fault probability for every task execution.

7.3.2. Integration with Deep Learning

  • Fault probabilities P ( M i , J j , t ) predicted by the 1D-CNN are dynamically input into the SMT solver to guide job scheduling decisions.
  • The SMT solver re-optimizes schedules when:
    -
    Predicted fault probability exceeds threshold
    -
    New jobs are added to the queue
    -
    Machine state changes significantly

7.4. Results and Discussion

This section presents a comparative analysis between the baseline Earliest Due Date (EDD) scheduling method and our proposed Predictive Fault-Aware Scheduling (PFAS) method. The analysis is conducted using the job definitions from Table 5, examining both fault-free and fault-present scenarios to demonstrate the effectiveness of fault-aware scheduling optimization.

7.4.1. Fault-Free Environment

In the fault-free scenario, both EDD and PFAS operate under identical scheduling principles, as neither method needs to consider fault avoidance. The scheduling decisions are based on the following scheduling criteria:
  • Due Date: Determines the deadline for job completion
  • Priority Weight: Reflects job importance and urgency
    -
    Higher priority jobs may be scheduled earlier even with later due dates
    -
    Critical for real-time decision making when conflicts occur
  • Task precedence constraints (e.g., Task A must precede Task B)
As shown in Figure 5, both methods achieve identical schedules with optimal resource utilization and timely completion of all jobs. The schedule demonstrates efficient resource allocation, with Machine Group A maintaining 100% utilization through continuous task processing. Tasks are effectively distributed across parallel machines, minimizing idle time while respecting precedence constraints. For instance, Job_05, Job_08, and Job_03 start simultaneously on different machines in Group A, followed by their respective Task B operations in Group B, showcasing the scheduler’s ability to parallelize operations efficiently. This parallel processing strategy, combined with priority-based task allocation, ensures all jobs complete within their due dates while maximizing resource utilization across all machine groups.

7.4.2. Fault-Present Environment—EDD Scheduling Results

In the fault-present, three machines exhibit high fault probabilities during specific time periods, as shown in Table 6.
Under EDD scheduling, several jobs encountered faults requiring rework, as shown in Figure 6:
  • Job_10 (Task A): Failed on Machine_A1 during time unit 5
  • Job_02 (Task A): Failed on Machine_A1 during time unit 6
  • Job_07 (Task B): Failed on Machine_B2 during time unit 9
  • Job_12 (Task C): Failed on Machine_C1 during time units 7–8
These failures triggered a cascade of scheduling disruptions. The rework requirements for Job_10 and Job_02 on Machine_A1 caused significant delays, forcing subsequent tasks to be postponed. This ripple effect particularly impacted Machine Group B’s operations, where the delayed Task B operations created resource conflicts and further scheduling complications. The situation was exacerbated by additional failures in Machine_B2 and Machine_C1, leading to multiple rework cycles that disrupted the original schedule’s efficiency. These cascading effects resulted in reduced machine utilization across all groups, with particularly significant impacts on Group B (42.9%) and Group C (57.7%), while also causing several jobs to miss their due dates.

