Deep Learning for Risky Cardiovascular and Cerebrovascular Event Prediction in Hypertensive Patients
Abstract
1. Introduction
2. Related Works
3. Materials and Methods
3.1. Hardware and Software Resources
3.2. Datasets
3.2.1. Atrial Fibrillation Dataset
3.2.2. Cardiovascular Events Dataset
3.3. Data Pre-Processing
3.4. Synthetic Data Generation
- Minimum number of records for generalization: To ensure the deep learning model was able to generalize well, we needed a dataset size sufficient to capture the variability in the underlying data distribution. Based on previous empirical experiments, a minimum of 100 records was found to provide enough variability to train a model that avoids overfitting while maintaining predictive accuracy. This ensures the model can generalize effectively to unseen data.
- Maximum number of records to optimize model size: Given that the trained model was intended for deployment across multiple devices, we aimed to limit the number of records, to keep the model size manageable. Generating excessively large datasets, such as 10,000 records, can unnecessarily increase model complexity, resulting in longer training times and larger model sizes. This can hinder deployment efficiency, particularly on devices with limited computational and storage capacities.
3.5. Deep Learning
3.6. Atrial Fibrillation Deep Learning Model
3.6.1. Model Architecture
3.6.2. Training
3.7. Cardiovascular Event Transfer Learning Model
3.7.1. Model Architecture
3.7.2. Training
4. Results
4.1. Accuracy of Synthetic Data Generation
4.1.1. Statistical Analysis
- Column shapes (for single columns of data and is often called the marginal distribution of each column): While these values may appear slightly lower than other metrics, they still indicate a strong resemblance between real and synthetic column distributions.
- Column pair trends (for pair of columns and is the correlation or bivariate distribution of columns): These high percentages indicate that relationships and dependencies between pairs of columns (e.g., correlations) in the synthetic data closely mimic those in the real data. This demonstrates that the structural integrity of the dataset is preserved, which is critical for maintaining its utility in downstream tasks like machine learning model training.
- Overall score: These scores combine multiple aspects of statistical similarity and indicate a strong match between real and synthetic datasets. An overall score above 85% provides confidence that the generated data retain the key representational features of the real data, while reducing risks associated with direct data sharing.
4.1.2. Atrial Fibrillation
- NNxx (beats): Number of successive RR interval pairs that differ more than xx ms;
- pNNxx (%): NNxx divided by the total number of RR intervals;
- Very low frequency (VLF) (Hz) AR spectrum: The overall activity of the various slow mechanisms of the sympathetic function.
4.1.3. Cardiovascular Events
4.2. Experiment Setup
- Atrial fibrillation prediction:
- -
- Training model on synthetic and real data.
- -
- Training model on real data only.
- Cardiovascular events prediction:
- -
- Training model using transfer learning with synthetic and real data.
- -
- Training model using transfer learning and real data.
- -
- Training model on real data only, without transfer learning.
4.2.1. Classification Performance on Atrial Fibrillation
4.2.2. Classification Performance for Cardiovascular Events
5. Discussion
| Study | Dataset | Method | Sensitivity | Specificity | Accuracy | F1 |
|---|---|---|---|---|---|---|
| Melillo et al. [20] | - HRV for risk of vascular events | - Random Forest (RF) | 71.4% | 87.8% | 85.7% | N/A |
| (2015) | - 139 Holter recordings | |||||
| Zhang et al. [47] | - EMR for cardiovascular disease | - Enhanced Character-level Deep CNNs | N/A | N/A | 95.22% | 95.16% |
| (2019) | - 659 records | (EnDCNNs) | ||||
| Alkhodari et al. [21] | - HRV for cardio events | - Random Under- Sampling | N/A | N/A | 97.08% | 86.67% |
| (2020) | - 139 Holter recordings | Boosting (RUSBOOST) | ||||
| Deka et al. [22] | - HRV for cardio events | - Cost-Sensitive RUSBoost | N/A | N/A | N/A | 93.47% |
| (2021) | - 139 Holter recordings | (CS-RUSBoost) | ||||
| Moshawrab et al. | - HRV for cardiovascular events | - Support Vector Machines | N/A | 87.09% | 91.8% | 92.06% |
| [46] (2023) | - 139 Holter recordings | (SVM) | ||||
| Moses et al. [27] | - HRV for Heart Failure Prediction | - Support Vector Machines | 74% | 74% | 74% | 73% |
| (2024) | - 99 records | (SVM) | ||||
| Our AF Model | - HRV for | - Deep Learning | 71% | 83% | 77% | 77% |
| Atrial | with Synthetic | |||||
| (2024) | Fibrillation | Data | ||||
| Our CE Model | - HRV for Cardiovascular Events | - Transfer Learning with | 83% | 80% | 82% | 82% |
| (2024) | - 139 Holter records | Synthetic Data |
6. Conclusions
- Usage of a small fraction (5 or 3 min) of ECG data to extract HRV parameters.
- Usage of synthetic data generation to improve performance, even with unbalanced datasets, while safeguarding the privacy of the patients.
- Prediction of CEs is an important aim for the optimal allocation of clinical resources. Estimating event outcomes can help design efficient therapeutic paths.
- The models trained with synthetic data and transfer learning outperformed the same architecture trained with only real data and without transfer learning.
