Guineensine: Isolation, Synthesis, and Biological Activity
Abstract
1. Introduction
1.1. Piper Species and Uses in Traditional Medicine
1.2. Alkaloids and Alkamides in Piper Species
1.3. Guineensine and Structural Classification of Fatty Acid-Derived Piperamides
2. Isolation Methods of Guineensine from Piper Species
3. Total Synthesis and Reactions
3.1. Total Synthesis
3.1.1. The Okwute et al. Approach (1979/1984)
3.1.2. The Vig et al. Approach (1980)
3.1.3. The Shingala et al. Approach (2011)
3.1.4. The Initial Bartholomäus et al. Approach (2019)
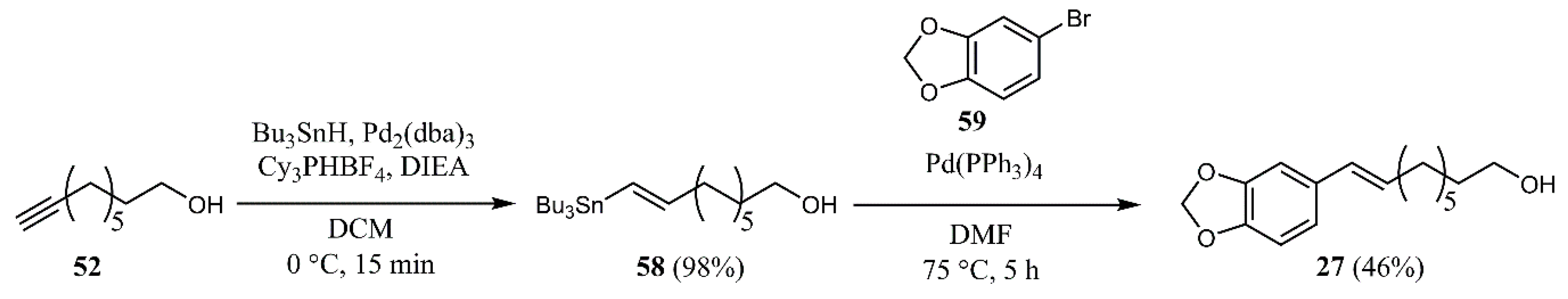
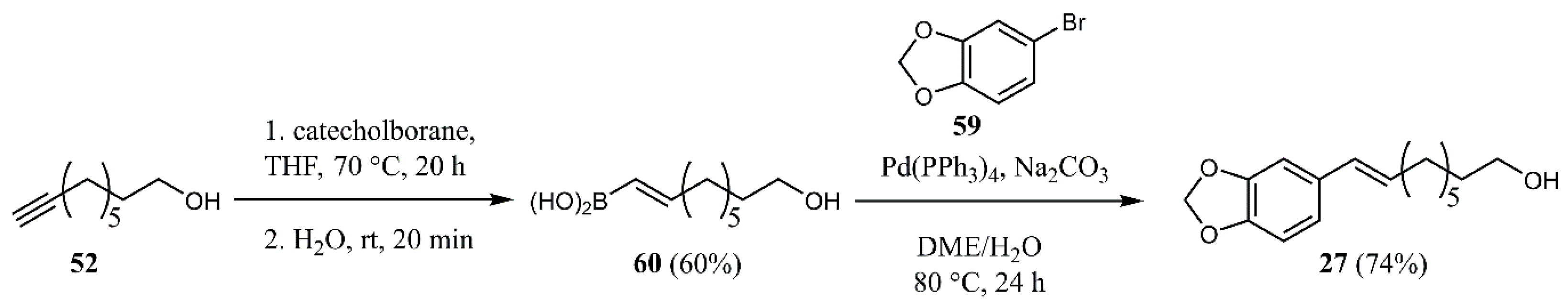
3.1.5. The Revised Bartholomäus et al. Approach (2019)
3.2. Reactions and Synthesis of Analogues
3.2.1. Direct Modifications
3.2.2. Synthesis of Analogues by Total Synthesis
4. Biological Activities
4.1. Inhibition of Endogenous Cannabinoids and Anti-Inflammatory Activity
4.2. Cholinesterase Inhibition Activity
4.3. Infectious Diseases (Antiviral, Anti-Malarial Activity)
4.4. Larvicidal–Insecticidal Activity
4.5. Other Activities
5. Discussion
Author Contributions
Funding
Data Availability Statement
Conflicts of Interest
Abbreviations
| 2-AG | Arachidonylglycerol |
| 5HT2A | Serotonin 2A receptor |
| ABHD | α/β hydrolase fold domain |
| ACAT | Acetyl-coenzyme A acetyltransferase |
| Ach | Acetylcholine |
| AChE | Acetylcholinesterase |
| AEA | Arachidonylethanolamide or anandamine |
| ASE | Accelerated solvent extraction |
| BChE | Butyrylcholinesterase |
| CC50 | Cytotoxic concentration 50% |
| COX-2 | Cycloxygenase 2 |
| CVCs | Cardiovascular diseases |
| DAT | Dopamine transporter |
| DIAD | Diisopropyl azodicarboxylate |
| EC50 | Half maximal effective concentration |
| ECS | Endocannabinoid system |
| ECs | Endocannabinoids |
| E/Z | Entgegen/Zusammen |
| FAAH | Fatty acid amide hydrolase |
| FABP5 | Fatty acid-binding protein |
| FLAT | FAAH-like anandamine transporter |
| HBeAg | Hepatitis B e-antigen |
| HBsAg | Hepatitis B surface antigen |
| HBV | Hepatitis B virus |
| Hela | Cervical cancer cells |
| HepG2 | Human hepatocellular carcinoma cell line |
| HIV-1 | Human Immunodeficiency Virus |
| HMC-1 | Human mast cell line |
| HPLC | High-Performance Liquid Chromatography |
| HPLC-DAD-ESI-Q-TOF-MS | High-performance liquid chromatograph-diode array detector-electrospray ionization-quadrupole-time-of-flight-mass spectrometer |
| HWE | Horner–Wadsworth–Emmons |
| IBX | 2-Iodobenzoic acid |
| IC50 | Half maximal inhibitory concentration |
| ICAM | Intercellular adhesion molecule-1 |
| IL-1β | Interleukin-1 beta |
| IL-6 | Interleukin 6 |
| IR | Infrared Spectroscopy |
| LFA-1 | Lymphocyte function-associated antigen 1 |
| LPS | Lipopolysaccharide |
| LC-DAD | Liquid chromatograph-diode array detector |
| LC-HRMS/MS | Liquid chromatography high-resolution tandem mass spectrometry |
| LHDMS | Lithium bis(trimethylsilyl)amide) |
| NMR | Nuclear Magnetic Resonance |
| MAGL | Monoacylglycerol lipase |
| MAO | Monoamine oxidase |
| MDP | Methylenedioxyphenyl |
| PCC | Pyridinium chlorochromate |
| SAR | Structure–activity relationship |
| SI | Selectivity index |
| SKOV-3 | Varian cancer cell line |
| THP | Tetrahydropyranyl |
| TeCA | 1,1,2,2-Tetrachloroethane |
| TLC | Thin layer chromatography |
| TNFa | Tumour necrosis factor alpha |
| U-937 | Human myeloid leukaemia cell line |
| UV | Ultraviolet radiation |
| UPLC-ESI-QTOF-HRMS | Electrospray ionization quadrupole time-of-flight high-resolution mass spectrometry |
| UPLC-MS | Ultra-performance liquid chromatography-mass spectrometry |
References
- Mgbeahuruike, Ε.Ε.; Yrjönen, Τ.; Vuorela, H.; Holm, Υ. Bioactive compounds from medicinal plants: Focus on Piper species. S. Afr. J. Bot. 2017, 112, 54–69. [Google Scholar] [CrossRef]
