Dynamic Characteristics and Periodic Stability Analysis of Rotor System with Squeeze Film Damper Under Base Motions
Abstract
1. Introduction
2. Differential Equations of Motion
2.1. Systematic Equations Under Base Motion Excitation
2.2. Mass Unbalance
2.3. Nonlinear Oil Film Force
3. Computational Methods and Validation
3.1. Harmonic Balance Method with Alternating Frequency/Time–Domain Technique
3.2. Stability Analysis Method
- If Floquet multipliers cross the unit circle at (1, 0), the system’s periodic response may undergo saddle–node bifurcation.
- If Floquet multipliers cross the unit circle at (−1, 0), the periodic response undergoes period-doubling bifurcation.
- If a pair of complex conjugate Floquet multipliers leaves the unit circle, the periodic response undergoes secondary Hopf bifurcation.
3.3. Method Verification
4. Results and Discussion
4.1. Effects of Base Motions
4.1.1. Base Rolling Motion
4.1.2. Base Pitching Motion
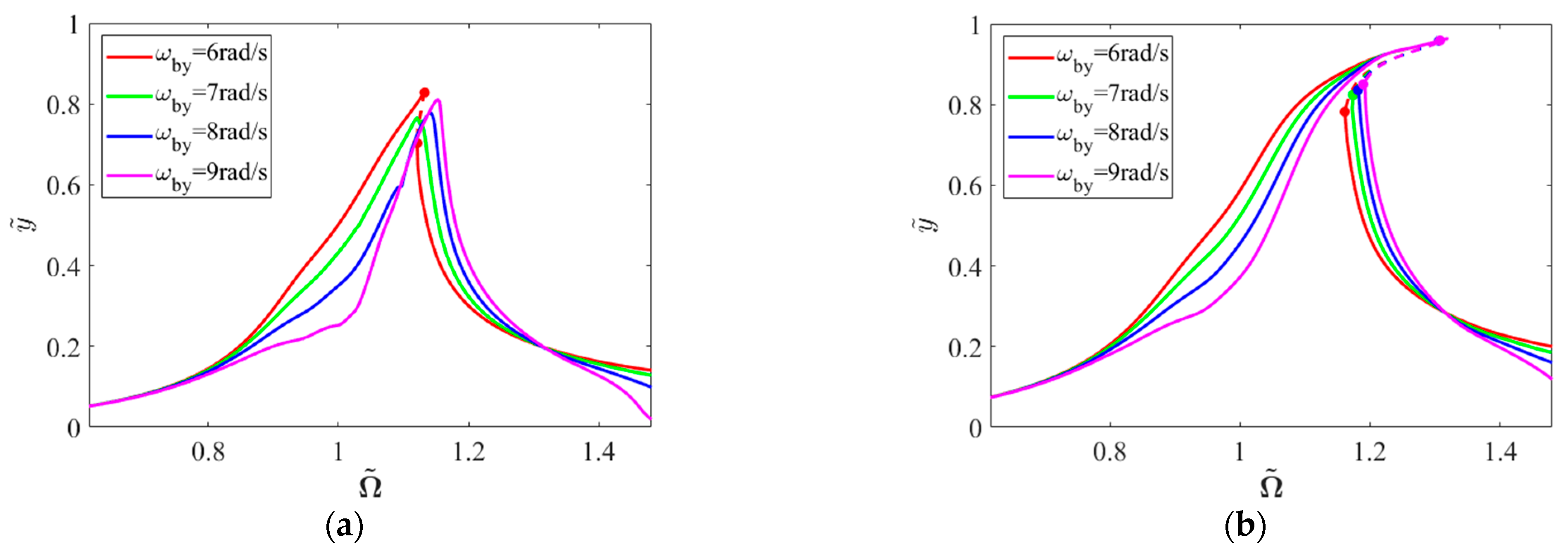
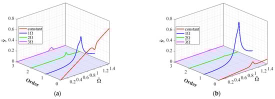
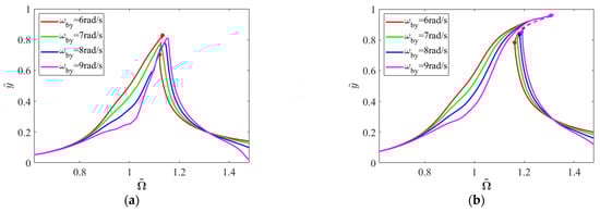
4.1.3. Base Yawing Motion
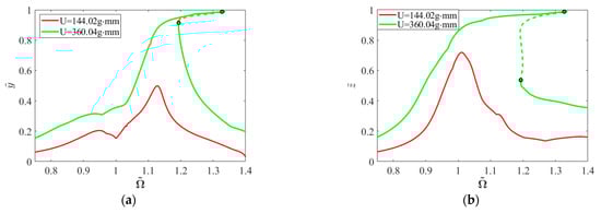
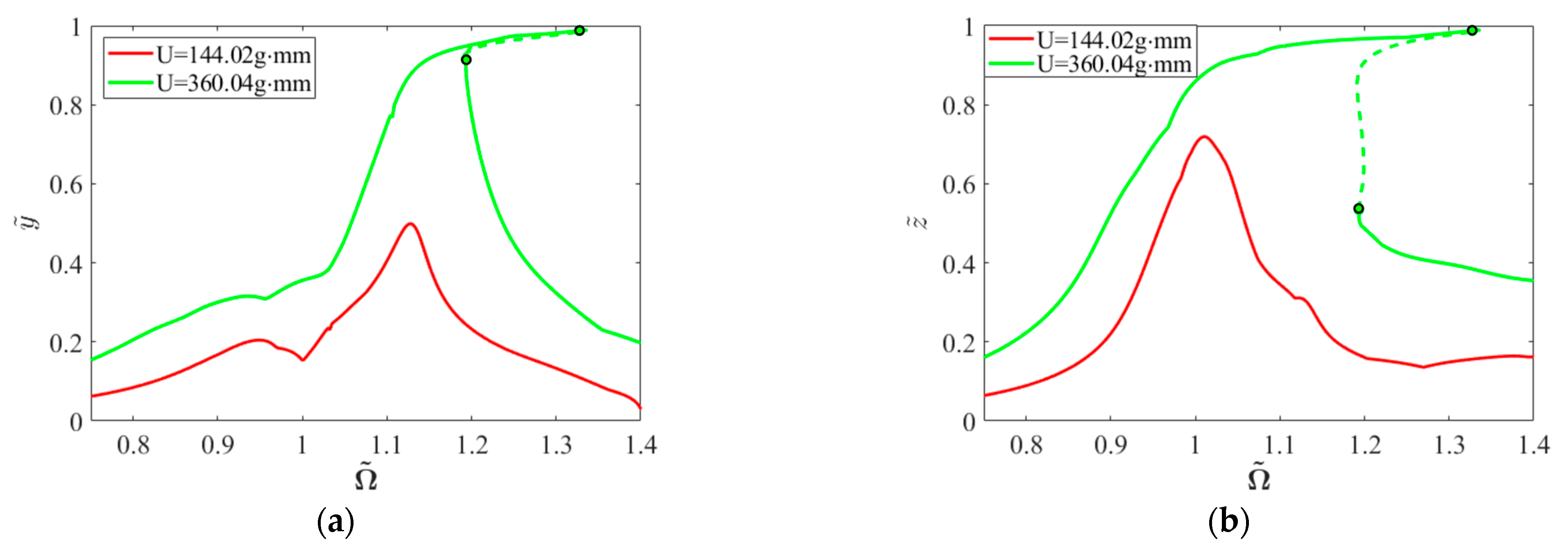
4.2. Effects of Mass Unbalance
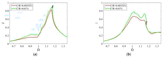
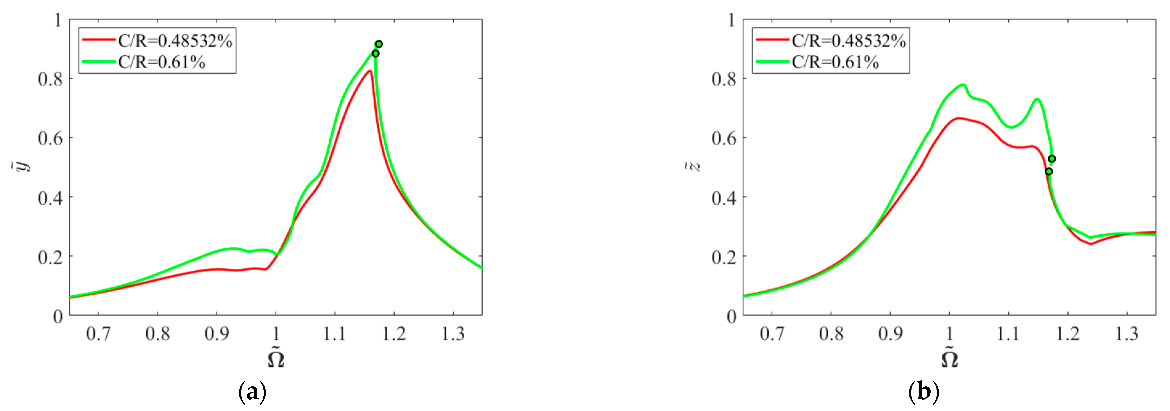