- TL is efficient in predicting CEs with a model trained for atrial fibrillation. Merging pathologies with similar features could help improve the efficacy of the prediction model.
Author Contributions
Funding
Institutional Review Board Statement
Informed Consent Statement
Data Availability Statement
Conflicts of Interest
Appendix A
| Predicted Class | Actual Class | |
|---|---|---|
| Without AF | Diagnosed with AF | |
| Without AF | 10 | 2 |
| Diagnosed with AF | 4 | 10 |
| Predicted Class | Actual Class | |
|---|---|---|
| Without CE | Diagnosed with CE | |
| Without CE | 5 | 1 |
| Diagnosed with CE | 1 | 4 |


| Feature Number | Feature Name | Synthetic (1000) | Real (58) | p-Value |
|---|---|---|---|---|
| Median [IQR] | Median [IQR] | |||
| 1 | PNS index | −0.63 [−1.46, 0.23] | −0.57 [−1.23, 0.14] | 0.738 |
| 2 | SNS index | 2.13 [0.16, 4.19] | 1.55 [0.39, 2.97] | 0.170 |
| 3 | Stress index | 20.89 [14.12, 28.23] | 17.74 [13.87, 23.55] | 0.234 |
| 4 | Mean RR (ms) | 900.77 [780.75, 1019.23] | 905.19 [793.98, 1030.33] | 0.727 |
| 5 | SDNN (ms) | 22.11 [11.72, 32.16] | 20.70 [13.14, 26.75] | 0.531 |
| 6 | Mean HR (beats/min) | 70.34 [59.07, 81.94] | 66.28 [58.23, 75.57] | 0.207 |
| 7 | SD HR (beats/min) | 1.73 [0.98, 2.48] | 1.41 [0.99, 2.12] | 0.352 |
| 8 | Min HR (beats/min) | 65.19 [55.19, 76.52] | 62.07 [54.87, 70.26] | 0.231 |
| 9 | Max HR (beats/min) | 75.54 [63.29, 88.03] | 71.99 [62.53, 81.32] | 0.238 |
| 10 | RMSSD (ms) | 21.85 [7.71, 37.11] | 17.38 [11.44, 30.23] | 0.459 |
| 11 | NNxx (beats) | 10.00 [0.00, 24.00] | 1.50 [0.00, 13.25] | 0.009 |
| 12 | pNNxx (%) | 5.62 [0.00, 13.14] | 0.92 [0.00, 7.75] | 0.007 |
| 13 | RR tri index | 5.60 [3.77, 7.46] | 5.62 [3.60, 7.27] | 0.848 |
| 14 | TINN (ms) | 107.00 [57.00, 152.00] | 101.00 [60.00, 127.00] | 0.554 |
| 15 | DC (ms) | 13.67 [6.96, 19.91] | 11.06 [7.72, 19.21] | 0.594 |
| 16 | DCmod (ms) | 22.82 [8.93, 37.95] | 17.62 [11.91, 33.10] | 0.518 |
| 17 | AC (ms) | −12.97 [−18.20, −6.88] | −11.32 [−17.30, −7.06] | 0.762 |
| 18 | ACmod (ms) | −22.25 [−36.13, −9.66] | −18.30 [−29.50, −12.65] | 0.534 |
| 19 | VLF (Hz) | 0.04 [0.03, 0.04] | 0.04 [0.03, 0.04] | 0.235 |
| 20 | LF (Hz) | 0.06 [0.05, 0.08] | 0.05 [0.04, 0.07] | 0.291 |
| 21 | HF (Hz) | 0.26 [0.21, 0.31] | 0.27 [0.20, 0.32] | 0.995 |
| 22 | VLF (ms2) | 54.03 [2.92, 112.87] | 26.56 [12.01, 69.15] | 0.218 |
| 23 | LF (ms2) | 319.61 [8.79, 641.64] | 164.21 [43.76, 399.63] | 0.246 |
| 24 | HF (ms2) | 256.24 [0.97, 1025.54] | 85.15 [42.10, 203.47] | 0.343 |
| 25 | VLF (log) | 3.28 [2.53, 4.12] | 3.28 [2.49, 4.24] | 0.983 |
| 26 | LF (log) | 4.99 [4.03, 5.86] | 5.10 [3.78, 5.99] | 0.853 |
| 27 | HF (log) | 4.45 [3.40, 5.37] | 4.44 [3.74, 5.32] | 0.704 |
| 28 | VLF (%) | 12.41 [6.57, 18.24] | 9.40 [5.47, 16.93] | 0.331 |
| 29 | LF (%) | 52.28 [40.11, 64.88] | 52.74 [34.52, 67.47] | 0.693 |
| 30 | HF (%) | 34.64 [21.58, 49.04] | 32.39 [18.05, 56.61] | 0.994 |
| 31 | LF (n.u.) | 61.15 [46.63, 74.91] | 62.71 [38.68, 78.18] | 0.887 |
| 32 | HF (n.u.) | 38.93 [25.06, 53.25] | 37.24 [21.81, 61.30] | 0.881 |
| 33 | Total power (ms2) | 636.92 [16.26, 1729.63] | 333.62 [150.94, 659.64] | 0.371 |
| 34 | LF/HF ratio | 2.92 [0.89, 4.86] | 1.69 [0.63, 3.58] | 0.072 |
| 35 | RESP (Hz) | 0.31 [0.27, 0.34] | 0.30 [0.28, 0.33] | 0.922 |
| 36 | SD1 (ms) | 15.49 [5.47, 26.31] | 12.32 [8.11, 21.45] | 0.459 |