- Torres-Pelayo, V.; del Socorro Fernández, M.; Hernández, O.; Molina-Torres, J.; Lozada-García, J. A Phytochemical and ethno-pharmacological review of the genus Piper: As a potent bio-insecticide. Res. J. Biol. 2014, 2, 104–114. [Google Scholar]
- Salehi, B.; Zakaria, Z.A.; Gyawali, R.; Ibrahim, S.A.; Rajkovic, J.; Shinwari, Z.K.; Khan, T.; Sharifi-Rad, J.; Ozleyen, A.; Turkdonmez, E.; et al. Piper Species: A Comprehensive Review on Their Phytochemistry, Biological Activities and Applications. Molecules 2019, 24, 1364. [Google Scholar] [CrossRef] [PubMed]
- Scott, I.M.; Jensen, H.R.; Philogène, B.J.R.; Arnason, J.T. A review of Piper spp. [Piperaceae] phytochemistry, insecticidal activity and mode of action. Phytochem. Rev. 2008, 7, 65–75. [Google Scholar] [CrossRef]
- Uy, M.M.; Garcia, K.I. Evaluation of the antioxidant properties of the leaf extracts of Philippine medicinal plants Casuarina equisetifolia Linn, Cyperus brevifolius [Rottb] Hassk, Drymoglossum piloselloides Linn, Ixora chinensis Lam, and Piper abbreviatum Opiz. AAB Bioflux. 2015, 7, 71–79. [Google Scholar]
- Valadeau, C.; Pabon, A.; Deharo, E.; Albán-Castillo, J.; Estevez, Y.; Lores, F.A.; Rojas, R.; Gamboa, D.; Sauvain, M.; Castillo, D.; et al. Medicinal plants from the Yanesha [Peru]: Evaluation of the leishmanicidal and antimalarial activity of selected extracts. J. Ethnopharmacol. 2009, 123, 413–422. [Google Scholar] [CrossRef]
- Martínez, J.; Rosa, P.T.; Ming, L.C.; Marques, M.O.; Angela, M.; Meireles, A. Extraction of volatile oil from Piper aduncum leaves with supercritical carbon dioxide. In Proceedings of the 6th International Symposium on Supercritical Fluids, ISASF, Nancy, France, 28–30 April 2003; pp. 65–70. [Google Scholar]
- Mahanta, P.K.; Ghanim, A.; Gopinath, K.W. Chemical constituents of Piper sylvaticum [Roxb] and Piper boehmerifolium [Wall]. J. Pharm. Sci. 1974, 63, 1160–1161. [Google Scholar] [CrossRef]
- Ding, D.-D.; Wang, Y.-H.; Chen, Y.-H.; Mei, R.-Q.; Yang, J.; Luo, J.-F.; Li, Y.; Long, C.-L.; Kong, Y. Amides and neolignans from the aerial parts of Piper bonii. Phytochemistry 2016, 129, 36–44. [Google Scholar] [CrossRef]
- Daoudi, A.; El Hamsas, A.; Youbi, E.; Bagrel, D.; Aarab, L. In vitro anticancer activity of some plants used in Moroccan traditional medicine. J. Med. Plants Res. 2013, 7, 1182–1189. [Google Scholar]
- Chaveerach, A.; Mokkamul, P.; Sudmoon, R.; Tanee, T. Ethnobotany of the genus Piper [Piperaceae] in Thailand. Ethnobot. Res. Appl. 2006, 4, 223–231. [Google Scholar] [CrossRef]
- Scott, I.M.; Puniani, E.; Jensen, H.; Livesey, J.F.; Poveda, L.; Sánchez-Vindas, P.; Durst, T.; Arnason, J.T. Analysis of Piperaceae germplasm by HPLC and LCMS: A method for isolating and identifying unsaturated amides from Piper spp. extracts. J. Agric. Food. Chem. 2005, 53, 1907–1913. [Google Scholar] [CrossRef] [PubMed]
- Tang, G.; Chen, D.; Qiu, B.; Sheng, L.; Wang, Y.; Hu, G.; Zhao, F.; Ma, L.; Wang, H.; Huang, Q. Cytotoxic amide alkaloids from Piper boehmeriaefolium. J. Nat. Prod. 2010, 74, 45–49. [Google Scholar] [CrossRef] [PubMed]
- Bezerra, D.P.; Militão, G.C.G.; De Castro, F.O.; Pessoa, C.; De Moraes, M.O.; Silveira, E.R.; Lima, M.A.S.; Elmiro, F.J.M.; Costa-Lotufo, L.V. Piplartine induces inhibition of leukemia cell proliferation triggering both apoptosis and necrosis pathways. Toxicol. In Vitro 2007, 21, 1–8. [Google Scholar] [CrossRef] [PubMed]
- Bokesch, H.R.; Gardella, R.S.; Rabe, D.C.; Bottaro, D.P.; Linehan, W.M.; McMahon, J.B.; McKee, T.C. A new hypoxia inducible factor-2 inhibitory pyrrolinone alkaloid from roots and stems of Piper sarmentosum. Chem. Pharm. Bull. 2011, 59, 1178–1179. [Google Scholar] [CrossRef]
- Bezerra, D.P.; Pessoa, C.; Moraes, M.O.D.; Silveira, E.R.; Lima, M.A.S.; Martins Elmiro, F.J.; Costa-Lotufo, L.V. Antiproliferative effects of two amides, piperine and piplartine, from Piper species. Z. Naturforsch. C J. Biosci. 2005, 60, 539–543. [Google Scholar] [CrossRef]
