Flexural Wave Propagation and Defect States of Periodic Slab Track Structure in High-Speed Railway
Abstract
1. Introduction
2. Flexural Wave Analysis Model for Unit Slab Track Structure
3. Bandgap Characteristics of Slab Track Structure
3.1. Model Parameters
3.2. Bandgaps
3.3. Vibration Transmission
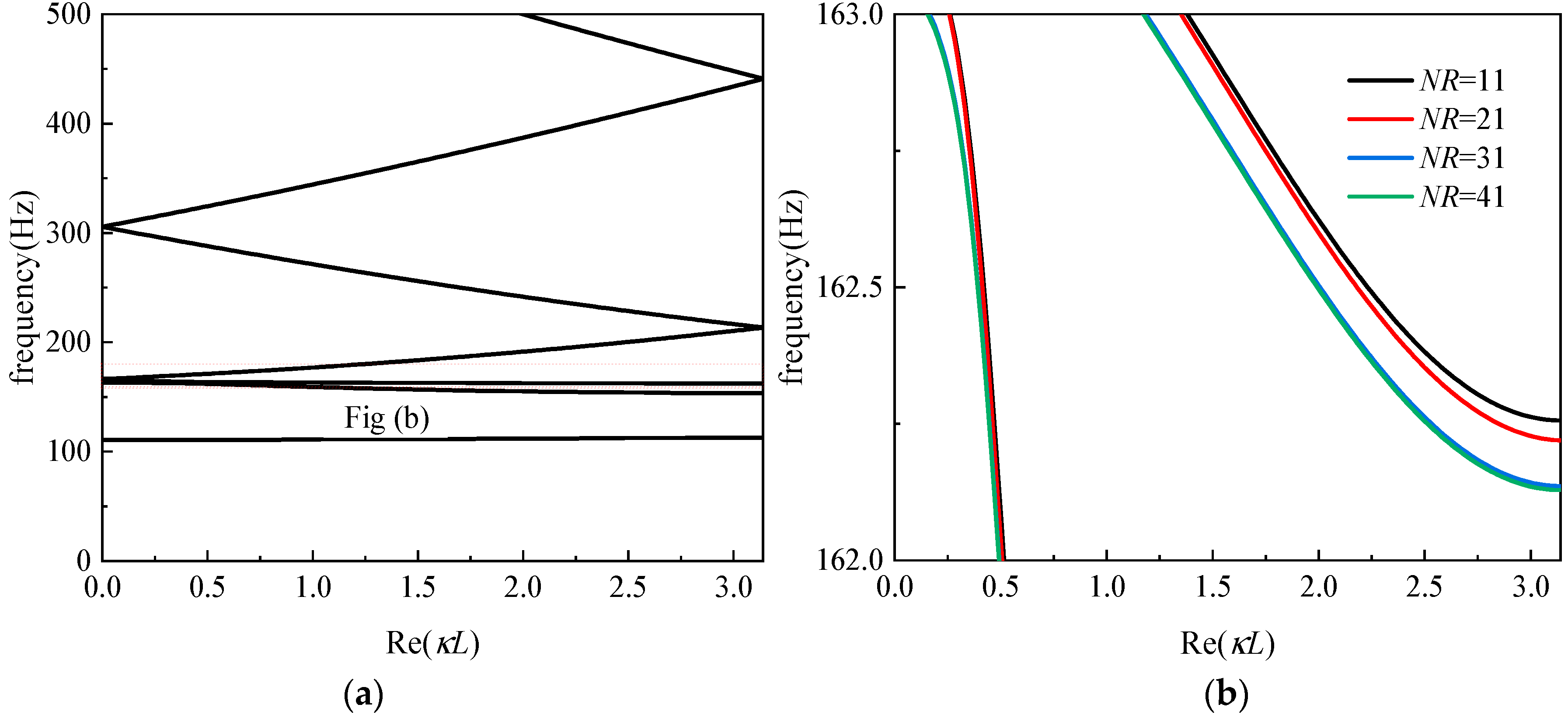
3.4. Parameter Analysis
4. Defect State Analysis of Slab Track
4.1. Characteristics of the Defective State
4.2. Influence of Defect Size and Location
5. Conclusions
Author Contributions
Funding
Institutional Review Board Statement
Informed Consent Statement
Data Availability Statement
Conflicts of Interest
References
- Bogacz, R.; Czyczula, W.; Konowrocki, R. Effect of periodicity of railway track and wheel-rail interaction on wheelset-track dynamics. Arch. Appl. Mech. 2015, 85, 1321–1330. [Google Scholar] [CrossRef][Green Version]
- Matias, S.R.; Ferreira, P.A. Railway slab track systems: Review and research potentials. Struct. Infrastruct. Eng. 2020, 16, 1635–1653. [Google Scholar] [CrossRef]
- Zhang, L.; Sheng, X. A review on the research progress of mechanical meta-structures and their applications in rail transit. Intell. Transp. Infrastruct. 2022, 1, liac010. [Google Scholar] [CrossRef]
- Jo, S.H.; Yoon, H.; Shin, Y.C.; Choi, W.; Park, C.S.; Kim, M.; Youn, B.D. Designing a phononic crystal with a defect for energy localization and harvesting: Supercell size and defect location. Int. J. Mech. Sci. 2020, 179, 105670. [Google Scholar] [CrossRef]
- Jo, S.H.; Yoon, H.; Shin, Y.C.; Youn, B.D. Revealing defect-mode-enabled energy localization mechanisms of a one-dimensional phononic crystal. Int. J. Mech. Sci. 2022, 215, 106950. [Google Scholar] [CrossRef]
- Li, Y.; Cottereau, R.; Tie, B. Defect modes in imperfect periodic structures. J. Phys. Conf. Ser. 2024, 2822, 012146. [Google Scholar] [CrossRef]
- Sheng, X.; Li, M.H. Propagation constants of railway tracks as a periodic structure. J. Sound Vib. 2007, 299, 1114–1123. [Google Scholar] [CrossRef]
- Peng, Y.H.; Sheng, X.Z.; Cheng, G. Modelling track and ground vibrations for a slab ballastless track as an infinitely long periodic structure subject to a moving harmonic load. J. Sound Vib. 2020, 489, 115760. [Google Scholar] [CrossRef]
- Feng, Q.S.; Dai, C.X.; Guo, W.J.; Yang, Z.; Lu, J.F. A Hybrid Solution for Band-Gap Analysis of Vertical Vibration for Periodic Beam-Plate Coupled Systems Based on Variation Principle. Int. J. Struct. Stab. Dyn. 2021, 21, 2150173. [Google Scholar] [CrossRef]
- Liu, J.; Feng, Q.S.; Yang, Z.; Chen, Y. Complex Dispersion Analysis of Flexural Wave Propagation in Periodic Track Structure. Int. J. Struct. Stab. Dyn. 2024, 2550197. [Google Scholar] [CrossRef]