| 37 | SD2 (ms) | 26.73 [15.18, 36.61] | 25.10 [15.17, 32.29] | 0.593 |
| 38 | SD2/SD1 ratio | 1.93 [1.43, 2.46] | 1.73 [1.35, 2.27] | 0.197 |
| 39 | Approximate entropy | 0.92 [0.84, 0.99] | 0.91 [0.84, 0.99] | 0.495 |
| 40 | Sample entropy | 1.74 [1.52, 1.97] | 1.74 [1.54, 1.92] | 0.918 |
| 41 | alpha 1 | 1.04 [0.85, 1.23] | 1.01 [0.77, 1.22] | 0.668 |
| 42 | alpha 2 | 0.45 [0.30, 0.60] | 0.41 [0.30, 0.59] | 0.476 |
| 43 | Correlation dimension | 0.63 [0.00, 1.39] | 0.20 [0.01, 0.85] | 0.065 |
| 44 | Mean line length | 9.40 [7.44, 11.37] | 8.46 [7.36, 10.01] | 0.145 |
| 45 | Max line length (beats) | 87.00 [38.00, 131.00] | 58.50 [42.00, 92.50] | 0.055 |
| 46 | Recurrence rate (%) | 27.34 [20.94, 33.45] | 24.96 [20.31, 30.58] | 0.164 |
| 47 | Determinism (DET) (%) | 96.69 [95.40, 97.91] | 96.80 [95.38, 97.94] | 0.857 |
| 48 | Shannon entropy | 2.90 [2.69, 3.12] | 2.84 [2.70, 3.03] | 0.388 |
| 49 | MSE(1) | 1.74 [1.52, 1.97] | 1.74 [1.54, 1.92] | 0.917 |
| 50 | MSE(2) | 1.68 [1.45, 1.91] | 1.63 [1.43, 1.86] | 0.593 |
| 51 | VLF (Hz) AR spectrum | 0.04 [0.03, 0.04] | 0.04 [0.04, 0.04] | <0.001 |
| 52 | LF (Hz) AR spectrum | 0.08 [0.06, 0.10] | 0.07 [0.06, 0.08] | 0.435 |
| 53 | HF (Hz) AR spectrum | 0.25 [0.20, 0.30] | 0.26 [0.15, 0.31] | 0.920 |
| 54 | VLF (ms2) AR spect. | 70.02 [8.91, 128.74] | 52.90 [19.33, 98.78] | 0.537 |
| 55 | LF (ms2) AR spectrum | 287.63 [50.10, 515.18] | 212.48 [62.39, 388.24] | 0.248 |
| 56 | HF (ms2) AR spectrum | 222.73 [0.76, 692.79] | 94.33 [37.32, 224.52] | 0.327 |
| 57 | VLF (log) AR spectrum | 3.69 [2.89, 4.50] | 3.96 [2.96, 4.59] | 0.697 |
| 58 | LF (log) AR spectrum | 5.04 [4.09, 5.87] | 5.36 [4.13, 5.96] | 0.750 |
| 59 | HF (log) AR spectrum | 4.49 [3.46, 5.45] | 4.55 [3.62, 5.41] | 0.634 |
| 60 | VLF (%) AR spectrum | 14.86 [10.05, 19.48] | 12.49 [8.96, 20.15] | 0.495 |
| 61 | LF (%) AR spectrum | 50.73 [40.52, 61.63] | 53.53 [35.22, 61.21] | 0.839 |
| 62 | HF (%) AR spectrum | 34.06 [22.11, 47.25] | 29.93 [20.11, 50.98] | 0.994 |
| 63 | LF (n.u.) AR spectrum | 60.35 [47.52, 73.18] | 64.12 [42.67, 75.74] | 0.890 |
| 64 | HF (n.u.) AR spectrum | 39.62 [26.69, 52.35] | 35.82 [24.25, 57.28] | 0.890 |
| Feature Number | Feature Name | Synthetic (100) | Real (23) | p-Value |
|---|---|---|---|---|
| Median [IQR] | Median [IQR] | |||
| 1 | PNS index | 0.06 [−0.96, 1.17] | 0.34 [−0.78, 1.03] | 0.810 |
| 2 | SNS index | 1.24 [0.07, 2.92] | 0.20 [−0.28, 2.53] | 0.235 |
| 3 | Stress index | 18.14 [11.79, 26.05] | 14.80 [10.23, 23.06] | 0.198 |
| 4 | Mean RR (ms) | 903.23 [800.83, 975.13] | 942.76 [790.94, 1028.20] | 0.381 |
| 5 | SDNN (ms) | 27.70 [13.29, 46.17] | 30.90 [13.73, 47.81] | 0.840 |
| 6 | Mean HR (beats/min) | 67.94 [62.97, 77.89] | 63.64 [58.39, 75.88] | 0.233 |
| 7 | SD HR (beats/min) | 2.11 [1.24, 3.26] | 2.02 [1.29, 3.00] | 0.948 |
| 8 | Min HR (beats/min) | 64.44 [58.09, 71.49] | 61.34 [54.02, 72.67] | 0.308 |
| 9 | Max HR (beats/min) | 73.84 [66.51, 83.09] | 69.82 [64.56, 81.36] | 0.290 |
| 10 | RMSSD (ms) | 40.39 [22.13, 70.09] | 31.31 [18.62, 73.47] | 0.935 |
| 11 | NNxx (beats) | 53.87 [0.00, 131.65] | 13.00 [3.00, 141.50] | 0.685 |
| 12 | pNNxx (%) | 22.36 [2.46, 38.18] | 12.00 [1.06, 49.60] | 0.827 |
| 13 | RR tri index | 6.87 [3.15, 9.59] | 5.58 [4.02, 9.41] | 0.851 |
| 14 | TINN (ms) | 49.50 [24.75, 74.25] | 115.00 [71.50, 189.00] | <0.001 |