- Niu, M.; Xu, X.; Shen, Y.; Yao, Y.; Qiao, J.; Zhu, F.; Zeng, L.; Liu, X.; Xu, K. Piperlongumine is a novel nuclear export inhibitor with potent anticancer activity. Chem. Biol. Interact. 2015, 237, 66–72. [Google Scholar] [CrossRef]
- Rios, M.Y. Natural alkamides: Pharmacology, chemistry and distribution. In Drug Discovery Research in Pharmacognosy; Vallisuta, O., Olimat, S., Eds.; Tech Education and Publishing: Rijeka, Croatia, 2012; pp. 107–144. [Google Scholar]
- Buitimea-Cantúa, G.V.; Marsch-Martinez, N.; Ríos-Chavez, P.; Méndez-Bravo, A.; Molina-Torres, J. Global gene expression analyses of the alkamide-producing plant Heliopsis longipes supports a polyketide synthase-mediated biosynthesis pathway. PeerJ. 2020, 8, e10074. [Google Scholar] [CrossRef]
- Srivastava, A.K.; Vinay Kumar Singh, V.K. Biological action of Piper nigrum—the king of spices. Eur. J. Biol. Res. 2017, 7, 223–233. [Google Scholar] [CrossRef]
- Zaveri, M.; Khandhar, A.; Patel, S.; Patel, A. Chemistry and pharmacology of piper longum L. Int. J. Pharm. Sci. Rev. Res. 2010, 5, 67–76. [Google Scholar]
- Okogun, J.I.; Ekong, D.E.U. Extracts from the fruits of Piper guineense Schum. and Thonn. J. Chem. Soc. Perkin Trans. 1 1974, 2195–2198. [Google Scholar] [CrossRef]
- Okwute, S.K. Revised structure and synthesis of piperolein acids, guineensine and wisanine from Piper guineense. Tetrahedron 1984, 40, 2541–2545. [Google Scholar] [CrossRef]
- Xiang, C.P.; Shi, Y.N.; Liu, F.F.; Li, H.Z.; Zhang, Y.J.; Yang, C.R.; Xu, M. A Survey of the Chemical Compounds of Piper spp. (Piperaceae) and Their Biological Activities. Nat. Prod. Commun. 2016, 11, 1403–1408. [Google Scholar] [CrossRef] [PubMed]
- Gutierrez, R.M.P.; Gonzalez, A.M.N.; Hoyo-Vadillo, C. Alkaloids from Piper: A Review of its Phytochemistry and Pharmacology. Mini Rev. Med. Chem. 2013, 13, 163–193. [Google Scholar] [CrossRef] [PubMed]
- Haq, I.-U.; Imran, M.; Nadeem, M.; Tufail, T.; Gondal, T.A.; Mubarak, M.S. Piperine: A review of its biological effects. Phytother. Res. 2021, 35, 680–700. [Google Scholar] [CrossRef] [PubMed]
- Tiwari, A.; Mahadik, K.R.; Gahbe, S.Y. Piperine: A comprehensive review of methods of isolation, purification, and biological properties. Med. Drug. Discov. 2020, 7, 100027. [Google Scholar] [CrossRef]
- Banerji, A.; Bandyopadhyay, D.; Sarkar, M.; Siddhanta, A.K.; Pal, S.C.; Ghosh, S.; Abraham, K.; Shoolery, J.N. Structural and synthetic studies on the retrofractamides-amide constituents of Piper retrofractum. Phytochemistry 1985, 24, 279–284. [Google Scholar] [CrossRef]
- Miyakado, M.; Nakayama, I.; Yoshioka, H.; Nakatani, N. The Piperaceae Amides I: Structure of Pipercide, A New Insecticidal Amide from Piper nigrum L. Agric. Biol. Chem. 1979, 43, 1609–1611. [Google Scholar] [CrossRef]
- Banerji, A.; Sarkar, M.; Datta, R.; Sengupta, P.; Abraham, K. Amides from Piper brachystachyum and Piper retrofractum. Phytochemistry 2002, 59, 897–901. [Google Scholar] [CrossRef]
- Banerji, A.; Das, C. Two amides from Piper Brachystachyum. Phytochemistry 1989, 28, 3039–3042. [Google Scholar] [CrossRef]
- Hwang, K.S.; Kim, Y.K.; Park, K.W.; Kim, Y.T. Piperolein B and piperchabamide D isolated from black pepper (Piper nigrum L.) as larvicidal compounds against the diamondback moth (Plutella xylostella). Pest Manag. Sci. 2017, 73, 1564–1567. [Google Scholar] [CrossRef]
- Siddiqui, B.S.; Gulzar, T.; Begum, S.; Rasheed, M.; Sattar, F.A.; Afshan, F. Two New Insecticidal Amides and a New Alcoholic Amide from Piper nigrum LINN. Helv. Chim. Acta 2003, 86, 2760–2767. [Google Scholar] [CrossRef]
- Yu, L.; Hu, X.; Xu, R.; Ba, Y.; Chen, X.; Wang, X.; Cao, B.; Wu, X. Amide alkaloids characterization and neuroprotective properties of Piper nigrum L.: A comparative study with fruits, pericarp, stalks and leaves. Food Chem. 2022, 368, 130832. [Google Scholar] [CrossRef] [PubMed]