- Zhang, X.Y.; Thompson, D.J.; Li, Q.; Kostovasilis, D.; Toward, M.G.R.; Squicciarini, G.; Ryue, J. A model of a discretely supported railway track based on a 2.5D finite element approach. J. Sound Vib. 2019, 438, 153–174. [Google Scholar] [CrossRef]
- Yang, C.; Kaynardag, K.; Salamone, S. Investigation of wave propagation and attenuation in periodic supported rails using wave finite element method. Acta Mech. 2024, 235, 1453–1469. [Google Scholar] [CrossRef]
- Wang, P.; Yi, Q.; Zhao, C.Y.; Xing, M.T.; Tang, J. Wave propagation in periodic track structures: Band-gap behaviours and formation mechanisms. Arch. Appl. Mech. 2017, 87, 503–519. [Google Scholar] [CrossRef]
- Wang, P.; Yi, Q.; Zhao, C.Y.; Xing, M.T. Elastic wave propagation characteristics of periodic track structure in high-speed railway. J. Vib. Control 2019, 25, 517–528. [Google Scholar] [CrossRef]
- Zhao, C.Y.; Geng, M.J.; Wang, Y.Z.; Hui, Q.M.; Zhang, X.H.; Lei, J.X.; Wang, P. Vibration band gap characteristics of high-speed railway ballasted track structure and their influence on vibration transmission. J. Cent. South Univ. 2023, 30, 2740–2756. [Google Scholar] [CrossRef]
- Zhao, C.Y.; Hui, Q.M.; Wang, P.; Zhang, X.H.; Geng, M.J.; Wang, Y.Z. Characterization of elastic wave propagation in high-speed railway tracks considering temperature effects. J. Vib. Control 2024. [Google Scholar] [CrossRef]
- Cui, R.X.; Zhou, J.S.; Gong, D. Band Gap and Vibration Reduction Properties of Damped Rail with Two-Dimensional Honeycomb Phononic Crystals. Shock Vib. 2021, 1, 8814962. [Google Scholar] [CrossRef]
- Zhao, C.Y.; Shi, D.J.; Zheng, J.Y.; Niu, Y.W.; Wang, P. New floating slab track isolator for vibration reduction using particle damping vibration absorption and bandgap vibration resistance. Constr. Build. Mater. 2022, 336, 127561. [Google Scholar] [CrossRef]
- Jin, H.; Li, Z. Band Gap Analysis of Improved Point-Supporting Structure for Floating-Slab Track Through Theoretical Model. J. Vib. Eng. Technol. 2022, 10, 55–69. [Google Scholar] [CrossRef]
- Iqbal, M.; Kumar, A. Flexural waves analysis and enhancement of bandgap properties of a periodic track structure. Proc. Inst. Mech. Eng. Part E J. Process Mech. Eng. 2024, 238, 2069–2079. [Google Scholar] [CrossRef]
- Ren, J.J.; Deng, S.J.; Zhang, K.Y.; Du, W.; Wu, Q.H. Design theories and maintenance technologies of slab tracks for high-speed railways in China: A review. Transp. Saf. Environ. 2021, 3, tdab024. [Google Scholar] [CrossRef]
- Dong, W.; Wang, X.; He, Q.; Ren, J. A survey of Ballastless track defects in China’s high-speed railway after ten years of service. Intell. Transp. Infrastruct. 2022, 1, liac023. [Google Scholar] [CrossRef]
- Wang, J.; Gao, L.; Wang, L.D.; Zhao, W.Q.; Qin, Y.; Hua, C.; Li, Y.W. Evolution Mechanism of Interlayer Properties of CRTS III Slab Track during Construction. Appl. Sci. 2024, 14, 704. [Google Scholar] [CrossRef]
