Next Article in Journal
Research on the Local Damage Characteristics of Steel Box Girder Structures Under the Effects of Explosive Shock Waves
Next Article in Special Issue
Virtual Sound Source Construction Based on Direct-to-Reverberant Ratio Control Using Multiple Pairs of Parametric-Array Loudspeakers and Conventional Loudspeakers
Previous Article in Journal
GPU-Accelerated Algorithm for Polygon Reconstruction
Previous Article in Special Issue
Reverb and Noise as Real-World Effects in Speech Recognition Models: A Study and a Proposal of a Feature Set
 
 
Font Type:
Arial Georgia Verdana
Font Size:
Aa Aa Aa
Line Spacing:
Column Width:
Background:
Article

Spatial Sound Rendering Using Intensity Impulse Response and Cardioid Masking Function

by
Witold Mickiewicz
1,*,† and
Mirosław Łazoryszczak
2,*,†
1
Faculty of Electrical Engineering, West Pomeranian University of Technology in Szczecin, ul. Sikorskiego 37, 70-313 Szczecin, Poland
2
Faculty of Computer Science and Information Technology, West Pomeranian University of Technology in Szczecin, ul. Żołnierska 49, 71-210 Szczecin, Poland
*
Authors to whom correspondence should be addressed.
These authors contributed equally to this work.
Appl. Sci. 2025, 15(3), 1112; https://doi.org/10.3390/app15031112
Submission received: 14 November 2024 / Revised: 30 December 2024 / Accepted: 31 December 2024 / Published: 23 January 2025
(This article belongs to the Special Issue Spatial Audio and Sound Design)

Abstract

This study presents a new technique for creating spatial sounds based on a convolution processor. The main objective of this research was to propose a new method for generating a set of impulse responses that guarantee a realistic spatial experience based on the fusion of amplitude data acquired from an omnidirectional microphone and directional data acquired from an intensity probe. The advantages of the proposed approach are its versatility and easy adaptation to playback in a variety of multi-speaker systems, as well as a reduction in the amount of data, thereby simplifying the measurement procedure required to create any set of channel responses at the post-production stage. This paper describes the concept behind the method, the data acquisition method, and the signal processing algorithm required to generate any number of high-quality channel impulse responses. Experimental results are presented to confirm the suitability of the proposed solution by comparing the results obtained for a traditional surround 5.1 recording system and the proposed approach. This study aims to highlight the potential of intensity impulse responses in the audio recording and virtual reality industries.

1. Introduction

Sound engineering in post-production makes extensive use of the process of enhancing sound recordings with spatial aspects. This allows the listener to experience the acoustic properties of the space as intended by the sound engineer. Such a procedure aims to create a truly immersive experience for the listener with the appropriate listening equipment [1]. The spatialization of sound plays a vital role in virtual reality (VR) and augmented reality (AR) systems [2]. Many examples of the use of spatialized sound in the aforementioned technologies exist in the literature. The simplest method for positioning virtual sound sources in two-channel stereo is simple intensity panning. This method was generalized to 3D sound systems at the end of the last century by V. Pulkki [3]. In [4], the authors used augmented reality with a unique role for sound and the direction of the apparent sound source in learning systems. Sound naturally results in increased immersion in both the VR and AR. The goal is to link sound to the real and virtual objects surrounding the user. Various methods, such as ray tracing, can be used to simulate the environment and its effects on sound propagation [5].
Other spatialization methods using simulated spatial room impulse responses together with a human directional perception model in the form of Head Related Transfer Function sets have been extensively studied by J. Merimaa and V. Pulkki [6,7]. The methodology continues to improve, especially in terms of personalizing the HRTF response.
A detailed small representation of the acoustic scene is also important in research on the hearing process, especially in combination with a visual representation of the scene [8], or, for example, in user evaluation in sound source localization tasks as one of the elements of the immersion degree of the system [9]. The issue of “presence” (understood as “being there”) is one of the most relevant in terms of reproducing acoustic conditions that reflect the natural environment. In this regard, there are many studies on the individual elements of the acoustic scene in the context of VR ([10,11]), as well as the interaction of vision and sound in the VR environment [12]. The above examples confirm the relevance of sound in the perception of both the real and virtual environments.
Among the most significant factors in the spatialization of source audio material is their enrichment with artificial reverberation [13]. A standard solution that works well in practical conditions is convolution processors using room impulse responses. These responses are acquired in real objects or from modeling that considers room acoustics. Methods based on impulse responses recorded in real, mostly recognizable rooms allow for the best results given the current state of the art [14,15]. Hence, the authors also undertook such a research direction. These impulse responses are usually recorded using at least two microphones in an appropriate arrangement and rooms with interesting acoustic properties, especially the reverberation. This method uses pseudorandom excitation (Maximum Length Sequence signal, MLS) or a sine sweep signal [16,17].
The above-mentioned methods are well-known and widely used for stereo (two-channel) and surround (5.1) recordings. However, there is a constant search for better and more computationally efficient processing methods for immersive (3D) sound methods [18,19]. The task of these systems is to improve the feeling of immersion in the sound environment. The systems themselves are characterized by a much larger number of speakers, which are placed in the horizontal plane surrounding the listener but also in planes parallel to it, both below and above the listener. A prerequisite for the detailed reconstruction of spatial immersions is the need to encode the audio signal and its spatial attributes so that the number of recorded channels coincides with the number of speakers. At the same time, the convolution methods require a set of impulse responses dedicated to appropriate channels and source positions to render individual signals efficiently. To date, multi-microphone techniques have been used to record impulse responses, either directly corresponding to the main microphone systems used during recordings [20,21] under actual reverberant conditions or using universal systems (e.g., Soundfield ambisonic microphones or high-order ambisonic (HOA) designs). In this case, the corresponding impulse responses were generated by processing the recorded signals using appropriate mathematical models. A typical property of these methods is their multi-channel nature and, thus, the need to use multiple acoustoelectric transducers (microphones) with often varying directivity characteristics and multiple recording paths. The microphones themselves are usually pressure-gradient transducers. Such design forces compromises related to an ideally flat frequency response over the entire audible frequency range. Despite technological advances, the same is true for the ideal repeatability of signal transmission parameters in individual audio paths. It must be noted that the final spatial effect is best if all microphone channels (microphone plus amplifier and recorder paths) are identical. Increasing the number of channels makes it increasingly difficult and expensive to achieve high compatibility. Even the use of carefully selected microphones will only ensure a partial identity.
In this paper, the authors propose and describe the testing of a method for obtaining impulse response sets intended for a convolution processor for the case of 5.1 surround sound. The authors also propose a general method for obtaining impulse response sets intended for a convolution processor for multichannel sound; it was tested for the case of 5.1 surround sound. Among the significant advantages of the proposed method are the following:
  • Elimination of microphone directional characteristic mismatch,
  • Use of omnidirectional microphones with the best possible sound timbre preservation,
  • The possibility of obtaining any set of required impulse responses intended for the convolution processor.
At the same time, these responses are determined according to the requirements of the target sound system at the post-production stage. This involves taking measurements in a reference room according to the fixed procedure.