- Zhihui, D.; Jingkai, D.; Zonglian, C.; Peiyu, B.; Hayashi, N.; Komae, H. Amides from Asarum chingchengense. Phytochemistry 1991, 30, 3797–3798. [Google Scholar] [CrossRef]
- Bernard, C.B.; Krishanmurty, H.G.; Chauret, D.; Durst, T.; Sánchez-Vindas, P.; Hasbun, C.; Poveda, L.; San Román, L.; Arnason, J.T. Insecticidal defenses of Piperaceae from the neotropics. J. Chem. Ecol. 1995, 21, 801–814. [Google Scholar] [CrossRef]
- Pring, B.G. Isolation and identification of amides from Piper callosum. Synthesis of pipercallosine and pipercallosidine. J. Chem. Soc. Perkin Trans. 1 1982, 1493–1498. [Google Scholar] [CrossRef]
- Yao, C.Y.; Wang, J.; Dong, D.; Qian, F.G.; Xie, J.; Pan, S.L. Laetispicine, an amide alkaloid from Piper laetispicum, presents antidepressant and antinociceptive effects in mice. Phytomedicine 2009, 16, 823–829. [Google Scholar] [CrossRef]
- Ahmad, F.; Jamil, S.; Read, R.W. Isobutylamides from Piper ridleyi. Phytochemistry 1995, 40, 1163–1165. [Google Scholar] [CrossRef]
- Phong, N.V.; Anh, D.T.N.; Chae, H.Y.; Yang, S.Y.; Kwon, M.J.; Min, B.S.; Kim, J.A. Anti-inflammatory activity and cytotoxicity against ovarian cancer cell lines by amide alkaloids and piperic esters isolated from Piper longum fruits: In vitro assessments and molecular docking simulation. Bioorg. Chem. 2022, 128, 106072. [Google Scholar] [CrossRef]
- Wu, S.; Sun, C.; Pei, S.; Lu, Y.; Pan, Y. Preparative isolation and purification of amides from the fruits of Piper longum L. by upright counter-current chromatography and reversed-phase liquid chromatograph. J. Chromatogr. A. 2004, 1040, 193–204. [Google Scholar] [CrossRef]
- Navickiene, H.M.D.; Alécio, A.C.; Kato, M.J.; Bolzani, V.S.; Young, M.C.M.; Cavalheiro, A.J.; Furlan, M. Antifungal amides from Piper hispidum and Piper tuberculatum. Phytochemistry 2000, 55, 621–626. [Google Scholar] [CrossRef]
- Park, I.-K.; Lee, S.G.; Shin, S.-G.; Park, J.-D.; Ahn, Y.-J. Larvicidal Activity of Isobutylamides Identified in Piper nigrum Fruits against Three Mosquito Species. J. Agric. Food Chem. 2002, 50, 1866–1870. [Google Scholar] [CrossRef] [PubMed]
- Koul, S.K.; Taneja, S.C.; Agarwal, V.K.; Dhar, K.L. Minor amides of Piper species. Phytochemistry 1988, 27, 3523–3527. [Google Scholar] [CrossRef]
- Nobsathian, S.; Tuchinda, P.; Soorukram, D.; Pohmakotr, M.; Reutrakul, V.; Yoosook, C.; Kasisit, J.; Napaswad, C. A new conjugated amide-dimer from the aerial parts of Piper submultinerve. Nat. Prod. Res. 2012, 26, 1824–1830. [Google Scholar] [CrossRef] [PubMed]
- Parmar, V.S.; Jain, S.C.; Bisht, K.S.; Jain, R.; Taneja, P.; Jha, A.; Tyagi, O.D.; Prasad, A.K.; Wengel, J.; Olsen, C.E.; et al. Phytochemistry of the genus Piper. Phytochemistry 1997, 46, 597. [Google Scholar] [CrossRef]
- Kikuzaki, H.; Kawabata, M.; Ishida, E.; Akazawa, Y.; Takei, Y.; Nakatani, N. LC-MS Analysis and Structural Determination of New Amides from Javanese Long Pepper (Piper retrofractum). Biosci. Biotechnol. Biochem. 1993, 57, 1329–1333. [Google Scholar] [CrossRef]
- Nicolussi, S.; Viveros-Paredes, J.M.; Gachet, M.S.; Rau, M.; Flores-Soto, M.E.; Blunder, M.; Gertsch, J. Guineensine is a novel inhibitor of endocannabinoid uptake showing cannabimimetic behavioral effects in BALB/c mice. Pharmacol. Res. 2014, 80, 52–65. [Google Scholar] [CrossRef]
- Luca, S.V.; Minceva, M.; Gertsch, J.; Skalicka-Woźniak, K. LC-HRMS/MS-based phytochemical profiling of Piper spices: Global association of piperamides with endocannabinoid system modulation. Food Res. Int. 2021, 141, 110123. [Google Scholar] [CrossRef]
- Vargas-Huertas, L.F.; Alvarado-Corella, L.D.; Sánchez-Kopper, A.; Araya-Sibaja, A.M.; Navarro-Hoyos, M. Characterization and Isolation of Piperamides from Piper nigrum Cultivated in Costa Rica. Horticulturae 2023, 9, 1323. [Google Scholar] [CrossRef]
- Su, H.C.F.; Robert Horvat, R. Isolation, Identification, and Insecticidal Properties of Piper nigrum Amides. J. Agric. Food Chem. 1981, 29, 115–118. [Google Scholar] [CrossRef]
