Kinematic Characteristics of the Non-Throwing Arm During the Completion Phase of the Glide Shot Put in Elite Female Athletes: A Case Study
Abstract
1. Introduction
2. Materials and Methods
2.1. Study and Design
2.2. Data Collection
2.3. Data Analysis
2.3.1. Completion Phase of Glide Shot Put Definition
2.3.2. Kinematics Calculation
2.4. Statistics
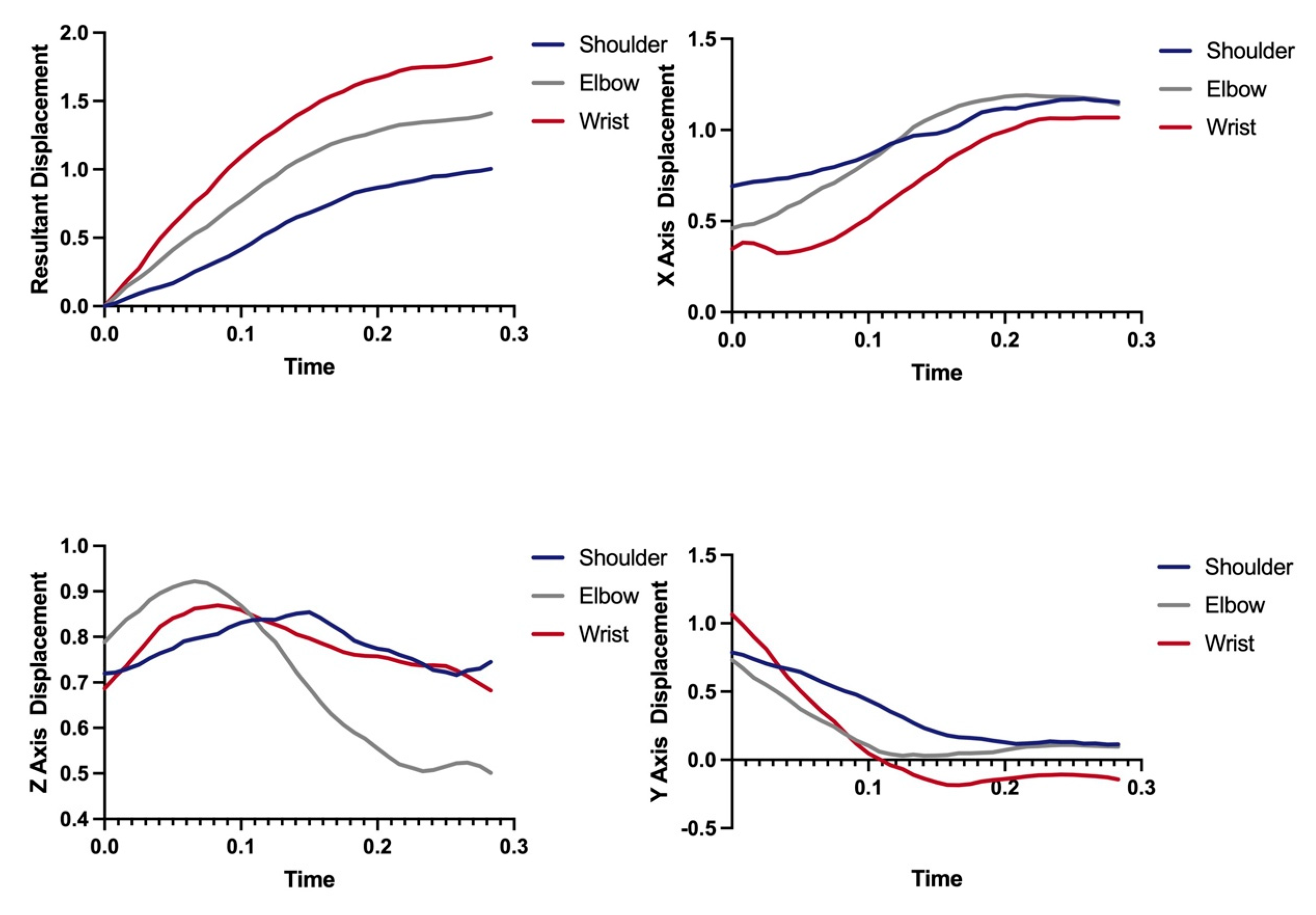
3. Results
4. Discussion
4.1. Results Discussion
4.2. Study Limitation
5. Conclusions
Author Contributions
Funding
Institutional Review Board Statement
Informed Consent Statement
Data Availability Statement
Conflicts of Interest
References
- Meron, A.; Saint-Phard, D. Track and Field Throwing Sports: Injuries and Prevention. Curr. Sport. Med. Rep. 2017, 16, 391–396. [Google Scholar] [CrossRef] [PubMed]
- Judge, L.W.; Bellar, D.; Thrasher, A.B.; Simon, L.; Hindawi, O.S.; Wanless, E. A Pilot Study Exploring the Quadratic Nature of the Relationship of Strength to Performance Among Shot Putters. Int. J. Exerc. Sci. 2013, 6, 171–179. [Google Scholar] [CrossRef] [PubMed]
- Hashimoto, S.; Fujimori, T.; Ohyama-Byun, K.; Okamoto, Y.; Nakajima, T.; Sado, N. Distal Muscle Cross-Sectional Area Is Correlated with Shot Put Performance. J. Biomech. 2023, 160, 6. [Google Scholar] [CrossRef] [PubMed]
- Maneshkumarmurali, M.; Mr, D. Kinematic Analysis of Shot Release of Intercollegiate Athletes. Int. J. Phys. Educ. Sports Health 2016, 3, 131–134. [Google Scholar]
- Schofield, M.; Cronin, J.B.; Macadam, P.; Hébert-Losier, K. Rotational Shot Put: A Phase Analysis of Current Kinematic Knowledge. Sports Biomech. 2022, 21, 278–296. [Google Scholar]
- Waldera, R. A Biomechanical and Electromyographic Analysis of Elite Shot Putters at a Division I University. Ph.D. Thesis, North Dakota State University, Fargo, ND, USA, 2022. [Google Scholar]
- Landolsi, M.; Labiadh, L.; Zarrouk, F.; Maaref, K.; Ghannouchi, S.; Tabka, Z.; Lacouture, P. Kinematic analysis of the shot-put: A method of assessing the mechanical work of the hand action force. Eur. J. Sport. Sci. 2018, 18, 1208–1216. [Google Scholar] [CrossRef]
- Howard, R.M.; Conway, R.; Harrison, A.J. Muscle Activation Sequencing of Leg Muscles During Linear Glide Shot Putting. Sports Biomech. 2017, 16, 463–484. [Google Scholar] [CrossRef]