7.4.3. Fault-Present Environment—PFAS Scheduling Results

PFAS successfully avoided all predicted faults through predictive scheduling and priority-based task allocation:
  • Machine A Group (Fault prediction for A1 during 5–7):
    -
    Job_10 (Task A): Moved to Machine_A3 (6–9) instead of A1
    -
    Job_02 (Task A): Allocated to Machine_A2 (9–12)
    -
    Job_04 (Task A): Scheduled on Machine_A1 after fault period (7–10)
  • Machine B Group (Fault prediction for B2 during 8–9):
    -
    Job_10 (Task B): Allocated to Machine_B3 (9–11)
    -
    Job_07 (Task B): Moved to Machine_B1 (9–11)
    -
    Job_04 (Task B): Scheduled on Machine_B2 after fault period (10–12)
    -
    Job_02 (Task B): Delayed to Machine_B2 (12–14) due to lower priority
  • Machine C Group (Fault prediction for C1 during 7–9):
    -
    Job_12 (Task C): Reallocated to Machine_C2 (6–9)
The scheduling results are shown in Figure 7. The PFAS method made several key scheduling adjustments based on both priority and resource utilization considerations. In terms of priority-based decisions, Job_10 with higher priority (7) was scheduled earlier on Machine_A3, while the lower-priority Job_02 (4) was delayed to accommodate other jobs. Job_04’s tasks were strategically split between Machine_A1 and B2 to maintain scheduling efficiency. These adjustments helped to achieve balanced workload distribution across machine groups while effectively utilizing alternative machines during predicted fault periods. Throughout this process, all task precedence constraints were maintained while successfully avoiding potential faults.

7.4.4. Discussion of Results

The comparative analysis between EDD and PFAS reveals several significant insights. The overall result is shown in Table 7. In the fault-free environment, both methods demonstrated identical performance across all metrics, with Machine Group A showing 100% utilization, Machine Group B at 54.5%, and Machine Group C at 83.3%, validating their basic scheduling capabilities.
In the fault-present scenario, PFAS showed notable advantages over EDD through its predictive fault avoidance and resource allocation strategies. While both methods experienced the same total completion time of 14 time units, PFAS achieved an 8.3% higher due date compliance rate (83.3% vs. 75%). This improvement was primarily achieved by preventing cascading delays that occurred in EDD due to rework operations. For instance, in EDD, Job_10’s rework led to delays in Job_02 and Job_07, whereas PFAS avoided such chain reactions by proactively scheduling jobs on alternative machines during predicted fault periods.
Machine utilization was particularly improved in PFAS through efficient alternative resource allocation. Machine Group C maintained 83.3% utilization compared to EDD’s 57.7%, representing a 25.6% improvement, mainly by redirecting Job_12 to Machine_C2 during Machine_C1’s predicted fault period. Machine Group B also showed better performance under PFAS with 47.6% utilization compared to EDD’s 42.9%, a 4.7% improvement. Most significantly, PFAS completely eliminated the need for reworks, while EDD required four rework operations, including critical jobs such as Job_10, which required 6 time units of rework across its tasks.
These results demonstrate that PFAS effectively maintains scheduling efficiency in fault-prone environments while matching EDD’s performance in fault-free conditions. The improvement is particularly notable in scenarios with complex task dependencies and multiple machine alternatives, where PFAS’s predictive capabilities can effectively prevent both direct delays from reworks and their subsequent cascading effects on dependent tasks.

7.5. Performance Evaluation

This section evaluates the computational efficiency of the proposed framework integrating deep learning-based fault prediction with SMT-based scheduling optimization. The evaluation focuses on processing times for both components, demonstrating the framework’s capability for real-time operation in edge computing environments. Table 8 summarizes the computational performance metrics.
The results demonstrate the framework’s efficiency in both prediction and optimization phases:
  • Fault Prediction Performance: The deep learning model achieves an average inference time of 0.01875 s with high consistency (standard deviation = 0.00171 s), enabling rapid fault probability assessment for each machine.
  • Scheduling Optimization Performance: The SMT-based scheduler generates optimized schedules in 0.02038 s on average (standard deviation = 0.00548 s), efficiently handling complex constraints including predicted fault probabilities and task dependencies.
The total processing time of approximately 0.04 s (prediction + optimization) enables the framework to respond to dynamic changes in near real-time. In combination with the system’s consistent performance as indicated by the low standard deviations, this rapid response capability makes it particularly suitable for practical implementation in dynamic manufacturing environments where quick scheduling decisions are crucial.

