Metabolomic Insights into the Potential of Chestnut Biochar as a Functional Feed Ingredient
Abstract
1. Introduction
2. Materials and Methods
2.1. Production of Chestnut Agro-Residue Biochar
2.2. Evaluation of Chemical Characteristics and Composition of Chestnut Agro-Residue Biochar
2.3. Evaluation of the Mineral Content of Chestnut Agro-Residue Biochar
2.4. Scanning Electron Microscopy
2.5. Preparation of Water Extracts from the Chestnut Agro-Residue Biochar
2.6. QTOF HPLC MS/MS Metabolomic Characterization of the Chestnut Agro-Residue Biochar Extract
2.7. Evaluation of the Total Polyphenol Content of the Chestnut Agro-Residue Biochar Extract
2.8. Evaluation of the Antioxidant Capacity of the Chestnut Agro-Residue Biochar Extract
2.9. Evaluation of the Chestnut Agro-Residue Biochar Extract on E. coli Growth
2.10. Quorum Sensing Gene Expression in E. coli Treated with CB Extract
| Target | Nucleotide Sequence | Acc. N° | Size | Ref. |
|---|---|---|---|---|
| GapA | FW-GAAATGGGACGAAGTTGGTG Rv-AACCACTTTCTTCGCACCAG | NP_416293 | 104 bp | [22] |
| FliA | FW-GCTGGCTGTTATTGGTGTCG Rv-CAACTGGAGCAGGAACTTGG | NP_416432 | 112 bp | [22] |
| MotA | FW-CTTCCTCGGTTGTCGTCTGT Rv-CTATCGCCGTTGAGTTTGGT | NP_416404 | 120 bp | [22] |
| FtsE | FW-AAAGTACCCTCCTGAAGCTGATCTGTG Rv-GCGTGATGTCATGGCCGCTAAAC | NP_417920 | 81 bp | [22] |
| HflX | FW-TGTAGGTGAAGGTAAAGCAG Rv-CACGACACTCGCACAAACGC | NP_418594 | 128 bp | [22] |
2.11. Effects of Chestnut Agro-Residue Biochar Extract on Probiotic Strains
2.12. Statistical Analysis
3. Results
3.1. Chemical Composition and Mineral Content of the Chestnut Agro-Residue Biochar
3.2. Morphological Characterization
3.3. Chemical and Metabolomic Characterization of Chestnut Agro-Residue Biochar Extract
3.4. Evaluation of the Total Polyphenol Content and Antioxidant Capacity of Chestnut Agro-Residue Biochar Extract
3.5. Effects of Chestnut Agro-Residue Biochar Extract on E. coli Growth
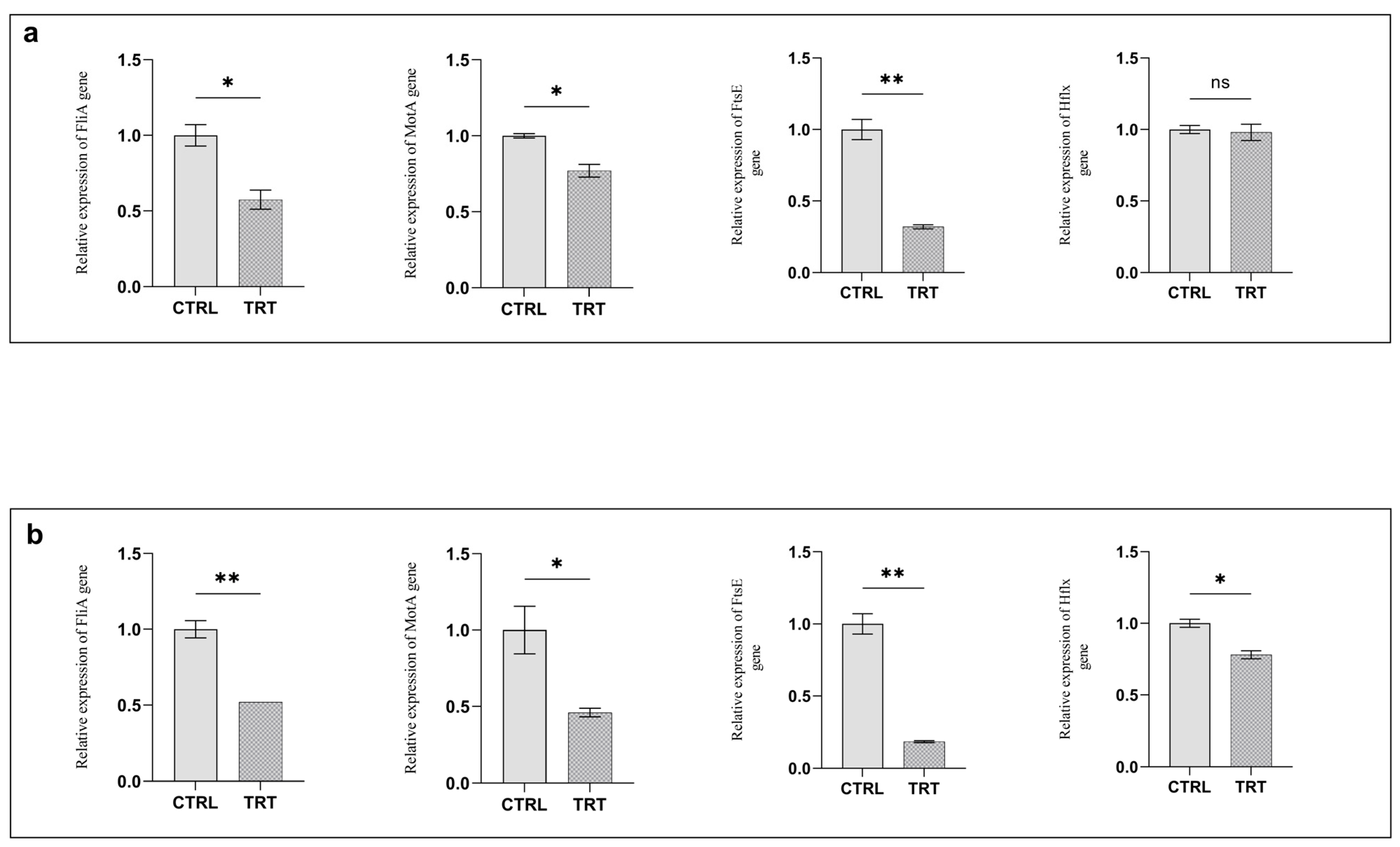
3.6. Quorum Sensing Gene Expression in E. coli Treated with Chestnut Agro-Residue Biochar Extract
3.7. Effects of Chestnut Agro-Residue Biochar Extract on Probiotic Strains
4. Discussion
5. Conclusions
Supplementary Materials
Author Contributions
Funding
Institutional Review Board Statement
Informed Consent Statement
Data Availability Statement
Conflicts of Interest
References
- Xiao, X.; Chen, B.; Chen, Z.; Zhu, L.; Schnoor, J.L. Insight into Multiple and Multilevel Structures of Biochars and Their Potential Environmental Applications: A Critical Review. Environ. Sci. Technol. 2018, 52, 5027–5047. [Google Scholar] [CrossRef]
- Giller, K.E.; Delaune, T.; Silva, J.V.; Descheemaeker, K.; van de Ven, G.; Schut, A.G.T.; van Wijk, M.; Hammond, J.; Hochman, Z.; Taulya, G.; et al. The Future of Farming: Who Will Produce Our Food? Food Secur. 2021, 13, 1073–1099. [Google Scholar] [CrossRef]
