Next Article in Journal
Influence of Compaction and Water Content on the Shear Performance of Gobi Soil as a Sustainable Construction Material
Previous Article in Journal
Internal Carotid Artery Anatomical Variants and Their Association with Increased Thromboembolic Risk in Vascular Eagle Syndrome
Previous Article in Special Issue
Forecasting Renewable Scenarios and Uncertainty Analysis in Microgrids for Self-Sufficiency and Reliability: Estimation of Extreme Scenarios for 2040 in El Hierro (Spain)
 
 
Font Type:
Arial Georgia Verdana
Font Size:
Aa Aa Aa
Line Spacing:
Column Width:
Background:
Article

Evaluation of Technical Constraints Management in a Microgrid Based on Thermal Storage Applications by Modeling with OpenDSS

by
Andrés Ondó Oná-Ayécaba
1,2,
Manuel Alcázar-Ortega
1,*,
Javier F. Urchueguia
2,
Borja Badenes-Badenes
2,
Efrén Guilló-Sansano
3 and
Álvaro Martínez-Ponce
2
1
Institute for Energy Engineering, Universitat Politècnica de València, Camino de Vera s/n, 46022 Valencia, Spain
2
Institute of Information and Communication Technologies (ITACA), Universitat Politècnica de València, Camino de Vera s/n, 46022 Valencia, Spain
3
Grupo Enercoop, Calle Corazon de Jesus, 17, 03330 Crevillent, Spain
*
Author to whom correspondence should be addressed.
Appl. Sci. 2025, 15(24), 13088; https://doi.org/10.3390/app152413088
Submission received: 20 October 2025 / Revised: 6 December 2025 / Accepted: 9 December 2025 / Published: 12 December 2025
(This article belongs to the Special Issue Advanced Forecasting Techniques and Methods for Energy Systems)

Abstract

Technical constraints to be faced in microgrids have become more frequent with high renewable integration. In this context, Thermal Energy Storage (TES) has emerged as a promising solution to enable consumers’ flexibility to contribute to the solution of such operational issues. This paper examines the integration of the novel system ECHO-TES (a Thermal Energy Storage System developed within the European Project ECHO) in microgrids to address technical constraints, utilizing OpenDSS and Python simulations. Building on that, the Efficient Compact Modular Transaction Simulation System (ECHO-TSS) adds a layer of virtual automated transactions, coordinating multiple ECHO-TES assets to simulate not only energy flows and electricity consumption, but also the associated economic interactions. The study explores the critical role of TES in enhancing microgrid efficiency, flexibility, and sustainability, particularly when coupled with renewable energy sources. By analyzing diverse demand scenarios, the research aims to assess its impact on grid stability and management. The paper highlights the importance of advanced modeling tools like OpenDSS in simulating complex microgrid operations, including the dynamic behavior of TES systems. It also investigates demand-side management strategies and the potential of TES to mitigate challenges associated with renewable energy variability. The findings contribute to the development of robust, adaptive microgrid systems and support the global transition towards sustainable energy infrastructure.

1. Introduction

Thermal Energy Storage (TES) systems have become a cornerstone in advancing the efficiency and flexibility of microgrids, particularly when integrated with renewable energy sources. TES systems help balance supply and demand, reduce reliance on fossil fuels, and improve overall system performance by enabling the storage and strategic use of thermal energy. One of the recent advancements in this area is the ECHO-TES, a system developed within the framework of the European Union’s Horizon Europe initiative, aiming to enhance residential thermal energy management. However, it remains an emerging concept for utilizing TCMs and is not yet ready for real-world application [1]. The ECHO-TES system provides compact and efficient solutions for heating, cooling, and hot water production [2]. An innovative aspect of the ECHO approach is the creation of a small-scale TES solution designed specifically for individual households. Traditionally, TES systems—especially those based on TCM—have been more closely linked to large-scale applications. Furthermore, an essential feature of these future (micro) TES systems, including ECHO, is their potential to integrate seamlessly with the electrical grid [3].
Accurate modeling and simulation of their operations are essential to fully harness the potential of TES systems within microgrids. Within the ECHO project, thermal performance analyses were carried out using the Energy Urban Resistance-Capacitance (EUReCA) method, a platform designed to model and predict energy consumption patterns in urban environments [4]. While EUReCA simulations focus on long-term modeling and forecasting, the present study investigates the integration of the ECHO TES system into microgrids to address technical constraints using simulation tools such as OpenDSS.
OpenDSS, created as an open-source platform by EPRI, is widely employed for modeling distribution networks that integrate thermal energy storage and renewable generation, offering flexible simulation capabilities for microgrid studies. Its ability to model dynamic behaviors and evaluate various operational scenarios makes it an interesting and valuable tool for microgrid research and development. For instance, studies using OpenDSS, Version 10.1.0.1 (64-bit build)—Columbus, EPRI, 3420 Hillview Avenue, Palo Alto, CA, USA have demonstrated its effectiveness in improving distribution network efficiency through optimized configurations, where efficiency was observed when operating as a microgrid [5]. Additionally, OpenDSS has been used for co-simulation studies that explore hybrid setups involving distributed generation, battery storage systems, and TES units to assess their combined impact on grid performance under diverse conditions [6].
Deploying TES systems like ECHO within microgrids requires advanced demand-side management strategies to ensure optimal operation. These strategies involve balancing thermal needs—such as heating and cooling—with electricity demand while maintaining grid stability [7]. Platforms like OpenDSS enable the implementation of sophisticated control algorithms that optimize TES unit performance, reduce peak loads, and enhance overall system reliability. For example, virtual energy storage models have been proposed to manage thermal loads efficiently by adjusting indoor temperatures in building microgrids while maintaining user comfort. These approaches improve operational flexibility and reduce costs associated with energy storage and distribution [8]. When coupled with combined cooling, heating, and power (CCHP) systems, TES can serve as a virtual storage unit, enhancing the operational management of interconnected energy networks [9].
Integrating TES into microgrids also raises important questions about system reliability and resilience. As renewable energy sources like solar and wind introduce variability into power generation, ensuring a consistent energy supply becomes a critical challenge [10]. Research leveraging OpenDSS has provided valuable insights into how TES can mitigate these challenges by stabilizing fluctuations in supply and demand. Research using co-simulation approaches indicates that integrating TES within microgrids improves their resilience against fluctuations in demand and renewable energy output, helping to sustain steady performance under variable conditions [11]. These findings highlight the importance of simulation tools in designing robust microgrid systems capable of adapting to evolving energy demands.
This paper focuses on assessing the impact of integrating the ECHO micro-thermal energy storage system to solve technical constraints in microgrids, using simulation tools such as OpenDSS and Python. Various thermal demand scenarios and their effects on grid stability and management will be analyzed to identify strategies to facilitate the transition to a more sustainable and resilient energy system.
The article is organized into several sections, starting with Section 2, which addresses the state of the art related to the research topic, providing an overview of previous knowledge and advancements in the field of study. Section 3 presents the methodology used in the research, detailing the approaches, tools, and procedures applied to conduct the study. Section 4 presents the case study under investigation and the practical application of the method described in Section 3. Next, Section 5 showcases the results of applying this methodology to the case study, providing relevant analysis. Finally, Section 6 summarizes the study’s key findings and outlines potential future research directions that could expand or deepen the conducted research.