8. Conclusions

In this paper, we have proposed a hybrid approach that integrates deep learning and constraint solvers to address the challenges of proactive fault management and job scheduling in edge computing environments. Our framework combines the predictive capabilities of a deep learning model with the optimization power of a constraint solver, enabling dynamic and real-time decision-making. By leveraging machine state data such as tool wear, temperature, vibration, and operating hours, the proposed system effectively predicts machine fault probabilities and optimizes job scheduling to minimize risks and enhance operational efficiency. The main contributions of our work include the following:
  • Seamless Integration of Prediction and Optimization: Our approach bridges fault prediction with scheduling optimization, utilizing real-time fault probabilities predicted by a deep learning model to guide a constraint-based scheduler. This integration enables proactive scheduling adjustments based on evolving machine conditions.
  • Accurate Fault Prediction: The 1D-CNN model used in this paper demonstrated robust performance in predicting machine faults by analyzing temporal patterns in state data, providing a reliable basis for maintenance and scheduling decisions.
  • Optimized Scheduling: The constraint solver efficiently assigned jobs to machines, ensuring deadlines were met while minimizing fault risks and operational costs. This contributed to reduced downtime and improved resource utilization.
  • Adaptability and Scalability: The proposed framework is highly adaptable to various production scenarios. Notably, it supports retraining of the deep learning model as machine behaviors evolve and scales efficiently to larger systems with diverse job requirements.
Through comprehensive experiments and case studies, the proposed framework has been shown to significantly reduce machine fault risks and production delays while maintaining system deadlines. By integrating real-time machine state data, the system demonstrates the ability to adapt to dynamic conditions, ensuring reliable and efficient production line operations.
Future research will focus on extending the model to capture more complex machine behaviors and incorporating additional factors such as energy efficiency and resource allocation into the optimization framework. Enhancing the scalability of the constraint solver to handle larger and more intricate production environments will also be a priority. Additionally, we aim to explore the application of this framework in other domains where predictive decision-making and scheduling are critical to operational success, such as logistics and healthcare.

Funding

This research was funded by the New Faculty Financial Program at Changwon National University in 2023.

Institutional Review Board Statement

Not applicable.

Informed Consent Statement

Not applicable.

Data Availability Statement

The dataset is available on request from the corresponding author.

Conflicts of Interest

The authors declare no conflicts of interest.

Abbreviations

The following abbreviations are used in this manuscript:
SMTSatisfiability Modulo Theories
1D-CNNOne-Dimensional Convolutional Neural Network
GRUGated Recurrent Unit
LSTMLong Short-Term Memory
IoTInternet of Things
RMSERoot Mean Squared Error
MAEMean Absolute Error
SPTShortest Processing Time
LPTLongest Processing Time
MLBMinimum Load Balancing
GAGenetic Algorithm
FSSFlow Shop Scheduling
PMSParallel Machine Scheduling
DRLDeep Reinforcement Learning
DQNDeep Q-Learning Networks
DPMSDRL-based PMS
MDPMarkov Decision Process
SRP-DRLServer Real-time Performance DRL
SLAService Level Agreement