2. Idea of the Proposed Method and General Algorithm

The proposed method assumes recording the pressure impulse response with a pressure microphone of relatively high quality, characterized by the flatter amplitude frequency response and better phase frequency response over the entire audible acoustic bandwidth compared to directional microphones. This omnidirectional impulse response in the next stage is used to obtain an arbitrary set of impulse responses. This is the basis for obtaining professional final sound effects of recordings and rendering. As a bonus, it guarantees the full compatibility of the resulting surround sound with the mono signal, which is still essential for broadcasting systems. Impulse responses for individual channels require information regarding the direction of propagation of the sound wave reaching the omnidirectional microphone obtained from the second sensor, a 2D or 3D intensity probe. The registration of signals in both sensors is performed simultaneously, guaranteeing a high level of synchronization of the two sets of data.
Measuring the sound intensity generated by acoustic sources is not a trivial task. Professional measuring instruments are used to make sound intensity measurements. The market offers specialized probes of both types: pressure–pressure (e.g., Brüel& Kjær, GRAS) and pressure–velocity (e.g., Microflown, Weles Acoustics). Such measurement instruments are not widespread in the broader music recording and multimedia production communities primarily because of the cost and difficulty of the measurement process itself. However, it is possible to use the so-called mechatronic probe described by the authors in [22,23]. This solution makes it possible to obtain the required impulse responses, does not require the use of expensive specialized sensors, and makes it possible to record the intensity response to a known excitation signal, which corresponds to measurements of the room’s impulse response. According to the concept of the mechatronic pressure–pressure probe, one pressure microphone can be used to measure the intensity response by placing it sequentially in four (2D) or six (3D) mutually perpendicular measurement positions approximately 10 mm apart. This involves placing the microphones in two positions along the x- and y-axes and possibly the z-axis, respectively. The idea of the mechatronic probe for one axis is illustrated in Figure 1.
Thus, the starting point of the proposed method is the recording of the pressure impulse and directional intensity responses. Examples of visualizations of such signals are shown in Figure 2, Figure 3 and Figure 4. In Figure 2, we observe the classical impulse response as the signal amplitude as a function of time. Figure 3 shows the directional intensity response, where successive time instants are assigned to a sound intensity vector. The progression of time is visualized using a color scale. A better visualization of the evolution of the amplitude and direction of sound propagation in 2D is shown in Figure 4, where the z-axis represents time. It should be noted that the sound field in a closed room, particularly away from the source, is characterized by a high level of dispersion. This indicates that sound intensity has both active and reactive components. Choosing the integration (averaging) time of instantaneous intensity values is necessary to properly determine the active components associated with the propagation of direct sound and first reflections. The optimal time was found to be related to the perceptual properties of human hearing, and based on preliminary tests, it was determined to be 12 ms, which is a value related to the boundary delay in echo perception (Haas effect).
Generating a set of impulse responses for a specific channel, considering measurements realized within a particular source and receiver arrangement, involves the amplitude modulation of successive values in the pressure impulse response of a room using a temporal weighting function, which is generated using the directional information contained in the intensity response and a spatial masking function related to the position of the loudspeaker to emit a given channel signal in a given listening system. The shape of the masking function is arbitrary. In further studies, a cardioid function was used, which enabled comparative studies of the effects of the proposed method with those of the traditional method using cardioid microphones to record channel impulse responses.
The implementation of the proposed method comes down to a universal algorithm, allowing it to be applied to any M-channel audio reproduction system. Following the individual steps of the proposed algorithm:
  • Let us divide the spherical space into a finite number of M zones (by defining solid angles set for azimuth and elevation), to which a chosen spatially oriented masking function ( M F ) should be assigned. In proposed method the cardioid masking functions are used (Section 4).
  • Create M vectors of the resulting impulse responses and copy the omnidirectional pressure responses (P) into them.
  • Create M vectors of the temporal weighting function ( T W F ) based on the directional data (Sound Intensity response, S I ) and subsequent masking functions ( M F ) from step 1 (Equation (1)):
    T W F i , m = M F m [ θ ( S I i ) , φ ( S I i ) ] ,
    where i = 1 N is a sample number (N is the vector length of the recorded impulse response), m = 1 M and is a spatially oriented masking function number, S I i —3D sound intensity vector for the ith time sample, θ and φ —azimuth and elevation angle of the S I i vector.
  • Multiply sample-by-sample the vectors obtained in steps 2 and 3.
  • Perform the M-channel convolution of the input signal and calculated M impulse responses to render the spatial sound.