2. Literature Review

Managing technical constraints in microgrids through TES, modeled using OpenDSS, constitutes an innovative approach for improving the performance and flexibility of modern energy systems. This line of research brings together recent developments in long-duration energy storage (LDES), advanced modeling environments, and integrated microgrid control strategies. Furthermore, evaluating residential energy flexibility has proven essential for enhancing demand-side management, particularly in local contexts such as municipal distribution networks [12].
Microgrids are composed of interconnected energy units that can function independently or in coordination with the primary power grid [13]. These grids include various generation sources, such as photovoltaic systems, wind turbines, and conventional generation units, as well as both electrical and thermal energy storage systems [14]. Including thermal energy storage within microgrids facilitates more efficient utilization of renewable resources while decreasing reliance on fossil-fuel generation, resulting in lower operating costs and a significant reduction in greenhouse gas emissions [15]. However, there are significant technical challenges in implementing these solutions, such as managing the intermittency of renewable sources, optimizing thermal load relative to electricity demand, and coordinating effectively with other system elements [16]. Microgrids have emerged as important components in the transition towards low-carbon energy systems, integrating DERs and ESS to optimize energy distribution and consumption. Managing these complex systems requires sophisticated approaches to address technical constraints such as load balancing, voltage regulation, and frequency control.
Recent research has focused on developing optimization techniques ranging from classical methods to artificial intelligence-driven algorithms, aiming to reduce operational costs and enhance system reliability in both grid-tied and islanded configurations [17], demonstrated the effectiveness of a rule-based battery control strategy combined with deep-learning load forecasting for peak shaving in Swiss distribution networks, achieving a reduction in peak demand costs through real-time energy storage management. For microgrid economic dispatch [18], an initialization-free distributed algorithm was proposed that reduces computational complexity and minimizes the total generation cost in a dynamic dispatch problem. In solar-powered systems [19], a two-stage optimization framework was developed, integrating shared energy storage. This decoupled approach allows testing and comparing different methods for the EMS on one side and for the energy sharing on the other, for a total of forty different investigated combinations. In addition, the work [20] presented the techno-economic benefits of increasing PV self-consumption using shared energy storage for a prosumer community under various penetration rates. The research [21] presented a collaborative voltage optimization method that leverages the flexibility of community heating systems to reduce daily voltage deviations in high PV penetration scenarios. Finally, the study [22] proposed a week-ahead dispatch model using hybrid energy storage systems, reducing weekly operational costs compared to conventional battery-only systems.
TES systems are pivotal in this landscape, offering cost-effective, environmentally friendly solutions for long-duration energy storage. These systems, which include sensible heat storage (e.g., water tanks), latent heat storage (e.g., phase change materials), and thermochemical storage, can efficiently store energy for extended periods, making them ideal for diverse applications in heating, cooling, and industrial processes [23]. The integration of TES with CHP units in microgrids has shown particular promise, enhancing flexibility and efficiency while reducing wind curtailment and optimizing heat and electricity production.
One of the main challenges in managing microgrids with thermal storage is optimizing energy conversion and distribution. In this regard, OpenDSS has positioned itself as a fundamental tool for analyzing and modeling distribution networks [24]. OpenDSS, developed by EPRI, serves as a simulation platform that enables comprehensive modeling and analysis of electrical distribution networks, facilitating the study of the behavior of microgrids under different operating conditions. Thanks to its time-domain analysis capabilities and the possibility of modeling energy storage elements, OpenDSS allows evaluation of the effects of thermal storage integration on microgrid operation, identifying possible technical constraints, and designing appropriate mitigation strategies [25]. Research employing OpenDSS simulations has shown considerable gains in efficiency for distribution networks functioning in microgrid mode, with one case study showing a 51.5% improvement in the IEEE 13-node test feeder [26].
Integrating Long Duration Energy Storage (LDES) technologies provides additional capabilities for addressing technical limitations in microgrid operations. These technologies are particularly suited for applications requiring power over extended periods when renewable sources are not producing [27]. For instance, iron-flow batteries have been integrated into tactical microgrids for military applications, providing up to 12 h of flexible energy capacity, reducing diesel consumption by up to 40%, and increasing generator efficiency. These advancements are particularly valuable for remote installations or contingency bases where reliable power is essential, facilitating the transition from diesel generators to renewable energy sources.
Addressing the challenges of load variability, renewable intermittency, and thermal balance requires sophisticated optimization models. Stochastic optimization methods incorporating chance constraints have been developed to handle uncertainties in load demand and renewable generation [28]. Moreover, advanced models now integrate electrical and thermal dynamics to ensure optimal operation of hybrid systems like CHP-TES configurations, enhancing overall system efficiency and resilience. Integrating these various elements-advanced microgrid energy management strategies, TES systems, sophisticated modeling tools like OpenDSS, and long-duration energy storage technologies—creates a comprehensive framework for evaluating and optimizing technical constraint management in microgrids [29]. This holistic approach addresses current challenges in energy distribution and consumption and paves the way for more resilient, sustainable energy systems capable of adapting to future demands and environmental constraints. While existing literature has explored the integration of TES systems and optimization models in microgrids, most studies focus on large-scale or generic implementations without fully addressing the operational flexibility required at the distribution level. In contrast, the ECHO device represents a novel contribution by offering a compact, home-scale TES solution designed to enhance grid flexibility. By enabling precise thermal load management and facilitating sector coupling between electricity and heat, ECHO addresses a critical gap identified in current research. Its integration into distribution networks supports mitigating technical constraints such as peak load stress and voltage fluctuations and aligns with decarbonization goals through efficient, demand-responsive operation.