References

  1. Carvalho, T.P.; Soares, F.A.; Vita, R.; Francisco, R.d.P.; Basto, J.P.; Alcalá, S.G. A systematic literature review of machine learning methods applied to predictive maintenance. Comput. Ind. Eng. 2019, 137, 106024. [Google Scholar] [CrossRef]
  2. Theissler, A.; Pérez-Velázquez, J.; Kettelgerdes, M.; Elger, G. Predictive maintenance enabled by machine learning: Use cases and challenges in the automotive industry. Reliab. Eng. Syst. Saf. 2021, 215, 107864. [Google Scholar] [CrossRef]
  3. Gupta, J.N.; Stafford, E.F., Jr. Flowshop scheduling research after five decades. Eur. J. Oper. Res. 2006, 169, 699–711. [Google Scholar] [CrossRef]
  4. Linn, R.; Zhang, W. Hybrid flow shop scheduling: A survey. Comput. Ind. Eng. 1999, 37, 57–61. [Google Scholar] [CrossRef]
  5. Ruiz, R.; Vázquez-Rodríguez, J.A. The hybrid flow shop scheduling problem. Eur. J. Oper. Res. 2010, 205, 1–18. [Google Scholar] [CrossRef]
  6. Mönch, L.; Fowler, J.W.; Mason, S.J. Production Planning and Control for Semiconductor Wafer Fabrication Facilities: Modeling, Analysis, and Systems; Springer Science & Business Media: Berlin/Heidelberg, Germany, 2012; Volume 52. [Google Scholar]
  7. Tosun, Ö.; Marichelvam, M.K.; Tosun, N. A literature review on hybrid flow shop scheduling. Int. J. Adv. Oper. Manag. 2020, 12, 156–194. [Google Scholar] [CrossRef]
  8. Allahverdi, A. Three-machine flowshop scheduling problem to minimize total completion time with bounded setup and processing times. Decis. Mak. Manuf. Serv. 2007, 1, 5–23. [Google Scholar] [CrossRef]
  9. Xiong, H.; Shi, S.; Ren, D.; Hu, J. A survey of job shop scheduling problem: The types and models. Comput. Oper. Res. 2022, 142, 105731. [Google Scholar] [CrossRef]
  10. Fuchigami, H.Y.; Rangel, S. A survey of case studies in production scheduling: Analysis and perspectives. J. Comput. Sci. 2018, 25, 425–436. [Google Scholar] [CrossRef]
  11. Ivanov, D.; Sokolov, B.; Werner, F.; Dolgui, A. Proactive scheduling and reactive real-time control in industry 4.0. Sched. Ind. 4.0 Cloud Manuf. 2020, 289, 11–37. [Google Scholar]
  12. Bofill, M.; Coll, J.; Suy, J.; Villaret, M. SMT encodings for resource-constrained project scheduling problems. Comput. Ind. Eng. 2020, 149, 106777. [Google Scholar] [CrossRef]
  13. Craciunas, S.S.; Oliver, R.S. SMT-based task-and network-level static schedule generation for time-triggered networked systems. In Proceedings of the 22nd International Conference on Real-Time Networks and Systems, Versaille, France, 8–10 October 2014; pp. 45–54. [Google Scholar]
  14. Finzi, A.; Craciunas, S.S. Integration of SMT-based scheduling with RC network calculus analysis in TTEthernet networks. In Proceedings of the 2019 24th IEEE International Conference on Emerging Technologies and Factory Automation (ETFA), Zaragoza, Spain, 10–13 September 2019; IEEE: Piscataway, NJ, USA, 2019; pp. 192–199. [Google Scholar]
  15. Wahid, A.; Breslin, J.G.; Intizar, M.A. Prediction of machine failure in industry 4.0: A hybrid CNN-LSTM framework. Appl. Sci. 2022, 12, 4221. [Google Scholar] [CrossRef]
  16. Ayvaz, S.; Alpay, K. Predictive maintenance system for production lines in manufacturing: A machine learning approach using IoT data in real-time. Expert Syst. Appl. 2021, 173, 114598. [Google Scholar] [CrossRef]
  17. Yadav, D.K.; Kaushik, A.; Yadav, N. Predicting machine failures using machine learning and deep learning algorithms. Sustain. Manuf. Serv. Econ. 2024, 3, 100029. [Google Scholar] [CrossRef]