3. Recording of Test Signals

Modern listening systems can ensure that the listener is surrounded or even immersed by sound by arranging speakers around the listener. The task of the channels placed at the back of the listener is, with the essential presence of the sound source from the front channels, to reproduce the interior acoustics more faithfully and improve the depth of the sound scene. One of the most widespread surround sound systems is the 5.1 system, with five speakers (Center; Front Left and Front Right sets, respectively, in a circle at an angle of ± 30 to the center; and Rear Right and Rear Left sets in a circle at an angle of ± 110 to the center) responsible for surround effects. With such a listening system in mind, microphone systems are available on the market so that the recorded signal of any sound event can be directly played on a 5.1 surround system. Therefore, to confirm the suitability of the proposed algorithm, its effect was compared with that of the classical approach, and all necessary test signals were acquired. The experiment consisted of recording impulse responses and speech in a medium-sized auditorium at five source positions. The signals were recorded simultaneously using a Schoeps MK5 omnidirectional microphone, a mechatronic probe, a commercial SPL ATMOS 5.1 Surround Miking System with an array of Brauner large-diaphragm condenser cardioid microphones in an INA 5 configuration, and a Neumann KU100 dummy head (Figure 5). The capsules of all the microphones were placed at near-equal heights of 2 m from the floor. All elements of the recording system were placed as close as possible to each other.
Figure 6 shows the positions of the sound sources around the microphone system. A Genelec 8040 active loudspeaker was used as the sound source, which emitted a logarithmic sweep signal in the frequency range of 20 Hz to 20 kHz with a duration of 15 s. The sweep signal was emitted four times at each of the five speaker positions to determine the pressure and intensity impulse responses of the speaker signals. After each emission, the mechatronic probe changed the position of the microphone by 90 so as to move the microphone onto another axis. The speaker was also located in the same place, and a short speech was recorded. A digital audio workstation with Protools 12 software, RME Digiface USB interface, and Focusrite Clarett OctoPre ADAT preamplifier were used to broadcast the sweep signal and record the microphone signals. The sampling rate of the system was 48 kHz.