Recent developments in microgrid energy management have focused on enhancing system flexibility and reliability. Indeed, researchers have explored the use of multi-energy systems within microgrids, leveraging redundancy in power electronics to improve overall system performance and contributing to the ability of microgrids to maintain stable operation under various conditions, including sudden changes in renewable energy generation or load demand [30]. On the other side, some studies have explored the optimization of microgrid operation by implementing mathematical programming models and artificial intelligence techniques [31]. These methodologies allow the development of advanced control strategies that optimize the use of available energy resources and minimize the impact of technical constraints [32]. In particular, combining OpenDSS with optimization tools, such as genetic algorithms or dynamic programming, has shown promising results in improving system stability and reducing energy losses [33]. In summary, it can be concluded that, while many studies address microgrid optimization and some of them consider thermal storage, there is a lack of research on the accurate impact that distributed thermal storage may have on the power grid when it is used to solve operational problems that may appear in the network, which is addressed in this paper.
The role of TES in microgrids has gained significant attention due to its potential to enhance system efficiency and reduce reliance on fossil fuels. TES systems can store virtual energy when combined with CCHP units or other renewable sources [34]. This integration allows for better heat and electricity production management, potentially reducing wind curtailment in CHP-based microgrids and improving overall energy utilization [35]. Researchers have used OpenDSS to evaluate the impact of different energy management strategies on microgrid performance, considering factors such as voltage regulation, power quality, and system losses [36].
Incorporating LDES technologies in microgrids has opened new possibilities for enhancing system resilience and reliability. LDES systems can provide power for extended periods, making them particularly valuable in scenarios where renewable energy sources may be intermittent or unavailable [37]. According to the LDES Council, these storage technologies play a pivotal role in facilitating the integration of renewable energy into power grids and advancing carbon reduction objectives.
Effectively tackling technical challenges in microgrids demands a comprehensive strategy incorporating electrical and thermal system dynamics. Recent studies have focused on developing optimization models incorporating flexibility constraints to handle uncertainties in renewable generation and load [38]. These models aim to enhance the reliability and resiliency of microgrid operations while minimizing operational costs.
The integration of thermal storage applications in microgrids [39] presents both opportunities and challenges. On the one hand, thermal storage can provide a cost-effective energy storage means and help balance the intermittency of renewable sources. On the other hand, careful management is required to ensure optimal operation and avoid issues such as thermal losses or inefficient heat distribution. Multiple approaches have been investigated to optimize the functioning of thermal energy storage systems in microgrid environments, including predictive control algorithms and multi-objective optimization techniques [40].
As the field of microgrid energy management continues to evolve, new research areas are emerging. These include the development of advanced control strategies for coordinating multiple energy storage technologies, integrating demand response programs to enhance system flexibility, and exploring novel thermal storage materials and configurations to improve efficiency and storage capacity.
An essential contribution of this work lies in incorporating an analysis of the flexibility required in the electricity distribution network to face complex future scenarios. This analysis introduces the strategic role of ECHO thermal energy storage technologies as an innovative and efficient solution to offer the flexibility demanded by Distribution System Operators (DSOs) to solve the technical constraints in the distribution network. The ECHO device is an advanced TES system developed under the ECHO project. This project aims to develop a home-sized storage solution for heating and cooling. Efficiently storing and regulating thermal energy distribution enhances grid reliability and promotes a more balanced and sustainable energy supply. This capability not only improves the operational stability of the electricity system but also contributes to the more efficient use of available energy resources, aligning with global sustainability goals.
In addition, this approach includes assessing how climate change will influence heating and cooling needs and the flexibility of a distribution network. This analysis makes it possible to anticipate the necessary adaptations in the energy infrastructure to ensure its resilience to changing conditions. In this sense, the model addresses current challenges and provides a strategic tool to plan and optimize the operation of electricity systems in the face of the challenges of an uncertain future. Furthermore, this model considers the sector coupling between the thermal and electricity sectors, which is becoming increasingly relevant in decarbonization. The thermal sector, often characterized by its higher volatility than traditional electrical uses, presents a complex challenge when integrated with the electricity grid. This volatility arises from the varying demand for heating and cooling, which can be heavily influenced by seasonal, geographical, and climatic conditions. The electrification of the HC sector introduces new dynamics in this context, with the transition from fossil fuel-based systems to electric solutions like heat pumps. While this shift offers significant benefits for reducing carbon emissions, it also poses grid stability and efficiency challenges. Electrification can increase electricity demand, particularly during peak times when heating and cooling needs are highest. Therefore, understanding the interplay between these sectors is essential for designing an integrated and resilient energy system. The optimal management of this coupling can help balance supply and demand more effectively, reduce emissions, and make the overall energy system more adaptable to both climatic changes and the ongoing transition to a low-carbon economy.