- Maercker, A. The Wittig Reaction. Org. React. 1965, 14, 270–490. [Google Scholar] [CrossRef]
- Okwute, S.K.; Okorie, D.A.; Okogun, J.I. Insecticidal guineensine, N-isobutyl 13-(3,4-methylenedioxyphenyl)trideca-2,4,12-trienoamide: A report of its total synthesis. Nig. J. Nat. Sci. 1979, 1, 9–11. [Google Scholar]
- Ratcliffe, R.; Rodehorst, R. Improved procedure for oxidations with the chromium trioxide-pyridine complex. J. Org. Chem. 1970, 35, 4000–4002. [Google Scholar] [CrossRef]
- Vig, O.P.; Sharma, S.D.; Sood, O.P.; Bari, S.S. Synthesis of guineensine, an alkaloid isolated from the fruits of Piper guineense and P. officinarum. Indian J. Chem. 1980, 19B, 350–352. [Google Scholar]
- Shingala, S.D.; Reddy, V.G.; Kumar, R.S.C.; Yadav, P.A.; Babu, K.S. Practical and efficient approach to the synthesis of guineensine. J. Asian Nat. Prod. Res. 2011, 13, 128–135. [Google Scholar] [CrossRef] [PubMed]
- Bartholomäus, R.; Nicolussi, S.; Baumann, A.; Rau, M.; Simão, A.C.; Gertsch, J.; Altmann, K.H. Total Synthesis of the Endocannabinoid Uptake Inhibitor Guineensine and SAR Studies. ChemMedChem 2019, 14, 1590–1596. [Google Scholar] [CrossRef]
- Sakaine, G.; Leitis, Z.; Ločmele, R.; Smits, G. Julia-Kocienski Olefination: A Tutorial Review. Eur. J. Org. Chem. 2023, 26, e202201217. [Google Scholar] [CrossRef]
- Heravi, M.M.; Asadi, S.; Nazari, N.; Lashkariani, B.M. Developments of Corey-Fuchs Reaction in Organic and Total Synthesis of Natural Products. Curr. Org. Chem. 2015, 19, 2196–2219. [Google Scholar] [CrossRef]
- Tracy, J.S.; Kalnmals, C.A.; Toste, F.D. Beyond Allylic Alkylation: Applications of Trost Chemistry in Complex Molecule Synthesis. Isr. J. Chem. 2021, 61, 340–366. [Google Scholar] [CrossRef]
- Kwong, C.K.-W.; Fu, M.Y.; Lam, C.S.-L.; Toy, P.H. The Phosphine-Catalyzed Alkyne to 1,3-Diene Isomerization Reaction. Synthesis 2008, 15, 2307–2317. [Google Scholar] [CrossRef][Green Version]
- Sørskår, Å.M.; Stenstrøm, H.Ø.K.; Stenstrøm, Y.; Antonsen, S.G. The Alkyne Zipper Reaction: A Useful Tool in Synthetic Chemistry. Reactions 2023, 4, 26–65. [Google Scholar] [CrossRef]
- Banerji, A.; Bandyopadhyay, D.; Siddhanta, A.K. Synthesis of retrofractamide A. Phytochemistry 1987, 26, 3345–3346. [Google Scholar] [CrossRef]
- Rotherham, L.W.; Semple, J.E. A Practical and Efficient Synthetic Route to Dihydropipercide and Pipercide. J. Org. Chem. 1998, 63, 6667–6672. [Google Scholar] [CrossRef]
- Chavarria, D.; Fernandes, C.; Silva, V.; Silva, C.; Gil-Martins, E.; Soares, P.; Silva, T.; Silva, R.; Remião, F.; Oliveira, P.J.; et al. Design of novel monoamine oxidase-B inhibitors based on piperine scaffold: Structure-activity-toxicity, drug-likeness and efflux transport studies. Eur. J. Med. Chem. 2020, 185, 111770. [Google Scholar] [CrossRef] [PubMed]
- Elimam, D.M.; Elgazar, A.A.; Bonardi, A.; Abdelfadil, M.; Nocentini, A.; El-Domany, R.A.; Abdel-Aziz, H.A.; Badria, F.A.; Supuran, C.T.; Eldehna, W.M. Natural inspired piperine-based sulfonamides and carboxylic acids as carbonic anhydrase inhibitors: Design, synthesis and biological evaluation. Eur. J. Med. Chem. 2021, 225, 113800. [Google Scholar] [CrossRef]
- Das, B.; Kashinatham, A.; Madhusudhan, P. Baker’s yeast treatment of some naturally occurring amides. Tetrah. Lett. 1997, 38, 7457–7458. [Google Scholar] [CrossRef]
- Santra, S. Baker’s Yeast Catalyzed Multicomponent Reactions: A New Hope? ChemistrySelect 2019, 4, 12630–12637. [Google Scholar] [CrossRef]
- Das, B.; Madhusudhan, P. Transformation of the conjugated dienamide system of some natural alkamides to the β,γ-unsaturated amide function using Zn/HOAc. Tetrah. Lett. 1998, 39, 9099–9100. [Google Scholar] [CrossRef]
- Das, B.; Kashinatham, A.; Venkataiah, B. Conversion of some Natural Dienamides to the Corresponding β, γ-Unsaturated Amides using Mg/MeOH. Synth. Commun. 1999, 29, 3799–3804. [Google Scholar] [CrossRef]
