Optimizing Mobile Base Station Placement for Prolonging Wireless Sensor Network Lifetime in IoT Applications
Abstract
1. Introduction
2. Related Work
3. System Description
3.1. Problem Definition
3.2. Energy Model
3.3. Network Operation
4. The Optimization of BS Location
| Algorithm 1 Optimization of mobile BS location in a large area network |
|
| Algorithm 2 Optimization of mobile BS location in a large area network with a RN |
|
5. Simulation Results
5.1. Optimal BS Location and BS Mobility in a Large Area Network
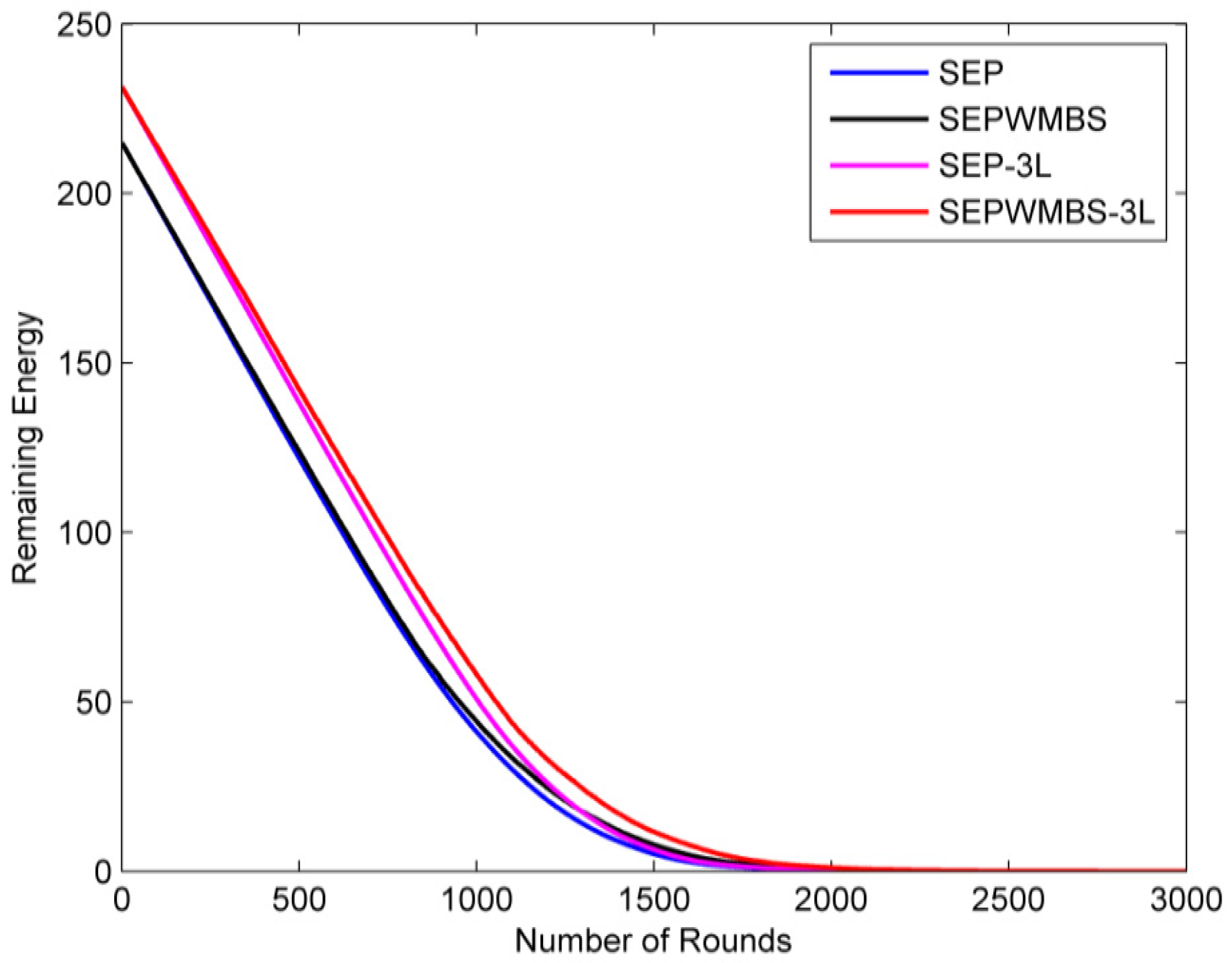
5.2. Placement of the RN
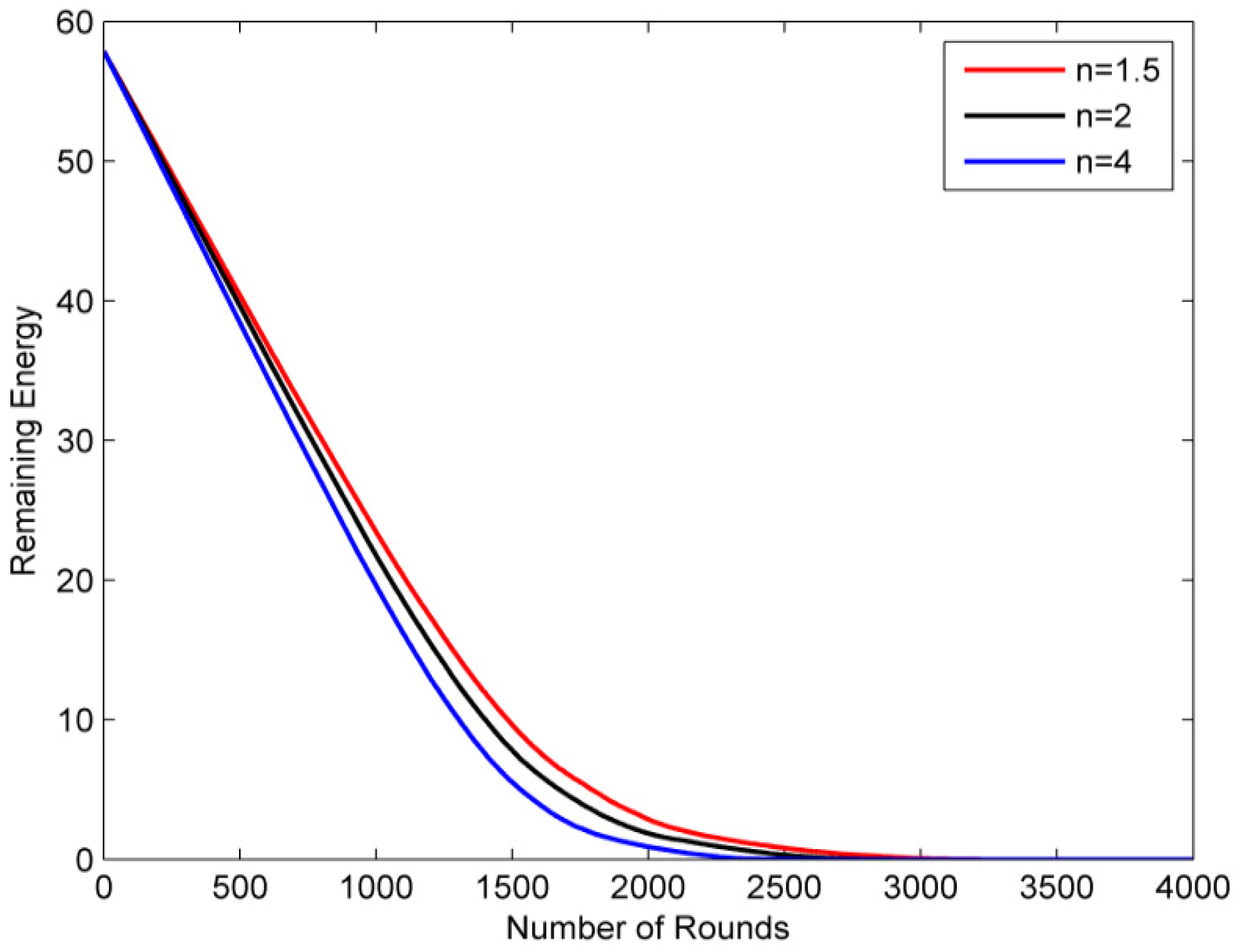
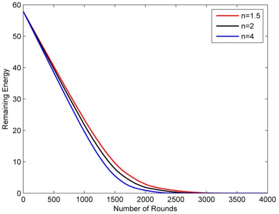
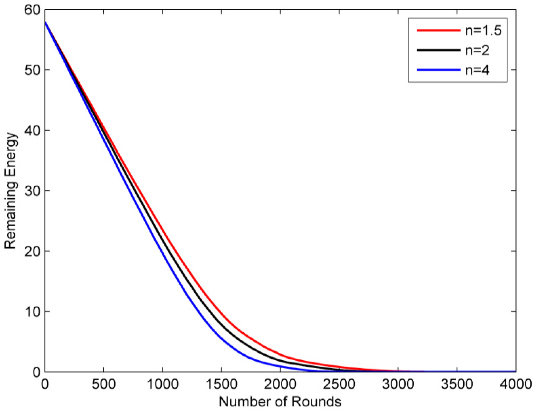
5.3. The Path Loss Effect
6. Conclusions
Author Contributions
Funding
Institutional Review Board Statement
Informed Consent Statement
Data Availability Statement
Conflicts of Interest
References
- Kavre, M.; Gadekar, A.; Gadhade, Y. Internet of Things (IoT): A Survey. In Proceedings of the 2019 IEEE Pune Section International Conference (PuneCon), Pune, India, 18–20 December 2019; pp. 1–6. [Google Scholar]
- John, A.; Rajput, A.; Babu, K.V. Energy saving cluster head selection in wireless sensor networks for internet of things applications. In Proceedings of the 2017 International Conference on Communication and Signal Processing (ICCSP), Chennai, India, 6–8 April 2017; pp. 34–38. [Google Scholar]
- Zannou, A.; Boulaalam, A.; Nfaoui, E.H. An Optimal Base Stations Positioning for the Internet of Things Devices. In Proceedings of the 2021 7th International Conference on Optimization and Applications (ICOA), Wolfenbüttel, Germany, 19–20 May 2021; pp. 1–5. [Google Scholar]
- Sadrishojaei, M.; Navimipour, N.J.; Reshadi, M.; Hosseinzadeh, M. A New Preventive Routing Method Based on Clustering and Location Prediction in the Mobile Internet of Things. IEEE Internet Things J. 2021, 8, 10652–10664. [Google Scholar] [CrossRef]
- Thangarasu, G.; Dominic, P.D.D.; Subrmanian, K.; Kayalvizhi, S.; Masillamony, S.S. Efficient Energy Usage Model for WSN-IoT Environments. In Proceedings of the 2020 International Conference on Computational Intelligence (ICCI), Bandar Seri Iskandar, Malaysia, 8–9 October 2020; pp. 252–255. [Google Scholar]