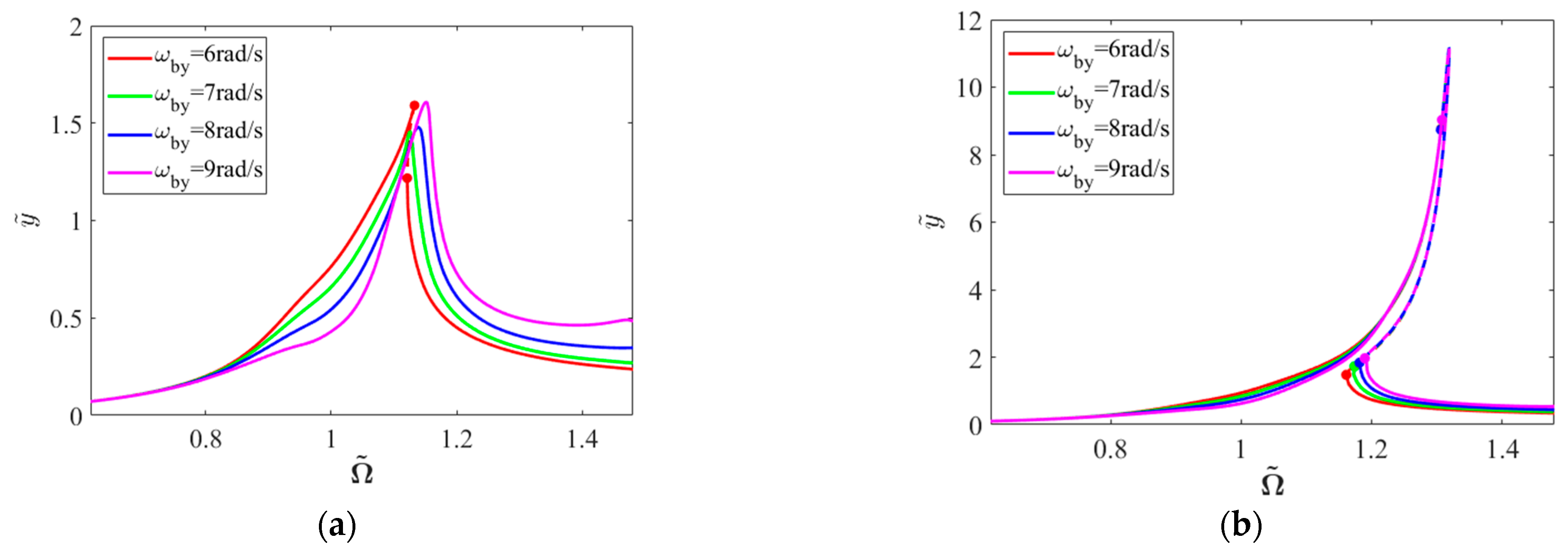
4.3. Effects of SFD Parameters
5. Conclusions
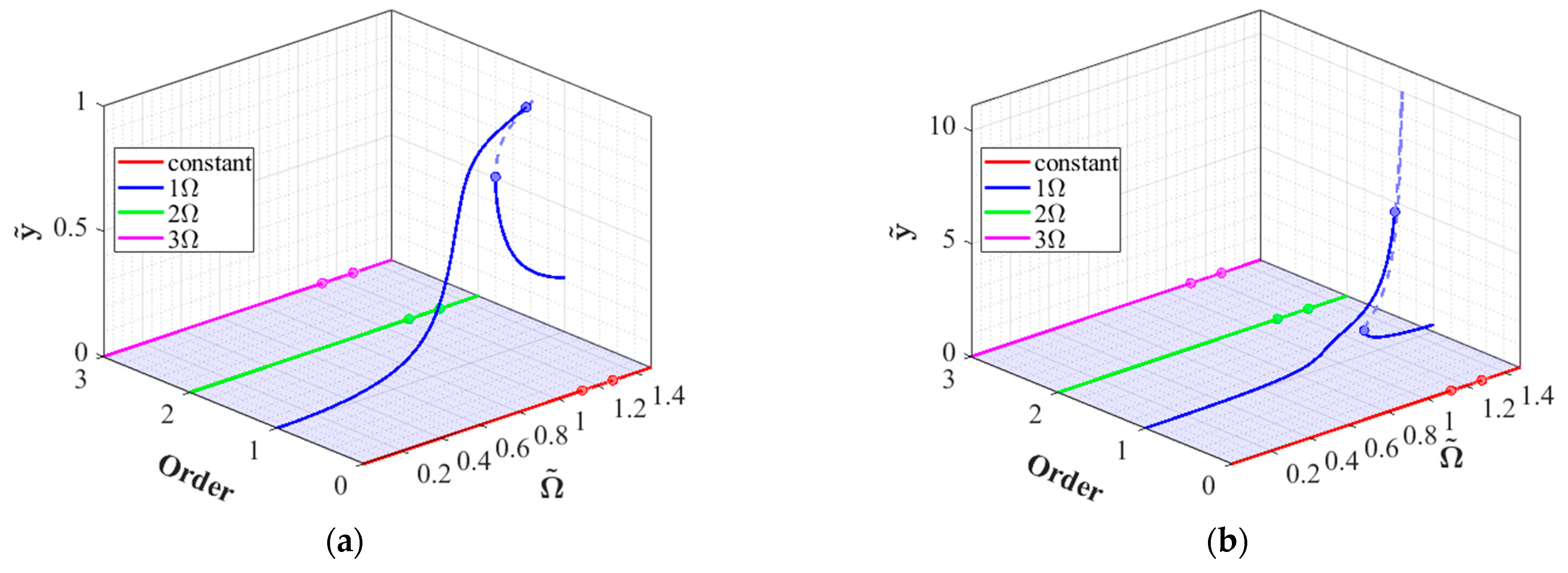
- Under unbalanced excitation, the system exhibits saddle–node bifurcations accompanied by jump phenomena, with response spectra confined to synchronous components. Under base rolling motion, the system maintains hardening characteristics, with frequency–response curves shifting toward lower frequencies as rolling angular velocity increases due to additional stiffness effects. Base pitching motion significantly enhances nonlinear effects, manifesting as higher-order harmonic components in the response. The inertial moment introduced by pitching motion induces horizontal static eccentricity. In the absence of gravitational effects, base yawing motion produces vertical static eccentricity with effects comparable to pitching motion.
- Increasing unbalanced magnitude significantly expands the unstable speed range, with more pronounced centering phenomena near critical speeds. Conversely, increasing pitching angular velocity progressively reduces the unstable speed range. At lower unbalanced magnitudes, strategic implementation of pitching motion demonstrates the capacity for the complete elimination of instability regions, validating the stabilizing influence of base pitching excitation.