- Lu, H.C.; Mackie, K. An Introduction to the Endogenous Cannabinoid System. Biol. Psychiatry 2016, 79, 516–525. [Google Scholar] [CrossRef]
- Beltramo, M.; Stella, N.; Calignano, A.; Lin, S.Y.; Makriyannis, A.; Piomelli, D. Functional role of high-affinity anandamide transport, as revealed by selective inhibition. Science 1997, 277, 1094–1097. [Google Scholar] [CrossRef]
- Hillard, C.J.; Edgemond, W.S.; Jarrahian, A.; Campbell, W.B. Accumulation of N-arachidonoylethanolamine (anandamide) into cerebellar granule cells occurs via facilitated diffusion. J. Neurochem. 1997, 69, 631–638. [Google Scholar] [CrossRef]
- Hermann, A.; Kaczocha, M.; Deutsch, D.G. 2-Arachidonoylglycerol (2-AG) membrane transport: History and outlook. AAPS J. 2006, 8, E409–E412. [Google Scholar] [CrossRef]
- Fu, J.; Bottegoni, G.; Sasso, O.; Bertorelli, R.; Rocchia, W.; Masetti, M.; Guijarro, A.; Lodola, A.; Armirotti, A.; Garau, G.; et al. A catalytically silent FAAH-1 variant drives anandamide transport in neurons. Nat. Neurosci. 2011, 15, 64–69. [Google Scholar] [CrossRef] [PubMed]
- Leung, K.; Elmes, M.W.; Glaser, S.T.; Deutsch, D.G.; Kaczocha, M. Role of FAAH-like anandamide transporter in anandamide inactivation. PLoS ONE 2013, 8, e79355. [Google Scholar] [CrossRef]
- Reynoso-Moreno, I.; Chicca, A.; Flores-Soto, M.E.; Viveros-Paredes, J.M.; Gertsch, J. The Endocannabinoid Reuptake Inhibitor WOBE437 Is Orally Bioavailable and Exerts Indirect Polypharmacological Effects via Different Endocannabinoid Receptors. Front. Mol. Neurosci. 2018, 11, 108. [Google Scholar] [CrossRef] [PubMed]
- Reynoso-Moreno, I.; Najar-Guerrero, I.; Escareño, N.; Flores-Soto, M.E.; Gertsch, J.; Viveros-Paredes, J.M. An Endocannabinoid Uptake Inhibitor from Black Pepper Exerts Pronounced Anti-Inflammatory Effects in Mice. J. Agric. Food Chem. 2017, 65, 9435–9442. [Google Scholar] [CrossRef] [PubMed]
- Tou, W.I.; Chang, S.S.; Lee, C.C.; Chen, C.Y. Drug design for neuropathic pain regulation from traditional Chinese medicine. Sci. Rep. 2013, 3, 844. [Google Scholar] [CrossRef]
- Lee, S.W.; Kim, Y.K.; Kim, K.; Lee, H.S.; Choi, J.H.; Lee, W.S.; Jun, C.D.; Park, J.H.; Lee, J.M.; Rho, M.C. Alkamides from the fruits of Piper longum and Piper nigrum displaying potent cell adhesion inhibition. Bioorg. Med. Chem. Lett. 2008, 18, 4544–4546. [Google Scholar] [CrossRef]
- Tu, Y.; Zhong, Y.; Du, H.; Luo, W.; Wen, Y.; Li, Q.; Zhu, C.; Li, Y. Anticholinesterases and antioxidant alkamides from Piper nigrum fruits. Nat. Prod. Res. 2016, 30, 1945–1949. [Google Scholar] [CrossRef]
- Khatami, Z.; Herdlinger, S.; Sarkhail, P.; Zehl, M.; Kaehlig, H.; Schuster, D.; Adhami, H.R. Isolation and Characterization of Acetylcholinesterase Inhibitors from Piper longum and Binding Mode Predictions. Planta Med. 2020, 86, 1118–1124. [Google Scholar] [CrossRef]
- Jiang, Z.Y.; Liu, W.F.; Zhang, X.M.; Luo, J.; Ma, Y.B.; Chen, J.J. Anti-HBV active constituents from Piper longum. Bioorg. Med. Chem. Lett. 2013, 23, 2123–2127. [Google Scholar] [CrossRef]
- Yimtchui, M.T.; Happi, G.M.; Dzouemo, L.C.; Sikam, K.G.; Keuteu, P.L.; Wansi, J.D. Bioassay-directed isolation of antiplasmodial alkaloids and lignans from the dry seeds of Piper guineense Schumach. & Thonn. (Piperaceae) and their cytotoxicity. S. Afr. J. Bot. 2024, 173, 225–231. [Google Scholar] [CrossRef]
- Park, I.K. Insecticidal activity of isobutylamides derived from Piper nigrum against adult of two mosquito species, Culex pipiens pallens and Aedes aegypti. Nat. Prod. Res. 2012, 26, 2129–2131. [Google Scholar] [CrossRef] [PubMed]
- Miyakado, M.; Nakayama, I.; Yoshioka, H. Insecticidal Joint Action of Pipercide and Co-occurring Compounds Isolated from Piper nigrum L. Agric. Biol. Chem. 1980, 44, 1701–1703. [Google Scholar] [CrossRef][Green Version]
