Abstract
Based on the reconfigurable revolute (rR) pair, a reconfigurable decoupled parallel mechanism is proposed, which is composed of three serial chains. Traditional serial chain 1 and 2 are of types PRRR and URC, respectively, where P denotes a prismatic pair, R denotes a revolute pair, U denotes a universal pair, and C denotes a cylindric pair. The reconfigurable serial chain 3 can switch between PRRP and RRPP configurations by changing the axis of reconfigurable pair rR, thus enabling the parallel mechanism to switch between two motion modes of 2T1R (where R represents rotation and T represents translation) and 1T2R. By investigating the relationship between the mechanism’s motion output, input, and the Jacobian matrix, it is verified that the parallel mechanism is a completely decoupled mechanism in the 2T1R motion mode and a partially decoupled mechanism in the 1R2T motion mode. Finally, the performance indexes of the mechanism in both motion modes were discussed using screw theory, and the dimensions of the mechanism were optimized in scale, thereby enhancing the motion performance of the parallel mechanism. The results indicate that the decoupling characteristics of the reconfigurable parallel mechanism have significant advantages in both 2T1R and 1T2R motion modes, providing a theoretical basis for the study of reconfigurable and decoupled parallel mechanisms.
1. Introduction
Reconfigurable parallel mechanisms can adapt to different task requirements by changing their structural configurations. [1,2]. Compared to traditional parallel mechanisms, reconfigurable parallel mechanisms have significant advantages in terms of their variable structural characteristics and good adaptability [3]. They can precisely compensate for the shortcomings of traditional parallel mechanisms with a fixed degree of freedom (DOF) and a single operating mode in practical operations, and can meet the practical needs of multiple tasks and complex working conditions [4,5,6]. In recent years, with the development of robot technology and the related needs of complex multi-operating conditions, reconfigurable parallel mechanisms have become one of the hot spots for domestic and foreign robot researchers [7,8,9].
Tian et al. [10] proposed a reconfigurable mobile robot based on a four-bar parallel mechanism, which can adapt to different road conditions by changing its geometric shape and topology to have three motion modes. Li et al. [11] designed a variable topology-reconfigurable mobile parallel robot based on the idea of branching changes in mobile parallel mechanisms. The robot can achieve seven gait motion modes through topology reconstruction, and conduct corresponding experimental analysis on each gait to verify the theoretical rationality. Yao et al. [12] built a novel multi-mode mobile robot based on Schatz linkages, which consists of four Schatz linkages. By basing the design of the motion compensation link on Schatz linkages, the robot can realize three motion modes. The steering and payload experiments of the robot are carried out to verify the rationality of the design. Wu et al. [13] presented a two-degree-of-freedom eight-legged mobile robot with a reconfigurable torso. The walking platform is constructed using an integral closed-chain mechanism, which consists of multiple sets of planar closed-chain leg mechanisms and spatial single closed-chain torso mechanisms, and realizes steering, climbing, and rolling behaviors by using mechanism reconstruction. The feasibility and performance of the mechanism’s movement are verified by experiments. Wang and Kong [14] developed a novel reconfigurable prismatic mobile robot with eight motion modes, which has various characteristics of a mobile robot and can switch between multiple motion modes such as bipedal, rolling, creep, and track movement through deformation, and can move in various complex terrains.
Zhang et al. [15] were inspired by origami folds and proposed a metamorphic kinematic pair. They introduced the metamorphic kinematic pair into a kinematic chain and topologically changed the kinematic chain, resulting in a series of multi-loop metamorphic mechanisms with phase transition and direction switching functions. The foldability of such mechanisms was experimentally verified. Ye et al. [16] analyzed a novel reconfigurable parallel mechanism consisting of three SvPS-series kinematic branches, where the spherical variable-axis (Sv) kinematic pair is a reconfigurable kinematic pair that switches between the U pair and R pair by changing the axis direction. The parallel mechanism can be used as the structure of a reconfigurable robot machining center to adapt to changing task requirements. Wang et al. [17] drew inspiration from fortune tellers’ origami and equivalently transformed individual origami units into spherical 4R mechanisms, and finally designed a motion steering 8R metamorphic mechanism to build a novel reconfigurable mobile robot. Lee and Herve [18] designed a novel discontinuous movable 6R mechanism based on the theory of Lie group and Lie algebra. By changing the orientation of the R-axis to achieve different connection modes, two different kinematic modes were formed. Yan and Kuo [19] conducted a detailed study on the topological representation and characteristics of variable kinematic pairs, proving that the topological features of variable motion joints have properties such as reversibility, continuity, degree of freedom variability, joint homomorphism, contractility, and scalability. Finally, a series of variable topological structures were synthesized. Li et al. [20,21,22] proposed the structural formula and composition method of a planar metamorphic mechanism based on Assur groups, and studied the basic issues of migration rate and synthesis of constrained metamorphic work and migration rate configuration, providing a reference theory for the kinematic research of metamorphic mechanisms. Carbonari et al. [23] designed a class of reconfigurable modular parallel robots based on 3-CPS underactuated topology, which switches between the three-dimensional revolute mode and the three-dimensional translational mode of the parallel mechanism by locking the revolute pair. The advantages of this mechanism when applied to parallel machine tools are very obvious. Jia et al. [24] proposed a new reconfigurable mechanical gripper based on the screw theory. The fingers of the gripper are composed of deformable mechanism modules, which can realize expansion and grasping actions through deformation.