- Under specific combinations of unbalanced magnitude and base pitching angular velocity, variations in the clearance-to-radius ratio of the SFD induce complex nonlinear phenomena: secondary Hopf bifurcations manifest within specific speed ranges, resulting in destabilization of periodic solutions and transition to quasi-periodic motion, with potential progression to chaotic motion. These complex dynamic behaviors demonstrate strong coupling characteristics between system parameters and motion states.
Author Contributions
Funding
Data Availability Statement
Acknowledgments
Conflicts of Interest
List of Nomenclature
| Abbreviation | Definition |
| SFD | squeeze film damper |
| HB- AFT | harmonic balance method with alternating frequency/time technique |
| IHB | incremental harmonic balance method |
| IDFT | inverse discrete Fourier transform |
| DFT | discrete Fourier transform |
| List of symbols | |
| Symbol | Definition |
| , , | base translational displacement projected onto |
| , , | angular velocities for base rolling, pitching, and yawing motions about the , , and axis |
| , | generalized displacement, velocity, and acceleration of the rotor system |
| , , , | mass, damping, gyroscopic, and stiffness matrices of the rotor system |
| rotor speed | |
| damping and stiffness matrices introduced by base motions | |
| unbalanced force | |
| inertial force introduced by base motions | |
| nonlinear oil film force induced by SFD | |
| , , | mass, polar moment of inertia, and diametral moment of inertia of the i-th disk element |
| axial position of the disk | |
| cosine and sine components of the unbalanced force | |
| , | mass, eccentricity, and phase angle of the mass unbalance |
| pressure and thickness of the oil film | |
| circumferential coordinate beginning on the line connecting the bearing and journal centers | |
| centers of bearing and journal | |
| , , | dynamic viscosity, radius, clearance, and axial length of the SFD |
| diameter of the SFD | |
| journal eccentricity | |
| dimensionless radial displacement of the oil film | |
| journal precession angular velocity | |
| , | oil film force in tangential and radial direction |
| , , | Sommerfeld integrals |
| oil film force in y, z direction | |
| Constant terms for generalized displacement and nonlinear force | |
| , | j-th cosine and sine truncated Fourier terms for generalized displacement |
| , | j-th cosine and sine truncated Fourier terms for nonlinear force |
| orders of truncated Fourier series | |
| imaginary unit; prediction step number (subscript) | |
| , | discrete time–domain information of truncated Fourier terms for generalized displacement and velocity |
| number of selected IDFT discretization points | |
| discrete time–domain information of truncated Fourier terms for nonlinear force | |
| solution of the HB-AFT combined with continuation algorithm | |
| λ | continuation parameter |
| number of harmonic balance equations | |
| dimensional unit vector with the last component equal to 1 | |
| defined length step size along the solution path | |
| correction step number | |
| Jacobian matrix for the i-th prediction step | |
| residual and extend residual functions for HB-AFT | |
| k-th correction step length | |
| arc-length constraint equation | |