3. Methodology

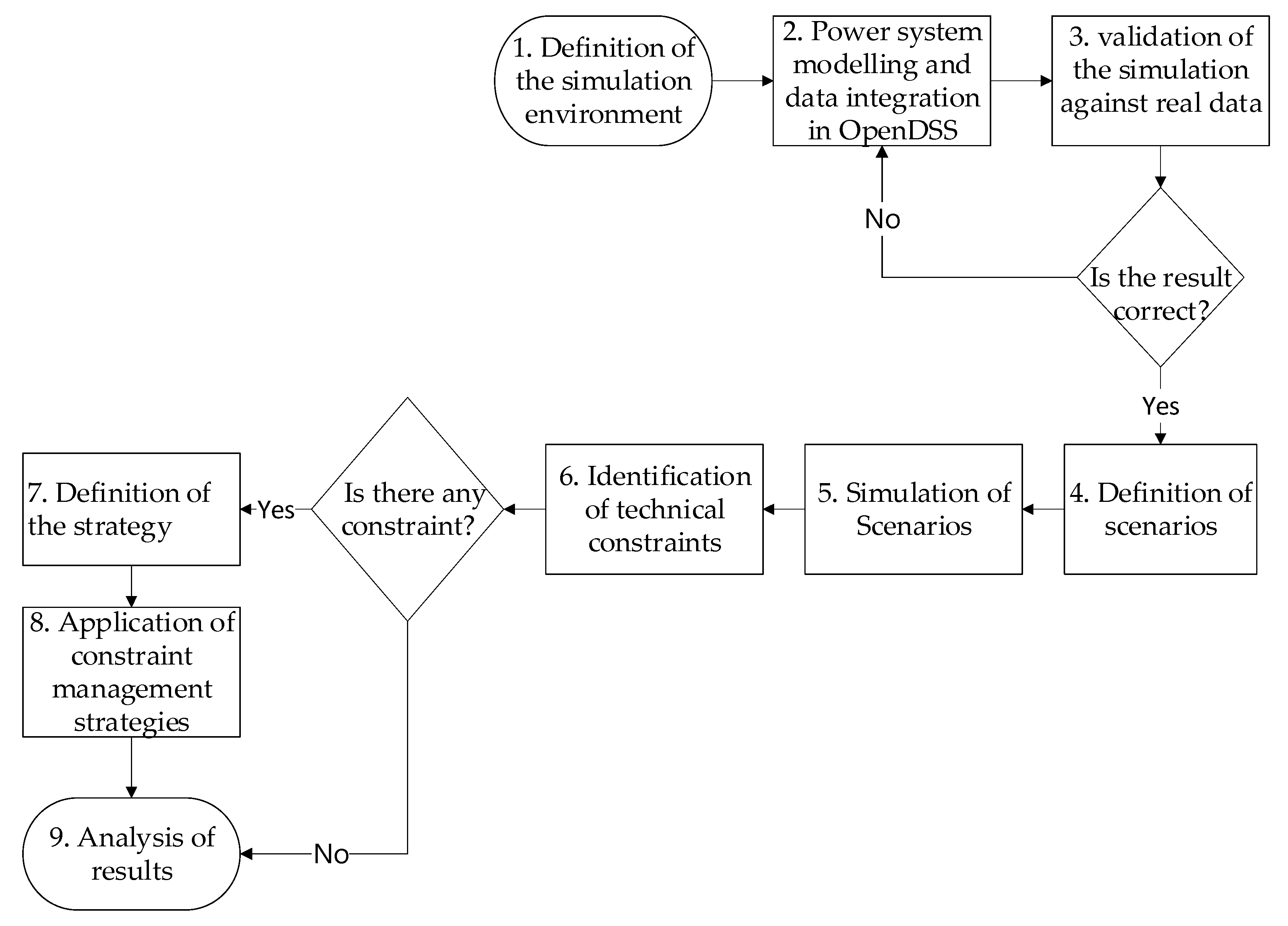
The methodology employed in this research, represented in Figure 1, consists of nine interconnected phases that enable a detailed and systematic analysis of the system under study, ensuring the accuracy and reliability of the obtained results. First, the simulation environment is established, defining the tools and parameters necessary to realistically model the system. Then, the implementation of data and the configuration of the electrical model in OpenDSS is carried out, ensuring a precise representation of the energy infrastructure.
Subsequently, a validation process is performed by comparing the simulation results with real data, allowing the verification of the model’s fidelity and the adjustment of parameters as needed. Once the model is validated, the definition of different study scenarios takes place, considering key factors such as variations in demand and temperature, the integration of renewable energy sources, and extreme operating conditions. These scenarios are simulated in the fifth phase to evaluate system behavior under different conditions and identify potential operational issues.
In the sixth stage, technical constraints that could affect the microgrid’s performance are identified, such as overloads, voltage fluctuations, or inefficiencies in energy distribution. Based on this analysis, in the seventh phase, management strategies are designed and implemented to mitigate the detected limitations, improving the system’s stability and efficiency. Finally, a comprehensive analysis of the obtained results is conducted, focusing on quantifying the ECHO devices needed to address demand fluctuations and potential supply issues. This process allows for optimizing the sizing of energy resources and ensuring a more efficient and sustainable planning of the electrical system, guaranteeing its operability and compliance with technical and regulatory standards.

3.1. Step 1: Definition of the Simulation Environment

This step constitutes the first phase of the methodology, where the simulation environment and tools are established. In this study, OpenDSS has been selected as the main software due to its capability to model and analyze electrical distribution systems in detail. Additionally, programming languages such as Python 3.12 (64-bit), Python Software Foundation, 9450 SW Gemini Dr. ECM# 90772, Beaverton, OR, USA have been used to facilitate the automation of simulations and the processing of results.
The microgrid under study is defined, specifying its main characteristics, such as system topology, voltage levels, distributed generation elements, thermal storage system, and load distribution. The simulation developed in OpenDSS is based on a technical environment that represents a balanced three-phase distribution network operating at a base frequency of 50 Hz. Conventional electrical models are adopted for the main system components, such as lines, transformers, and switching devices, which are considered to exhibit linear behavior without the inclusion of nonlinear effects or imbalances. Additionally, a hierarchical voltage level structure is defined, allowing electrical quantities to be properly normalized during the simulation. The network also incorporates location data through coordinates assigned to the nodes, enabling a coherent spatial representation.

