Experimental and Numerical Research on End-Wall Flow Mechanism of High-Loading Tandem Stators
Abstract
1. Introduction
2. Research Object and Method
2.1. Research Object
2.2. Research Methodology
2.2.1. Experimental Methods
2.2.2. Numerical Methods and Grid Settings
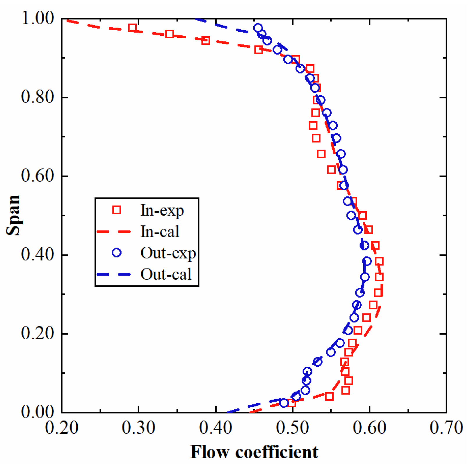
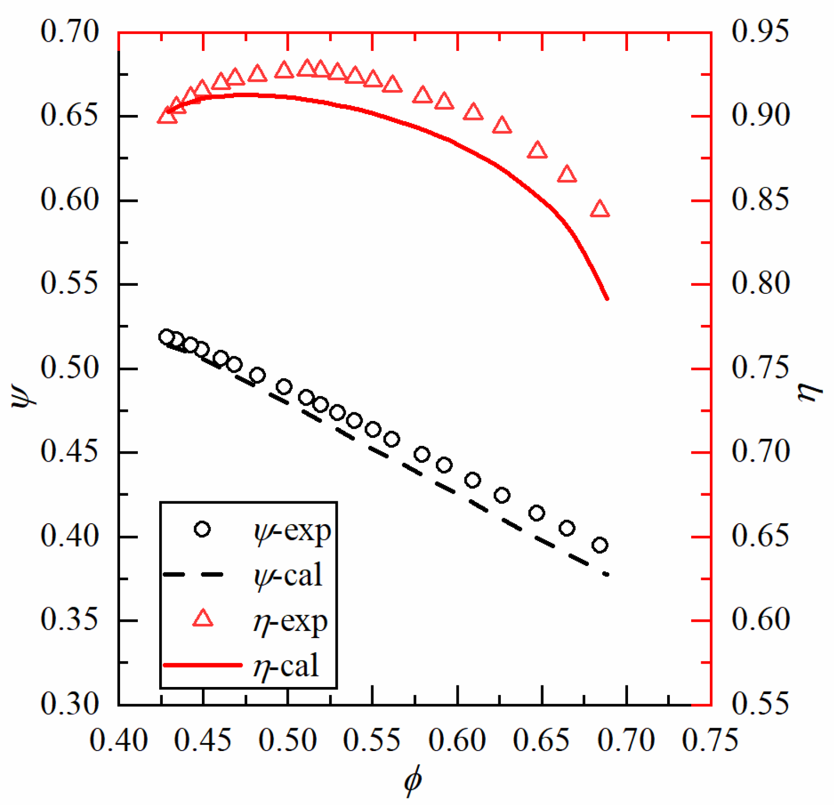
2.3. Verification of Numerical Simulation Methods
3. Loss Distribution of Tandem Stators
- (1)
- The variation in FB loss followed a pattern similar to that of conventional stators. And the FB loss accounted for a high proportion and played a decisive role in the total loss.
- (2)
- The variation in RB loss was significantly different from that of conventional stators. Specifically, the loss in the mid-span region of the RB steadily increased, with its proportion reaching over 60% near the stall condition. This highlights the pronounced impact on performance at low flow rates.
- (3)
- In contrast to general trends, the total pressure loss and loss proportion within the root regions of the RB gradually decreased.
4. Loss Mechanism of Tandem Stators
4.1. Development and Evolution Mechanism of FB Corner Separation
4.2. Evolution Mechanism of FB Corner Separation Within the RB Channel
4.3. Development and Evolution Mechanism of RB Corner Separation
5. Corner Stall of Tandem Stators
6. Conclusions
- (1)
- In the context of tandem stator performance, the evolution of losses exhibited distinct characteristics: Although the loss variation pattern of the FB was similar to that of a conventional stator, its corner region was affected by the RB, leading to slight differences in the end-wall regions. The variation pattern of RB loss was significantly different from that of a conventional stator; specifically, the loss in the mid-span region of the blade gradually increased, reaching a proportion exceeding 60% at NS. Meanwhile, the total pressure loss and its proportion in the RB root region gradually decreased.