| convergence threshold for Newton–Raphson iteration | |
| degrees of freedom of the rotor system | |
| periodic solution of the rotor system | |
| perturbation of the periodic solution | |
| time interval of the Newmark method in stability analysis | |
| linearized damping and stiffness matrices of SFD | |
| number of time intervals in stability analysis | |
| Floquet monodromy matrix | |
| eigenvalues of the Floquet monodromy matrix also called Floquet multiplier | |
| maximum Floquet multiplier | |
| base harmonic motion frequency | |
| dimensionless rotational speed | |
| , | first and second critical speeds of the rotor system |
| , | normalized displacement components in horizontal and vertical directions |
| dimensionless deflection | |
| unbalanced magnitude |
References
- Holmes, R. The Non-Linear Performance of Squeeze-Film Bearings. J. Mech. Eng. Sci. 1972, 14, 74–77. [Google Scholar] [CrossRef]
- Holmes, R.; Dogan, M. Investigation of a rotor bearing damper bearing assembly incorporating a squeeze-film damper bearing. J. Mech. Eng. Sci. 1982, 24, 129–137. [Google Scholar] [CrossRef]
- McLean, L.J.; Hahn, E.J. Unbalance Behavior of Squeeze Film Damped Multi-Mass Flexible Rotor Bearing Systems. J. Lubr. Technol. 1983, 105, 22–28. [Google Scholar] [CrossRef]
- Friedmann, P.P. Numerical methods for determining the stability and response of periodic systems with applications to helicopter rotor dynamics and aeroelasticity. Comput. Math. Appl. 1986, 12, 131–148. [Google Scholar] [CrossRef]
- Hsu, C.S. On approximating a general linear periodic system. J. Math. Anal. Appl. 1974, 45, 234–251. [Google Scholar] [CrossRef]
- Peletan, L.; Baguet, S.; Torkhani, M.; Jacquet-Richardet, G. A comparison of stability computational methods for periodic solution of nonlinear problems with application to rotordynamics. Nonlinear Dyn. 2013, 72, 671–682. [Google Scholar] [CrossRef]
- Zhao, J.; Linnett, I.; Mclean, L. Imbalance Response and Stability of Eccentric Squeeze-Film-Damped Nonlinear Rotor Bearing Systems. JSME Int. J. Ser. B 1994, 37, 886–895. [Google Scholar] [CrossRef][Green Version]
- Zhao, J.Y.; Linnett, I.W.; McLean, L.J. Subharmonic and Quasi-Periodic Motions of an Eccentric Squeeze Film Damper-Mounted Rigid Rotor. J. Vib. Acoust. 1994, 116, 357–363. [Google Scholar] [CrossRef]
- Bonello, P.; Brennan, M.J.; Holmes, R. Non-Linear Modelling of Rotor Dynamic Systems with Squeeze Film Dampers—An Efficient Integrated Approach. J. Sound Vib. 2002, 249, 743–773. [Google Scholar] [CrossRef]
- Inayat-Hussain, J.I. Bifurcations in the response of a flexible rotor in squeeze-film dampers with retainer springs. Chaos Solitons Fractals 2009, 39, 519–532. [Google Scholar] [CrossRef]
- Chen, Y.; Rui, X.; Zhang, Z.; Shehzad, A. Improved incremental transfer matrix method for nonlinear rotor-bearing system. Acta Mech. Sin. 2020, 36, 1119–1132. [Google Scholar] [CrossRef]
- Qin, W.; Zhang, J.; Ren, X. Response and bifurcation of rotor with squeeze film damper on elastic support. Chaos Solitons Fractals 2009, 39, 188–195. [Google Scholar] [CrossRef]
- Chen, H.; Hou, L.; Chen, Y.; Yang, R. Dynamic characteristics of flexible rotor with squeeze film damper excited by two frequencies. Nonlinear Dyn. 2016, 87, 2463–2481. [Google Scholar] [CrossRef]