- FAO. World Livestock: Transforming the Livestock Sector through the Sustainable Development Goals; FAO: Rome, Italy, 2019; ISBN 978-92-5-130883-7. [Google Scholar]
- Ejileugha, C. Biochar Can Mitigate Co-Selection and Control Antibiotic Resistant Genes (ARGs) in Compost and Soil. Heliyon 2022, 8, e09543. [Google Scholar] [CrossRef] [PubMed]
- He, X.; Xiong, J.; Yang, Z.; Han, L.; Huang, G.Q. Exploring the Impact of Biochar on Antibiotics and Antibiotics Resistance Genes in Pig Manure Aerobic Composting Through Untargeted Metabolomics and Metagenomics. Bioresour. Technol. 2022, 352, 127118. [Google Scholar] [CrossRef] [PubMed]
- Kurniawan, T.A.; Othman, M.H.D.; Liang, X.; Goh, H.H.; Gikas, P.; Chong, K.-K.; Chew, K.W. Challenges and Opportunities for Biochar to Promote Circular Economy and Carbon Neutrality. J. Environ. Manag. 2023, 332, 117429. [Google Scholar] [CrossRef]
- Singh, E.; Mishra, R.; Kumar, A.; Shukla, S.K.; Lo, S.-L.; Kumar, S. Circular Economy-Based Environmental Management Using Biochar: Driving towards Sustainability. Process Saf. Environ. Prot. 2022, 163, 585–600. [Google Scholar] [CrossRef]
- Jindo, K.; Mizumoto, H.; Sawada, Y.; Sanchez-Monedero, M.A.; Sonoki, T. Physical and Chemical Characterization of Biochars Derived from Different Agricultural Residues. Biogeosciences 2014, 11, 6613–6621. [Google Scholar] [CrossRef]
- Ferraro, G.; Pecori, G.; Rosi, L.; Bettucci, L.; Fratini, E.; Casini, D.; Rizzo, A.M.; Chiaramonti, D. Biochar from Lab-Scale Pyrolysis: Influence of Feedstock and Operational Temperature. Biomass Convers. Biorefinery 2024, 14, 5901–5911. [Google Scholar] [CrossRef]
- Xie, Y.; Wang, L.; Li, H.; Westholm, L.J.; Carvalho, L.; Thorin, E.; Yu, Z.; Yu, X.; Skreiberg, Ø. A Critical Review on Production, Modification and Utilization of Biochar. J. Anal. Appl. Pyrolysis 2022, 161, 105405. [Google Scholar] [CrossRef]
- Gezae Daful, A.; Chandraratne, M.R.; Loridon, M. Recent Perspectives in Biochar Production, Characterization and Applications. In Recent Perspectives in Pyrolysis Research; IntechOpen: London, UK, 2022. [Google Scholar]
- Freitas, T.R.; Santos, J.A.; Silva, A.P.; Fraga, H. Influence of Climate Change on Chestnut Trees: A Review. Plants 2021, 10, 1463. [Google Scholar] [CrossRef]
- Szczurek, A. Perspectives on Tannins. Biomolecules 2021, 11, 442. [Google Scholar] [CrossRef] [PubMed]
- Basu, P. Biomass Gasification and Pyrolysis: Practical Design and Theory; Academic Press: Cambridge, MA, USA, 2010. [Google Scholar]
- Puig-Arnavat, M.; Bruno, J.C.; Coronas, A. Review and analysis of biomass gasification models. Renew. Sustain. Energy Rev. 2010, 14, 2841–2851. [Google Scholar] [CrossRef]