- Ren, J.J.; Liu, W.G.; Lai, J.L.; Ye, W.L.; Deng, S.J.; Liu, X.Y.; Tan, B. Performance deterioration and structural state diagnosis of slab tracks for high-speed railways: A review. Eng. Fail. Anal. 2024, 158, 107955. [Google Scholar] [CrossRef]
- Wu, W.; Liu, P.; Gong, Y.F. Interfacial separation in CRTS II type slab track structure subjected to continuous high temperatures: Thermal and moisture effects. Appl. Therm. Eng. 2025, 261, 04016041. [Google Scholar] [CrossRef]
- Wang, T.; Jia, H.Q.; Liu, Z.K.; Wei, Z.; Xie, X.; Wu, S.L.; Li, H.Y. Experimental study of the gap between track slab and cement asphalt mortar layer in CRTS I slab track. J. Mod. Transp. 2018, 26, 173–178. [Google Scholar] [CrossRef]
- Sun, S.W.; Xu, Q.Y. Experimental study on the interface fatigue between track slab and self-compacting concrete for CRTS III slab track. Eng. Fail. Anal. 2023, 150, 107302. [Google Scholar] [CrossRef]
- Feng, Q.S.; Chao, H.Y.; Lei, X.Y. In Influence of the Seam between Slab and CA Mortar of CRTSII Ballastless Track on Vibration Characteristics of Vehicle-Track System. In Proceedings of the 10th International Conference on Structural Dynamics (EURODYN), Rome, Italy, 10–13 September 2017; Faculty of Civil and Industrial Engineering, Sapienza University of Rome: Rome, Italy, 2017. [Google Scholar]
- Zhu, S.Y.; Cai, C.B. Interface damage and its effect on vibrations of slab track under temperature and vehicle dynamic loads. Int. J. Non-Linear Mech. 2014, 58, 222–232. [Google Scholar] [CrossRef]
- Zhu, S.Y.; Cai, C.B.; Zhai, W.M. Interface Damage Assessment of Railway Slab Track Based on Reliability Techniques and Vehicle-Track Interactions. J. Transp. Eng. 2016, 142, 04016041. [Google Scholar] [CrossRef]
- Zeng, Z.P.; Xiao, Y.C.; Wang, W.D.; Huang, Z.B.; Wei, W.; Houdou, S.B. Research on Dynamic Performance of CRTSIII Type Slab Ballastless Track under Long-Term Service. Materials 2022, 15, 2033. [Google Scholar] [CrossRef]
- Xin, X.; Ren, Z.S. The Effect of Interface Damage between Slab and Mortar Layer on the Dynamic Performances of Vehicle and Track Systems under the High Frequency Train Loads. Appl. Sci. 2022, 12, 4555. [Google Scholar] [CrossRef]
- Auersch, L.; Said, S. Track-soil dynamics-Calculation and measurement of damaged and repaired slab tracks. Transp. Geotech. 2017, 12, 1–14. [Google Scholar] [CrossRef]
- Li, Z.W.; Liu, X.Z.; Yang, F.; Zhang, L.W. Mud Pumping Defect Detection of High-Speed Rail Slab Track Based on Track Geometry Data. J. Transp. Eng. Part A Syst. 2022, 148, 04022023. [Google Scholar] [CrossRef]
- Yi, Q.; Zhao, C.Y.; Wang, P. Characteristics of defect states in periodic railway track structure. J. Low Freq. Noise Vib. Act. Control 2022, 41, 196–208. [Google Scholar] [CrossRef]
