Authorship Detection on Classical Chinese Text Using Deep Learning
Abstract
1. Introduction
2. Data and Methods
2.1. Data
2.2. Support Vector Machine Based on Term Frequency-Inverse Document Frequency
- (1)
- Pre-process the texts of DRC, dividing it into two parts, each considered manuscripts by two different authors.
- (2)
- Divide these two parts into the corresponding chapters and calculate the TF-IDF of function words in chapters as extracted features, forming the whole dataset in two parts.
- (3)
- Select ten chapters from both the non-disputed chapters and disputed ones as the training data, with the remaining used as testing data.
- (4)
- Train the SVM algorithm on the selected data and build the classification model.
- (5)
- Classify the whole dataset and observe the shift in writing patterns, attributing authorship based on the boundary of changing writing habits.
2.3. Bidirectional Long Short-Term Memory with an Attention Mechanism
3. Experiments
3.1. SVM-Based Authorship Detection on DRC
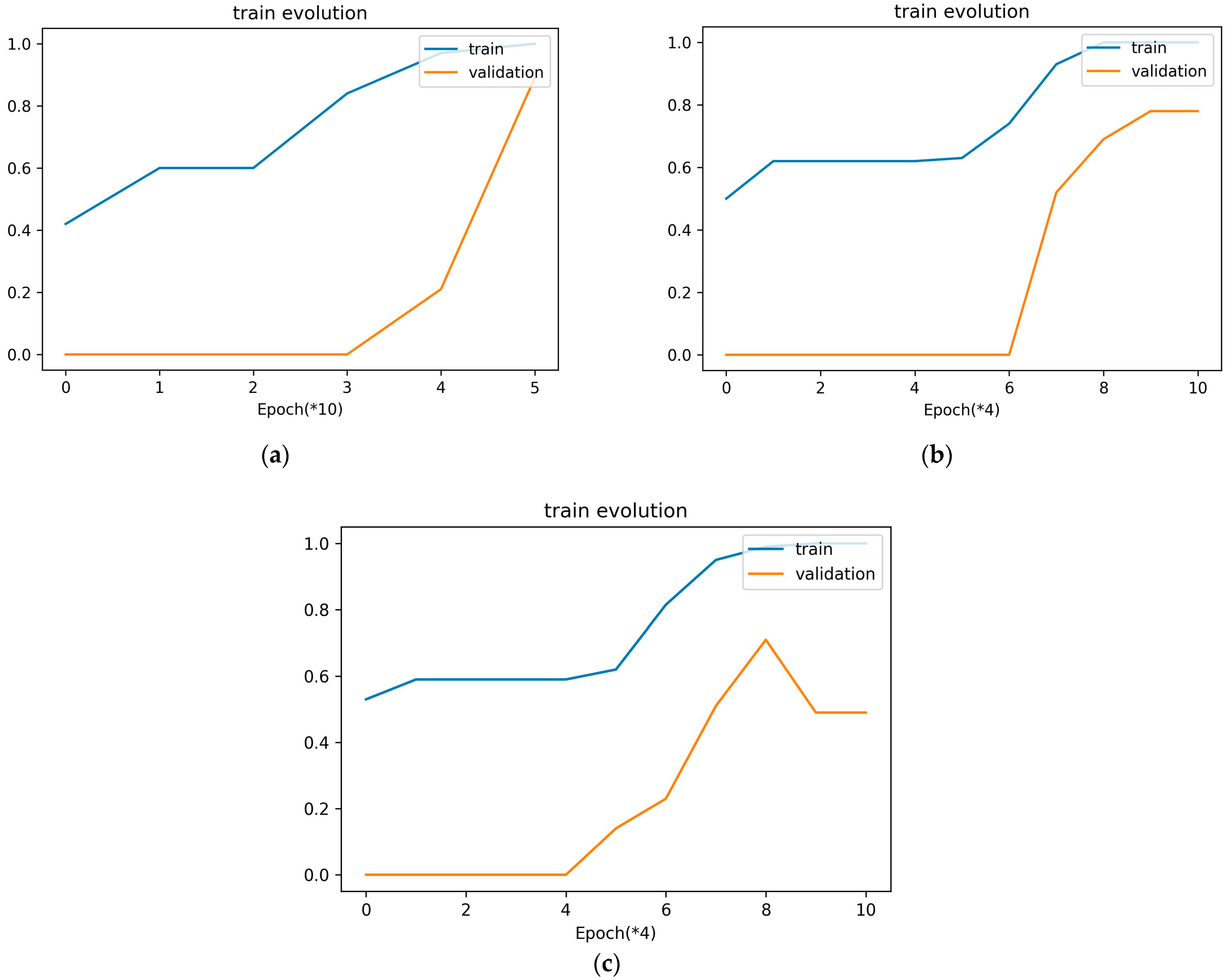
3.2. BiLSTM-Based Authorship Detection on DRC
4. Discussion
5. Conclusions
Author Contributions
Funding
Institutional Review Board Statement
Informed Consent Statement
Data Availability Statement
Conflicts of Interest
References
- He, X.; Lashkari, A.H.; Vombatkere, N.; Sharma, D.P. Authorship Attribution Methods, Challenges, and Future Research Directions: A Comprehensive Survey. Information 2024, 15, 131. [Google Scholar] [CrossRef]
- Kreuz, R. Linguistic Fingerprints: How Language Creates and Reveals Identity; Rowman & Littlefield: Lanham, MD, USA, 2023. [Google Scholar]
- Zheng, W.; Jin, M. A review on authorship attribution in text mining. Wiley Interdiscip. Rev. Comput. Stat. 2023, 15, e1584. [Google Scholar] [CrossRef]
- Jafariakinabad, F.; Tarnpradab, S.; Hua, K.A. Syntactic neural model for authorship attribution. In Proceedings of the Thirty-Third International Flairs Conference, North Miami Beach, FL, USA, 17–20 May 2020. [Google Scholar]
- Lagutina, K.; Lagutina, N.; Boychuk, E.; Larionov, V.; Paramonov, I. Authorship verification of literary texts with rhythm features. In Proceedings of the 2021 28th Conference of Open Innovations Association (FRUCT), Moscow, Russia, 27–29 January 2021; pp. 240–251. [Google Scholar]
- Finneran, R.J. The Literary Text in the Digital Age; University of Michigan Press: Ann Arbor, MI, USA, 1996. [Google Scholar]
- Acien, A.; Morales, A.; Monaco, J.V.; Vera-Rodriguez, R.; Fierrez, J. TypeNet: Deep learning keystroke biometrics. IEEE Trans. Biom. Behav. Identity Sci. 2021, 4, 57–70. [Google Scholar] [CrossRef]
- Zenkov, A.V. A novel method of stylometry based on the statistic of numerals. Comput. Res. Model. 2017, 9, 837–850. [Google Scholar] [CrossRef]
- Savoy, J. Machine Learning Methods for Stylometry; Springer: Cham, Switzerland, 2020. [Google Scholar]
- Symeonidis, S.; Effrosynidis, D.; Arampatzis, A. A comparative evaluation of pre-processing techniques and their interactions for twitter sentiment analysis. Expert Syst. Appl. 2018, 110, 298–310. [Google Scholar] [CrossRef]