- Young, M.; Li, L. Determination of Critical Parameters Among Elite Female Shot Putters. Sports Biomech. 2005, 4, 131–148. [Google Scholar] [CrossRef]
- Blazkiewicz, M.; Lyson, B.; Wit, A. Mechanical Energy Flows Between Body Segments in Ballistic Track-and-Field Movements (Shot Put, Discus, Javelin) as a Performance Evaluation Method. Acta Bioeng. Biomech. 2019, 21, 31–36. [Google Scholar]
- Young, M. Development and Application of an Optimization Model for Elite Level Shot Putting. Ph.D. Thesis, Louisiana State University, Baton Rouge, LA, USA, 2009. [Google Scholar]
- Blazkiewicz, M.; Lyson, B.; Chmielewski, A.; Wit, A. Transfer of Mechanical Energy During the Shot Put. J. Hum. Kinet. 2016, 52, 139–146. [Google Scholar] [CrossRef]
- Gowda, V.; Subramanian, S.S.; Gaowgzeh, R.A.M.; Alsenany, S.A.; Abdelaliem, S.M.F.; Alabdullah, A.A.S.; Afnan, A.M. Effect of Kinematic Chain Exercise Protocol on Throwing Performance and Shoulder Muscle Strength Among University Shot Put Athletes—A Randomized Controlled Trial. J. Clin. Med. 2024, 13, 15. [Google Scholar] [CrossRef] [PubMed]
- Harasin, D.; Milanovic, D.; Coh, M. 3d Kinematics of the Swing Arm in the Second Double-Support Phase of Rotational Shot Put—Elite vs Sub-Elite Athletes. Kinesiology 2010, 42, 169–174. [Google Scholar]
- Murata, A. Shoulder Joint Movement of the Non-Throwing Arm During Baseball Pitch—Comparison Between Skilled and Unskilled Pitchers. J. Biomech. 2001, 34, 1643–1647. [Google Scholar] [CrossRef] [PubMed]
- Hirashima, M.; Yamane, K.; Nakamura, Y.; Ohtsuki, T. Kinetic Chain of Overarm Throwing in Terms of Joint Rotations Revealed by Induced Acceleration Analysis. J. Biomech. 2008, 41, 2874–2883. [Google Scholar] [CrossRef]
- Naito, K.; Takagi, T.; Kubota, H.; Maruyama, T. Multi-Body Dynamic Coupling Mechanism for Generating Throwing Arm Velocity During Baseball Pitching. Hum. Mov. Sci. 2017, 54, 363–376. [Google Scholar] [CrossRef]
- Miller, D.I.; Morrison, W.E. Prediction of Segmental Parameters Using the Hanavan Human Body Model. Med. Sci. Sports 1975, 7, 207–212. [Google Scholar] [CrossRef]
- Kraft, T.; Mattei, T.; Brenner, B. Structural Features of Force-Generating Cross-Bridges. A 2d-X-Ray Diffraction Study. Adv. Exp. Med. Biol. 1998, 453, 289–295; Discussion 295–296. [Google Scholar]