- Waki, Y.; Mace, B.R.; Brennan, M.J. Numerical issues concerning the wave and finite element method for free and forced vibrations of waveguides. J. Sound Vib. 2009, 327, 92–108. [Google Scholar] [CrossRef]
- Didier, C.; Louise, E.M.; Denis, A. Periodic BEM and FEM-BEM couplin. Comput. Mech. 2000, 25, 567–577. [Google Scholar]
- Zhai, W. Vehicle–Track Coupled Dynamics Models; Springer: Singapore, 2020. [Google Scholar]
- Miranda, E.J.P., Jr.; Dos Santos, J.M.C. Flexural Wave Band Gaps in Phononic Crystal Euler-Bernoulli Beams Using Wave Finite Element and Plane Wave Expansion Methods. Mater. Res. 2017, 20, 729–742. [Google Scholar] [CrossRef]











| Elastic Modulus of Rail (Pa) | Rail Density (kg/m3) | Rail Sectional Area (m2) | Inertial Moment of Rail (m4) | Stiffness of Fastening (N/m) | Fastening Spacing (m) |
|---|---|---|---|---|---|
| 2.1 × 1011 | 7850 | 7.745 × 10−3 | 3217 × 10−8 | 35 × 106 | 0.625 |
| Slab Density (kg/m) | Elastic Modulus of slab (Pa) | Slab Thickness (m) | SCC Thickness (m) | Length of Slab (m) | Stiffness of Isolation Layer (N/m3) |
| 2500 | 3.5 × 1010 | 0.2 | 0.09 | 5.6 | 4 × 108 |
| Modal Order | 1 | 2 | 3 | 4 | 5 | 6 | 7 | 8 | 9 | 10 | 11 | 12 |
| Frequency (Hz) | Rigid | 35.4 | 98.0 | 192.1 | 317.6 | 474.5 | 662.8 | 882.4 | 1133.4 | 1415.9 | 1729.6 | |
| n | 1 | 2 | 3 | 4 | 5 | 6 | 7 | 8 | 9 |
| Frequency (Hz) | 16.5 | 66.0 | 148.5 | 264.0 | 412.5 | 594.0 | 808.5 | 1056.0 | 1336.5 |
| Order | Frequency (Hz) | Bandgap Description | Formation Mechanism |
|---|---|---|---|
| 1 | 0~110.6 | In-phase resonance between rail and slab | Local resonance |
| 2 | 111~111.6 | Rail and slab exhibit in-phase motion, and the wavelength of the bending wave in rail is twice the length of the slab. λ = 2L (n = 1) | Bragg scattering |
| 3 | 116.7~118.8 | Rail and slab move in-phase, and the length of the bending wave of rail is equivalent to the length of the slab. λ = L (n = 2) | Bragg scattering |
| 4 | 125~151.1 | Slab bending resonance | Local resonance |
| 5 | 152.3~163 | Slab bending resonance, and out of phase motion between rail and slab | Local resonance |
| 6 | 163.9~164 | Rail and slab move out of phase, and the wavelength of the bending wave of rail is twice the length of slab. λ = 2L (n = 1) | Bragg scattering |
| 7 | 173.3~176.7 | Rail and slab move out of phase, and the bending wave length of rail is equivalent to the slab length. λ = L (n = 2) | Bragg scattering |
| 8 | 209.7~216.4 | The half-wavelength of the rail bending wave is equal to 1/3 the length of the slab. λ = 2L/3 (n = 3) | Bragg scattering |
| 9 | 225.9~231.8 | Bending resonance of slab | Local resonance |