  18. Waschneck, B.; Reichstaller, A.; Belzner, L.; Altenmüller, T.; Bauernhansl, T.; Knapp, A.; Kyek, A. Optimization of global production scheduling with deep reinforcement learning. Procedia Cirp 2018, 72, 1264–1269. [Google Scholar] [CrossRef]
  19. Wang, J.; Li, S.; Zhang, X.; Wu, F.; Xie, C. Deep reinforcement learning task scheduling method based on server real-time performance. PeerJ Comput. Sci. 2024, 10, e2120. [Google Scholar] [CrossRef] [PubMed]
  20. Liu, C.L.; Tseng, C.J.; Huang, T.H.; Wang, J.W. Dynamic parallel machine scheduling with deep Q-network. IEEE Trans. Syst. Man, Cybern. Syst. 2023, 53, 6792–6804. [Google Scholar] [CrossRef]
  21. Berral, J.L.; Goiri, Í.; Nou, R.; Julià, F.; Guitart, J.; Gavaldà, R.; Torres, J. Towards energy-aware scheduling in data centers using machine learning. In Proceedings of the 1st International Conference on energy-Efficient Computing and Networking, Passau, Germany, 13–15 April 2010; pp. 215–224. [Google Scholar]
  22. Hochreiter, S. Long Short-term Memory. In Neural Computation; MIT-Press: Cambridge, MA, USA, 1997. [Google Scholar]
  23. Cho, K. Learning phrase representations using RNN encoder-decoder for statistical machine translation. arXiv 2014, arXiv:1406.1078. [Google Scholar]
Figure 1. Overview of the proposed fault-aware scheduling system.
Figure 1. Overview of the proposed fault-aware scheduling system.
Applsci 15 01771 g001
Figure 2. Tool wear graph for synthetic data generation.
Figure 2. Tool wear graph for synthetic data generation.
Applsci 15 01771 g002
Figure 3. Plot of generated data of Machine A (temperature, vibration, tool wear over time).
Figure 3. Plot of generated data of Machine A (temperature, vibration, tool wear over time).
Applsci 15 01771 g003
Figure 4. Comparison of model performance (RMSE, MAE, training time, epochs).
Figure 4. Comparison of model performance (RMSE, MAE, training time, epochs).
Applsci 15 01771 g004
Figure 5. Scheduling results in fault-free environment.
Figure 5. Scheduling results in fault-free environment.
Applsci 15 01771 g005
Figure 6. EDD scheduling results with faults.
Figure 6. EDD scheduling results with faults.
Applsci 15 01771 g006
Figure 7. PFAS scheduling results with fault avoidance.
Figure 7. PFAS scheduling results with fault avoidance.
Applsci 15 01771 g007
Table 1. Quick reference guide to symbols and definitions.
Table 1. Quick reference guide to symbols and definitions.
SymbolDefinition
M = { M 1 , M 2 , , M n } Set of machines in the production line
J = { J 1 , J 2 , , J m } Set of jobs to be scheduled
C i , j Indicates whether machine M i can perform job J j
d j Duration of job J j
D j Deadline of job J j
S j Start time of job J j
E j End time of job J j
x i , j Binary variable indicating the assignment of job J j to machine M i
P ( M i , J j , t ) Probability of fault for machine M i executing job J j at time t
T ( M i , t ) , V ( M i , t ) Temperature and vibration of machine M i at time t
H ( M i , t ) , W ( M i , t ) Operating hours and tool wear of machine M i at time t
S ( t ) Real-time machine state variables at time t, including T ( M i , t ) , V ( M i , t ) , H ( M i , t ) , W ( M i , t )
Table 2. Data description for Machine A.
Table 2. Data description for Machine A.
TimestampTool_WearTemperatureVibrationOperating_HoursFault_Percentage
count14401440.0000001440.0000001440.0000001440.0000001440.000000
mean2024-07-01 11:59:300.61098228.1460940.0257341.50833372.903272
25%2024-07-01 05:59:450.53806023.8811440.0166440.76250064.777758