4. Algorithm Implementation for Surround System

The algorithm for determining the INA channel impulse responses presented in Section 2 for the five-channel surround system with cardioid masking functions shown in Figure 7 implements the operations expressed by Equation (2):
h I N A _ V i , m = h i · C m ( a r g ( S I i ) )
where i = 1 N and denotes the sample number (N is the vector length of the recorded impulse response), m = 1 M and denotes the channel number (M—the number of speaker channels in a given playback system; in the experiment described here, M = 5 ), h is the registered omnidirectional room impulse response, S I ( ) —a complex function representing the 2D intensity impulse response in the time domain. The operator a r g ( ) returns the vector angle on the plane. The cardioid masking function C m has the following form:
C m ( α ) = 1 2 ( 1 + c o s ( α + φ m ) )
The φ m angle determines the initial spatial orientation of the function. In the present experiment, this was related to the direction of the individual microphones in the INA 5 system. It is [ 90 , 0 , 90 , 150 , 150 ] , corresponding to the channels [Left, Central, Right, LeftSurround, RightSurround], respectively.
The resulting five-impulse responses are hereafter referred to as the INA_V (Virtual INA) response set and used for convolving channel signals. The processing steps are shown in Figure 8.
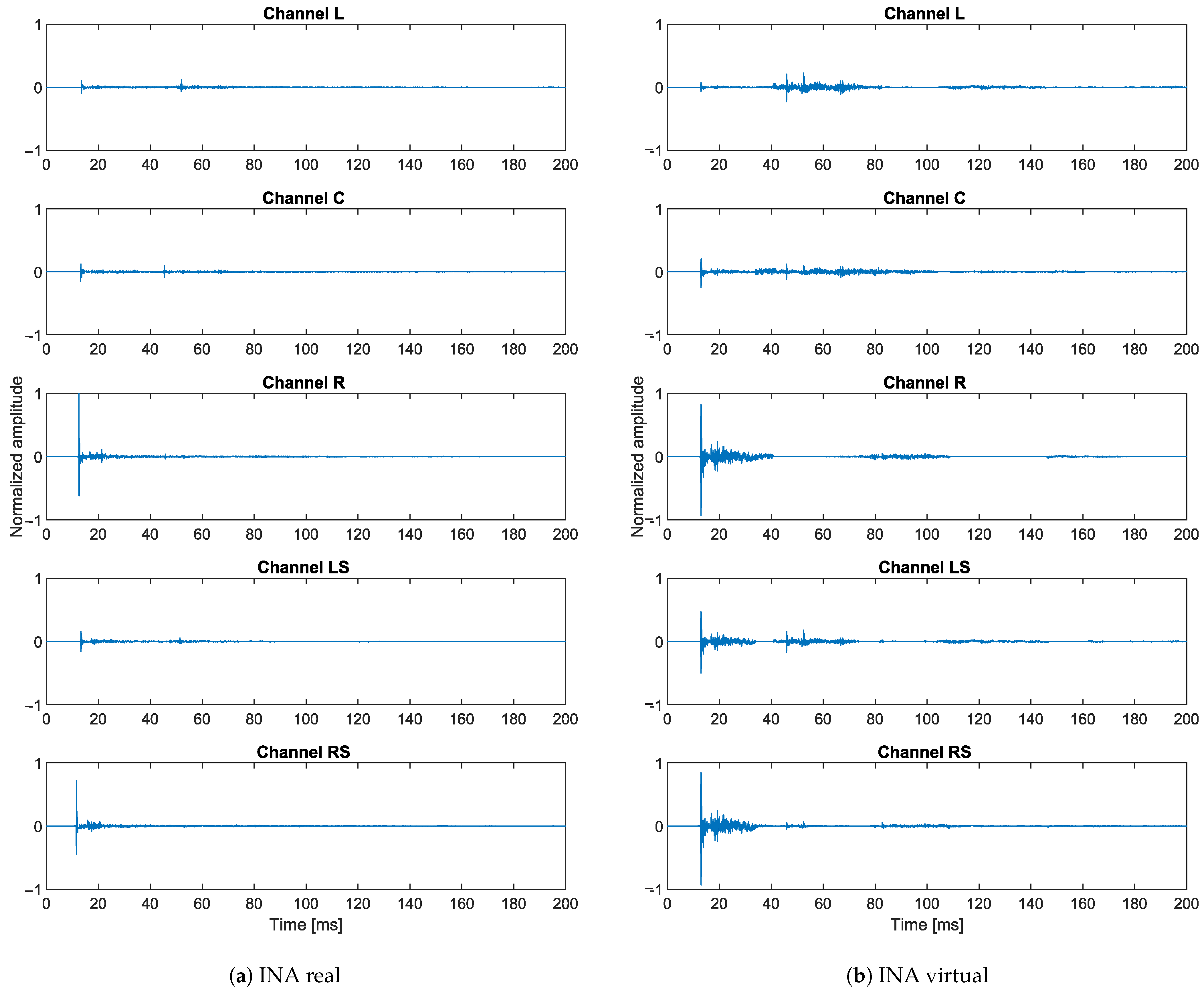
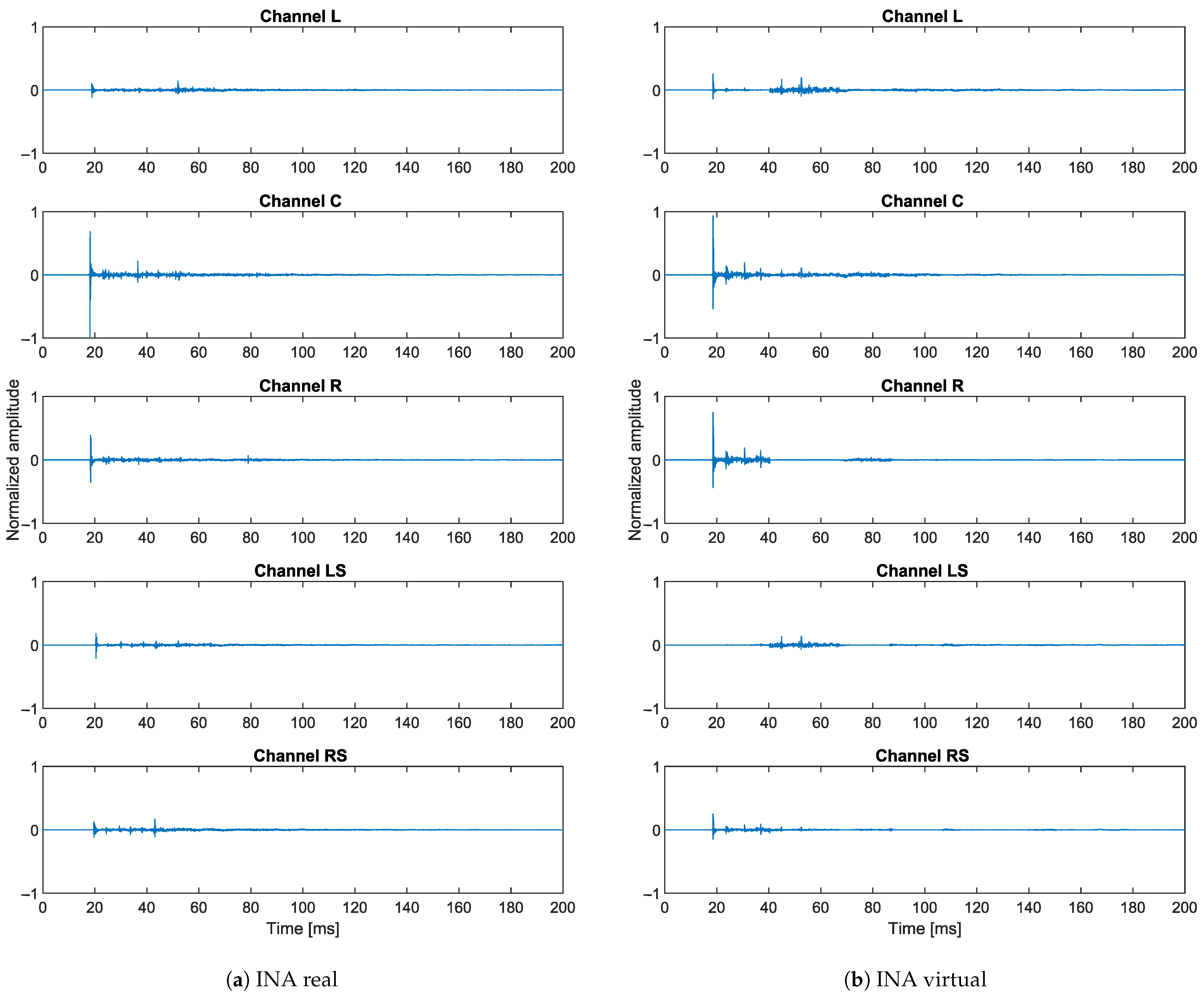
Figure 9 shows the input data for the proposed algorithm obtained for loudspeaker positions #2 and #5. Figure 9a,c show the omnidirectional pressure responses from the MK5 microphone, and Figure 9b,d show the 2D intensity responses from the mechatronic probe for positions #2 and #5, respectively. Figure 10 and Figure 11 show sets of five-channel impulse responses recorded directly by the SPL ATMOS INA5 microphones (Figure 10a and Figure 11a) and those obtained from the proposed algorithm (Figure 10b and Figure 11b).
Table 1 lists the values of the maxima of the correlation function of the channel responses from the actual INA 5 with the omnidirectional and channel responses obtained after applying the proposed algorithm. In addition, the percentage changes in these indicators were calculated. The results are presented for all five speaker positions.