3.2. Step 2: Power System Modeling and Data Integration in OpenDSS

The second stage of this step consists of implementing the electrical model of the distribution network in OpenDSS. In this stage, the essential elements of the network, such as power lines, TSs buses, loads, and production curves, are incorporated using network data provided by the DSO, public data (such as temperature profiles and typical power line parameters). Once the model is completed, the consumption and demand data obtained in previous phases are integrated to analyze how the grid responds under different configurations and loads. The objective of this step is to identify the data required for the modeling of an electric distribution network, the electrical parameters of the electrical distribution lines and transformers, and to analyze and select the power system solver algorithm.
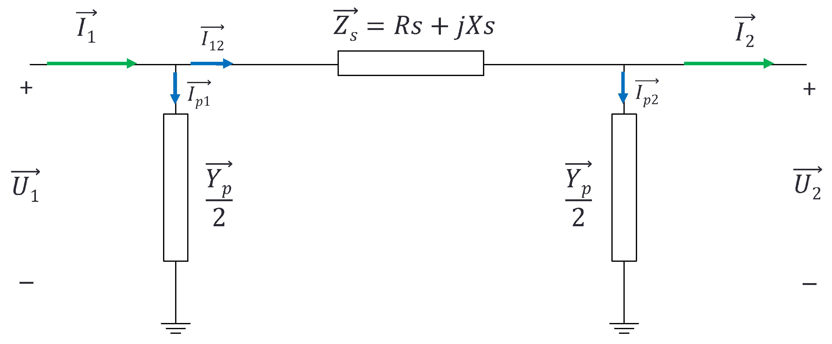
The first stage of this step consists of modeling of the elements of the grid using a nodal admittance approach [41]. Therefore, power lines and transformers are modeled according to the concentrated parameters “pi” approach, where each element is considered as an electric circuit with a series branch, with Rs and Xs connected in series, and two shunt branches at the beginning and the end of this circuit, including the Bp of the line.
In this model, depicted in Figure 2, Rs and Xs are used to build the series complex impedance of the line or transformer:
Z s ¯ = R s + j X s
Conversely, Bp is used to calculate the shunt admittance of the line or transformer, which is divided into two as the model considers that half of the capacitive effect is concentrated at the beginning of the line, while the other half takes place at the end of the line. Notice that the shunt conductance has been neglected.
Y p ¯ 2 = j B p 2
The values to feed this model are obtained from the Input data. However, the resistance Rs may be affected by the temperature at which the grid is. Indeed, the value of resistance provided by the distribution company is at a standard temperature of 20 °C. In case the external temperature is different, the model considers the actual temperature for the simulated hour according to the following expression:
R s = 1 + β · T 2 20   ° C · R s
Once the parameters for each element (power line or transformer) have been updated, the mathematical model of the whole grid is obtained throughout by the nodal admittance matrix formulation. This is a square and symmetric matrix of dimensions NxN, N being the number of buses of the system. The number of buses, N, equals the total count of bus nodes in the modeled grid minus one (assuming the reference bus is excluded).
The architecture of the admittance matrix is represented next:
I ¯ = Y ¯ · V ¯ Y ¯ = y 11 ¯ y 21 ¯ y N 1 ¯ y 12 ¯ y 22 ¯ y N 2 ¯ y 1 N ¯ y 1 N ¯ y N N ¯
According to Figure 2, the shunt branch is already calculated as an admittance. However, the series branch represents an impedance, and it must be turned into an admittance, as shown next:
Y s ¯ = 1 Z s ¯ = 1 R s + j X s = G s + j B s
Each element of the admittance matrix will have Gik and Bik. Therefore, this matrix can be represented as follows:
The shunt branch is already calculated as an admittance. However, the series branch
Y ¯ = y 11 ¯ y 21 ¯ y N 1 ¯ y 12 ¯ y 22 ¯ y N 2 ¯ y 1 N ¯ y 1 N ¯ y N N ¯ G 11 + j B 11 G 21 + j B 21 G N 1 + j B N 1 G 12 + j B 12 G 22 + j B 22 G N 2 + j B N 2 G 1 N + j B 1 N G 2 N + j B 2 N G N N + j B N N
The admittance matrix represents the mathematical model of the system, and it remains constant for all the simulations of a specific scenario.
Regarding the simulation in OpenDSS, a power calculation model based on the Gauss-Seidel method is used in which the value of the complex voltage (module and phase) and the complex power balance (real and reactive) in each bar of the electricity system considered is determined. Once these four variables have been obtained, the working points of the system can be determined. Two of these variables are known depending on the type of bus (reference bus, voltage-controlled bus (PV), load bus (PQ)), so a power flow calculation must determine the remaining two variables per bus.
The following equations can determine the real and reactive power in buses where these magnitudes are unknown:
P k = V k · i = 1 N V i · G k i · cos δ k δ i + B k i · sin δ k δ i
Q k = V k · i = 1 N V i · G k i · sin δ k δ i B k i · cos δ k δ i
As can be seen, the solution of the system of equations is not evident since the power balance on a bus depends on the voltage of all the other buses in the system (and the same goes for voltages). Therefore, an iterative process must be applied to determine the solution of different unknowns. In power system analysis, there are two basic methods to address this problem: Newton-Raphson and Gauss-Seidel (the so-called “normal” current injection mode in OpenDSS). Gauss-Seidel is faster and relatively more straightforward. Newton-Raphson is more robust for systems that are difficult to solve but have the complexity of working with large matrices, which must be inverted. Therefore, the iterative Gauss-Seidel method was used in OpenDSS to solve the power flow due to its simplicity and efficiency in distribution networks, which are typically radial or weakly meshed. This method is particularly suitable for systems with sparse and diagonally dominant admittance matrices, common characteristics in medium- and low-voltage networks. Additionally, Gauss-Seidel offers fast convergence and low computational cost per iteration, making it ideal for performing multiple simulations across different scenarios or time profiles.
The expression used to calculate the complex voltage according to Gauss-Seidel is as follows:
V ¯ k ( n + 1 ) = 1 y k k ¯ · P k j Q k n V ¯ k n * i = 1 i k N y k i ¯ · V ¯ i n
Equation (9) is observed to be a vector expression, which provides a complex number composed of two components. Therefore, the variables to be entered are also complex numbers. On the contrary, the equations to calculate the real and reactive power values (Equations (7) and (8)) are scalar expressions where the variables to be entered are real numbers.
After determining the complex voltage for all buses, all line powers are calculated according to the following expressions:
P i k , i = V i 2 · G s i k V i · V k · G s i k · cos δ i δ k V i · V k · G s i k · sin δ i δ k
Q i k , i = V i 2 · B s i k + B p i k 2 V i · V k · G s i k · sin δ i δ k + V i · V k · B s i k · cos δ i δ k
It should be noted that Equations (10) and (11) are calculated with the serial and derivation admittances of the line, while Equations (7) and (8) are obtained from the elements of the admittance matrix.