- Yetgin, H.; Cheung, K.T.K.; El-Hajjar, M.; Hanzo, L.H. A Survey of Network Lifetime Maximization Techniques in Wireless Sensor Networks. IEEE Commun. Surv. Tutor. 2017, 19, 828–854. [Google Scholar] [CrossRef]
- He, S.; Dai, Y.; Zhou, R.; Zhao, S. A Clustering Routing Protocol for Energy Balance of WSN based on Genetic Clustering Algorithm. IERI Procedia 2012, 2, 788–793. [Google Scholar] [CrossRef]
- Lata, S.; Mehfuz, S.; Urooj, S. Secure and Reliable WSN for Internet of Things: Challenges and Enabling Technologies. IEEE Access 2021, 9, 161103–161128. [Google Scholar] [CrossRef]
- Shabbir, N.; Hassan, S. Routing Protocols for Wireless Sensor Networks (WSNs). Wireless Sensor Networks Insights and Innovations; IntechOpen: London, UK, 2017. [Google Scholar] [CrossRef]
- Singh, A.K.; Bhalla, A.; Kumar, P.; Kaushik, M. Hierarchical routing protocols in WSN: A brief survey. In Proceedings of the 2017 3rd International Conference on Advances in Computing, Communication and Automation (ICACCA) (Fall), Dehradun, India, 15–16 September 2017; pp. 1–6. [Google Scholar]
- Toor, A.S.; Jain, A.K. A survey of routing protocols in Wireless Sensor Networks: Hierarchical routing. In Proceedings of the 2016 International Conference on Recent Advances and Innovations in Engineering (ICRAIE), Jaipur, India, 23–25 December 2016; pp. 1–6. [Google Scholar]
- Mishra, P.K.; Verma, S.K. A survey on clustering in wireless sensor network. In Proceedings of the 2020 11th International Conference on Computing, Communication and Networking Technologies (ICCCNT), Kharagpur, India, 1–3 July 2020; pp. 1–5. [Google Scholar]
- Verma, P.; Shaw, S.; Mohanty, K.; Richa, P.; Sah, R.; Mukherjee, A. A Survey on Hierarchical Based Routing Protocols for Wireless Sensor Network. In Proceedings of the 2018 International Conference on Communication, Computing and Internet of Things (IC3IoT), Chennai, India, 15–17 February 2018; pp. 338–341. [Google Scholar]
- Sharma, D.K.; Bagga, S.; Rastogi, R. Performance Analysis of Clustering Based Routing Protocols in Wireless Sensor Networks. In Proceedings of the 2018 3rd International Conference on Contemporary Computing and Informatics (IC3I), Gurgaon, India, 10–12 October 2018; pp. 68–75. [Google Scholar]