| 10 | 304.3~306.7 | The half-wavelength of the rail bending wave is equal to 1/4 the length of the slab. λ = 2L/4 (n = 4) | Bragg scattering |
| 11 | 337.4~339.3 | Bending resonance of slab | Local resonance |
| 12 | 440.5~441.3 | The half-wavelength of the rail bending wave is equal to 1/5 the length of the slab. λ = 2L/5 (n = 5) | Bragg scattering |
| 13 | 485.8~486.5 | Bending resonance of slab | Local resonance |
| 14 | 614.7~615.1 | The half-wavelength of the rail bending wave is equal to 1/6 the length of the slab. λ = 2L/6 (n = 6) | Bragg scattering |
| 15 | 668.1~668.4 | Bending resonance of slab | Local resonance |
| 16 | 824.9~825.1 | The half-wavelength of the rail bending wave is equal to 1/7 the length of the slab. λ = 2L/7 (n = 7) | Bragg scattering |
| 17 | 883~883.2 | Bending resonance of slab | Local resonance |
| 18 | 1070~1070.1 | The half-wavelength of the rail bending wave is equal to 1/8 the length of the slab. λ = 2L/8 (n = 8) | Bragg scattering |
| 19 | 1130~1130.1 | Bending resonance of slab | Local resonance |
| 20 | 1340~1357 | The half-wavelength of the rail bending wave is equal to 1/9 the length of the slab. λ = 2L/9 (n = 9) | Bragg scattering |
| 21 | 1409~1409.1 | Bending resonance of slab | Local resonance |
Disclaimer/Publisher’s Note: The statements, opinions and data contained in all publications are solely those of the individual author(s) and contributor(s) and not of MDPI and/or the editor(s). MDPI and/or the editor(s) disclaim responsibility for any injury to people or property resulting from any ideas, methods, instructions or products referred to in the content. |
© 2025 by the authors. Licensee MDPI, Basel, Switzerland. This article is an open access article distributed under the terms and conditions of the Creative Commons Attribution (CC BY) license (https://creativecommons.org/licenses/by/4.0/).
Share and Cite
Yi, Q.; Wu, Z.; Zhao, L.; Li, Z.; Wang, S. Flexural Wave Propagation and Defect States of Periodic Slab Track Structure in High-Speed Railway. Appl. Sci. 2025, 15, 1070. https://doi.org/10.3390/app15031070
Yi Q, Wu Z, Zhao L, Li Z, Wang S. Flexural Wave Propagation and Defect States of Periodic Slab Track Structure in High-Speed Railway. Applied Sciences. 2025; 15(3):1070. https://doi.org/10.3390/app15031070
Chicago/Turabian StyleYi, Qiang, Zeyu Wu, Lei Zhao, Zhiheng Li, and Shuguo Wang. 2025. "Flexural Wave Propagation and Defect States of Periodic Slab Track Structure in High-Speed Railway" Applied Sciences 15, no. 3: 1070. https://doi.org/10.3390/app15031070
APA StyleYi, Q., Wu, Z., Zhao, L., Li, Z., & Wang, S. (2025). Flexural Wave Propagation and Defect States of Periodic Slab Track Structure in High-Speed Railway. Applied Sciences, 15(3), 1070. https://doi.org/10.3390/app15031070