3.3. Step 3: Model Validation

Model validation is critical to ensure the accuracy of simulated results. This process includes running steady-state power flow simulations and comparing the powers P and Q calculated on the reference busbar with actual values recorded by the DSO. In distribution networks, the reference busbar typically corresponds to the substation that connects the local grid to the main grid. Additionally, if available, the simulated stresses on other busbars are compared to actual measurements. When significant discrepancies are identified, adjustments are made to model parameters, such as line impedances and transformer configurations, to minimize error between the measured and simulated variables. This iterative process ensures that the model is accurate enough for subsequent stages of simulation and analysis. This process can be broken down into the following steps:
Preliminary validation of the values obtained for loads and voltages on the buses: in the base case, the voltage values must be close to the nominal value for each bus (approximately one per unit). The voltage phase must be small (in any case, less than the 30° stability limit). Finally, the power balance throughout the system must be balanced (the net power injected into the system must be slightly higher but approximately equal to the power extracted from the system since power losses are low).
Comparison of the values obtained with actual data obtained from measurements: It would be useful to compare the voltages of all buses and the power along the power lines when available. This information is sometimes missing; therefore, a comparison should be made between the power exchange values on the reference bus.
If the deviations between measurements and simulations are large (more than 15%), reviewing the parameters entered in the model for power lines and transformers is necessary. In this case, the check is performed using the standard values provided. If the values of some parameters are very different from those considered, they are replaced by standard values, and new simulations are performed to validate this action.

3.4. Step 4: Definition of the Scenarios

At this stage, multiple scenarios are designed (details of scenarios are provided in Section 4.4) to evaluate the impact of the ECHO-TSS thermal storage system on the grid under different operating conditions and penetration levels. The scenarios are developed considering strategies related to the flexibility of the system, such as the absorption of energy surpluses during periods of high renewable generation (mainly photovoltaics and wind power), the increment in the energy consumption during low prices periods and load shift strategies to solve technical constraints in the grid. In addition, specific scenarios are proposed to evaluate the performance of the ECHO-TSS system in terms of flexibility and its contribution to network modernization.

3.5. Step 5: Simulation of Scenarios

After defining the scenarios and calibrating the model, detailed simulations are carried out to assess the impact of the ECHO-TSS system on the distribution network. These simulations allow for the analysis of how the storage capacity of grid users can be used for flexibility services, such as handling peak demand or efficiently integrating renewable resources. In addition, the maximum capacity of the network to support the installation of ECHO-TSS systems is evaluated using reliability analyses that consider technical criteria (such as network stability).

3.6. Step 6: Identification of Technical Constraints

After modeling the microgrid, a detailed analysis of the technical constraints that could affect its operation is conducted using load flow simulations in OpenDSS. These simulations allow for evaluating the system’s behavior under different operating conditions, identifying potential issues, and proposing solutions. Among the main constraints analyzed are overvoltage and voltage drops, ensuring that voltage levels at the nodes remain within the limits established by European and Spanish regulations. The Spanish Royal Decree 1955/2000 and the European standard UNE-EN 50160:2020 [42] regulate the voltage limits and quality parameters that distribution companies must maintain. These regulations ensure that voltage levels remain within acceptable margins to guarantee reliable service and protect electrical equipment.
Another fundamental aspect is quantifying energy losses within the microgrid to identify opportunities for improving operational efficiency. Additionally, operational stability is analyzed, considering the impact of intermittent renewable generation, temperature variations, and energy demand fluctuations—factors that can influence the overall performance of the microgrid. Constraints are evaluated by comparing the simulation results with the reference values defined in the regulations, thus ensuring optimal system design and operation.

3.7. Step 7: Strategy Definition

In Step 7, real operational strategies are defined to mitigate the technical constraints identified in the distribution network through the use of the ECHO-TES thermal energy storage system. These strategies are based on a detailed characterization of ECHO-TES performance, including its storage capacity, efficiency, response times, and operational limitations. Based on this information, specific activation criteria are established—such as the occurrence of overloads, voltage drops, or high peak demand periods—and actions are taken, such as shifting thermal loads to off-peak hours, modulating consumption according to network conditions, or coordinating with other distributed energy resources. The strategies are implemented either locally or centrally, depending on the system architecture, and aim to optimize network operation by reducing critical events and improving voltage and load profiles, ensuring a more flexible, secure, and efficient operation.