- Palmer, A.; Jiménez, R.; Gervilla, E. Data mining: Machine learning and statistical techniques. In Knowledge-Oriented Applications in Data Mining; Funatsu, K., Ed.; IntechOpen: The Balearic Islands, Spain, 21 January 2011; pp. 373–396. [Google Scholar]
- Jafariakinabad, F.; Tarnpradab, S.; Hua, K.A. Syntactic recurrent neural network for authorship attribution. arXiv 2019, arXiv:1902.09723. [Google Scholar]
- Bagnall, D. Author identification using multi-headed recurrent neural networks. arXiv 2015, arXiv:1506.04891. [Google Scholar]
- Liu, C.-L.; Jin, G.-T.; Wang, H.; Liu, Q.-F.; Cheng, W.-H.; Chiu, W.-Y.; Tsai, R.T.-H.; Wang, Y.-C. Textual Analysis for Studying Chinese Historical Documents and Literary Novels. In Proceedings of the ASE BigData & SocialInformatics 2015, Kaohsiung, Taiwan, 7–9 October 2015; pp. 1–10. [Google Scholar]
- Anthony, C.Y. Rereading the Stone: Desire and the Making of Fiction in Dream of the Red Chamber; Princeton University Press: Princeton, NJ, USA, 2018. [Google Scholar]
- Shi, W. Yi Sheng Er Shu Ge: Hearing Multiple Tones at the Same Time a Study of the Dream of the Red Chamber, The Canterbury Tales and Their Readers; Wheaton College: Norton, MA, USA, 2017. [Google Scholar]
- Du, K. Authorship of Dream of the Red Chamber: A Topic Modeling Approach. In Proceedings of the DH, Würzburg, Germany, 8–11 August 2017. [Google Scholar]
- Yu, Y.; Liu, W.; Feng, Y. A quantitative study on Dream of the Red Chamber: Word-length distribution and authorship attribution. Complexity 2022, 2022, 9077360. [Google Scholar] [CrossRef]
- Karlgren, B. New Excursions in Chinese Grammar; Museum of Far Eastern Antiquities: Stockholm, Sweden, 1952. [Google Scholar]
- Chan, B.-C. The Authorship of the Dream of the Red Chamber is Based on a Computerized Statistical Study of Its Vocabulary; Joint Publishing, Company, Limited: Hong Kong, 1986. [Google Scholar]
- Zhu, H.; Lei, L.; Craig, H. Prose, verse and authorship in Dream of the Red Chamber: A stylometric analysis. J. Quant. Linguist. 2021, 28, 289–305. [Google Scholar] [CrossRef]
- Gupta, S.; Patra, T.K.; Chaudhuri, C. Role of Machine Learning in Authorship Attribution with Select Stylometric Features. In Proceedings of the International Conference on Intelligent Systems Design and Applications, Kolkata, India, 26 March 2021; pp. 920–932. [Google Scholar]
- Cervantes, J.; Garcia-Lamont, F.; Rodríguez-Mazahua, L.; Lopez, A. A comprehensive survey on support vector machine classification: Applications, challenges, and trends. Neurocomputing 2020, 408, 189–215. [Google Scholar] [CrossRef]
- Van Houdt, G.; Mosquera, C.; Nápoles, G. A review on the long short-term memory model. Artif. Intell. Rev. 2020, 53, 5929–5955. [Google Scholar] [CrossRef]
- Shao, S.; Li, Z.; Zhang, T.; Peng, C.; Yu, G.; Zhang, X.; Li, J.; Sun, J. Objects365: A large-scale, high-quality dataset for object detection. In Proceedings of the IEEE/CVF International Conference on Computer Vision, Seoul, Republic of Korea, 27 October–2 November 2019; pp. 8430–8439. [Google Scholar]