- Sampoornam, K.P.; Saranya, S.; Mohanapriya, G.K.; Sandhiya Devi, P.; Dhaarani, S. Analysis of LEACH Routing Protocol in Wireless Sensor Network with Wormhole Attack. In Proceedings of the 2021 Third International Conference on Intelligent Communication Technologies and Virtual Mobile Networks (ICICV), Tirunelveli, India, 4–6 February 2021; pp. 147–152. [Google Scholar]
- Abbas, S.S.A.; Dag, T.; Gucluoglu, T. Increasing Energy Efficiency of WSNs Through Optimization of Mobile Base Station Locations. In Proceedings of the 2021 29th Signal Processing and Communications Applications Conference (SIU), Istanbul, Turkey, 9–11 June 2021; pp. 1–4. [Google Scholar]
- Priyadarshi, R.; Singh, R.L.; Singh, A. A Novel HEED Protocol for Wireless Sensor Networks. In Proceedings of the 2018 5th International Conference on Signal Processing and Integrated Networks (SPIN), Noida, India, 22–23 February 2018; pp. 296–300. [Google Scholar]
- Vugar; Nazila Performance Analysis of LEACH, SEP and Z-SEP Protocols in Heterogeneous Wireless Sensor Network. Wasit J. Comput. Math. Sci. 2023, 2, 27–37. [CrossRef]
- Latiff, N.A.; Ismail, I. Performance of mobile base station using Genetic Algorithms in Wireless Sensor Networks. In Proceedings of the 2016 German Microwave Conference (GeMiC), Bochum, Germany, 14–16 March 2016; pp. 251–254. [Google Scholar]
- Abushiba, W.; Johnson, P.; Alharthi, S.; Wright, C. An energy efficient and adaptive clustering for wireless sensor network (CH-leach) using leach protocol. In Proceedings of the 2017 13th International Computer Engineering Conference (ICENCO), Cairo, Egypt, 27–28 December 2017; pp. 50–54. [Google Scholar] [CrossRef]
- Nguyen, L.; Nguyen, H.T. Mobility based network lifetime in wireless sensor networks: A review. Comput. Netw. 2020, 174, 107236. [Google Scholar] [CrossRef]
- Tseng, Y.; Hwang, R.; Lai, C.; Hou, C. Optimal Sink Placement in M2M over LTE Networks. In Proceedings of the 2015 IEEE International Conference on Smart City/SocialCom/SustainCom (SmartCity), Chengdu, China, 19–21 December 2015; pp. 135–140. [Google Scholar]