- (2)
- The effect of the RB on the corner separation of the FB in tandem stators involves two contrasting mechanisms. On one hand, the acceleration of the flow in the gap between the FB and RB reduced the reverse pressure gradient on the suction surface of the FB, thereby mitigating boundary layer separation and reducing associated losses. On the other hand, the presence of the RB caused a stagnation effect that increased the load on the FB, which in turn exacerbated corner separation and increased losses in the corner region. Ultimately, these opposing effects contributed to an overall increase in losses in the end-wall region, where corner separation played a dominant role.
- (3)
- The low-energy fluid generated by corner separation in the FB was more susceptible to migrating towards the mid-span of the blade due to the circumferential pressure difference within the RB channel. This flow dynamic ultimately led to an accumulation of low-energy fluid at the mid-span region, causing significant losses in this area. Moreover, the substantial circumferential pressure difference at the front of the RB, combined with the low-energy fluid in the boundary layer at the RB inlet, predisposed the RB to forming corner separations. However, as the flow coefficient decreased, the increasing wake and corner separation from the FB created more blockage in the RB’s path, which gradually reduced the load on the RB. Consequently, despite the initial tendency for corner separation, the RB’s corner separation did not deteriorate further.
- (4)
- The corner stall occurred in the FB of the tandem stator, and the stalled cluster caused significant blockage within the RB channel due to the reverse pressure gradient and circumferential pressure difference on the RB. This phenomenon resulted in higher losses in the corner region compared to a conventional blade, underscoring the need for greater attention to these factors in the design of tandem stators.
Author Contributions
Funding
Institutional Review Board Statement
Informed Consent Statement
Data Availability Statement
Conflicts of Interest
Nomenclature
| PIV | Particle image velocimetry | 
| DF | Diffusion factor | 
| FB | Front blade | 
| RB | Rear blade | 
| AO | Axial overlap | 
| PP | Pitch position | 
| LSLSAC | Low speed large scale axial compressor | 
| IGV | Inlet guide vane | 
| S0 | Inlet stage stator | 
| R1 | First stage rotor | 
| S1 | First stage stator | 
| OGV | Outlet guide vane | 
| 3D | Three-dimensional print | 
| NC | Near blockage condition | 
| DE | Design condition | 
| ME | Maximum efficiency condition | 
| NS | Near-stall condition | 
| AVDR | Axial dense flow ratio | 
| t | Pitch offset | 
| s | Pitch of blades | 
| Chord of FB blades | |
| Chord of RB blades | |
| Effective chord | |
| Effective solidity | |
| Effective pitch of blades | |
| Flow coefficient | |
| Loading coefficient | |
| Efficiency | |
| Axial velocity | |
| Mid-span rotating speed | |
| Total pressure loss coefficients of stators | |
| Total pressure loss coefficient at hub | |
| Total pressure loss coefficient at mid-span | |
| Total pressure loss coefficient at shroud | |
| Local pressure on the blade surface | |
| Average pressure at blade inlet | |
| Density | |
| Inlet velocity of FB | |
| Inlet flow angle of FB | |
| Outlet flow angle of FB | |
| Inlet pressure of FB | |
| Outlet pressure of FB | |
| FB installation angle | |
| Circumferential force of fluid on the blade | |
| Pressure of pressure surface | |
| Pressure of suction surface | |
| Total pressure | |
| Mass flow rate | |
| Total pressure loss coefficients of stators base on | |
| Total pressure loss coefficients of root regions base on | |
| Total pressure loss coefficients of mid-span regions base on | |
| Total pressure loss coefficients of tip regions base on | |
| Loss proportion of root regions | |
| Loss proportion of mid-span regions | |
| Loss proportion of tip regions | 
Appendix A
References
- Mikolajczak, A.A.; Weingold, H.D.; Nikkanen, J.P. Flow Through Cascades of Slotted Compressor Blades. J. Eng. Power 1970, 92, 57–64. [Google Scholar] [CrossRef]