- Göksu, Ö.; Kural, D. Evaluation of the Effects of Hip Joint Range of Motion and Trunk Rotation On Throwing Biomechanics in Shot-Put Throwers: A Pilot Study. Acta Medica Mediterr. 2019, 35, 2823–2829. [Google Scholar]
- Ariel, G.B.; Penny, A.; Probe, J.; Finch, A.E. Biomechanical Analysis of the Shot-Put Event at the 2004 Athens Olympic Games; Universität Konstanz: Konstanz, Germany, 2008. [Google Scholar]
- Fleisig, G.S.; Barrentine, S.W.; Zheng, N.; Escamilla, R.F.; Andrews, J.R. Kinematic and Kinetic Comparison of Baseball Pitching Among Various Levels of Development. J. Biomech. 1999, 32, 1371–1375. [Google Scholar] [CrossRef]
- Stodden, D.F.; Fleisig, G.S.; Mclean, S.P.; Andrews, J.R. Relationship of Biomechanical Factors To Baseball Pitching Velocity: Within Pitcher Variation. J. Appl. Biomech. 2005, 21, 44–56. [Google Scholar] [CrossRef]
- Oyama, S.; Yu, B.; Blackburn, J.T.; Padua, D.A.; Li, L.; Myers, J.B. Effect of Excessive Contralateral Trunk Tilt On Pitching Biomechanics and Performance in High School Baseball Pitchers. Am. J. Sports Med. 2013, 41, 2430–2438. [Google Scholar] [CrossRef] [PubMed]
- Bartlett, R. Principles of Throwing. In Biomechanics in Sport; Wiley: Hoboken, NJ, USA, 2000; pp. 365–380. [Google Scholar]
- Chu, Y.C.; Fleisig, G.S.; Simpson, K.J.; Andrews, J.R. Biomechanical Comparison Between Elite Female and Male Baseball Pitchers. J. Appl. Biomech. 2009, 25, 22–31. [Google Scholar] [CrossRef] [PubMed]
- Hirashima, M.; Kudo, K.; Watarai, K.; Ohtsuki, T. Control of 3d Limb Dynamics in Unconstrained Overarm Throws of Different Speeds Performed By Skilled Baseball Players. J. Neurophysiol. 2007, 97, 680–691. [Google Scholar] [CrossRef]
- Debicki, D.B.; Gribble, P.L.; Watts, S.; Hore, J. Kinematics of Wrist Joint Flexion in Overarm Throws Made By Skilled Subjects. Exp. Brain Res. 2004, 154, 382–394. [Google Scholar]
- Ishida, K.; Hirano, Y. Effects of Non-throwing Arm on Trunk and Throwing Arm Movements in Baseball Pitching. Int. J. Sport Health Sci. 2004, 2, 119–128. [Google Scholar] [CrossRef][Green Version]
- Latash, M.L. Laws of Nature That Define Biological Action and Perception. Phys. Life Rev. 2021, 36, 47–67. [Google Scholar] [CrossRef]
- Feltner, M.E.; Dapena, J. Three-Dimensional Interactions in a Two-Segment Kinetic Chain. Part I: General Model. Int. J. Sport Biomech. 1989, 5, 403–419. [Google Scholar] [CrossRef]