Xu et al. [25] analyzed a 2R1T parallel mechanism with two continuous rotational axes (CRAs) branches through screw theory and spatial geometry theory, obtained the spatial arrangement relationship of the constraint force of the two branches on the moving platform, and obtained a series of 2R1T parallel mechanisms with two CARs. Zeng et al. [26,27] analyzed the degrees of freedom and relationships between the branches of parallel mechanisms based on screw theory, derived the rotation conditions of parallel mechanisms, integrated the decoupling rules of parallel mechanisms, and summarized the type of synthesis method of parallel mechanisms with rotational characteristics. Qu et al. [28,29] proposed a type of synthesis method for decoupling parallel mechanisms based on Lie group and screw theory, and derived a series of new 2T1R parallel mechanisms that are fully decoupled in space and plane. Chang and Zhang [30] developed a 3R ankle rehabilitation parallel mechanism with decoupling characteristics. The inverse kinematics, velocity Jacobian matrix, and singularity of the mechanism were analyzed and compared with the 3-SPS/S ankle rehabilitation mechanism. Glazunov [31] studied the decoupling of parallel mechanisms based on screw theory, replacing translational motion with a planar four-bar parallelogram. The singularity of the mechanism was analyzed using the Plücker coordinates of the parallel mechanism’s kinematic chain, and finally a parallel mechanism with three degrees of freedom, four degrees of freedom, and six degrees of freedom was synthesized.
This article proposes a reconfigurable decoupled parallel mechanism based on the rR reconfigurable kinematic pair, and analyzes the kinematic characteristics and performance index of the parallel mechanism. The advantage of this reconfigurable parallel mechanism is that decoupling can be achieved in both motion modes, and the motion of the parallel mechanism can be achieved through simple control. This provides a certain research idea for the study of decoupled parallel mechanisms and reconfigurable parallel mechanisms. The organizational structure of the article is as follows. In Section 2, the configuration and degrees of freedom of the reconfigurable decoupled parallel mechanism are analyzed. The parallel mechanism has two motion modes, 2R1T and 1R2T, and its mobility is full-cycle. In Section 3, based on the prepositive DH coordinates and the decoupling characteristics of parallel mechanisms, the inverse kinematics, forward kinematics, and operating speed of parallel mechanisms are analyzed. In Section 4, the workspace and motion/force transmission performance indexes of the mechanism under two motion modes are calculated using screw theory, and the workspace and performance indexes under the two motion modes are drawn separately. In Section 5, the main parameters of the parallel mechanism in two motion modes are scale-optimized through parameter nondimensionalization, and the kinematic performance of the mechanism is significantly improved compared to its performance before optimization. The conclusions in Section 6 end the paper.
2. Analysis of Reconfigurable Parallel Mechanism
2.1. Configuration Analysis
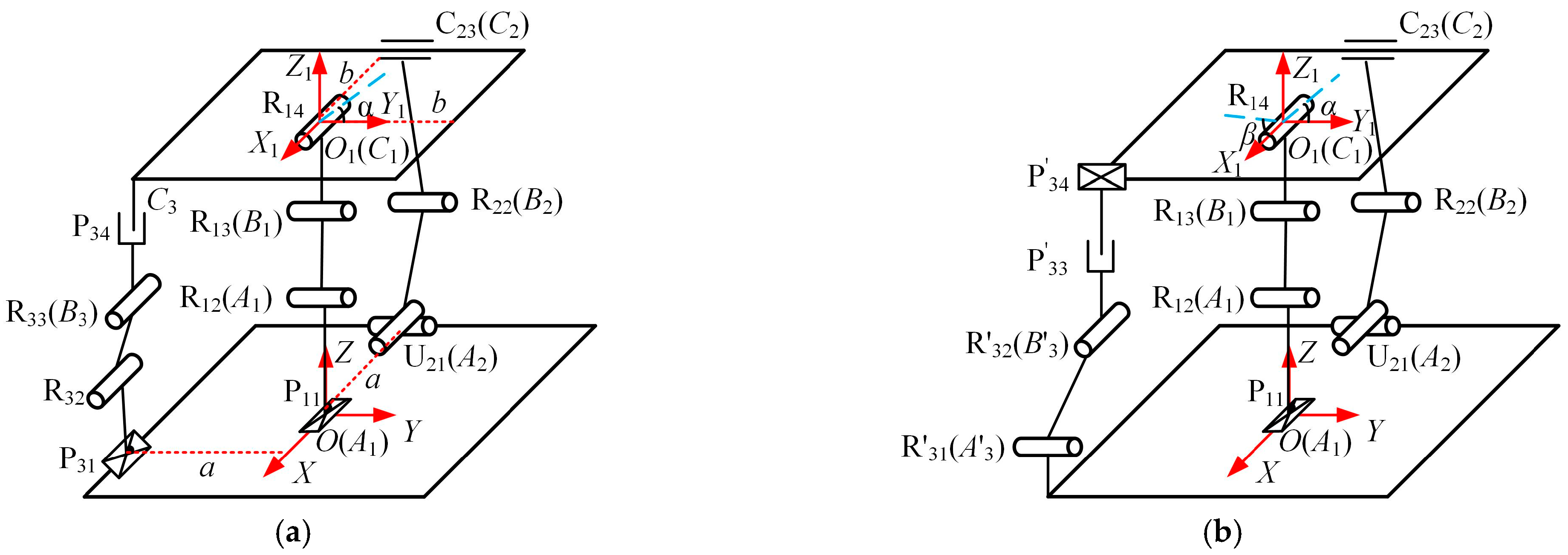
The reconfigurable parallel mechanism consists of a static platform, a moving platform, and three serial chains connecting the moving and static platforms, as shown in Figure 1. The static platform is a square with the area a × a, and the moving platform is a square with the area b × b. For the convenience of expression, the kinematic pairs of the three serial chains are represented by Kkl (k = 1, 2, 3; l = 1, 2, 3, 4, 5), where the subscript k represents the k serial chain and the subscript l represents the l kinematic pair of the k serial chain.