- Babu, B.V.; Sheth, P.N. Modeling and simulation of reduction zone of downdraft biomass gasifier: Effect of char reactivity factor. Energy Convers. Manag. 2006, 47, 2602–2611. [Google Scholar] [CrossRef]
- Latimer, J.W., Jr. (Ed.) Official Method of Analysis of AOAC, 22nd ed.; AOAC Internation: San Diego, CA, USA, 2023. [Google Scholar]
- Lou, Y.; Joseph, S.; Li, L.; Graber, E.R.; Liu, X.; Pan, G. Water Extract from Straw Biochar Used for Plant Growth Promotion: An Initial Test. Bioresources 2015, 11, 249–266. [Google Scholar] [CrossRef]
- Perez, M.; Lopez, I.D.; Lamuela-Raventos, R.M. The Chemistry Behind the Folin-Ciocalteu Method for the Estimation of (Poly)phenol Content in Food: Total Phenolic Intake in a Mediterranean Dietary Pattern. J. Agric. Food Chem. 2023, 71, 17543–17553. [Google Scholar] [CrossRef] [PubMed]
- Ilyasov, I.R.; Beloborodov, V.L.; Selivanova, I.A.; Terekhov, R.P. ABTS/PP Decolorization Assay of Antioxidant Capacity Reaction Pathways. Int. J. Mol. Sci. 2020, 21, 1131. [Google Scholar] [CrossRef] [PubMed]
- Rao, X.; Huang, X.; Zhou, Z.; Lin, X. An improvement of the 2ˆ(-delta delta CT) method for quantitative real-time polymerase chain reaction data analysis. Biostat. Bioinform. Biomath. 2013, 3, 71–85. [Google Scholar]
- Sun, T.; Li, X.D.; Hong, J.; Liu, C.; Zhang, X.L.; Zheng, J.P.; Xu, Y.J.; Ou, Z.Y.; Zheng, J.L.; Yu, D.J. Inhibitory Effect of Two Traditional Chinese Medicine Monomers, Berberine and Matrine, on the Quorum Sensing System of Antimicrobial–Resistant Escherichia coli. Front. Microbiol. 2019, 10, 2584. [Google Scholar] [CrossRef]
- Dell’Anno, M.; Callegari, M.L.; Reggi, S.; Caprarulo, V.; Giromini, C.; Spalletta, A.; Coranelli, S.; Sgoifo Rossi, C.A.; Rossi, L. Lactobacillus Plantarum and Lactobacillus Reuteri as Functional Feed Additives to Prevent Diarrhoea in Weaned Piglets. Animals 2021, 11, 1766. [Google Scholar] [CrossRef]
- Dell’Anno, M.; Giromini, C.; Reggi, S.; Cavalleri, M.; Moscatelli, A.; Onelli, E.; Rebucci, R.; Sundaram, T.S.; Coranelli, S.; Spalletta, A.; et al. Evaluation of Adhesive Characteristics of L. Plantarum and L. Reuteri Isolated from Weaned Piglets. Microorganisms 2021, 9, 1587. [Google Scholar] [CrossRef]
- Schoch, W.; Heller, I.; Schweingruber, F.H.; Kienast, F. Wood Anatomy of Central European Species; Swiss Federal Institute for Forest: Birmensdorf, Switzerland, 2004. [Google Scholar]
- Devi, P.; Dalai, A.K. Occurrence, Distribution, and Toxicity Assessment of Polycyclic Aromatic Hydrocarbons in Biochar, Biocrude, and Biogas Obtained from Pyrolysis of Agricultural Residues. Bioresour. Technol. 2023, 384, 129293. [Google Scholar] [CrossRef]