- Gbewonyo, W.S.K.; Candy, D.J.; Anderson, M. Structure-activity relationships of insecticidal amides from Piper guineense root. Pestic. Sci. 1993, 37, 57–66. [Google Scholar] [CrossRef]
- Park, I.K. Larvicidal Activity of Constituents Identified in Piper nigrum L. Fruit against the Diamondback moth, Plutella xylostella. Korean J. Appl. Entomol. 2012, 51, 149–152. [Google Scholar] [CrossRef]
- Akinbuluma, M.D.; Ewete, F.K.; Oladosu, I.A. Amide alkaloids from Piper guineense and its crude extract as protectants against Sitophilus zeamais. J. Plant Dis. Prot. 2021, 128, 1557–1564. [Google Scholar] [CrossRef]
- Hatakoshi, M.; Miyakado, M.; Ohno, N.; Nakayama, I. The Knockdown Activity an Nervous Effect of Piercide against American Cockroach, Periplaneta americana. Appl. Entomol. Zoolog. 1984, 19, 288–292. [Google Scholar] [CrossRef]
- El-Tantawy, W.H.; Temraz, A. Natural products for controlling hyperlipidemia: Review. Arch. Physiol. Biochem. 2019, 125, 128–135. [Google Scholar] [CrossRef]
- Duangjai, A.; Ingkaninan, K.; Praputbut, S.; Limpeanchob, N. Black pepper and piperine reduce cholesterol uptake and enhance translocation of cholesterol transporter proteins. J. Nat. Med. 2013, 67, 303–310. [Google Scholar] [CrossRef]
- Lee, S.W.; Rho, M.C.; Nam, J.Y.; Lim, E.H.; Kwon, O.E.; Kim, Y.H.; Lee, H.S.; Kim, Y.K. Guineensine, an Acyl-CoA: Cholesterol acyltransferase inhibitor, from the fruits of Piper longum. Planta Med. 2004, 70, 678–679. [Google Scholar] [CrossRef] [PubMed]
- Kwon, O.E.; Rho, M.C.; Song, H.Y.; Lee, S.W.; Chung, M.Y.; Lee, J.H.; Kim, Y.H.; Lee, H.S.; Kim, Y.K. Phenylpyropene A and B, new inhibitors of acyl-CoA: Cholesterol acyltransferase produced by Penicillium griseofulvum F1959. J. Antibiot. 2002, 55, 1004–1008. [Google Scholar] [CrossRef]
- Singh, M.P.; Chawla, V.; Kaushik, D.; Chawla, P.A.; Sisodia, S.S. Pharmacodynamic Stance of Phytoconstituents as a Gastric Ulcer Protective Mechanism: An Overview. Curr. Mol. Med. 2022, 22, 431–441. [Google Scholar] [CrossRef] [PubMed]
- Soni, G.; Sharma, S.; Dangi, N. In silico molecular docking study and Protective effect of Piper attenuatum on aspirin induced gastric ulcer in rats. Curr. Chem. Lett. 2023, 12, 705–720. [Google Scholar] [CrossRef]
- Kakouri, E.; Hatziagapiou, K.; Kanakis, C.; Nikola, O.; Lambrou, G.I.; Trigas, P.; Kanaka-Gantenbein, C.; Tarantilis, P.A. Cytotoxic and Antioxidant Activity of a Chemically Characterized Extract of Smilax aspera Leaves and Stems. Appl. Sci. 2023, 13, 4784. [Google Scholar] [CrossRef]
- Matsuo, Y. Natural Products and Cancer. Nutrients 2023, 15, 5064. [Google Scholar] [CrossRef]
- Guo, Z.; Xu, J.; Xia, J.; Wu, Z.; Lei, J.; Yu, J. Anti-inflammatory and antitumour activity of various extracts and compounds from the fruits of Piper longum L. J. Pharm. Pharmacol. 2019, 71, 1162–1171. [Google Scholar] [CrossRef]
- Lee, S.A.; Hwang, J.S.; Han, X.H.; Lee, C.; Lee, M.H.; Choe, S.G.; Hong, S.S.; Lee, D.; Lee, M.K.; Hwang, B.Y. Methylpiperate derivatives from Piper longum and their inhibition of monoamine oxidase. Arch. Pharm. Res. 2008, 31, 679–683. [Google Scholar] [CrossRef]
- Lin, Z.; Liao, Y.; Venkatasamy, R.; Hider, R.C.; Soumyanath, A. Amides from Piper nigrum L. with dissimilar effects on melanocyte proliferation in-vitro. J. Pharm. Pharmacol. 2007, 59, 529–536. [Google Scholar] [CrossRef]
- Jeon, H.J.; Kim, K.; Kim, Y.D.; Lee, S.E. Naturally occurring Piper plant amides potential in agricultural and pharmaceutical industries: Perspectives of piperine and piperlongumine. Appl. Biol. Chem. 2019, 62, 63. [Google Scholar] [CrossRef]
- Tripathi, A.K.; Ray, A.K.; Mishra, S.K. Molecular and pharmacological aspects of piperine as a potential molecule for disease prevention and management: Evidence from clinical trials. BJBAS 2022, 11, 16. [Google Scholar] [CrossRef]






















| No. | Extraction Method | Extraction Time | Yield/Extraction Solvent (s) | Pros | Cons | Reference |