- Li, X.; Cai, H.; Liu, G.; Lu, K. Base Station Positioning in Single-Tiered Wireless Sensor Networks. In Proceedings of the 2019 20th International Conference on Parallel and Distributed Computing, Applications and Technologies (PDCAT), Gold Coast, Australia, 5–7 December 2019; pp. 7–12. [Google Scholar]
- Prabha, M.; Darly, S.; Rabi, B.J. Energy conservative mobile sink path routing for wireless sensor networks. In Proceedings of the 2019 International Conference on Smart Structures and Systems (ICSSS), Chennai, India, 14–15 March 2019; pp. 1–6. [Google Scholar]
- Kumar, A.R.; Sivagami, A. Energy Aware Localized Routing in Rendezvous Point Based Mobile Sink Strategy for Wireless Sensor Networks. In Proceedings of the 2019 Innovations in Power and Advanced Computing Technologies (i-PACT), Vellore, India, 22–23 March 2019; pp. 1–6. [Google Scholar]
- Zhou, R. Research on Efficiency Optimization of Logistics Vehicle Monitoring Model Based on Wireless Sensor Network. J. ICT Stand. 2023, 11, 27–44. [Google Scholar] [CrossRef]
- Haripriya, R.; Vinutha, C.B.; Shoba, M. Genetic Algorithm with Bacterial Conjugation Based Cluster Head Selection for Dynamic WSN. In Proceedings of the 2023 International Conference on Network, Multimedia and Information Technology (NMITCON), Bengaluru, India, 1–2 September 2023; pp. 1–6. [Google Scholar]
- Shah, I.K.; Maity, T.; Dohare, Y.S. Weight Based Approach for Optimal Position of Base Station in Wireless Sensor Network. In Proceedings of the 2020 International Conference on Inventive Computation Technologies (ICICT), Coimbatore, India, 26–28 February 2020; pp. 734–738. [Google Scholar]
- Mitra, R.; Sharma, S. Proactive data routing using controlled mobility of a mobile sink in Wireless Sensor Networks. Comput. Electr. Eng. 2018, 70, 21–36. [Google Scholar] [CrossRef]
- Hassan, A.A.-H.; Shah, W.M.; Habeb, A.-H.H.; Othman, M.F.I.; Al-Mhiqani, M.N. An Improved Energy-Efficient Clustering Protocol to Prolong the Lifetime of the WSN-Based IoT. IEEE Access 2020, 8, 200500–200517. [Google Scholar] [CrossRef]
- Pitchaimanickam, B.; Muthuvel, P.; Rajasekar, R. Multi-Verse Optimization for Node Localization in Wireless Sensor Networks. In Proceedings of the 2024 Third International Conference on Electrical, Electronics, Information and Communication Technologies (ICEEICT), Trichirappalli, India, 24–26 July 2024; pp. 1–5. [Google Scholar]