| 15 | DC (ms) | 16.76 [5.82, 26.78] | 12.15 [6.16, 25.69] | 0.933 |
| 16 | DCmod (ms) | 45.48 [20.10, 70.00] | 31.52 [19.01, 75.73] | 0.933 |
| 17 | AC (ms) | −16.02 [−25.90, −6.40] | −13.91 [−25.98, −6.56] | 0.992 |
| 18 | ACmod (ms) | −43.01 [−70.02, −18.92] | −30.71 [−72.49, −18.87] | 0.984 |
| 19 | VLF (Hz) | 0.04 [0.03, 0.04] | 0.04 [0.03, 0.04] | 0.681 |
| 20 | LF (Hz) | 0.07 [0.04, 0.08] | 0.06 [0.05, 0.07] | 0.932 |
| 21 | HF (Hz) | 0.29 [0.25, 0.32] | 0.29 [0.24, 0.33] | 0.695 |
| 22 | VLF (ms2) | 42.31 [0.77, 98.63] | 21.34 [11.92, 45.23] | 0.462 |
| 23 | LF (ms2) | 161.15 [2.01, 492.59] | 103.57 [53.49, 205.44] | 0.976 |
| 24 | HF (ms2) | 675.83 [10.66, 1621.47] | 141.55 [51.96, 1096.91] | 0.680 |
| 25 | VLF (log) | 3.04 [2.32, 3.74] | 3.06 [2.48, 3.81] | 0.815 |
| 26 | LF (log) | 4.47 [3.64, 5.63] | 4.64 [3.98, 5.32] | 0.433 |
| 27 | HF (log) | 5.12 [4.12, 6.63] | 4.95 [3.95, 6.99] | 0.570 |
| 28 | VLF (%) | 9.11 [3.51, 14.69] | 6.80 [1.88, 13.70] | 0.481 |
| 29 | LF (%) | 37.17 [19.07, 49.42] | 32.42 [16.26, 47.79] | 0.575 |
| 30 | HF (%) | 55.59 [36.92, 74.30] | 55.41 [38.24, 79.80] | 0.604 |
| 31 | LF (n.u.) | 40.49 [19.63, 59.00] | 36.82 [16.93, 55.82] | 0.626 |
| 32 | HF (n.u.) | 58.94 [40.95, 79.56] | 62.93 [44.06, 81.93] | 0.601 |
| 33 | Total power (ms2) | 819.21 [13.72, 2243.34] | 399.90 [160.46, 1495.71] | 0.804 |
| 34 | LF/HF ratio | 1.15 [0.06, 2.55] | 0.59 [0.21, 1.27] | 0.329 |
| 35 | RESP (Hz) | 0.34 [0.29, 0.38] | 0.30 [0.25, 0.38] | 0.287 |
| 36 | SD1 (ms) | 28.66 [15.82, 49.66] | 22.16 [13.19, 52.02] | 0.946 |
| 37 | SD2 (ms) | 26.37 [14.00, 41.11] | 31.84 [14.87, 39.66] | 0.719 |
| 38 | SD2/SD1 ratio | 1.11 [0.73, 1.52] | 0.91 [0.72, 1.40] | 0.512 |
| 39 | Approximate entropy | 1.06 [0.96, 1.20] | 1.08 [1.03, 1.14] | 0.726 |
| 40 | Sample entropy | 1.66 [1.43, 1.89] | 1.61 [1.40, 1.90] | 0.910 |
| 41 | alpha 1 | 0.62 [0.39, 0.91] | 0.59 [0.37, 0.87] | 0.743 |
| 42 | alpha 2 | 0.37 [0.26, 0.48] | 0.33 [0.24, 0.45] | 0.394 |
| 43 | Correlation dimension | 1.41 [0.55, 2.87] | 0.66 [0.01, 3.36] | 0.943 |
| 44 | Mean line length | 7.19 [5.25, 8.52] | 6.71 [5.29, 7.67] | 0.630 |
| 45 | Max line length (beats) | 58.73 [29.13, 83.13] | 41.00 [30.50, 60.40] | 0.379 |
| 46 | Recurrence rate (%) | 18.55 [13.15, 23.24] | 15.85 [13.01, 20.57] | 0.630 |
| 47 | Determinism (DET) (%) | 93.81 [92.43, 95.40] | 93.87 [92.47, 95.85] | 0.841 |
| 48 | Shannon entropy | 2.59 [2.34, 2.82] | 2.61 [2.32, 2.74] | 0.775 |
| 49 | MSE(1) | 1.66 [1.43, 1.89] | 1.61 [1.40, 1.90] | 0.910 |
| 50 | MSE(2) | 1.61 [1.36, 1.88] | 1.63 [1.46, 1.76] | 0.982 |
| 51 | VLF (Hz) AR spectrum | 0.02 [0.01, 0.04] | 0.04 [0.00, 0.04] | 0.331 |
| 52 | LF (Hz) AR spectrum | 0.08 [0.04, 0.10] | 0.06 [0.04, 0.10] | 0.475 |
| 53 | HF (Hz) AR spectrum | 0.28 [0.24, 0.34] | 0.29 [0.21, 0.36] | 0.676 |
| 54 | VLF (ms2) AR spect. | 46.75 [3.91, 91.92] | 31.48 [20.02, 72.95] | 0.825 |
| 55 | LF (ms2) AR spectrum | 156.85 [1.47, 436.10] | 101.50 [46.95, 230.65] | 0.990 |
| 56 | HF (ms2) AR spectrum | 607.06 [8.90, 1594.85] | 122.87 [53.45, 1005.80] | 0.728 |
| 57 | VLF (log) AR spectrum | 3.52 [2.66, 4.23] | 3.45 [2.99, 4.28] | 0.604 |
| 58 | LF (log) AR spectrum | 4.42 [3.40, 5.63] | 4.62 [3.85, 5.44] | 0.436 |
| 59 | HF (log) AR spectrum | 5.04 [4.01, 6.36] | 4.81 [3.97, 6.91] | 0.468 |