3.8. Step 8: Implementation of Constraint Management Strategies

Based on the identification of technical constraints in the microgrid, various strategies are designed and proposed to mitigate detected issues, improving system stability, efficiency, and reliability. One fundamental solution is the implementation of ECHO-TSS, which enables more efficient energy demand management by shifting electrical loads to periods of lower consumption. This approach helps reduce stress on the electrical infrastructure during peak demand periods, optimizing resource utilization and decreasing operational constraints.
In addition to thermal storage, complementary strategies are considered to enhance the overall performance of the microgrid. One such strategy is energy dispatch optimization, which dynamically adjusts distributed generation and thermal load to minimize technical constraints and maximize energy resource utilization. This entails analyzing different operational scenarios and developing strategies to balance generation and consumption efficiently. Moreover, voltage and reactive power control is essential to ensure compliance with voltage level limits set by European regulations. For this purpose, voltage regulators and capacitor banks allow a stable voltage profile throughout the microgrid. This strategy is particularly important in systems with high penetration of renewable generation, where generation variability can cause voltage fluctuations that need to be efficiently compensated. Each of these strategies is implemented in the OpenDSS simulation software, allowing for the evaluation of their effectiveness in mitigating technical constraints. Various operational scenarios are analyzed through these simulations, and the results obtained are compared with reference values established in European regulations. In this way, the proposed solutions enhance the microgrid’s stability, security, and efficiency, optimizing its performance according to operational needs and regulatory requirements.

3.9. Step 9: Analysis of Results

The final analysis focuses on interpreting the results of the simulations for each of the defined scenarios. This includes evaluating the performance of the ECHO-TSS system, the impact of flexibility strategies on the network, and identifying potential limitations or areas for improvement. The results are compared with the objectives set to validate the proposed solutions’ effectiveness and provide valuable information that can be used in decision-making for the planning and modernization of the distribution network. This stage is very important in concluding the methodological process, ensuring that the solutions evaluated are viable, sustainable, and beneficial for the different actors in the energy system.

4. Case Study: Crevillente Electricity Distribution Network

The case study corresponds to the distribution network of the municipality of Crevillente, located in Spain, owned by the company Cooperativa Eléctrica San Francisco de Asís, belonging to the ENERCOOP Group. This company operates and maintains the MV and LV distribution network of the municipality of Crevillente, including a 40 MVA substation, which connects ENERCOOP’s infrastructures with the upstream network, owned by “i-de Redes Inteligentes” (Iberdrola Group) at a voltage of 132 kV.

4.1. Network Description

The Crevillente distribution network starts from the border point in the aforementioned substation, which transforms the voltage level from 132 kV to 20 kV. This is performed by a 40 MVA transformer. This substation is considered the slack bar to evaluate the power flow using the implemented network model. Downstream are four main handling stations, which feed more than 150 transformer stations of Crevillente’s distribution network. Each of these TS steps down the voltage from 20 kV to 400 V to supply electricity to end consumers. The TS are located in the urban area of the town, as well as in industrial estates and rural areas closer to the end consumers. The network comprises almost 25,000 buses, which are interconnected with each other and with the CTs by more than 25,000 power distribution lines. In fact, there are more than 400 km of aerial and underground power lines.
Based on this architecture, the network model has been particularized for this case, characterizing and parameterizing all the elements according to the information provided by the DSO. In addition, the aggregated hourly load and generation profiles of each TS have been introduced into the model.

4.2. Correlation Between Outdoor Temperatures and Actual Electricity Consumption

As shown in Figure 3, the relationship between measured electricity consumption and outdoor temperature conditions is complex, depends on many intrinsic and extrinsic factors and is not necessarily proportional to the difference in outdoor temperatures and comfort temperatures. Aggregated consumption data were provided by the DSO (Enercoop), representing actual measurements for the TSs considered for this study. This relationship cannot be deduced directly from standard demand profiles but reflects the combined effects of electrification of thermal generation, efficiency of generation equipment, specific building usage patterns, and substitution of alternative fuels (in particular, gas for heating). In particular, at lower temperatures, gas heating reduces the proportion of electric load. Figure 3 is significant because it highlights two critical issues: the close relationship between thermal and electrical demand and the need to use data-driven models to accurately capture that interaction.
1.
First, there is considerable sensitivity of electricity consumption to increases in neutral temperature. Thus, differences of +14 °C mean an overconsumption of 54% in the case of TS158 and 110% in the case of TS32.
2.
Second, electricity consumption in heating-dominated climatic conditions is much less sensitive to outside temperatures than the corresponding consumption in cooling-dominated conditions. This fact is related to a substitute fuel, such as fossil gas, with a strong penetration in Crevillente and much of Spain and southern Europe.
Following this perspective, the following section analyzes the factors that influence this reality, such as the prevalence of different technologies and sources of heating and cooling in a town such as Crevillente. It should be noted that it has not been possible to obtain information directly from the homes analyzed, so bibliographic and statistical sources have been resorted to, which, as will be demonstrated, are scarce and not very up-to-date [43].

4.3. Description of the Base Case

The base case refers to two specific days (19 January 2023 and 14 July 2023). These two days have been chosen because the winter and summer profiles have been studied, and these days are the most representative and have the highest electricity consumption due to thermal needs. Therefore, the simulation these days was considered the extreme case that could occur in winter (the first date) and summer (the second). In particular, the maximum heating consumption during 2023 was obtained on 19 January at 8:00 p.m., while the equivalent cooling consumption was obtained on 14 July at 7:00 a.m. as shown in Figure 4, which depicts the load profiles on both days for the base case, considering all the TSs for this study.
Due to the particular characteristics of this specific network, most consumers are residential, but there are also some industrial and commercial consumers, as well as offices and utilities.