- Wang, X.; Zhou, Q.; Qu, C.; Chen, G.; Xia, J. Location Updating Scheme of Sink Node Based on Topology Balance and Reinforcement Learning in WSN. IEEE Access 2019, 7, 100066–100080. [Google Scholar] [CrossRef]
- Tirani, S.P.; Avokh, A. On the performance of sink placement in WSNs considering energy-balanced compressive sensing-based data aggregation. J. Netw. Comput. Appl. 2018, 107, 38–55. [Google Scholar] [CrossRef]
- Abrishambaf, R.; Bal, M. Base station positioning for industrial wireless sensors. In Proceedings of the 2018 IEEE International Conference on Consumer Electronics (ICCE), Las Vegas, NV, USA, 12–14 January 2018; pp. 1–4. [Google Scholar]
- Jindal, V.; Jha, A.; Goel, K.; Jha, V. Improving Network Lifetime and Area Coverage with Optimal Sink Mobility Pattern and Node Deployment Strategy in WSN. In Proceedings of the 2018 12th International Conference on Signal Processing and Communication Systems (ICSPCS), Cairns, Australia, 17–19 December 2018; pp. 1–10. [Google Scholar]
- Shahraki, A.; Taherkordi, A.; Haugen, Ø.; Eliassen, F. Clustering objectives in wireless sensor networks: A survey and research direction analysis. Comput. Netw. 2020, 180, 107376. [Google Scholar] [CrossRef]
- Radha, S.; Bala, G.J.; Rajkumar, N.P.; Indumathi, G.; Nagabushanam, P. Optimal relay nodes placement with game theory optimization for Wireless Sensor Networks. J. High Speed Netw. 2024, 29–51. [Google Scholar] [CrossRef]
- Yodianto, W.; Warnars, H.L.H.S.; Warnars, L.L.H.S.; Ramadhan, A.; Siswanto, T. Searching Routing using A-Star (A*) Search Algorithm. In Proceedings of the 2024 3rd International Conference on Creative Communication and Innovative Technology (ICCIT), Tangerang, Indonesia, 7–8 August 2024; pp. 1–7. [Google Scholar]
- Smaragdakis, G.; Matta, I.; Bestavros, A. SEP: A Stable Election Protocol for Clustered Heterogeneous Wireless Sensor Networks. In Proceedings of the Second International Workshop on Sensor and Actor Network Protocols and Applications (SANPA 2004), Boston, MA, USA, 22 August 2004. [Google Scholar]