Figure 1.
Reconfigurable parallel mechanism.
Therefore, serial chain 1 can be represented as a P11R12R13R14 serial chain, and the axis of P11 is perpendicular to the axis of the R12 and R13 pairs. Serial chain 2 is a U21R22C23, and the axis of R22 is parallel to the axis of C23. Serial chain 3 is a reconfigurable serial chain P31R32R33P34P35, where the R32 pair is a reconfigurable kinematic pair, specifically named rR pair. The three kinematic pairs of the serial chain are perpendicular in axial direction, and the serial chain can be converted between modes P31R32R33P34 and
by locking the P31 pair and P35 pair, respectively.
The kinematic pair rR is a revolute pair with a variable axis. The method proposed in [32] is adopted to realize the change of the rotation axis by using a worm gear system. The rotation bar is mounted to the worm wheel in which the worm wheel can be rotated by the worm. This motion creates the alteration of the (rR) pair axes which is driven by a motor attached to the worm. Figure 2 shows two modes of reconfigurable motion on rR:
Figure 2.
Two modes of reconfigurable kinematic pair rR: (a) the axis of the kinematic pair rR coincides with the XR-axis and (b) the axis of the kinematic pair rR coincides with the YR-axis.
This paper realizes the locking of the prismatic pair through the function of the brake. When the lead screw needs to be locked, the brake automatically starts and clamps the lead screw so that it stops moving without artificial intervention.
When the mechanism is in 2T1R motion mode and serial chain 3 is in P31R32R33P34 mode, the translational pair P35 is locked. The axis of P31 is parallel to the axis of P11 in serial chain 1, the axis of rR is perpendicular to the axis of R12 in serial chain 1, and the axis of R33 is parallel to the axis of rR. P34 is a passive prismatic pair, and the axis of P34 is perpendicular to the plane of the moving platform.
When the mechanism is in 1T2R motion mode and serial chain 3 is in mode, the translational pair P31 is locked. The axis of rR is parallel to the axis of R12 in serial chain 1, the axis of R33 is perpendicular to the axis of rR, and the axis of P34 is perpendicular to the plane of the moving platform. The P35 is a passive prismatic pair, located in the plane of the moving platform, with its axis perpendicular to the axis of R14 in serial chain 1.
2.2. Analysis of Degrees of Freedom
O and O1 are the geometric centers of the static and moving platforms, respectively. The static coordinate system O-XYZ and the moving coordinate system O1-X1Y1Z1 are established with O and O1 as the origins, respectively, as shown in Figure 3. Figure 3a,b shows two motion modes, 2T1R and 1T2R, respectively. In 2T1R motion mode, the distance between the axis of P31 and the X-axis is a, the distance between the intersection point of the axis of U21 and the Y-axis is a, and the distance between the axis of C23 and the Y1 -axis is b. In 1T2R motion mode, the distance between the axis center of and the X-axis and Y-axis is a, the distance between the intersection point of the axis of and the Y axis is a, and the distance between the moving axis of and the Y1 axis is b. Due to the fact that serial chain 1 and serial chain 2 are conventional serial chains, the motion screw systems of serial chain 1 and serial chain 2 do not undergo any changes in both motion modes, thus allowing for the screw analysis of two serial chains to be conducted first.
Figure 3.
Structural diagram and constraint screw system: (a) 2T1R motion mode and (b) 1T2R motion mode.
The kinematic screw of each kinematic pair on serial chain 1 is
The constraint screw can be obtained as follows:
where XA1, ZA1, XB1, ZB1, XC1, ZC1 are the coordinate parameters of A1, B1, C1 in O-XYZ, and A1, B1, C1 are the axis center points of R12, R13, and R14, respectively.
Serial chain 1 provides a constraint couple parallel to the Z-axis and a constraint force parallel to the Y-axis.
The kinematic screw of each kinematic pair on serial chain 2 is
where XA2, XB2, Z B2, XC2, ZC2 are the coordinate parameters of A2, B2, C2 in O-XYZ, and A2, B2, C2 are the axes center points of U21, R22, C23, respectively.
The constraint screw can be obtained as follows:
The serial chain 2 provides a constraint couple parallel to the Z-axis.
When serial chain 3 is in P31R32R33P34 mode, the kinematic screw of serial chain 3 is
where YB3 and ZB3 are the coordinate parameters of B3, and B3 is the center point of the R33 axis.
The constraint screw can be obtained as follows:
Serial chain 3 provides a constraint couple parallel to the Z-axis and a constraint couple parallel to the Y-axis.
From the analysis presented, it can be concluded that the moving platform of the mechanism is subject to constraint forces parallel to the Y-axis, as well as constraint couples parallel to both the Y-axis and the Z-axis. Each serial chain provides a constraint couple parallel to the Z-axis, which is equivalent to a single independent constraint couple. Therefore, the mechanism has one common constraint, and thus, the order of the mechanism is calculated as d = 6 − 1 = 5.
By using the modified GK formula to calculate the degree of freedom of the mechanism, the following result can be obtained:
where n is the number of components of the mechanism, g is the number of kinematic pairs of the mechanism, fi is the degree of freedom of the kinematic pairs of the mechanism, is the number of parallel redundant constraints, and is the local degree of freedom.