- Ri, K.; Jong, Y.; Yun, C.; Kim, K.; Han, P. Nonlinear vibration and stability analysis of a flexible rotor-SFDs system with cubic nonlinearity. Nonlinear Dyn. 2022, 109, 1441–1461. [Google Scholar] [CrossRef]
- Zhang, Y.; Wang, W.; Wei, D.; Wang, G.; Xu, J.; Liu, K. Dynamic stability of unbalance-induced vibration in a turbocharger rotor-bearing system with the nonlinear effect of thermal turbulent lubricating fluid film. J. Sound Vib. 2022, 528, 116909. [Google Scholar] [CrossRef]
- El-Saeidy, F.M.A.; Sticher, F. Dynamics of a Rigid Rotor Linear/Nonlinear Bearings System Subject to Rotating Unbalance and Base Excitations. J. Vib. Control 2009, 16, 403–438. [Google Scholar] [CrossRef]
- Dakel, M.; Baguet, S.; Dufour, R. Nonlinear dynamics of a support-excited flexible rotor with hydrodynamic journal bearings. J. Sound Vib. 2014, 333, 2774–2799. [Google Scholar] [CrossRef]
- Han, Q.; Chu, F. Dynamic response of cracked rotor-bearing system under time-dependent base movements. J. Sound Vib. 2013, 332, 6847–6870. [Google Scholar] [CrossRef]
- Han, Q.; Chu, F. Dynamic behaviors of a geared rotor system under time-periodic base angular motions. Mech. Mach. Theory 2014, 78, 1–14. [Google Scholar] [CrossRef]
- Chen, X.; Gan, X.; Ren, G. Nonlinear responses and bifurcations of a rotor-bearing system supported by squeeze-film damper with retainer spring subjected to base excitations. Nonlinear Dyn. 2020, 102, 2143–2177. [Google Scholar] [CrossRef]
- Chen, X.; Gan, X.; Ren, G. Dynamic modeling and nonlinear analysis of a rotor system supported by squeeze film damper with variable static eccentricity under aircraft turning maneuver. J. Sound Vib. 2020, 485, 115551. [Google Scholar] [CrossRef]
- Chen, X.; Gan, X.; Ren, G. Effect of flight/structural parameters and operating conditions on dynamic behavior of a squeeze-film damped rotor system during diving–climbing maneuver. Proc. Inst. Mech. Eng. Part G J. Aerosp. Eng. 2020, 235, 308–338. [Google Scholar] [CrossRef]
- Chen, X.; Ren, G.; Gan, X. Dynamic behavior of a flexible rotor system with squeeze film damper considering oil-film inertia under base motions. Nonlinear Dyn. 2021, 106, 3117–3145. [Google Scholar] [CrossRef]
- Briend, Y.; Dakel, M.; Chatelet, E.; Andrianoely, M.-A.; Dufour, R.; Baudin, S. Effect of multi-frequency parametric excitations on the dynamics of on-board rotor-bearing systems. Mech. Mach. Theory 2020, 145, 103660. [Google Scholar] [CrossRef]
- Soni, T.; Dutt, J.K.; Das, A.S. Parametric Stability Analysis of Active Magnetic Bearing Supported Rotor System With a Novel Control Law Subject to Periodic Base Motion. IEEE Trans. Ind. Electron. 2020, 67, 1160–1170. [Google Scholar] [CrossRef]
- Hamzehlouia, S. Squeeze Film Dampers in High-Speed Turbomachinery: Fluid Inertia Effects, Rotordynamics, and Thermohydrodynamics. Ph.D. Thesis, University of Toronto, Toronto, Canada, 2017. [Google Scholar]
- Han, Y.; Ri, K.; Yun, C.; Kim, K.; Kim, K. Nonlinear vibration analysis and stability analysis of rotor systems supported on SFD by combining DQFEM, CMS and IHB methods. Appl. Math. Model. 2023, 121, 828–842. [Google Scholar] [CrossRef]
- Vance, J.M. Rotordynamics of Turbomachinery; Wiley: Hoboken, NJ, USA, 1988. [Google Scholar]
- Krack, M.; Gross, J. Harmonic Balance for Nonlinear Vibration Problems; Springer International Publishing: Cham, Switzerland, 2019. [Google Scholar]