5. Subjective Tests

Initial listening tests performed by authors involving the emission of 15 excerpts according to the above order confirmed the correctness of the proposed algorithm.

5.1. Participants

To compare the localization properties in the second series of tests more accurately, fragments of recordings for each position were presented sequentially to 14 listeners aged 19 to 54.

5.2. Stimuli

To perceptually evaluate the obtained processing results, the listening effects presented by a loudspeaker system in a 5.0 surround configuration of the following versions of lector and music (solo string instruments like violin, viola, and cello) recordings were compared:
  • Registered directly at five locations in the auditorium (speech only)—Method 1;
  • Obtained as the convolution of impulse responses recorded by the microphones of the actual INA 5 system and the anechoic recordings of lector voice, violin, viola, and cello—Method 2;
  • Obtained as the convolution of virtual impulse responses and the source signals (speech and music) recorded in the anechoic chamber—Method 3.
A total of 30 speech examples created according to methods 1–3 and 18 music examples prepared by methods 2 and 3 were presented to each listener.

5.3. Protocol

The test subjects’ task was to indicate the direction from which the sound was coming to them by marking the appropriate circle on the test card (Figure 12). The markers were arranged in a circle. Five of them (circles marked in grey) corresponded exactly to the positions of the speakers, while the others covered intermediate directions. The first part of the listening tests presented speech excerpts, while the second part presented music excerpts.

5.4. Apparatus

The recordings were presented through a 5.0 speaker system placed in a room with a volume of about 150 m3 and acoustically adapted (carpet on the floor and walls covered with corrugated acoustic foam). The room adapted in this way was characterized by an average reverberation time of 0.5 s, which is less than half the reverberation time of the room in which the recordings were made. Thus, the reverberation of the listening room should not significantly affect the perception of recorded reverberation.

5.5. Results

The results of the tests are shown in Table 2, Table 3, Table 4, Figure 13, Figure 14 and Figure 15, respectively. Analyzing the results obtained, it can be seen that the listeners determined the location of the sources for the unprocessed recordings without error (±10 deg) at 78%. Considering that a localization error of no more than 20% is also a correct result, this proportion increases to 89%. We consider these values to be reference values and, in comparison, the deterioration of error-free localization to 63% for speech and 67% for music and correct localization (error less than 20%) to 100% for speech and 67% for music can be considered satisfactory.
One can also see an increase in correct source localization from 63% to 100% (speech) and from 45% to 67% (music) for Method 3 compared to Method 2. Recall that with Method 3, the set of channel impulse responses was obtained from a fusion of amplitude data from the omnidirectional microphone and directional data from the intensity probe. Thus, this is a set of coincident signals. The improved localization for this case coincides with the characteristics of stereo recordings obtained with XY coincident microphone systems. The localization is superior to Methods 1 and 2, which used microphones in an INA5 arrangement, in which (due to spatial spacing) the front microphones can be considered quasi-coincident (ORTF stereo equivalent) and the rear microphones non-coincident (AB stereo equivalent).

6. Discussion of Results

As stated above, the performed listening tests confirmed the subjective quality of the proposed algorithm’s performance in terms of its ability to reproduce the position of the apparent sound source in the surrounding space. Cardioid masking functions in this research stage, corresponding to traditional microphone techniques, allowed for an excellent replication of the spatial effects obtained by traditional multi-microphone methods. This ability to reproduce the position can be also confirmed by the waveforms analysis of the actual and synthesized impulse responses for locations #2 and #5 (Figure 10 and Figure 11). Although the individual pairs of channel responses are not identical, in general, the distribution of instantaneous larger amplitudes depicting emerging reflections from the wall surfaces bounding the room coincides. One reason for the discrepancies may be that the cardioid masking functions used are invariant as a function of frequency, which does not coincide with the properties of real microphones. Table 1 shows the correlation between the actual impulse responses from the INA 5 system and the omnidirectional response (from the MK5 microphone) and its change after applying the proposed algorithm. As can be seen, in those channels relative to which the source position is close to the microphone axis (on-axis), the value of the correlation coefficient increases, while for “rear” channels relative to the source position, the correlation coefficient decreases. Common-sense trends were appropriate, confirming the correct operation of the algorithm. However, in further research, attention can be focused on how much of this effect is solely due to the amplitude modulation of the initial phase of the impulse response responsible for direct sound and how much of this is due to a change in the ratio in a given channel between correlated direct sound and early reflections and the uncorrelated part of the response associated with diffuse sound and room reverberation.
The impulse responses made in this way can then be used in convolution reverberation processors with virtually any number of channels (e.g., [23]). Commercially available convolution reverberation processors use databases that contain impulse responses recorded in actual rooms, generally for only a few positions of excitation signal sources and a few positions of microphones in one or more stereo configurations. Even for the resulting two-channel material, there are many choices, and necessarily, the location of the reverberated sound sources generally does not correspond closely to the position of the sound source when measuring the impulse response. Nevertheless, the results are satisfactory. The approach proposed in the article also requires collecting a certain number of responses from sources distributed around the listener (the more, the better) to create an initial database. However, according to current knowledge, the fusion of directional data obtained from intensity impulse responses and amplitude data from pressure impulse responses is not described in the literature. The demonstrated effectiveness of the proposed technique for 5.1 surround sound allows us to assume that the use of room intensity impulse responses also makes sense for systems with more channels in both 2D (surround sound) and 3D (immersive sound) systems. The data consolidation from the pressure microphone and intensity probe, along with various 2D and/or 3D spatial masks (virtual microphone directivity models) at the post-production stage, makes it possible to generate virtually any set of impulse responses. Consequently, this enables the spatial rendering of virtual sources independently of a reproduction system without database extension.