It can be concluded that when serial chain 3 is in P31R32R33P34 mode, the degree of freedom of the mechanism is three, and the moving platform is subjected to one independent constraint force and two independent constraint couples. An independent constraint force parallel to the Y-axis constrains the movement of the moving platform along the Y-axis; two independent constraint couples are parallel to the Y-axis and the Z-axis, respectively, constraining the rotation of the moving platform around the Y-axis and the Z-axis. In the process of motion, the position relationship between one independent constraint force and two independent constraint couples remains unchanged, and the constraint properties of the moving platform do not change. Therefore, when serial chain 3 is in P31R32R33P34mode, the motion mode of the mechanism is 2T1R, and the mobility is full-cycle.
When serial chain 3 is in mode, the kinematic screw of each kinematic pair on serial chain 3 is
where are the coordinate parameters of , and are the center points of the axes of , respectively.
It can be concluded that the reciprocal screw is
Serial chain 3 provides a constraint couple parallel to the Z-axis and a constraint force parallel to the X-axis, as shown in Figure 3b.
Based on the above analysis, it can be concluded that the moving platform of the mechanism is subjected to constraints parallel to the Y-axis and the X-axis, as well as a constraint couple parallel to the Z-axis. Each serial chain provides a constraint couple parallel to the Z-axis, which is equivalent to an independent constraint couple. The mechanism has a common constraint; therefore, the order of the mechanism is d = 6 − 1 = 5.
Using the modified GK formula to calculate the degree of freedom of the mechanism, the result are as follows:
Thus, when the serial chain 3 is in mode, the degree of freedom of the mechanism is three, and the moving platform is subject to two independent constraint forces and one independent constraint couple. An independent constraint force parallel to the Y-axis constrains the movement of the moving platform along the Y-axis; an independent constraint force parallel to the X-axis constrains the movement of the moving platform along the X-axis; one independent constraint couple is parallel to the Z-axis, constraining the rotation of the moving platform around the Z-axis. In the process of motion, the position relationship between the two constraint forces and the one constraint couple remains unchanged, and the constraint properties of the moving platform do not change. Therefore, when serial chain 3 is in mode, the motion mode of the mechanism is 1T2R, and the mobility is full-cycle.
When the mechanism is in 2T1R motion mode, the driving pair in serial chain 1 is set to R12, the driving pair of serial chain 2 is set to rotate parallel to the axis of P11 in the U pair connected to the static platform, and the driving pair in serial chain 3 is set to P31. When the mechanism is in 1T2R motion mode, the driving pair in serial chain 1 is set to R12, the driving pair of serial chain 2 is set to rotate parallel to the axis of P11 in the U pair connected to the static platform, and the driving pair in serial chain 3 is set to .
Based on the above analysis, when serial chain 3 is in P31R32R33P34 mode, the mechanism is in 2T1R motion mode, and the degree of freedom has full circumference. When serial chain 3 is in mode, the mechanism operates in 1T2R motion mode, and the degree of freedom has full circumference, as shown in Table 1.
Table 1.
Degree of freedom of the mechanism.
3. Kinematic Analysis
3.1. Inverse Position
We established kinematic models of the mechanism in two modes, 2T1R and 1T2R, using the DH parameter method [33]. Firstly, we established the coordinate system for serial chain 1 and serial chain 2, as shown in Figure 4, and obtained the DH parameters for serial chain 1 and serial chain 2, as shown in Table 2 and Table 3.
Figure 4.
DH coordinate system of serial chains 1 and 2: (a) coordinate system of serial chain 1 and (b) coordinate system of serial chain 2.
Table 2.
DH parameters of serial chain 1.
Table 3.
DH parameters of serial chain 2.
The coordinate transformation of the serial chain coordinate system adopts the prepositive serial chain model. According to the basic homogeneous rotation and translation formula, the general formula for the transformation matrix between two adjacent coordinate systems {i} and {i − 1} is
For serial chain 1, the transformation matrix from the moving platform to the static platform can be obtained as follows:
where M11 = cos(θ12 + θ13); M12 = sin(θ12 + θ13)sinθ14; M13 = sin(θ12 + θ13)cosθ14; M21 = 0; M22 = cosθ14; M23 = −sinθ14; M31 = −sin(θ12 + θ13); M32 = cos(θ12 + θ13)sinθ14; Y = 0; M33 = cos(θ12 + θ13)cosθ14; X = d11 + l12sin(θ12 + θ13) + l11sinθ12; Z = H + l12cos(θ12 + θ13) + l11cosθ12
The rotation matrix of serial chain 1 adopts Y-X type Euler angles, and the Euler angle pose transformation matrix R1 of serial chain 1 is
where α and β are the rotation angles of the moving platform around X and Y, respectively. When the mechanism is in 2T1R mode, β = 0.
The elements at the corresponding positions of the transformation matrix and the Euler angle pose matrix R1 are equal, that is
From Equations (12) and (13), it can be seen that when the mechanism is in 2T1R and 1T2R modes, the relationship between the rotation angle of serial chain 1 and the rotation angle of the moving platform is
The solution for driving θ12 with serial chain 1 is
For serial chain 2, the transformation matrix from the moving platform to the static platform can be obtained as follows:
where ; ; ; ; ; ; ; ; .
The rotation matrix of serial chain 3 adopts X-Y Euler angles, and the Euler angle pose transformation matrix R3 of the moving platform is
According to Equations (17) and (18), it can be seen that the rotation angle of the serial chain 2 driving pair θ21 is
Similarly, using the DH parameter method, we established the DH coordinate system for serial chain 3 in P31R32R33P34 and modes, as shown in Figure 5. We obtained the DH parameters for serial chain 3 in both modes, as shown in Table 4 and Table 5.
Figure 5.