- Leng, L.; Xiong, Q.; Yang, L.; Li, H.; Zhou, Y.; Zhang, W.; Jiang, S.; Li, H.; Huang, H. An Overview on Engineering the Surface Area and Porosity of Biochar. Sci. Total Environ. 2021, 763, 144204. [Google Scholar] [CrossRef] [PubMed]
- Grottola, C.M.; Giudicianni, P.; Stanzione, F.; Ragucci, R. Influence of Pyrolysis Temperature on Biochar Produced from Lignin–Rich Biorefinery Residue. ChemEngineering 2022, 6, 76. [Google Scholar] [CrossRef]
- Hossain, M.K.; Strezov, V.; Chan, K.Y.; Ziolkowski, A.; Nelson, P.F. Influence of Pyrolysis Temperature on Production and Nutrient Properties of Wastewater Sludge Biochar. J. Environ. Manag. 2011, 92, 223–228. [Google Scholar] [CrossRef] [PubMed]
- Bespyatykh, O.Y.; Kokorina, A.E.; Domskii, I.A. State of Antioxidant System of Furbearers after Injection of Succinic Acid. Russ. Agric. Sci. 2011, 37, 516–519. [Google Scholar] [CrossRef]
- Barreira, J.C.M.; Ferreira, I.C.F.R.; Oliveira, M.B.P.P. Bioactive Compounds of Chestnut (Castanea sativa Mill.). In Bioactive Compounds in Underutilized Fruits and Nuts. Reference Series in Phytochemistry; Murthy, H., Bapat, V., Eds.; Springer: Cham, Switzerland, 2020. [Google Scholar] [CrossRef]
- Campos, F.M.; Couto, J.A.; Figueiredo, A.R.; Tóth, I.V.; Rangel, A.O.S.S.; Hogg, T.A. Cell Membrane Damage Induced by Phenolic Acids on Wine Lactic Acid Bacteria. Int. J. Food Microbiol. 2009, 135, 144–151. [Google Scholar] [CrossRef]
- Khan, S.A.; Chatterjee, S.S.; Kumar, V. Low Dose Aspirin like Analgesic and Anti-Inflammatory Activities of Mono-Hydroxybenzoic Acids in Stressed Rodents. Life Sci. 2016, 148, 53–62. [Google Scholar] [CrossRef]
- Lameirão, F.; Pinto, D.; Vieira, E.F.; Peixoto, A.F.; Freire, C.; Sut, S.; Dall’Acqua, S.; Costa, P.; Delerue-Matos, C.; Rodrigues, F. Green-Sustainable Recovery of Phenolic and Antioxidant Compounds from Industrial Chestnut Shells Using Ultrasound-Assisted Extraction: Optimization and Evaluation of Biological Activities In Vitro. Antioxidants 2020, 9, 267. [Google Scholar] [CrossRef] [PubMed]
- Rutherford, S.T.; Bassler, B.L. Bacterial Quorum Sensing: Its Role in Virulence and Possibilities for Its Control. Cold Spring Harb. Perspect. Med. 2012, 2, a012427. [Google Scholar] [CrossRef]
- Sun, Y.; Kim, S.W. Intestinal Challenge with Enterotoxigenic Escherichia Coli in Pigs, and Nutritional Intervention to Prevent Postweaning Diarrhea. Anim. Nutr. 2017, 3, 322–330. [Google Scholar] [CrossRef]
- Clarke, M.B.; Sperandio, V. Transcriptional Regulation of FlhDC by QseBC and σ 28 (FliA) in Enterohaemorrhagic Escherichia coli. Mol. Microbiol. 2005, 57, 1734–1749. [Google Scholar] [CrossRef] [PubMed]