- Zhao, S.; Baldauf, R.B., Jr. Simplifying Chinese Characters: Not. In Handbook of Language and Ethnic Identity: The Success-Failure Continuum in Language and Ethnic Identity Efforts (Volume 2); Oxford University Press: New York, NY, USA, 2011; p. 168. [Google Scholar]
- Tsang, Y.-K.; Huang, J.; Wang, S.; Wang, J.; Wong, A.W.-K. Comparing word recognition in simplified and traditional Chinese: A megastudy approach. Q. J. Exp. Psychol. 2023, 77, 593–610. [Google Scholar] [CrossRef]
- Vapnik, V.; Izmailov, R. Reinforced SVM method and memorization mechanisms. Pattern Recognit. 2021, 119, 108018. [Google Scholar] [CrossRef]
- Kelcher, F. Anonymity and Imitation in Linguistic Identity Disguise; Aston University: Birmingham, UK, 2021. [Google Scholar]
- Boukhaled, M.A. A Machine Learning based Study on Classical Arabic Authorship Identification. In Proceedings of the ICAART (1), Valletta, Malta, 22–24 February 2022; pp. 489–495. [Google Scholar]
- Hochreiter, S.; Schmidhuber, J. Long short-term memory. Neural Comput. 1997, 9, 1735–1780. [Google Scholar] [CrossRef]
- DiPietro, R.; Hager, G.D. Deep learning: RNNs and LSTM. In Handbook of Medical Image Computing and Computer Assisted Intervention; Elsevier: Amsterdam, The Netherlands, 2020; pp. 503–519. [Google Scholar]
- Uchendu, A.; Le, T.; Shu, K.; Lee, D. Authorship attribution for neural text generation. In Proceedings of the 2020 Conference on Empirical Methods in Natural Language Processing (EMNLP), Online, 16–20 November 2020; pp. 8384–8395. [Google Scholar]
- Hu, W.; Gu, Z.; Xie, Y.; Wang, L.; Tang, K. Chinese text classification based on neural networks and word2vec. In Proceedings of the 2019 IEEE Fourth International Conference on Data Science in Cyberspace (DSC), Hangzhou, China, 23–25 June 2019; pp. 284–291. [Google Scholar]
- Namatēvs, I. Deep convolutional neural networks: Structure, feature extraction and training. Inf. Technol. Manag. Sci. 2017, 20, 40–47. [Google Scholar] [CrossRef]
- Luan, Y.; Lin, S. Research on text classification based on CNN and LSTM. In Proceedings of the 2019 IEEE International Conference on Artificial Intelligence and Computer Applications (ICAICA), Dalian, China, 29–31 March 2019; pp. 352–355. [Google Scholar]
- Jogin, M.; Madhulika, M.; Divya, G.; Meghana, R.; Apoorva, S. Feature extraction using convolution neural networks (CNN) and deep learning. In Proceedings of the 2018 3rd IEEE International Conference on Recent Trends in Electronics, Information & Communication Technology (RTEICT), Bangalore, India, 18–19 May 2018; pp. 2319–2323. [Google Scholar]
- Chammas, M.; Makhoul, A.; Demerjian, J. Writer identification for historical handwritten documents using a single feature extraction method. In Proceedings of the 2020 19th IEEE International Conference on Machine Learning and Applications (ICMLA), Virtual Event, 14–17 December 2020; pp. 1–6. [Google Scholar]
- Shaikh, S.; Daudpotta, S.M.; Imran, A.S. Bloom’s learning outcomes’ automatic classification using lstm and pretrained word embeddings. IEEE Access 2021, 9, 117887–117909. [Google Scholar] [CrossRef]