DH coordinate system of serial chain 3 in two modes: (a) P31R32R33P34 mode and (b) mode.
Table 4.
DH parameters of serial chain 3 (P31R32R33P34).
Table 5.
DH parameters of serial chain 3 ().
When serial chain 3 is in P31R32R33P34 mode, the transformation matrix from the moving platform to the static platform can be obtained as follows:
where N11 = 1; N12 = 0; N13 = 0; N21 = 0; N22 = cos(α32 + α33); N23 = −sin(α32 + α33); N31 = 0; N32 = sin(α32 + α33); N33 = cos(α32 + α33); X = a31 + a − b
When serial chain 3 is in mode, the transformation matrix from the moving platform to the static platform can be obtained as follows:
where ; ; ; ; ; ; ; ; .
The rotation matrix of serial chain 3 adopts Y-X type Euler angles, and the Euler angle pose transformation matrix of serial chain 3 is
When the mechanism is in 2T1R mode, the rotation angle β of the moving platform around Y is 0.
The elements at the corresponding positions of transformation matrix and Euler angle pose matrix are equal. According to Equations (19) and (21), when serial chain 3 is in P31R32R33P34 mode, the driving force a31 of serial chain 3 is
When the mechanism is in 1T2R mode, it can be seen from Equations (22) and (23) that when serial chain 3 is in mode, the driving θ31 of serial chain 3 is
3.2. Forward Position
According to Equations (17), (20) and (24), it can be seen that when the mechanism is in 2T1R motion mode
When the mechanism is in 2T1R motion mode, β = 0, Equation (26) can be expressed as
According to Equation (25), when the mechanism is in 1T2R motion mode
When the mechanism is in 1T2R motion mode, Equation (26) can be expressed as
3.3. Motion Decoupling Analysis
When the mechanism is in 2T1R motion mode, we take the derivative of Equations (27)–(29) on t and organize it to obtain
where is the input Jacobian matrix, and G is the output Jacobian matrix
If the determinant of G is not 0, then Equation (32) can be written as
When the mechanism is in 2T1R motion mode, J is a diagonal matrix with a different diagonal element. It can be seen from [28] that the mechanism is a decoupled mechanism in the whole workspace.
When the mechanism is in 1T2R motion mode, we take the derivative of Equations (28), (30) and (31) on t and organize it to obtain
where
If the determinant of G is not 0, then Equation (36) can be written as
When the mechanism is in 1T2R motion mode, J is a triangular matrix. It can be seen from [34] that the mechanism is a partially decoupled parallel mechanism.
4. Performance Analysis
4.1. Workspace of Mechanism in Two Motion Modes
The workspace of the mechanism is the collection of all points relative to the static coordinate system that a given reference point of it can reach. The size and shape of the workspace represent the range of motion of the end effector of the mechanism. Select the center point O1 of the moving platform as the reference point and discretize the workspace points using MATLAB 2021a. The angular variation range of the revolute pair is [−60°, 60°] [32]. α and β are only related to the rotation angle of the driving revolute pair, so the search range is the same as that of the rotation angle of the revolute pair. Then, determine whether each point satisfies the constraint conditions to obtain the reachable workspace of the mechanism in two motion modes, as shown in Figure 6.
Figure 6.
The 3D workspace of the mechanism in two motion modes: (a) workspace in 2T1R mode and (b) workspace in 1T2R mode.
In the 2T1R motion mode, the color represents the value of α, and in the 1T2R motion mode, the color represents the value of β. From Figure 6, it can be seen that the reconfigurable mechanism has a regular and large workspace shape in 2T1R mode, with a continuous and complete internal structure; in 1T2R mode, the internal structure of the workspace is continuous, and the movement distance along the X-axis tends to increase with the absolute value of β.
The input transmission performance represents the efficiency of the power transmitted from the driving joints to the serial chains, while the output transmission performance represents the efficiency of the power transmitted from the serial chains to the moving platform. Considering the input transmission performance and output transmission performance simultaneously, the local transmission index (LTI) is defined as
where λi is the input transmission performance index of serial chain i, ηi is the output transmission performance index of serial chain i, Γ is the calculation formula of LTI, $Ii and $Oi are the input and output motion screws of serial chain i, respectively, and $Ti is the transmission force screw of serial chain i.
The input and output transmission performance index represent the efficiency of energy transmission from the drive input to the serial chain and from the serial chain to the output, respectively. According to the definition, the values of λi, ηi, and Γ are all between 0 and 1, which are dimensionless indicators independent of the coordinate system. The closer the value of Γ is to 1, the better the motion/force transmission performance of the mechanism. Conversely, the closer the value of Γ is to 0, the closer the mechanism is to singularity.
4.2. Performance Index in 2T1R Mode
The mode of serial chain 1 is P11R12R13R14, and R12 is selected as the driving joint of serial chain 1, that is, the input motion screw $I1 of serial chain 1 is
Similarly, the input motion screws $I2 and $I3 for the remaining serial chains can be obtained as follows:
Assuming that R13 is locked, $11 is removed from the kinematic screw system of serial chain 1, and solving the reciprocal product of the remaining kinematic pairs can obtain the transmission force screw of serial chain 1:
Similarly, the transmission force screws $T2 and $T3 for the remaining serial chains can be obtained as follows:
If the driving unit of serial chain 1 is retained, then the five-dimensional constraint screw system, composed of the constraint screw system provided by the serial chain, and the transmission force screw of the remaining serial chain act on the moving platform. At this point, the mechanism is a single-degree-of-freedom mechanism. Solving for its reciprocal product, the output motion screw $O1 of serial chain 1 can be obtained as follows:
Similarly, the output motion screws $O2 and $O3 for the remaining serial chains can be obtained as follows:
By substituting $Ii, $Ti, $Oi (i = 1, 2, 3) into Equations (40)–(42), the motion/force transmission performance indexes of the mechanism can be obtained, as shown in Figure 7.