|---|---|---|---|---|---|---|
| 1 | Soxhlet extraction | - | 30 g/750 g of fresh fruits (petroleum and chloroform extracts) 20 g/750 g of fresh fruits (methanolextract) | Mechanically efficient technique, inexpensive | - | [22] |
| 2 | Conventional extraction with stirring | 30 min | 12.8% (acetone extract) | Good reproducibility, less time consuming | - | [51] |
| 3 | Maceration | 48 h | 11% (methanol extract) | Low cost | Time consuming | [43] |
| 4 | Percolation | - | 11.7 mg/1 kg of fruits (n-hexane, chloroform, and methanol extracts) | - | High solvent consumption, time consuming | [48] |
| 5 | Ultrasound extraction | 30 min | 2.47 g (12.4%) (n-hexane extract) | Low cost, less time consuming, low solvent consumption | - | [49] |
| 6 | Accelerated solvent extraction (ASE) | - | 209.7 mg/100 g of dry black pepper (ethyl acetate extract) | Good reproducibility, high yield | - | [50] |
| Biological Activity | Target | Concentration | Reference |
|---|---|---|---|
| IC50 | |||
| Cholinesterase inhibition activity | AChE and BChE | 74.37 ± 3.08 μg/mL(AChE) No activity against BChE | [81] |
| AChE | 1.61 mM | [82] | |
| Antiviral activity | HBV | <0.05 mM | [83] |
| HIV-1 | 651.9 μM | [45] | |
| Antiplasmodial activity | Plasmodium falciparum strain Pf 3D7 | 23.9 ± 2.4 μg/mL | |
| Plasmodium falciparum strain Pf Dd2 | 14.6 ± 0.3 μg/mL | [84] | |
| ED50 | |||
| Insecticidal activity | Schistocerca gregaria | 0.50 μg/insect (at 48 h) knockdown activity | [88] |
| 0.90 μg/insect (48 h) lethal activity | |||
| LD50 | |||
| C. pipiens pallens (adults) | 1.9 μg/♀ * | [85] | |
| A. aegypti (adults) | 1.7 μg/♀ | [85] | |
| C. pipiens pallens (larvae) | 0.17 ppm | [43] | |
| A. aegypti (larvae) | 0.89 ppm | [43] | |
| A. togoi (larvae) | 0.75 ppm | [43] | |
| Larvicidal activity | Plutella xylostella | 0.013 mg/mL | [88] |
| Sitophilus zeamais | [89] | ||
| % Mortality at 48 h | 80.0 ± 7.07 | ||
| Oviposition | 1.25 ± 0.96 | ||
| Repellency | 72.5% | ||
| IC50 | |||
| Cholesterol homeostasis | ACAT | 3.12 μM | [93] |
| Anticancer | HepG2 | 14.90 ± 0.62 μM | [99] |
| Hela | 17.13 ± 1.06 μM | ||
| SKOV-3 | 17.96 ± 0.39 μM | ||
| MAO inhibition | MAO | 139.2 μM | [100] |
| Anti-inflammatory activity | THP-1 (Inhibition of ICAM-1/LFA-1 complex) | >50 | [80] |
| Protection against gastric ulcers | rats | [96] | |
| (binding affinity (kcal/mol) with protein 2XZB) | −6.9 |
Disclaimer/Publisher’s Note: The statements, opinions and data contained in all publications are solely those of the individual author(s) and contributor(s) and not of MDPI and/or the editor(s). MDPI and/or the editor(s) disclaim responsibility for any injury to people or property resulting from any ideas, methods, instructions or products referred to in the content. |
© 2025 by the authors. Licensee MDPI, Basel, Switzerland. This article is an open access article distributed under the terms and conditions of the Creative Commons Attribution (CC BY) license (https://creativecommons.org/licenses/by/4.0/).
Share and Cite
Matiadis, D.; Kakouri, E.; Kaparakou, E.H.; Tarantilis, P.A. Guineensine: Isolation, Synthesis, and Biological Activity. Appl. Sci. 2025, 15, 1444. https://doi.org/10.3390/app15031444
Matiadis D, Kakouri E, Kaparakou EH, Tarantilis PA. Guineensine: Isolation, Synthesis, and Biological Activity. Applied Sciences. 2025; 15(3):1444. https://doi.org/10.3390/app15031444
Chicago/Turabian StyleMatiadis, Dimitris, Eleni Kakouri, Eleftheria H. Kaparakou, and Petros A. Tarantilis. 2025. "Guineensine: Isolation, Synthesis, and Biological Activity" Applied Sciences 15, no. 3: 1444. https://doi.org/10.3390/app15031444
APA StyleMatiadis, D., Kakouri, E., Kaparakou, E. H., & Tarantilis, P. A. (2025). Guineensine: Isolation, Synthesis, and Biological Activity. Applied Sciences, 15(3), 1444. https://doi.org/10.3390/app15031444