- Panchal, A.; Singh, L.; Singh, R.K. RCH-LEACH: Residual Energy based Cluster Head Selection in LEACH for Wireless Sensor Networks. In Proceedings of the 2020 International Conference on Electrical and Electronics Engineering (ICE3), Gorakhpur, India, 14–15 February 2020; pp. 322–325. [Google Scholar]













| Parameters | Values |
|---|---|
| Size of network | |
| Number of sensor nodes (S) | 100 |
| Election probability value of CH ) | 0.1 |
| Coefficient for amplification signal from free space () | 10 PJ/bit/ |
| Signal amplification coefficient of multi-path fading () | 0.0013 PJ/bit/ |
| Energy consumption in electronic circuitry () | 50 nJ/bit |
| Energy consumption in data aggregation () | 5 nJ/bit |
| Packet size | 4000 bits |
Disclaimer/Publisher’s Note: The statements, opinions and data contained in all publications are solely those of the individual author(s) and contributor(s) and not of MDPI and/or the editor(s). MDPI and/or the editor(s) disclaim responsibility for any injury to people or property resulting from any ideas, methods, instructions or products referred to in the content. |
© 2025 by the authors. Licensee MDPI, Basel, Switzerland. This article is an open access article distributed under the terms and conditions of the Creative Commons Attribution (CC BY) license (https://creativecommons.org/licenses/by/4.0/).
Share and Cite
Abbas, S.S.A.; Dag, T.; Gucluoglu, T. Optimizing Mobile Base Station Placement for Prolonging Wireless Sensor Network Lifetime in IoT Applications. Appl. Sci. 2025, 15, 1421. https://doi.org/10.3390/app15031421
Abbas SSA, Dag T, Gucluoglu T. Optimizing Mobile Base Station Placement for Prolonging Wireless Sensor Network Lifetime in IoT Applications. Applied Sciences. 2025; 15(3):1421. https://doi.org/10.3390/app15031421
Chicago/Turabian StyleAbbas, Sahar S. A., Tamer Dag, and Tansal Gucluoglu. 2025. "Optimizing Mobile Base Station Placement for Prolonging Wireless Sensor Network Lifetime in IoT Applications" Applied Sciences 15, no. 3: 1421. https://doi.org/10.3390/app15031421
APA StyleAbbas, S. S. A., Dag, T., & Gucluoglu, T. (2025). Optimizing Mobile Base Station Placement for Prolonging Wireless Sensor Network Lifetime in IoT Applications. Applied Sciences, 15(3), 1421. https://doi.org/10.3390/app15031421