| 60 | VLF (%) AR spectrum | 11.64 [6.68, 18.66] | 9.03 [4.15, 16.48] | 0.463 |
| 61 | LF (%) AR spectrum | 32.35 [17.56, 47.24] | 27.74 [13.41, 47.65] | 0.518 |
| 62 | HF (%) AR spectrum | 53.88 [33.83, 73.24] | 62.74 [31.26, 83.11] | 0.606 |
| 63 | LF (n.u.) AR spectrum | 38.96 [22.33, 58.89] | 31.09 [13.93, 60.25] | 0.588 |
| 64 | HF (n.u.) AR spectrum | 60.95 [41.13, 77.17] | 68.66 [39.62, 85.66] | 0.575 |
References
- Kannel, W.B.; Wolf, P.A.; Benjamin, E.J.; Levy, D. Prevalence, incidence, prognosis, and predisposing conditions for atrial fibrillation: Population-based estimates. Am. J. Cardiol. 1998, 82, 2N–9N. [Google Scholar] [CrossRef]
- Vizzardi, E.; Curnis, A.; Latini, M.G.; Salghetti, F.; Rocco, E.; Lupi, L.; Rovetta, R.; Quinzani, F.; Bonadei, I.; Bontempi, L.; et al. Risk factors for atrial fibrillation recurrence: A literature review. J. Cardiovasc. Med. 2014, 15, 235–253. [Google Scholar] [CrossRef] [PubMed]
- Lloyd-Jones, D.M.; Wang, T.J.; Leip, E.P.; Larson, M.G.; Levy, D.; Vasan, R.S.; D’Agostino, R.B.; Massaro, J.M.; Beiser, A.; Wolf, P.A.; et al. Lifetime risk for development of atrial fibrillation: The Framingham Heart Study. Circulation 2004, 110, 1042–1046. [Google Scholar] [CrossRef] [PubMed]
- Britton, M.; Gustafsson, C. Non-rheumatic atrial fibrillation as a risk factor for stroke. Stroke 1985, 16, 182–188. [Google Scholar] [CrossRef]
- Wolf, P.A.; Dawber, T.R.; Thomas, H.E.; Kannel, W.B. Epidemiologic assessment of chronic atrial fibrillation and risk of stroke: The fiamingham Study. Neurology 1978, 28, 973. [Google Scholar] [CrossRef]
- Stewart, S.; Hart, C.L.; Hole, D.J.; McMurray, J.J. A population-based study of the long-term risks associated with atrial fibrillation: 20-year follow-up of the Renfrew/Paisley study. Am. J. Med. 2002, 113, 359–364. [Google Scholar] [CrossRef]
- Gopinathannair, R.; Etheridge, S.P.; Marchlinski, F.E.; Spinale, F.G.; Lakkireddy, D.; Olshansky, B. Arrhythmia-induced cardiomyopathies: Mechanisms, recognition, and management. J. Am. Coll. Cardiol. 2015, 66, 1714–1728. [Google Scholar] [CrossRef] [PubMed]
- January, C.T.; Wann, L.S.; Calkins, H.; Chen, L.Y.; Cigarroa, J.E.; Cleveland, J.C.; Ellinor, P.T.; Ezekowitz, M.D.; Field, M.E.; Furie, K.L.; et al. 2019 AHA/ACC/HRS focused update of the 2014 AHA/ACC/HRS guideline for the management of patients with atrial fibrillation: A report of the American College of Cardiology/American Heart Association Task Force on Clinical Practice Guidelines and the Heart Rhythm Society. J. Am. Coll. Cardiol. 2019, 74, 104–132. [Google Scholar] [PubMed]
- Jeong, J.H. Prevalence of and risk factors for atrial fibrillation in Korean adults older than 40 years. J. Korean Med. Sci. 2005, 20, 26. [Google Scholar] [CrossRef] [PubMed][Green Version]
- Velleca, M.; Costa, G.; Goldstein, L.; Bishara, M.; Ming, L. A review of the burden of atrial fibrillation: Understanding the impact of the new millennium epidemic across Europe. Cardiology 2019, 7, 110–118. [Google Scholar] [CrossRef]
- Kazi, D.S.; Elkind, M.S.; Deutsch, A.; Dowd, W.N.; Heidenreich, P.; Khavjou, O.; Mark, D.; Mussolino, M.E.; Ovbiagele, B.; Patel, S.S.; et al. Forecasting the Economic Burden of Cardiovascular Disease and Stroke in the United States Through 2050: A Presidential Advisory from the American Heart Association. Circulation 2024, 150, 4. [Google Scholar] [CrossRef]