Figure 7.
The motion/force transmission performance index of the mechanism: (a) LTI in the workspace and (b) LTI of the mechanism (α = 0).
From Figure 7, it can be seen that the motion force transmission performance of the reconfigurable mechanism increases with the increase of the Z value in 2T1R mode, and is evenly distributed in the horizontal and vertical axes.
4.3. Performance Index in 1T2R Mode
In 1T2R mode, the input motion screw and transmission force screw of serial chain 1 and serial chain 2 are the same as in 2T1R mode, so the calculation is not repeated.
In 1T2R mode, serial chain 3 is in mode. If in serial chain 3 is selected as the driving joint, then the input motion screw of serial chain 3 is
Assuming that is locked, is removed from the kinematic screw system of serial chain 3. Solving the reciprocal product for the remaining kinematic pairs, the transmission force screw of serial chain 3 is
If the driving unit of serial chain 1 is retained, then the five-dimensional constraint screw system, composed of the constraint screw system provided by the serial chain, and the transmission force screw of the remaining serial chain act on the moving platform. At this point, the mechanism is a single-degree-of-freedom mechanism. Solving for its reciprocal product, the output motion screw of serial chain 1 can be obtained as follows:
Similarly, the output motion screws and for the remaining serial chains can be obtained as follows:
By substituting , , (i = 1, 2, 3) into Equations (40)–(42), the motion/force transmission performance indexes of the mechanism under 1T2R motion mode can be obtained, as shown in Figure 8.
Figure 8.
The motion/force transmission performance indexes of the mechanism (1T2R): (a) LTI in the workspace; (b) LTI of the mechanism (α = 0); and (c) LTI of the mechanism (β = 0).
From Figure 8, it can be seen that in 1T2R mode, the motion/force transmission performance of the reconfigurable mechanism increases with the increase of the Z value, and is evenly distributed in the α-axis direction, showing an increasing trend with the increase of the β absolute value.
5. Optimization Design
According to the kinematic analysis and performance analysis, the motion/force transmission performance indexes of the mechanism under the two modes of 2T1R and 1T2R are related to the dimension parameters l11, H, l12. Therefore, the dimension parameters l11, H, l12 are taken as the design variables in the optimization design.
Based on the existing motion/force transmission performance and literature, the optimization objective functions are selected as the global transfer index (GTI) of the mechanism under the 2T1R motion mode and the 1T2R motion mode, as shown in Equation (53):
where Wi is the number of points that meet the constraint conditions.
The following equations can be obtained by dimensionless parameter optimization:
where D is the standardization factor, and the average of the dimension parameters. r1, r2, r3 represent the dimensionless values of l11, H11, l12.
According to the actual size requirements of the mechanism, scale-free parameters also need to meet certain geometric conditions to limit the variation range of parameters, as shown in Equation (55):
According to the optimization constraints of r1, r2, and r3, the optimal design space in three-dimensional space can be drawn, as shown in Figure 9.
Figure 9.
Design space for mechanism parameters: (a) three-dimensional space diagram and (b) two-dimensional space diagram.
The shaded region represented by △DEF in the figure contains all possible size variable values. The shadow region can be mapped onto two-dimensional space by selecting a reasonable two-dimensional coordinate system in three-dimensional space. In two-dimensional space, the relationship between r1, r2, r3, and s and t can be represented by the following Equation (56):
Based on the definition of GTI index under two motion modes and the given optimization design space, a corresponding performance map of the mechanism under the motion mode can be generated to describe the relationship between dimensionless dimensional variables and performance indexes, as shown in Figure 10.
Figure 10.
GTI index of the mechanism under two motion modes: (a) GTI (2T1R) and (b) GTI (1T2R).
It is assumed that the optimization objective should meet GTI ≥ 0.8325 in both 1T2R and 2T1R motion modes; the intersection region of the graphs meeting the performance requirements can be taken to obtain the optimal design space, as shown in Figure 11.
Figure 11.
The intersection region of the graphs.
In order to obtain better kinematic performance, parameters in the region with excellent performance can be selected as the mechanism parameters, such as t = 2.5, s = 0.2. Determination of the proportional coefficient D = 150 mm, and l11 = 375 mm, H11 = 30 mm, l12 = 45 mm can be obtained. Table 6 and Table 7 show the optimization results of the structural parameters and GTI, respectively.
Table 6.
Optimization results of structural parameters.
Table 7.
Optimization results of GTI.
From Table 6 and Table 7, it can be seen that l11 has increased while H11 and l12 have decreased. By calculation, GTI increased by 5.4% in 2T1R mode and 24.5% in 1T2R mode.
Similarly, take the same plane and draw the distribution of the optimized mechanism performance indexes, as shown in Figure 12. In both 1T2R and 2T1R motion modes, the volume of the workspace increases, and the LTI in the whole plane is greater than 0.6, and the kinematic performance is significantly improved compared with that before optimization.

Figure 12.
Performance maps of the mechanism under two motion modes: (a) workspace (2T1R); (b) LTI (2T1R) α = 0; (c) workspace (1T2R); (d) LTI (1T2R) α = 0; and (e) LTI (1T2R) β = 0.