7. Conclusions

Techniques for spatial recording, rendering, and audio signal processing in phonography and virtual reality have been developed for many years. However, they are based on pressure signals recorded by various multi-microphone systems.
The paper proposes a method for combining data from an omnidirectional pressure transducer and an intensity probe. Using a mechatronic probe with a single, moving microphone simplifies the signal recording process for database creation even more. Finally, the proposed method requires only a two-channel recording system: one for a high-quality omnidirectional music recording microphone and a second for a small moving microphone of the mechatronic intensity probe. The expensive sound intensity probe is unnecessary in this case. The database that must be stored for post-production and 3D rendering includes only four data records per source position (omnidirectional pressure response and three spatial components of the intensity response). However, the proposed method has the potential to create arbitrary sets of impulse responses in post-production based on a limited number of channels acquired during measurements and any arrangements of spatially oriented masks. It is, therefore, an alternative to higher-order ambisonics systems and can be used in real-time rendering applications. High-speed hardware-assisted convolution processors can provide a real-time operation for VR applications without a large memory requirement for storing large amounts of data, and corresponding sets of impulse responses can be generated on the fly.

Author Contributions

Conceptualization, W.M. and M.Ł.; methodology, W.M. and M.Ł.; software, W.M. and M.Ł.; validation, W.M. and M.Ł.; data curation, W.M. and M.Ł.; writing—original draft preparation, W.M. and M.Ł.; writing—review and editing, W.M. and M.Ł.; visualization, W.M. and M.Ł.; supervision, W.M. and M.Ł. All authors have read and agreed to the published version of the manuscript.

Funding

This research received no external funding.

Institutional Review Board Statement

The study was conducted in accordance with the Declaration of Helsinki, and the protocol was approved by the Ethics Committee of West Pomeranian University of Technology on 13 January 2025.

Informed Consent Statement

Informed consent was obtained from all subjects involved in the study.

Data Availability Statement

The data sets for this study are available upon request from the corresponding author.

Acknowledgments

The authors thank Eugeniusz Kornatowski of the West Pomeranian University of Technology in Szczecin for providing the specialized microphone systems.

Conflicts of Interest

The authors declare no conflicts of interest.