| TPL | RTPL | DPL | RDPL | CPL | |
|---|---|---|---|---|---|
| Shoulder | 0.31 | 32.5 | 0.64 | 67.5 | 0.94 | 
| Elbow | 0.58 | 44.4 | 0.72 | 55.6 | 1.30 | 
| Wrist | 0.83 | 49.9 | 0.84 | 50.1 | 1.67 | 
| Touch Down | Smallest Knee Angle | Release | Peak Velocity | |
|---|---|---|---|---|
| Shoulder | 3.41 | 4.92 | 0.54 | 5.82 | 
| Elbow | 8.04 | 7.12 | 0.82 | 8.04 | 
| Wrist | 10.79 | 9.79 | 1.31 | 11.92 | 
| Disclaimer/Publisher’s Note: The statements, opinions and data contained in all publications are solely those of the individual author(s) and contributor(s) and not of MDPI and/or the editor(s). MDPI and/or the editor(s) disclaim responsibility for any injury to people or property resulting from any ideas, methods, instructions or products referred to in the content. | 
© 2025 by the authors. Licensee MDPI, Basel, Switzerland. This article is an open access article distributed under the terms and conditions of the Creative Commons Attribution (CC BY) license (https://creativecommons.org/licenses/by/4.0/).
Share and Cite
Jiao, J.; Yang, T.; Ma, Y.; Wang, H.; Chen, J.; Xu, H.; Yang, G. Kinematic Characteristics of the Non-Throwing Arm During the Completion Phase of the Glide Shot Put in Elite Female Athletes: A Case Study. Appl. Sci. 2025, 15, 1397. https://doi.org/10.3390/app15031397
Jiao J, Yang T, Ma Y, Wang H, Chen J, Xu H, Yang G. Kinematic Characteristics of the Non-Throwing Arm During the Completion Phase of the Glide Shot Put in Elite Female Athletes: A Case Study. Applied Sciences. 2025; 15(3):1397. https://doi.org/10.3390/app15031397
Chicago/Turabian StyleJiao, Jie, Tianzhi Yang, Yue Ma, Houjie Wang, Jing Chen, Hongqi Xu, and Guang Yang. 2025. "Kinematic Characteristics of the Non-Throwing Arm During the Completion Phase of the Glide Shot Put in Elite Female Athletes: A Case Study" Applied Sciences 15, no. 3: 1397. https://doi.org/10.3390/app15031397
APA StyleJiao, J., Yang, T., Ma, Y., Wang, H., Chen, J., Xu, H., & Yang, G. (2025). Kinematic Characteristics of the Non-Throwing Arm During the Completion Phase of the Glide Shot Put in Elite Female Athletes: A Case Study. Applied Sciences, 15(3), 1397. https://doi.org/10.3390/app15031397
 
        




 
       