- Luengo-Fernandez, R.; Walli-Attaei, M.; Gray, A.; Torbica, A.; Maggioni, A.P.; Huculeci, R.; Bairami, F.; Aboyans, V.; Timmis, A.D.; Vardas, P.; et al. Economic burden of cardiovascular diseases in the European Union: A population-based cost study. Eur. Heart J. 2023, 44, 4752–4767. [Google Scholar] [CrossRef]
- Malik, M.; Camm, A.J. Heart rate variability. Clin. Cardiol. 1990, 13, 570–576. [Google Scholar] [CrossRef] [PubMed]
- Cygankiewicz, I.; Zareba, W. Heart rate variability. Handb. Clin. Neurol. 2013, 117, 379–393. [Google Scholar] [PubMed]
- Faust, O.; Hong, W.; Loh, H.W.; Xu, S.; Tan, R.S.; Chakraborty, S.; Barua, P.D.; Molinari, F.; Acharya, U.R. Heart rate variability for medical decision support systems: A review. Comput. Biol. Med. 2022, 145, 105407. [Google Scholar] [CrossRef] [PubMed]
- Murdoch, B. Privacy and artificial intelligence: Challenges for protecting health information in a new era. BMC Med. Ethics 2021, 22, 1–5. [Google Scholar] [CrossRef] [PubMed]
- Gonzales, A.; Guruswamy, G.; Smith, S.R. Synthetic data in health care: A narrative review. PLoS Digit. Health 2023, 2, e0000082. [Google Scholar] [CrossRef]
- Giuffrè, M.; Shung, D.L. Harnessing the power of synthetic data in healthcare: Innovation, application, and privacy. NPJ Digit. Med. 2023, 6, 186. [Google Scholar] [CrossRef] [PubMed]
- Weimann, K.; Conrad, T.O.F. Transfer learning for ECG classification. Sci. Rep. 2021, 11, 5251. [Google Scholar] [CrossRef] [PubMed]
- Melillo, P.; Izzo, R.; Orrico, A.; Scala, P.; Attanasio, M.; Mirra, M.; De Luca, N.; Pecchia, L. Automatic prediction of cardiovascular and cerebrovascular events using heart rate variability analysis. PLoS ONE 2015, 10, e0118504. [Google Scholar] [CrossRef]
- Alkhodari, M.; Islayem, D.K.; Alskafi, F.A.; Khandoker, A.H. Predicting Hypertensive Patients with Higher Risk of Developing Vascular Events Using Heart Rate Variability and Machine Learning. IEEE Access 2020, 8, 192727–192739. [Google Scholar] [CrossRef]
- Deka, D.; Deka, B. Stratification of High-Risk Hypertensive Patients Using Hybrid Heart Rate Variability Features and Boosting Algorithms. IEEE Access 2021, 9, 62665–62675. [Google Scholar] [CrossRef]
- Rajput, J.S.; Sharma, M.; Tan, R.S.; Acharya, U.R. Automated detection of severity of hypertension ECG signals using an optimal bi-orthogonal wavelet filter bank. Comput. Biol. Med. 2020, 123, 103924. [Google Scholar] [CrossRef] [PubMed]
- Jin, B.T.; Palleti, R.; Shi, S.; Ng, A.Y.; Quinn, J.V.; Rajpurkar, P.; Kim, D. Transfer learning enables prediction of myocardial injury from continuous single-lead electrocardiography. J. Am. Med. Informatics Assoc. 2022, 29, 1908–1918. [Google Scholar] [CrossRef] [PubMed]
- Alghamdi, A.; Hammad, M.; Ugail, H.; Abdel-Raheem, A.; Muhammad, K.; Khalifa, H.S.; El-Latif, A.A.A. Detection of myocardial infarction based on novel deep transfer learning methods for urban healthcare in smart cities. Multimed. Tools Appl. 2020, 83, 14913–14934. [Google Scholar] [CrossRef]
- Kusuma, S.; Jothi, K.R. ECG signals-based automated diagnosis of congestive heart failure using Deep CNN and LSTM architecture. Biocybern. Biomed. Eng. 2022, 42, 247–257. [Google Scholar] [CrossRef]