References

  1. Blauert, J. Spatial Hearing: The Psychophysics of Human Sound Localization; The MIT Press: Cambridge, MA, USA, 1996. [Google Scholar] [CrossRef]
  2. Roginska, A.; Geluso, P. Immersive Sound: The Art and Science of Binaural and Multi-Channel Audio; Taylor & Francis: Abingdon, UK, 2017. [Google Scholar]
  3. Pulkki, V. Virtual Sound Source Positioning Using Vector Base Amplitude Panning. J. Audio Eng. Soc. 1997, 45, 456–466. [Google Scholar]
  4. Yao, S.N.; Liang, C. Audio Augmented Reality in Smart Learning Environments. IEEE Trans. Learn. Technol. 2023, 16, 178–190. [Google Scholar] [CrossRef]
  5. Tang, Z.; Manocha, D. Scene-aware Sound Rendering in Virtual and Real Worlds. In Proceedings of the 2020 IEEE Conference on Virtual Reality and 3D User Interfaces Abstracts and Workshops (VRW), Atlanta, GA, USA, 22–26 March 2020; pp. 535–536. [Google Scholar] [CrossRef]
  6. Merimaa, J.; Pulkki, V. Spatial impulse response rendering I: Analysis and synthesis. J. Audio Eng. Soc. 2005, 53, 1115–1127. [Google Scholar]
  7. Pulkki, V.; Merimaa, J. Spatial impulse response rendering II: Reproduction of diffuse sound and listening tests. AES J. Audio Eng. Soc. 2006, 54, 3–20. [Google Scholar]
  8. Fichna, S.; Biberger, T.; Seeber, B.U.; Ewert, S.D. Effect of Acoustic Scene Complexity and Visual Scene Representation on Auditory Perception in Virtual Audio-Visual Environments. In Proceedings of the 2021 Immersive and 3D Audio: From Architecture to Automotive (I3DA), Bologna, Italy, 8–10 September 2021; pp. 1–9. [Google Scholar] [CrossRef]
  9. Moraes, A.N.; Flynn, R.; Hines, A.; Murray, N. Evaluating the User in a Sound Localisation Task in a Virtual Reality Application. In Proceedings of the 2020 Twelfth International Conference on Quality of Multimedia Experience (QoMEX), Athlone, Ireland, 26–28 May 2020; pp. 1–6. [Google Scholar] [CrossRef]
  10. Kern, A.C.; Ellermeier, W. Audio in VR: Effects of a Soundscape and Movement-Triggered Step Sounds on Presence. Front. Robot. AI 2020, 7, 20. [Google Scholar] [CrossRef] [PubMed]
  11. Buck, L.; Vargas, M.F.; McDonnell, R. The Effect of Spatial Audio on the Virtual Representation of Personal Space. In Proceedings of the 2022 IEEE Conference on Virtual Reality and 3D User Interfaces Abstracts and Workshops (VRW), Christchurch, New Zealand, 12–16 March 2022; pp. 354–356. [Google Scholar] [CrossRef]
  12. Bialkova, S.; Van Gisbergen, M.S. When sound modulates vision: VR applications for art and entertainment. In Proceedings of the 2017 IEEE 3rd Workshop on Everyday Virtual Reality (WEVR), Los Angeles, CA, USA, 19 March 2017; pp. 1–6. [Google Scholar] [CrossRef]
  13. Valimaki, V.; Parker, J.D.; Savioja, L.; Smith, J.O.; Abel, J.S. Fifty Years of Artificial Reverberation. IEEE Trans. Audio Speech Lang. Process. 2012, 20, 1421–1448. [Google Scholar] [CrossRef]
  14. Kelly, J.; Woszczyk, W.; King, R. 3D Impulse Response Convolution with Multichannel Direct Sound: Assessing Perceptual Equivalency between Room- and Source- Impression for Music Production. In Proceedings of the Audio Engineering Society Convention 151, Online, 11–13 October 2021. [Google Scholar]
  15. Steppat, M. Impulse response reverb as a tool for voicing organs. J. Acoust. Soc. Am. 2009, 125, 2558. [Google Scholar] [CrossRef]
  16. Farina, A. Impulse Response Measurements. In Proceedings of the 23rd Nordic Sound Symposium, Trondheim, Norway, 27–30 September 2007. [Google Scholar]
  17. Farina, A. Advancements in Impulse Response Measurements by Sine Sweeps. In Proceedings of the Audio Engineering Society Convention 122, Vienna, Austria, 5–8 May 2007. [Google Scholar]
  18. Ly, E.; Villegas, J. Generating Artificial Reverberation via Genetic Algorithms for Real-Time Applications. Entropy 2020, 22, 1309. [Google Scholar] [CrossRef] [PubMed]
  19. Lokki, T. Method for Reproducing Natural or Modified Spatial Impression in Multichannel Listening. J. Acoust. Soc. Am. 2011, 129, 1141. [Google Scholar] [CrossRef]
  20. Williams, M. Unified Theory of Microphone Systems for Stereophonic Sound Recording. In Proceedings of the 82nd Convention of the AES, London, UK, 10–13 March 1987. convention paper 2466. [Google Scholar]
  21. Williams, M.; Dû, G.L. Multichannel Microphone Array Design (MMAD). 2002. Available online: https://micpedia.com/multichannel-microphone-array-design-mmad/ (accessed on 31 December 2024).
  22. Mickiewicz, W.; Raczyński, M. Mechatronic sound intensity 2D probe. In Proceedings of the 2017 22nd International Conference on Methods and Models in Automation and Robotics (MMAR), Międzyzdroje, Poland, 28–31 August 2017; pp. 894–897. [Google Scholar] [CrossRef]
  23. Mickiewicz, W.; Raczyński, M.; Parus, A. Performance Analysis of Cost-Effective Miniature Microphone Sound Intensity 2D Probe. Sensors 2020, 20, 271. [Google Scholar] [CrossRef] [PubMed]
Figure 1. The concept of measuring a single component of sound intensity: the classical approach with two microphones simultaneously measuring a single stimulus (a) and the mechatronic approach with a single microphone and sequential measurement of identical stimuli in two consecutive positions (b).
Figure 1. The concept of measuring a single component of sound intensity: the classical approach with two microphones simultaneously measuring a single stimulus (a) and the mechatronic approach with a single microphone and sequential measurement of identical stimuli in two consecutive positions (b).
Applsci 15 01112 g001
Figure 2. Sound pressure room impulse response.
Figure 2. Sound pressure room impulse response.
Applsci 15 01112 g002
Figure 3. The 2D intensity impulse response (time coded in color scale, from blue denoting the earliest samples to dark red denoting the latest samples).
Figure 3. The 2D intensity impulse response (time coded in color scale, from blue denoting the earliest samples to dark red denoting the latest samples).
Applsci 15 01112 g003