- Moratto, R.; Liu, K.; Chao, D.-K. Dream of the Red Chamber: Literary and Translation Perspectives; Taylor & Francis: New York, NY, USA, 2022. [Google Scholar]









| Literary-Chinese Function Words | End-Function Words | Vernacular Function Words | Transitional Function Words |
|---|---|---|---|
| Zhi (之), Qi (其), Huo (或), Yi (亦), Fang (方), Yu (于), Ji (即), Jie (皆), Yin (因), Reng (仍), Gu (故), Shang (尚), Nai (乃) | Ya (呀), Ma (吗), Lie (咧), Ba Me (罢么), A (啊), Ne (呢) | Le (了), De (的), Zhe (着), Yi (一), Bu (不), Ba (把), Rang (让), Xiang (向), Wang (往), Shi (是), Zai (在), Bie (别), Hao (好), Er (儿) | Ke (可), Bian (便), Jiu (就), Dan (但), Yue (越), Zai (再), Geng (更), Bi (比), Hen (很), Pian (偏) |
| Chapters of Author A | Chapters of Author B |
|---|---|
| 1, 2, 3, 4, 5, 7, 8, 9, 10, 12, 13, 14, 15, 16, 17, 18, 19, 20, 21, 22, 23, 24, 25, 26, 27, 28, 29, 30, 33, 34, 35, 36, 37, 38, 39, 40, 41, 42, 43, 44, 46, 47, 48, 50, 51, 52, 53, 54, 55, 57, 58, 59, 60, 62, 64, 66, 70, 71, 72, 73, 74, 75, 76, 77, 79, 80, 85 | 6, 11, 31, 32, 45, 49, 56, 61, 63, 65, 67, 68, 69, 78, 81, 82, 83, 84, 86, 87, 88, 89, 90, 91, 92, 93, 94, 95, 96, 97, 98, 99, 100, 101, 102, 103, 104, 105, 106, 107, 108, 109, 110, 111, 112, 113, 114, 115, 116, 117, 118, 119, 120 |
| Ch. 1–10 and 111–120 | Ch. 1–20 and 101–120 | Ch. 1–30 and 91–120 | |
|---|---|---|---|
| 500 words | 245 | 484 | 734 |
| 2000 words | 71 | 138 | 206 |
| 5000 words | 37 | 67 | 104 |
| Convolutional Network Layer | BiLSTM Layer |
|---|---|
| Sliding step: 1 Filter size: 3, 4, 5 Filter number: 128 Word embedding dimension: 256 | Hidden units number: 128 |
Disclaimer/Publisher’s Note: The statements, opinions and data contained in all publications are solely those of the individual author(s) and contributor(s) and not of MDPI and/or the editor(s). MDPI and/or the editor(s) disclaim responsibility for any injury to people or property resulting from any ideas, methods, instructions or products referred to in the content. |
© 2025 by the authors. Licensee MDPI, Basel, Switzerland. This article is an open access article distributed under the terms and conditions of the Creative Commons Attribution (CC BY) license (https://creativecommons.org/licenses/by/4.0/).
Share and Cite
Zhao, L.; Shi, J.; Zhang, C.; Liu, Z. Authorship Detection on Classical Chinese Text Using Deep Learning. Appl. Sci. 2025, 15, 1677. https://doi.org/10.3390/app15041677
Zhao L, Shi J, Zhang C, Liu Z. Authorship Detection on Classical Chinese Text Using Deep Learning. Applied Sciences. 2025; 15(4):1677. https://doi.org/10.3390/app15041677
Chicago/Turabian StyleZhao, Lingmei, Jianjun Shi, Chenkai Zhang, and Zhixiang Liu. 2025. "Authorship Detection on Classical Chinese Text Using Deep Learning" Applied Sciences 15, no. 4: 1677. https://doi.org/10.3390/app15041677
APA StyleZhao, L., Shi, J., Zhang, C., & Liu, Z. (2025). Authorship Detection on Classical Chinese Text Using Deep Learning. Applied Sciences, 15(4), 1677. https://doi.org/10.3390/app15041677