- Seydel, R. Practical Bifurcation and Stability Analysis; Springer New York: New York, NY, USA, 2010. [Google Scholar]
- Cardona, A.; Lerusse, A.; Géradin, M. Fast Fourier nonlinear vibration analysis. Comput. Mech. 1998, 22, 128–142. [Google Scholar] [CrossRef]
- Guilhen, P.M.; Berthier, P.; Ferraris, G.; Lalanne, M. Instability and Unbalance Response of Dissymmetric Rotor-Bearing Systems. J. Vib. Acoust. 1988, 110, 288–294. [Google Scholar] [CrossRef]
- Hsu, C.S.; Cheng, W.-H. Steady-State Response of a Dynamical System Under Combined Parametric and Forcing Excitations. J. Appl. Mech. 1974, 41, 371–378. [Google Scholar] [CrossRef]
- Duchemin, M.; Berlioz, A.; Ferraris, G. Dynamic Behavior and Stability of a Rotor Under Base Excitation. J. Vib. Acoust. 2006, 128, 576–585. [Google Scholar] [CrossRef]
- Han, Q.; Chu, F. Parametric instability of flexible rotor-bearing system under time-periodic base angular motions. Appl. Math. Model. 2015, 39, 4511–4522. [Google Scholar] [CrossRef]

























| Mass Unbalance | Literature [27] | The Proposed Model | ||
|---|---|---|---|---|
| 144.02 | 1.0641 | 1.0014 | 1.0565 | 1.0048 |
| 1.0578 | 1.0098 | 1.0556 | 1.0351 | |
| 360.04 | 1.3124 | 1.0755 | 1.2820 | 1.0047 |
| 1.1281 | 1.0514 | 1.1245 | 1.0189 | |
| Oil Viscosity | Oil Clearance | Clearance-to-Radius Ratio | Length-to-Diameter Ratio |
|---|---|---|---|
| 0.0051 | 12.7 | 0.485% | 0.325 |
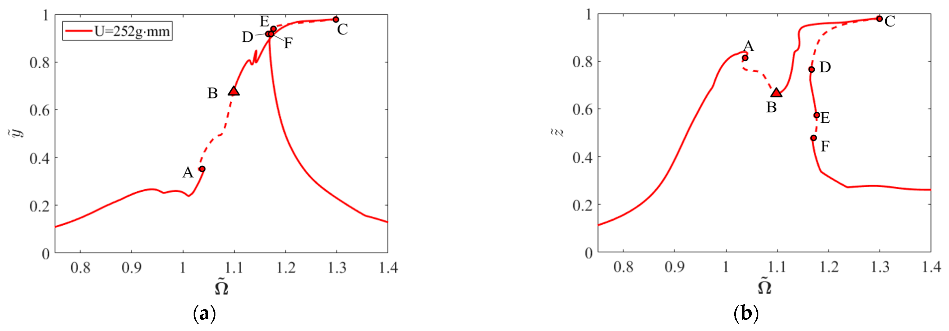
| Bifurcation Point | ||
|---|---|---|
| A | 1.0369 | 1.0589 |
| B | 1.0982 | 0.5344 ± 0.8634 i |
| C | 1.2977 | 1.0008 |
| D | 1.1660 | 1.0716 |
| E | 1.1760 | 1.0669 |
| F | 1.1669 | 1.0818 |
Disclaimer/Publisher’s Note: The statements, opinions and data contained in all publications are solely those of the individual author(s) and contributor(s) and not of MDPI and/or the editor(s). MDPI and/or the editor(s) disclaim responsibility for any injury to people or property resulting from any ideas, methods, instructions or products referred to in the content. |
© 2025 by the authors. Licensee MDPI, Basel, Switzerland. This article is an open access article distributed under the terms and conditions of the Creative Commons Attribution (CC BY) license (https://creativecommons.org/licenses/by/4.0/).
Share and Cite
Zhang, B.; Chen, X.; Xiang, F.; Ren, G.; Gan, X. Dynamic Characteristics and Periodic Stability Analysis of Rotor System with Squeeze Film Damper Under Base Motions. Appl. Sci. 2025, 15, 1186. https://doi.org/10.3390/app15031186
Zhang B, Chen X, Xiang F, Ren G, Gan X. Dynamic Characteristics and Periodic Stability Analysis of Rotor System with Squeeze Film Damper Under Base Motions. Applied Sciences. 2025; 15(3):1186. https://doi.org/10.3390/app15031186
Chicago/Turabian StyleZhang, Bo, Xi Chen, Fengguang Xiang, Guangming Ren, and Xiaohua Gan. 2025. "Dynamic Characteristics and Periodic Stability Analysis of Rotor System with Squeeze Film Damper Under Base Motions" Applied Sciences 15, no. 3: 1186. https://doi.org/10.3390/app15031186
APA StyleZhang, B., Chen, X., Xiang, F., Ren, G., & Gan, X. (2025). Dynamic Characteristics and Periodic Stability Analysis of Rotor System with Squeeze Film Damper Under Base Motions. Applied Sciences, 15(3), 1186. https://doi.org/10.3390/app15031186