Figure 4. The 2D intensity impulse response with a vertical time axis.
Figure 4. The 2D intensity impulse response with a vertical time axis.
Applsci 15 01112 g004
Figure 5. Components of the sound recording system and their mutual arrangement—real setup (a) and diagram (b).
Figure 5. Components of the sound recording system and their mutual arrangement—real setup (a) and diagram (b).
Applsci 15 01112 g005
Figure 6. Spatial layout of the recording system and positions of the test sound source.
Figure 6. Spatial layout of the recording system and positions of the test sound source.
Applsci 15 01112 g006
Figure 7. Spatial distribution of cardioid masking functions corresponding to the angular arrangement of microphones in the INA 5 system.
Figure 7. Spatial distribution of cardioid masking functions corresponding to the angular arrangement of microphones in the INA 5 system.
Applsci 15 01112 g007
Figure 8. The proposed algorithm’s flow chart.
Figure 8. The proposed algorithm’s flow chart.
Applsci 15 01112 g008
Figure 9. Input data for the proposed algorithm for locations #2 an #5: omnidirectional pressure impulse responses (a,c); directional intensity impulse responses (b,d).
Figure 9. Input data for the proposed algorithm for locations #2 an #5: omnidirectional pressure impulse responses (a,c); directional intensity impulse responses (b,d).
Applsci 15 01112 g009
Figure 10. INA real vs. INA virtual for sound source position #2.
Figure 10. INA real vs. INA virtual for sound source position #2.
Applsci 15 01112 g010
Figure 11. INA real vs. INA virtual for sound source position #5.
Figure 11. INA real vs. INA virtual for sound source position #5.
Applsci 15 01112 g011
Figure 12. The test card diagram for the single question.
Figure 12. The test card diagram for the single question.
Applsci 15 01112 g012
Figure 13. Charts of the effectiveness of subjective source direction localization for sounds (speech and music combined) based on Table 2.
Figure 13. Charts of the effectiveness of subjective source direction localization for sounds (speech and music combined) based on Table 2.
Applsci 15 01112 g013
Figure 14. Charts of the effectiveness of subjective source direction localization for sounds (speech only) based on Table 3.
Figure 14. Charts of the effectiveness of subjective source direction localization for sounds (speech only) based on Table 3.
Applsci 15 01112 g014
Figure 15. Charts of the effectiveness of subjective source direction localization for sounds (music only) based on Table 4.
Figure 15. Charts of the effectiveness of subjective source direction localization for sounds (music only) based on Table 4.
Applsci 15 01112 g015
Table 1. Correlation change of channel signals after application of masking algorithm.
Table 1. Correlation change of channel signals after application of masking algorithm.
Pos.Corr.LCRLSRS
INA vs. OMNI1.0040.9291.1500.3330.339
1INA vs. V_INA0.5631.0260.5150.0670.053
Change [%]−44.010.4−55.2−79.8−84.4
INA vs. OMNI0.4650.4341.9460.3640.486
2INA vs. V_INA0.1730.4671.4660.0470.129
Change [%]−62.67.6−24.7−87.0−73.4
INA vs. OMNI3.2511.5190.7650.7150.699
3INA vs. V_INA2.6201.3420.2180.2500.066
Change [%]−19.4−11.6−71.5−65.1−90.5
INA vs. OMNI1.7050.7941.9863.7243.987
4INA vs. V_INA0.8250.1181.0293.403.709
Change [%]−51.6−85.1−48.2−8.7−7.0
INA vs. OMNI0.4160.1843.2650.8652.845
5INA vs. V_INA0.1130.0502.9660.4552.687
Change [%]−72.8−72.8−9.2−47.4−5.6
Table 2. Effectiveness of subjective source direction localization for sounds (speech and music combined) obtained by the presented methods.
Table 2. Effectiveness of subjective source direction localization for sounds (speech and music combined) obtained by the presented methods.
Error IntervalMethod 1Method 2Method 3
0 , 10 78 % 41 % 65 %
10 , 20 11 % 12 % 18 %
20 , 30 0 % 24 % 0 %
30 , 40 11 % 6 % 6 %
>40 0 % 17 % 11 %
Table 3. Effectiveness of subjective source direction localization for sounds (speech only) obtained by the presented methods.
Table 3. Effectiveness of subjective source direction localization for sounds (speech only) obtained by the presented methods.
Error IntervalMethod 2Method 3
0 , 10 50 % 63 %
10 , 20 13 % 37 %
20 , 30 25 % 0 %
30 , 40 0 % 0 %
>40 12 % 0 %
Table 4. Effectiveness of subjective source direction localization for sounds (music only) obtained by the presented methods.
Table 4. Effectiveness of subjective source direction localization for sounds (music only) obtained by the presented methods.
Error IntervalMethod 2Method 3
0 , 10 34 % 67 %
10 , 20 11 % 0 %
20 , 30 22 % 0 %
30 , 40 11 % 11 %
>40 22 % 22 %
Disclaimer/Publisher’s Note: The statements, opinions and data contained in all publications are solely those of the individual author(s) and contributor(s) and not of MDPI and/or the editor(s). MDPI and/or the editor(s) disclaim responsibility for any injury to people or property resulting from any ideas, methods, instructions or products referred to in the content.

Share and Cite

MDPI and ACS Style

Mickiewicz, W.; Łazoryszczak, M. Spatial Sound Rendering Using Intensity Impulse Response and Cardioid Masking Function. Appl. Sci. 2025, 15, 1112. https://doi.org/10.3390/app15031112

AMA Style

Mickiewicz W, Łazoryszczak M. Spatial Sound Rendering Using Intensity Impulse Response and Cardioid Masking Function. Applied Sciences. 2025; 15(3):1112. https://doi.org/10.3390/app15031112

Chicago/Turabian Style

Mickiewicz, Witold, and Mirosław Łazoryszczak. 2025. "Spatial Sound Rendering Using Intensity Impulse Response and Cardioid Masking Function" Applied Sciences 15, no. 3: 1112. https://doi.org/10.3390/app15031112

APA Style

Mickiewicz, W., & Łazoryszczak, M. (2025). Spatial Sound Rendering Using Intensity Impulse Response and Cardioid Masking Function. Applied Sciences, 15(3), 1112. https://doi.org/10.3390/app15031112

Note that from the first issue of 2016, this journal uses article numbers instead of page numbers. See further details here.

Article Metrics

Back to TopTop