6. Conclusions
The three-degree-of-freedom reconfigurable parallel mechanism proposed in this article has decoupling characteristics in both 1T2R and 2T1R motion modes, and the parallel mechanism with decoupling characteristics can achieve the motion of the mechanism through simple control, which has the advantages of decoupling and easy control. Parallel mechanisms with 1T2R and 2T1R motion modes can be applied in fields such as mobile robots, parallel machine tools, and military robots. This provides researchers in this field with a way to study reconfigurable decoupled parallel mechanisms, enriching the configuration of decoupled parallel mechanisms and reconfigurable parallel mechanisms. The specific conclusions of this article are as follows:
- (1)
- A reconfigurable three-degree-of-freedom parallel mechanism is proposed, which can be converted in both 1T2R and 2T1R motion modes by means of a metamorphic kinematic pair;
- (2)
- In 2T1R motion mode, there is complete decoupling between the input and output variables of the mechanism’s motion; in 1T2R motion mode, there is partial decoupling between the input and output variables of the mechanism’s motion;
- (3)
- Taking the motion/force transmission performance indexes of the mechanism in the two motion modes of 1T2R and 2T1R as the objective function, an optimization design method based on a performance map was used to optimize the main parameters of the mechanism. The performance indexes of the mechanism were significantly improved compared to those before optimization.
Author Contributions
Conceptualization, J.L.; methodology, J.L. and Y.W.; software, J.L. and L.Z.; validation, J.L., R.L., and Y.W.; formal analysis, J.L.; investigation, Y.W.; resources, R.L.; data curation, F.N.; writing—original draft preparation, J.L.; writing—review and editing, J.L.; visualization, J.L.; supervision, R.L.; funding acquisition, J.L., R.L., and F.N. All authors have read and agreed to the published version of the manuscript.
Funding
This research was funded by Scientific and Technological Innovation Programs of Higher Education Institutions in Shanxi, grant number 2023L563, the Key Research and Development Program of Shanxi Province of China, grant number 202202150401018, and the Opening Foundation of Shanxi Key Laboratory of Advanced Manufacturing Technology, grant number XJZZ202105.
Institutional Review Board Statement
Not applicable.
Informed Consent Statement
Not applicable.
Data Availability Statement
The raw data supporting the conclusions of this article will be made available by the authors on request.
Conflicts of Interest
The authors declare no conflicts of interest.
References
- Aimedee, F.; Gogu, G.; Dai, J.S.; Bouzgarrou, C.; Bouton, N. Systematization of morphing in reconfigurable mechanisms. J. Mech. Mach. Theory 2016, 96, 215–224. [Google Scholar] [CrossRef]
- Dokuyucu, H.İ.; Özmen, N.G. Achievements and future directions in self-reconfigurable modular robotic systems. J. Field Robot. 2023, 40, 701–746. [Google Scholar] [CrossRef]
- Zhang, L.; Dai, J.S. An overview of the development on reconfiguration of metamorphic mechanisms. In Proceedings of the ASME/IFToMM International Conference on Reconfigurable Mechanisms and Robots, London, UK, 22–24 June 2009; pp. 8–12. [Google Scholar]
- Kong, X.; Gosselin, C.M.; Richard, P. Type synthesis of parallel mechanisms with multiple operation modes. J. Mech. Des. 2007, 129, 595–601. [Google Scholar] [CrossRef]
- Zhang, K.; Dai, J.S.; Fang, Y. Geometric constraint and mobility variation of two 3SvPSv metamorphic parallel mechanisms. J. Mech. Des. 2013, 135, 011001. [Google Scholar] [CrossRef]
- Zhao, C.; Guo, H.; Liu, R.; Deng, Z.; Li, B. Design and kinematic analysis of a 3RRlS metamorphic parallel mechanism for large-scale reconfigurable space multifingered hand. J. Mech. Robot. 2018, 10, 041012. [Google Scholar] [CrossRef]
- Dubey, V.N.; Crowder, R.M. Designing a dexterous reconfigurable packaging system for flexible automation. In Proceedings of the International Design Engineering Technical Conferences and Computers and Information in Engineering Conference, Chicago, IL, USA, 2–6 September 2003; pp. 1033–1039. [Google Scholar]
- Tian, Y.; Yao, Y.A.; Wang, J. A rolling 8-bar linkage mechanism. J. Mech. Robot. 2015, 7, 041002. [Google Scholar] [CrossRef]
- Cui, X.; Sun, Y.; Tian, Y.; Xu, K.; Kou, S. Mechanical design and rolling locomotion analyses of a novel reconfigurable mobile robot constructed by a parallel mechanism. In Proceedings of the 2022 IEEE International Conference on Mechatronics and Automation (ICMA), Guilin, China, 7–10 August 2022; pp. 744–748. [Google Scholar]
- Tian, Y.; Zhang, D.; Yao, Y.A.; Kong, X.; Li, Y. A reconfigurable multi-mode mobile parallel robot. J. Mech. Mach. Theory 2017, 111, 39–65. [Google Scholar] [CrossRef]
- Li, Y.; Yao, Y.; He, Y. Design and analysis of a multi-mode mobile robot based on a parallel mechanism with branch variation. J. Mech. Mach. Theory 2018, 130, 276–300. [Google Scholar] [CrossRef]
- Yao, S.; Liu, R.; Yao, Y. Design and analysis of a multi-mode mobile robot based on Schatz linkages. J. Mech. Mach. Theory 2022, 169, 104651. [Google Scholar] [CrossRef]