- Smith, A.M.O. High-Lift Aerodynamics. J. Aircr. 1975, 12, 501–530. [Google Scholar] [CrossRef]
- Miao, H.W.; Gao, J.M.; Guo, J. Application of Tandem Blades to an Aeroengine. J. Aerosp. Power 1991, 6, 203–206,281. [Google Scholar]
- Sachmann, J.; Fottner, L. High-loading Tandem Compressor Cascade with Variable Camber and Stagger. In Proceedings of the ASME 1993 International Gas Turbine and Aeroengine Congress and Exposition, Cincinnati, OH, USA, 24–27 May 1993; p. 93-GT-235. [Google Scholar]
- Roy, B.; Marathe, B.V.; Gangal, D.B. Comparative Cascade Studies of Some High Diffusion Compressor Bladings. In Proceedings of the Ninth International Symposium on Air Breathing Engines, Athens, Greece, 3–8 September 1989; pp. 1281–1289. [Google Scholar]
- Roy, B.; Walvekar, A.K.; Saha, U.K. Low Speed Cascade Studies of Highly Cambered Single and Tandem Compressor Blading. Int. J. Turbo Jet-Engines 1995, 12, 129–137. [Google Scholar] [CrossRef]
- Saha, U.K.; Roy, B. On the Application of Variable Camber Blading in Axial Flow Fans and Compressors. In Proceedings of the ASME 1996 Turbo Asia Conference, Jakarta, Indonesia, 5–7 November 1996; p. 96-TA-058. [Google Scholar]
- Saha, U.K.; Roy, B. Experimental Investigations on Tandem Compressor Cascade Performance at Low Speeds. Exp. Therm. Fluid Sci. 1997, 14, 263–276. [Google Scholar] [CrossRef]
- Hoeger, M.; Baier, R.D.; Fischer, S.; Neudorfer, J. High Turning Compressor Tandem Cascade for High Subsonic Flows, Part 1: Aerodynamic Design. In Proceedings of the 47th AIAA/ASME/SAE/ASEE Joint Propulsion Conference & Exhibit, San Diego, CA, USA, 31 July–3 August 2011; p. AIAA 2011-5601. [Google Scholar]
- Müller, L.; Kožulović, D.; Wulff, D.; Fischer, S.; Stark, U. High Turning Compressor Tandem Cascade for High Subsonic Flows, Part 2: Numerical and Experimental Investigations. In Proceedings of the 47th AIAA/ASME/SAE/ASEE Joint Propulsion Conference & Exhibit, San Diego, CA, USA, 31 July–3 August 2011; p. AIAA 2011-5602. [Google Scholar]
- Schneider, T.; Kožulović, D. Flow Characteristics of Axial Compressor Tandem Cascades at Large Off-Design Incidences. In Proceedings of the ASME Turbo Expo 2013: Turbine Technical Conference and Exposition, San Antonio, TX, USA, 3–7 June 2013; p. GT2013-94708. [Google Scholar]
- Wu, G.; Zhuang, B.; Guo, B. Experimental Investigation of Tandem Blade Cascades with Double-Circular ARC Profiles. In Proceedings of the ASME 1985 Beijing International Gas Turbine Symposium and Exposition, Beijing, China, 1–7 September 1985; p. 85-GT-94. [Google Scholar]
- Zhuang, B.N.; Wu, G.C.; Guo, B.H. Experimental Investigation of Flow Performance of Tandem Blade Cascades with Double Circular Arc Profiles. J. Aerosp. Power 1987, 2, 159–161,189. [Google Scholar]
- McGlumphy, J.; Ng, W.F.; Wellborn, S.R.; Kempf, S. Numerical Investigation of Tandem Airfoils for Subsonic Axial-Flow Compressor Blades. J. Turbomach. 2009, 131, 021018. [Google Scholar] [CrossRef]
- Shen, C.; Qiang, X.; Teng, J.F. Numerical and Experimental Investigation of an Axial Compressor Flow with Tandem Cascade. J. Therm. Sci. 2012, 21, 500–508. [Google Scholar] [CrossRef]
- Hertel, C.; Bode, C.; Kožulović, D.; Schneider, T. Particle Image Velocimetry Investigations of a Subsonic Compressor Tandem Cascade. In Proceedings of the Asme Turbo Expo: Turbine Technical Conference and Exposition 2016, Seoul, Republic of Korea, 13–17 June 2016; p. GT2016-57726. [Google Scholar]
- Tao, Y.; Yu, X.; Liu, B. Analysis of Matching Characteristic of Transonic Tandem Stator Airfoil and its Optimization. J. Aerosp. Power 2012, 27, 2278–2286. [Google Scholar]
- Chen, M.; Piao, Y.; Wang, D. Numerical Simulation of Tandem Cascades in an Aero Engine Fan. J. Aerosp. Power 2010, 25, 1117–1122. [Google Scholar]
- Wei, W.; Liu, B.; Cao, Z. Characteristics of High-Turning Tandem Stator in High-loading Small Compressor. J. Aerosp. Power 2013, 28, 1066–1073. [Google Scholar]
- Wei, W.; Liu, B.; Li, J. Numerical Study on the Clearance Effect of a High-Turning Tandem Cascade. Adv. Aeronaut. Sci. Eng. 2013, 4, 443–449. [Google Scholar]
- Mao, X.; Liu, B.; Zhang, B. Hub Clearance Effects of a Cantilevered Tandem Stator on the Performance and Flow Behaviors in a Small-Scale Axial Flow Compressor. Aerosp. Sci. Technol. 2019, 91, 219–230. [Google Scholar] [CrossRef]