- Moses, J.C.; Adibi, S.; Angelova, M.; Islam, S.M.S. Time-domain heart rate variability features for automatic congestive heart failure prediction. ESC Heart Fail. 2024, 11, 378–389. [Google Scholar] [CrossRef]
- Chen, J.; Chen, Y.; Li, J.; Wang, J.; Lin, Z.; Nandi, A.K. Stroke Risk Prediction with Hybrid Deep Transfer Learning Framework. IEEE J. Biomed. Health Inform. 2022, 26, 411–422. [Google Scholar] [CrossRef] [PubMed]
- Rumsfeld, J.S.; Joynt, K.E.; Maddox, T.M. Big data analytics to improve cardiovascular care: Promise and challenges. Nat. Rev. Cardiol. 2016, 13, 350–359. [Google Scholar] [CrossRef] [PubMed]
- Gillette, K.; Gsell, M.A.; Nagel, C.; Bender, J.; Winkler, B.; Williams, S.E.; Bär, M.; Schäffter, T.; Dössel, O.; Plank, G.; et al. MedalCare-XL: 16,900 healthy and pathological synthetic 12 lead ECGs from electrophysiological simulations. Sci. Data 2023, 10, 531. [Google Scholar] [CrossRef] [PubMed]
- Goretti, F.; Marzullo, A.; Milli, M.; Iadanza, E. Prediction of Atrial Fibrillation using Deep Learning techniques. In Convegno Nazionale di Bioingegneria; Patron Editore Srl: Bologna, Italy, 2023; pp. 1–4. [Google Scholar]
- Melillo, P.; Izzo, R.; Orrico, A.; Scala, P.; Attanasio, M.; Mirra, M.; De Luca, N.; Pecchia, L. Smart Health for Assessing the Risk of Events via ECG Database. 2015. Available online: https://physionet.org/content/shareedb/1.0.0/ (accessed on 15 June 2021).
- Goldberger, A.; Amaral, L.; Glass, L.; Hausdorff, J.; Ivanov, P.; Mark, R.; Mietus, J.; Moody, G.; Peng, C.; Stanley, H. PhysioBank, PhysioToolkit, and PhysioNet: Components of a new research resource for complex physiologic signals. Circulation 2000, 101, E215–E220. [Google Scholar] [CrossRef]
- Kubios, O. HRV Analysis Methods. 2016. Available online: https://www.kubios.com/blog/about-heart-rate-variability/ (accessed on 15 June 2021).
- Shaffer, F.; Meehan, Z.M.; Zerr, C.L. A critical review of ultra-short-term heart rate variability norms research. Front. Neurosci. 2020, 14, 594880. [Google Scholar] [CrossRef] [PubMed]
- Orini, M.; van Duijvenboden, S.; Young, W.J.; Ramírez, J.; Jones, A.R.; Hughes, A.D.; Tinker, A.; Munroe, P.B.; Lambiase, P.D. Long-term association of ultra-short heart rate variability with cardiovascular events. Sci. Rep. 2023, 13, 18966. [Google Scholar] [CrossRef] [PubMed]
- Buggineni, V.; Chen, C.; Camelio, J. Enhancing Manufacturing Operations with Synthetic Data: A Systematic Framework for Data Generation, Accuracy, and Utility. 2023. Available online: https://www.researchgate.net/publication/377698850_Enhancing_Manufacturing_Operations_with_Synthetic_Data_A_Systematic_Framework_for_Data_Generation_Accuracy_and_Utility (accessed on 17 December 2024).
- Ravens, B. An Introduction to Copulas; Taylor & Francis: London, UK, 2000. [Google Scholar]
- Goodfellow, I.; Bengio, Y.; Courville, A. Deep Learning; MIT Press: Cambridge, MA, USA, 2016. [Google Scholar]
- Pan, S.J.; Yang, Q. A survey on transfer learning. IEEE Trans. Knowl. Data Eng. 2009, 22, 1345–1359. [Google Scholar] [CrossRef]
- Kingma, D.; Ba, J. Adam: A Method for Stochastic Optimization. In Proceedings of the International Conference on Learning Representations (ICLR), San Diega, CA, USA, 7–9 May 2015. [Google Scholar]
- Synthetic Data Vault. Data Quality. 2023. Available online: https://docs.sdv.dev/sdv/single-table-data/evaluation/data-quality (accessed on 9 February 2024).