- Wu, J.; Yang, H.; Li, R.; Ruan, Q.; Yan, S.; Yao, Y.A. Design and analysis of a novel octopod platform with a reconfigurable trunk. J. Mech. Mach. Theory 2021, 156, 104134. [Google Scholar] [CrossRef]
- Wang, J.; Kong, X. A reconfigurable tri-prism mobile robot with eight modes. J. Robot. 2018, 36, 1454–1476. [Google Scholar] [CrossRef]
- Zhang, K.; Dai, J.S.; Fang, Y. Topology and constraint analysis of phase change in the metamorphic chain and its evolved mechanism. J. Mech. Des. 2010, 132, 121001. [Google Scholar] [CrossRef]
- Ye, W.; Chai, X.; Zhang, K. Kinematic modeling and optimization of a new reconfigurable parallel mechanism. J. Mech. Mach. Theory 2020, 149, 103850. [Google Scholar] [CrossRef]
- Wang, R.; Song, Y.; Dai, J.S. Reconfigurability of the origami-inspired integrated 8R kinematotropic metamorphic mechanism and its evolved 6R and 4R mechanisms. J. Mech. Mach. Theory 2021, 161, 104245. [Google Scholar] [CrossRef]
- Lee, C.C.; Herve, J.M. A novel discontinuously movable six-revolute mechanism. In Proceedings of the 2009 ASME/IFToMM International Conference on Reconfigurable Mechanisms and Robots, London, UK, 22–24 June 2009; pp. 58–62. [Google Scholar]
- Yan, H.S.; Kuo, C.H. Topological representations and characteristics of variable kinematic joints. J. Mech. Des. 2006, 128, 387–391. [Google Scholar] [CrossRef]
- Li, S.; Dai, J.S. Structure synthesis of single-driven metamorphic mechanisms based on the augmented Assur groups. J. Mech. Robot. 2012, 4, 031004. [Google Scholar] [CrossRef]
- Li, S.; Wang, H.; Dai, J.S. Assur-group inferred structural synthesis for planar mechanisms. J. Mech. Robot. 2015, 7, 041001. [Google Scholar] [CrossRef]
- Li, S.; Wang, H.; Meng, Q.; Dai, J.S. Task-based structure synthesis of source metamorphic mechanisms and constrained forms of metamorphic joints. J. Mech. Mach. Theory 2016, 96, 334–345. [Google Scholar] [CrossRef]
- Carbonari, L.; Callegari, M.; Palmieri, G.; Palpacelli, M.C. A new class of reconfigurable parallel kinematic machines. J. Mech. Mach. Theory 2014, 79, 173–183. [Google Scholar] [CrossRef]
- Jia, G.; Huang, H.; Li, B.; Wu, Y.; Cao, Q.; Guo, H. Synthesis of a novel type of metamorphic mechanism module for large scale deployable grasping manipulators. J. Mech. Mach. Theory 2018, 128, 544–559. [Google Scholar] [CrossRef]
- Xu, Y.; Zhang, D.; Yao, J.; Zhao, Y. Type synthesis of the 2R1T parallel mechanism with two continuous rotational axes and study on the principle of its motion decoupling. J. Mech. Mach. Theory 2017, 108, 27–40. [Google Scholar] [CrossRef]
- Zeng, D.X.; Huang, Z. Type synthesis of the rotational decoupled parallel mechanism based on screw theory. Sci. China Technol. Sci. 2011, 54, 998–1004. [Google Scholar] [CrossRef]
- Zeng, D.; Huang, Z.; Lu, W. A family of novel 2 DOF rotational decoupled parallel mechanisms. In Proceedings of the 2007 International Conference on Mechatronics and Automation, Harbin, China, 5–8 August 2007; pp. 2478–2483. [Google Scholar]
- Qu, S.; Li, R.; Bai, S. Type synthesis of 2T1R decoupled parallel mechanisms based on Lie groups and screw theory. J. Math. Probl. Eng. 2017, 2017, 8304312. [Google Scholar] [CrossRef]
- Qu, S.; Li, R.; Ma, C.; Li, H. Type synthesis for lower-mobility decoupled parallel mechanism with redundant constraints. J. Mech. Sci. Technol. 2021, 35, 2657–2666. [Google Scholar] [CrossRef]
- Chang, T.C.; Zhang, X.D. Kinematics and reliable analysis of decoupled parallel mechanism for ankle rehabilitation. J. Microelectron. Reliab. 2019, 99, 203–212. [Google Scholar] [CrossRef]
- Glazunov, V. Design of decoupled parallel manipulators by means of the theory of screws. J. Mech. Mach. Theory 2010, 45, 239–250. [Google Scholar] [CrossRef]
- Gan, D.M.; Dias, J.; Seneviratne, L. Unified kinematics and optimal design of a 3rRPS metamorphic parallel mechanism with a reconfigurable revolute joint. Mech. Mach. Theory 2016, 96, 239–254. [Google Scholar] [CrossRef]
- Lipkin, H. A note on Denavit-Hartenberg notation in robotics. In Proceedings of the ASME 2005 International Design Engineering Technical Conferences and Computers and Information in Engineering Conference, Long Beach, CA, USA, 24–28 September 2005; pp. 921–926. [Google Scholar]
- Gogu, G. Structural synthesis of fully-isotropic translational parallel robots via theory of linear transformations. Eur. J. Mech. A Solid. 2004, 23, 1021–1039. [Google Scholar] [CrossRef]
Disclaimer/Publisher’s Note: The statements, opinions and data contained in all publications are solely those of the individual author(s) and contributor(s) and not of MDPI and/or the editor(s). MDPI and/or the editor(s) disclaim responsibility for any injury to people or property resulting from any ideas, methods, instructions or products referred to in the content. |
© 2025 by the authors. Licensee MDPI, Basel, Switzerland. This article is an open access article distributed under the terms and conditions of the Creative Commons Attribution (CC BY) license (https://creativecommons.org/licenses/by/4.0/).