max2024-07-01 23:59:001.00000037.8809410.0536503.000000100.000000
Table 3. Summary of model performance metrics.
Table 3. Summary of model performance metrics.
ModelRMSEMAETraining Time (s)Epochs
1D-CNN5.5204 ± 0.57382.5557 ± 1.08631.655622.30
GRU5.4882 ± 0.10632.1015 ± 0.40753.594532.00
LSTM5.4032 ± 0.64312.2741 ± 0.55135.532646.00
Table 4. Hyperparameters used for the 1D-CNN model.
Table 4. Hyperparameters used for the 1D-CNN model.
HyperparametersValues
Number of Features4
Sequence Length10
Hidden Size32
Number of Layers2
Learning Rate0.001
Batch Size32
Table 5. Job definitions and details.
Table 5. Job definitions and details.
Job IDSet of Tasks (Duration in Time Units)Due DatePriority
Job_01Task A (3 units), Task B (2 units)86
Job_02Task A (3 units), Task B (2 units), Task C (3 units)124
Job_03Task A (3 units), Task B (2 units)77
Job_04Task A (3 units), Task B (2 units)115
Job_05Task A (3 units), Task B (2 units)79
Job_06Task C (3 units)83
Job_07Task A (3 units), Task B (2 units)135
Job_08Task A (3 units), Task B (2 units)78
Job_09Task C (3 units)82
Job_10Task A (3 units), Task B (2 units), Task C (3 units)127
Job_11Task A (3 units), Task B (2 units)86
Job_12Task C (3 units)111
Task A must precede Task B when both tasks are present in a job.
Table 6. Scenario descriptions.
Table 6. Scenario descriptions.
ScenarioDescriptionNumber of Faulty Machines
Fault-freeNo machine faults0
Fault-presentFaults in Machine A1 (5–6 time units), Machine B2 (8–9 time units) and C1 (7–9 time units)3
Table 7. Performance comparison: EDD vs. PFAS.
Table 7. Performance comparison: EDD vs. PFAS.
Performance MetricMethodBaselineWith FaultsImprovement
Total Completion Time (time units)EDD1114-
PFAS11140%
Due Date Compliance (% of jobs)EDD100%75%-
PFAS100%83.3%8.3%
Machine Utilization (by group)EDDA:100%A:75%-
B:54.5%B:42.9%-
C:83.3%C:57.7%-
PFASA:100%A:75%0%
B:54.5%B:47.6%4.7%
C:83.3%C:83.3%25.6%
Number of ReworksEDD04-
PFAS00100%
Table 8. Performance metrics for fault prediction and scheduling optimization.
Table 8. Performance metrics for fault prediction and scheduling optimization.
MetricAverage (s)Standard Deviation (s)Range (s)
Fault Prediction Time0.018750.001710.0169–0.0210
Scheduling Optimization Time0.020380.005480.0126–0.0333
Disclaimer/Publisher’s Note: The statements, opinions and data contained in all publications are solely those of the individual author(s) and contributor(s) and not of MDPI and/or the editor(s). MDPI and/or the editor(s) disclaim responsibility for any injury to people or property resulting from any ideas, methods, instructions or products referred to in the content.

Share and Cite

MDPI and ACS Style

Lee, H. Fault-Resilient Manufacturing Scheduling with Deep Learning and Constraint Solvers. Appl. Sci. 2025, 15, 1771. https://doi.org/10.3390/app15041771

AMA Style

Lee H. Fault-Resilient Manufacturing Scheduling with Deep Learning and Constraint Solvers. Applied Sciences. 2025; 15(4):1771. https://doi.org/10.3390/app15041771

Chicago/Turabian Style

Lee, Hyuk. 2025. "Fault-Resilient Manufacturing Scheduling with Deep Learning and Constraint Solvers" Applied Sciences 15, no. 4: 1771. https://doi.org/10.3390/app15041771

APA Style

Lee, H. (2025). Fault-Resilient Manufacturing Scheduling with Deep Learning and Constraint Solvers. Applied Sciences, 15(4), 1771. https://doi.org/10.3390/app15041771

Note that from the first issue of 2016, this journal uses article numbers instead of page numbers. See further details here.

Article Metrics

Back to TopTop