- Mann, H.B.; Whitney, D.R. On a Test of Whether one of Two Random Variables is Stochastically Larger than the Other. Ann. Math. Stat. 1947, 18, 50–60. [Google Scholar] [CrossRef]
- Chapelle, R.; Falissard, B. Statistical properties and privacy guarantees of an original distance-based fully synthetic data generation method. arXiv 2023, arXiv:2310.06571. [Google Scholar]
- Murtaza, H.; Ahmed, M.; Khan, N.F.; Murtaza, G.; Zafar, S.; Bano, A. Synthetic data generation: State of the art in health care domain. Comput. Sci. Rev. 2023, 48, 100546. [Google Scholar] [CrossRef]
- Moshawrab, M.; Adda, M.; Bouzouane, A.; Ibrahim, H.; Raad, A. Predicting Cardiovascular Events with Machine Learning Models and Heart Rate Variability. Int. J. Ubiquitous Syst. Pervasive Netw. 2023, 18, 49–59. [Google Scholar]
- Zhang, Z.; Qiu, Y.; Yang, X.; Zhang, M. Enhanced character-level deep convolutional neural networks for cardiovascular disease prediction. BMC Med. Informatics Decis. Mak. 2020, 20, 123. [Google Scholar] [CrossRef]


| Model: “Keras Sequential” | |
|---|---|
| Layer (type) | Output Shape |
| Input layer (Dense) | (, 64) |
| Activation (Activation) | (, 64) |
| Hidden layer 1 (Dense) | (, 64) |
| Activation (Activation) | (, 64) |
| Dropout 1 (Dropout) | (, 64) |
| Hidden layer 2 (Dense) | (, 64) |
| Activation (Activation) | (, 64) |
| Dropout 2 (Dropout) | (, 64) |
| Output layer (Dense) | (, 1) |
| Trainable params: 12,545 | |
| Non-trainable params: 0 | |
| Model: “Keras Sequential” | |
|---|---|
| Layer (type) | Output Shape |
| Input layer (Dense) | (, 64) |
| Activation (Activation) | (, 64) |
| Hidden layer 1 (Dense) | (, 32) |
| Activation (Activation) | (, 32) |
| Dropout 1 (Dropout) | (, 32) |
| Output layer (Dense) | (, 1) |
| Trainable params: 2113 | |
| Non-trainable params: 4160 | |
| Property | Atrial Fibrillation (AF) | Cardiovascular Events (CE) |
|---|---|---|
| Column shapes | % | % |
| Column pair trends | % | % |
| Overall score | % | % |
| Feature Number | Feature Name | Synthetic (1000) | Real (58) | p-Value |
|---|---|---|---|---|
| Median [IQR] | Median [IQR] | |||
| 11 | NNxx (beats) | 10.00 [0.00, 24.00] | 1.50 [0.00, 13.25] | 0.009 |
| 12 | pNNxx (%) | 5.62 [0.00, 13.14] | 0.92 [0.00, 7.75] | 0.007 |
| 51 | VLF (Hz) AR spectrum | 0.04 [0.03, 0.04] | 0.04 [0.04, 0.04] | <0.001 |
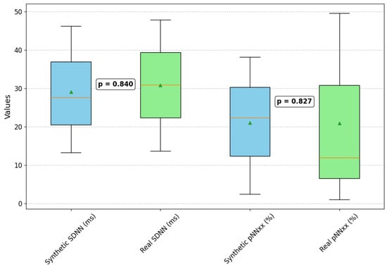
| Feature Number | Feature Name | Synthetic (100) Median [IQR] | Real (23) Median [IQR] | p-Value |
|---|---|---|---|---|
| 14 | TINN (ms) | 49.50 [24.75, 74.25] | 115.00 [71.50, 189.00] | <0.001 |
| Trained on | Classes | Precision | Recall | F1-Score | Specificity | AUROC |
|---|---|---|---|---|---|---|
| (1) Synthetic + Real data | (Without AF) | |||||
| (Diagnosed with AF) | ||||||
| (2) Real data | (Without AF) | |||||
| (Diagnosed with AF) |
| Trained on | Classes | Precision | Recall | F1-Score | Specificity | AUROC |
|---|---|---|---|---|---|---|
| (1) Synthetic + Real data | (Without CE) | |||||
| (Diagnosed with CE) | ||||||
| (2) Real data | (Without CE) | |||||
| (Diagnosed with CE) | ||||||
| (3) No Transfer Learning | (Without CE) | |||||
| (Diagnosed with CE) |
Disclaimer/Publisher’s Note: The statements, opinions and data contained in all publications are solely those of the individual author(s) and contributor(s) and not of MDPI and/or the editor(s). MDPI and/or the editor(s) disclaim responsibility for any injury to people or property resulting from any ideas, methods, instructions or products referred to in the content. |
© 2025 by the authors. Licensee MDPI, Basel, Switzerland. This article is an open access article distributed under the terms and conditions of the Creative Commons Attribution (CC BY) license (https://creativecommons.org/licenses/by/4.0/).
Share and Cite
Goretti, F.; Salman, A.; Cartocci, A.; Luschi, A.; Pecchia, L.; Milli, M.; Iadanza, E. Deep Learning for Risky Cardiovascular and Cerebrovascular Event Prediction in Hypertensive Patients. Appl. Sci. 2025, 15, 1178. https://doi.org/10.3390/app15031178
Goretti F, Salman A, Cartocci A, Luschi A, Pecchia L, Milli M, Iadanza E. Deep Learning for Risky Cardiovascular and Cerebrovascular Event Prediction in Hypertensive Patients. Applied Sciences. 2025; 15(3):1178. https://doi.org/10.3390/app15031178
Chicago/Turabian StyleGoretti, Francesco, Ali Salman, Alessandra Cartocci, Alessio Luschi, Leandro Pecchia, Massimo Milli, and Ernesto Iadanza. 2025. "Deep Learning for Risky Cardiovascular and Cerebrovascular Event Prediction in Hypertensive Patients" Applied Sciences 15, no. 3: 1178. https://doi.org/10.3390/app15031178
APA StyleGoretti, F., Salman, A., Cartocci, A., Luschi, A., Pecchia, L., Milli, M., & Iadanza, E. (2025). Deep Learning for Risky Cardiovascular and Cerebrovascular Event Prediction in Hypertensive Patients. Applied Sciences, 15(3), 1178. https://doi.org/10.3390/app15031178