- Böhlem Frey, T. Numerical and Experimental Investigations of the Three-Dimensional-Flow Structure of Tandem Cascades in the Sidewall Region. J. Fluids Eng. 2014, 136, 071102. [Google Scholar]
- Heinrich, A.; Tiedemann, C.; Peitsch, D. Experimental Investigations of the Aerodynamics of High-loading Tandem Vanes in a High-Speed Stator Cascade. In Proceedings of the ASME Turbo Expo 2017, Charlotte, NC, USA, 26–30 June 2017; p. GT2017-63235. [Google Scholar]
- Tesch, A.; Lange, M.; Vogeler, K.; Ortmanns, J.; Johann, E.; Gümmer, V. An Experimental Investigation of a Tandem Stator Flow Characteristic in a Low Speed Axial Research Compressor. In Proceedings of the ASME Turbo Expo 2014: Turbine Technical Conference and Exposition, Düsseldorf, Germany, 16–20 June 2014; p. GT2014-26104. [Google Scholar]
- Liu, B.; Zhang, C.; An, G.; Fu, D.; Yu, X. Using Tandem Blades to Break Loading Limit of High-loading Axial Compressors. Chin. J. Aeronaut. 2022, 35, 165–175. [Google Scholar] [CrossRef]
- Liu, B.; Zhang, S.; Yu, X.J.; An, G.; Fu, D. Optimization Design of a Single Low Speed Simulation Axial Compressor Test Facility. J. Aerosp. Power 2018, 33, 1665–1675. [Google Scholar]
- Liu, B.; Qiu, Y.; An, G.; Yu, X. Utilization of Zonal Method for Five-Hole Probe Measurements of Complex Axial Compressor Flows. J. Fluids Eng. 2020, 142, 061504. [Google Scholar] [CrossRef]
- An, G. Investigation of the Unsteady Characteristic of the Tip Leakage Flow and the Approximate Analyses of the Tip Leakage Loss and Blockage. Ph.D. Thesis, Beihang University, Beijing, China, 2017. [Google Scholar]
- Liu, B.; An, G.; Yu, X. Assessment of Curvature Correction and Reattachment Modification into the Shear Stress Transport Model within the Subsonic Axial Compressor Simulations. Proc. Inst. Mech. Eng. Part A J. Power Energy 2015, 229, 910–927. [Google Scholar] [CrossRef]

























| Parameters | FB | RB | Total | 
|---|---|---|---|
| Middle span chord (mm) | 69.8 | 58.1 | 128.2 | 
| Aspect | 1.8 | 2.1 | 0.98 | 
| Solidity (mid) | 1.28 | 1.06 | 2.35 | 
| Inlet metal angle (mid,°) | −49.1 | −35.1 | −49.1 | 
| Outlet metal angle (mid,°) | −27.1 | 6.9 | 6.9 | 
| AO | / | / | −0.01 | 
| PP (mid/hub) | / | / | 0.85/0.65 | 
| DF at DE | / | / | 0.50 | 
| DF at NS | / | / | 0.62 | 
| Rotor | Stator | Total | |
|---|---|---|---|
| Mesh1 | 3,500,708 | 1,405,170 | 4,905,878 | 
| Mesh2 | 6,298,500 | 2,483,946 | 8,782,446 | 
| Mesh3 | 8,426,532 | 3,221,010 | 11,647,542 | 
| Disclaimer/Publisher’s Note: The statements, opinions and data contained in all publications are solely those of the individual author(s) and contributor(s) and not of MDPI and/or the editor(s). MDPI and/or the editor(s) disclaim responsibility for any injury to people or property resulting from any ideas, methods, instructions or products referred to in the content. | 
© 2025 by the authors. Licensee MDPI, Basel, Switzerland. This article is an open access article distributed under the terms and conditions of the Creative Commons Attribution (CC BY) license (https://creativecommons.org/licenses/by/4.0/).
Share and Cite
Zhang, C.; Liu, B.; Qiu, M.; Jiang, Z.; Hao, Y. Experimental and Numerical Research on End-Wall Flow Mechanism of High-Loading Tandem Stators. Appl. Sci. 2025, 15, 1014. https://doi.org/10.3390/app15031014
Zhang C, Liu B, Qiu M, Jiang Z, Hao Y. Experimental and Numerical Research on End-Wall Flow Mechanism of High-Loading Tandem Stators. Applied Sciences. 2025; 15(3):1014. https://doi.org/10.3390/app15031014
Chicago/Turabian StyleZhang, Chuanhai, Baojie Liu, Ming Qiu, Zhuyu Jiang, and Yan Hao. 2025. "Experimental and Numerical Research on End-Wall Flow Mechanism of High-Loading Tandem Stators" Applied Sciences 15, no. 3: 1014. https://doi.org/10.3390/app15031014
APA StyleZhang, C., Liu, B., Qiu, M., Jiang, Z., & Hao, Y. (2025). Experimental and Numerical Research on End-Wall Flow Mechanism of High-Loading Tandem Stators. Applied Sciences, 15(3), 1014. https://doi.org/10.3390/app15031014
 
        

 
                         
       