- Fitzgerald, D.M.; Bonocora, R.P.; Wade, J.T. Comprehensive Mapping of the Escherichia Coli Flagellar Regulatory Network. PLoS Genet. 2014, 10, e1004649. [Google Scholar] [CrossRef] [PubMed]
- Mallik, S.; Dodia, H.; Ghosh, A.; Srinivasan, R.; Good, L.; Raghav, S.K.; Beuria, T.K. FtsE, the Nucleotide Binding Domain of the ABC Transporter Homolog FtsEX, Regulates Septal PG Synthesis in E. coli. Microbiol. Spectr. 2023, 11, e02863-22. [Google Scholar] [CrossRef] [PubMed]
- Shields, M.J.; Fischer, J.J.; Wieden, H.-J. Toward Understanding the Function of the Universally Conserved GTPase HflX from Escherichia Coli: A Kinetic Approach. Biochemistry 2009, 48, 10793–10802. [Google Scholar] [CrossRef] [PubMed]
- Dey, S.; Biswas, C.; Sengupta, J. The Universally Conserved GTPase HflX Is an RNA Helicase That Restores Heat-Damaged Escherichia Coli Ribosomes. J. Cell Biol. 2018, 217, 2519–2529. [Google Scholar] [CrossRef]
- Seely, S.M.; Gagnon, M.G. Mechanisms of Ribosome Recycling in Bacteria and Mitochondria: A Structural Perspective. RNA Biol. 2022, 19, 662–677. [Google Scholar] [CrossRef]
- Rodríguez-Herva, J.J.; Duque, E.; Molina-Henares, M.A.; Navarro-Avilés, G.; Van Dillewijn, P.; De La Torre, J.; Molina-Henares, A.J.; La Campa, A.S.; Ran, F.A.; Segura, A.; et al. Physiological and Transcriptomic Characterization of a FliA Mutant of Pseudomonas putida KT2440. Environ. Microbiol. Rep. 2010, 2, 373–380. [Google Scholar] [CrossRef] [PubMed]
- Souquere, S.; Mollet, S.; Kress, M.; Dautry, F.; Pierron, G.; Weil, D. Unravelling the Ultrastructure of Stress Granules and Associated P-Bodies in Human Cells. J. Cell Sci. 2009, 122, 3619–3626. [Google Scholar] [CrossRef]
- Srivastava, N.; Tiwari, S.; Bhandari, K.; Biswal, A.K.; Rawat, A.K.S. Novel Derivatives of Plant Monomeric Phenolics: Act as Inhibitors of Bacterial Cell-to-Cell Communication. Microb. Pathog. 2020, 141, 103856. [Google Scholar] [CrossRef] [PubMed]
- Zhou, J.-W.; Ji, P.-C.; Jiang, H.; Tan, X.-J.; Jia, A.-Q. Quorum Sensing Inhibition and Metabolic Intervention of 4-Hydroxycinnamic Acid Against Agrobacterium Tumefaciens. Front. Microbiol. 2022, 13, 830632. [Google Scholar] [CrossRef] [PubMed]
- Yang, F.; Zhou, Y.; Liu, W.; Tang, W.; Meng, J.; Chen, W.; Li, X. Strain-Specific Effects of Biochar and Its Water-Soluble Compounds on Bacterial Growth. Appl. Sci. 2019, 9, 3209. [Google Scholar] [CrossRef]
- Chu, G.M.; Kim, J.H.; Kim, H.Y.; Ha, J.H.; Jung, M.S.; Song, Y.; Cho, J.H.; Lee, S.J.; Ibrahim, R.I.H.; Lee, S.S.; et al. Effects of bamboo charcoal on the growth performance, blood characteristics and noxious gas emission in fattening pigs. J. Appl. Anim. Res. 2013, 41, 48–55. [Google Scholar] [CrossRef]





| Mineral | Content (g kg−1) | Mineral | Content (mg kg−1) | Mineral | Content (mg kg−1) |
|---|---|---|---|---|---|
| Na | 10.34 ± 1.70 | Cr | 66.56 ± 8.22 | Zn | 1477.47 ± 321.71 |
| Mg | 7.36 ± 1.16 | Mn | 721.99 ± 170 | As | 2.06 ± 0.41 |
| Al | 2.74 ± 0.11 | Fe | 6720 ± 0.61 | Se | 0.15 ± 0.05 |
| P | 3.34 ± 0.62 | Co | 1.93 ± 0.51 | Mo | 2.38 ± 1.59 |
| K | 33.56 ± 3.06 | Ni | 28.72 ± 6.66 | Cd | 0.20 ± 0.04 |
| Ca | 9.31 ± 1.09 | Cu | 59.89 ± 1.50 | Pb | 8.05 ± 0.39 |
| Component | Formula | Area | Retention Time | Adduct |
|---|---|---|---|---|
| 4-Hydroxybenzoic acid | C7H6O3 | 108,484 | 8.35 | [M-H]− |
| Azelaic acid | C9H16O4 | 1,830,729 | 8.02 | [M-H]− |
| Succinic acid | C4H6O4 | 365,375 | 1.67 | [M-H]− |
| 6-Methylcoumarin | C10H8O2 | 20,094 | 8.15 | [M-H]+ |
| 7-Methoxycoumarin | C10H8O3 | 118,168 | 7.97 | [M-H]+ |
| 7-Hydroxycoumarin | C9H6O3 | 337,625 | 6.98 | [M-H]+ |
Disclaimer/Publisher’s Note: The statements, opinions and data contained in all publications are solely those of the individual author(s) and contributor(s) and not of MDPI and/or the editor(s). MDPI and/or the editor(s) disclaim responsibility for any injury to people or property resulting from any ideas, methods, instructions or products referred to in the content. |
© 2025 by the authors. Licensee MDPI, Basel, Switzerland. This article is an open access article distributed under the terms and conditions of the Creative Commons Attribution (CC BY) license (https://creativecommons.org/licenses/by/4.0/).
Share and Cite
Reggi, S.; Frazzini, S.; Pedrazzi, S.; Ghidoli, M.; Torresani, M.C.; Puglia, M.; Morselli, N.; Guagliano, M.; Cristiani, C.; Pilu, S.R.; et al. Metabolomic Insights into the Potential of Chestnut Biochar as a Functional Feed Ingredient. Appl. Sci. 2025, 15, 1084. https://doi.org/10.3390/app15031084
Reggi S, Frazzini S, Pedrazzi S, Ghidoli M, Torresani MC, Puglia M, Morselli N, Guagliano M, Cristiani C, Pilu SR, et al. Metabolomic Insights into the Potential of Chestnut Biochar as a Functional Feed Ingredient. Applied Sciences. 2025; 15(3):1084. https://doi.org/10.3390/app15031084
Chicago/Turabian StyleReggi, Serena, Sara Frazzini, Simone Pedrazzi, Martina Ghidoli, Maria Claudia Torresani, Marco Puglia, Nicolò Morselli, Marianna Guagliano, Cinzia Cristiani, Salvatore Roberto Pilu, and et al. 2025. "Metabolomic Insights into the Potential of Chestnut Biochar as a Functional Feed Ingredient" Applied Sciences 15, no. 3: 1084. https://doi.org/10.3390/app15031084
APA StyleReggi, S., Frazzini, S., Pedrazzi, S., Ghidoli, M., Torresani, M. C., Puglia, M., Morselli, N., Guagliano, M., Cristiani, C., Pilu, S. R., Onelli, E., Moscatelli, A., & Rossi, L. (2025). Metabolomic Insights into the Potential of Chestnut Biochar as a Functional Feed Ingredient. Applied Sciences, 15(3), 1084. https://doi.org/10.3390/app15031084