4.4. Setting Up Scenarios

The scenarios developed in this study are designed to evaluate the impact of increasing electricity demand on microgrid operation and the management of the ECHO-TSS TES system under realistic yet progressively challenging conditions. The formulation of these scenarios is based on quantitative projections of electricity consumption, historical demand patterns, and sectoral trends in electrification, ensuring that the analysis reflects plausible near- and mid-term developments in residential, commercial, and transport sectors:
  • Scenario 1: this scenario represents the simulation of the actual electricity demand observed on the selected days, serving as a reference for all subsequent sensitivity analyses. The loads correspond to measured historical consumption profiles of the microgrid, as well as the operational characteristics of the distribution network under typical conditions. By using real data, this scenario provides a baseline for evaluating the microgrid’s normal operation, including voltage profiles, line and transformer loading, and overall power flow dynamics, under conditions that reflect actual consumer behavior and seasonal variations.
  • Scenario 2: reflects a moderate growth in electricity demand due to increased adoption of electric vehicles (EVs), average population growth, and rising electricity consumption for HVAC and household appliances. This scenario incorporates trends associated with remote work, which increases daytime residential electricity usage. The 50% demand increase is based on projections from regional energy studies and national statistical data [44], representing a realistic intermediate growth trajectory for urbanized microgrids.
  • Scenario 3: 75% captures a higher growth trajectory, including widespread electrification of heating and transport, high adoption rates of EVs, moderate commercial sector expansion, and more frequent extreme weather events that increase HVAC loads. The percentage increase is aligned with forecasts from energy agencies [45], integrated climate projections, and urban expansion scenarios.
  • Scenario 4: represents an extreme yet realistic scenario characterized by full electrification of residential, transport, and industrial sectors [46], rapid urban growth, high industrial and commercial demand, and the maximum expected contribution of HVAC systems during peak periods. This scenario functions as a stress test to evaluate the robustness, operational flexibility, and coordination efficiency under conditions of maximal electricity demand, providing insights into microgrid performance limits and resilience under extreme operational conditions.
The criteria for defining these scenarios are grounded in three main pillars:
  • Historical demand analysis: Typical and peak daily load profiles were identified from historical consumption data, focusing on heating-dominated winter days and cooling-dominated summer days.
  • Sectoral and technological trends: Growth rates in electricity consumption due to electrification of transport, residential heating/cooling, and appliance usage.
  • Sensitivity and stress testing: Incremental load increases (50%, 75%, 100%) were chosen to systematically evaluate the microgrid performance under progressively challenging conditions, allowing a robust sensitivity analysis that identifies operational limits and response capabilities.
The selected days for simulation 19 January 2023 for winter peak and 14 July 2023 for summer peak were chosen because they correspond to historical peak demand periods for heating and cooling, respectively. All loads were modeled with a power factor of 0.9, reflecting historical averages and ensuring a realistic representation of the effects of reactive power on voltage and line loading. The scenarios were implemented in OpenDSS using incremental scaling of load profiles, maintaining consistency across all buses and ensuring that TES operation and dispatch could be analyzed in response to varying levels of demand.

5. Results

5.1. Evaluating Different Scenarios in the Network Model

5.1.1. Scenario 1

In this scenario, the actual load demanded on the network offered by the DSO is simulated. Table 1 and Table 2 show the operating variables of the grid on the most critical days considered, in this case corresponding to 19 January 2023 at 8:00 p.m. and 14 July 2023 at 7:00 a.m. In this baseline scenario, no network element is overloaded, which is normal since this is the actual situation in the network.
As reflected by the electrical parameters of the network shown in Table 1, the system operates well within the acceptable operational ranges. This indicates that under baseline conditions using historical demand profiles the microgrid maintains voltage levels, line and transformer loadings, and power flows within their design limits. Such performance confirms the network’s stability and the adequacy of its existing infrastructure for handling normal consumption patterns. It also provides a reference point against which the impacts of increased demand scenarios can be evaluated, ensuring that deviations from standard operation are clearly attributable to load growth rather than inherent system limitations.

5.1.2. Scenario 2

This scenario has considered a 50% increase in energy demand in all TS in order to evaluate areas of possible overload. In this case, the 50% increase in demand does not saturate any of the power lines in the system. As shown in Table 3 and Table 4, the 50% represents an increase of 6521.62 kW in demand at the peak time of day (7:00 a.m.) on 14 July 2023, but on 19 July 2023 it represents an increase of 7701.88 kW at the peak time of day (10:00 p.m.).
After increasing the demand by 50%, an increase in both active and reactive power losses is observed, while voltage levels decrease, resulting in undervoltage conditions throughout all hours of the simulated days. This scenario highlights the impact of moderate demand growth on the microgrid’s performance. The rise in active and reactive power losses is a direct consequence of higher currents flowing through the network, which increases resistive and reactive line losses. Simultaneously, the voltage drop across distribution lines becomes more pronounced, leading to undervoltage conditions that persist during the evaluated periods.

5.1.3. Scenario 3

In this scenario, a 75% increase in power demand in the all TS has been considered. As shown in Table 5 and Table 6, the 75% increase on 19 January 2023 represents an increase in demand of 11,552.82 kW at the peak time of day, while on 14 July 2023, it represents an increase in demand of 9782.42 kW.
The 75% increase in demand represents a significant overload on lines LA1, LA2, and LA3, in that order. The largest overload occurs on line LA2 corresponding to the winter season, since in this case, there is no overload line in summer.
With a 75% increase in demand, there is a marked rise in both active and reactive power losses, accompanied by a significant decline in voltage levels, leading to undervoltage conditions during all hours of the simulated days. Under this high-demand scenario, the distribution network experiences elevated current flows that intensify resistive and reactive losses throughout the system. The substantial voltage drops indicate that the network is under significant stress, approaching its operational limits, which can compromise power quality and reliability. These conditions highlight the importance of proactive network management, including optimal dispatch of distributed energy resources. Such interventions are important to mitigate voltage deviations, maintain system stability, and ensure efficient operation under heavy loading conditions.
The maximum overload will occur on line LA2, equivalent to 1009.78 kW in winter. The maximum daily overload per line is shown in Table 7.
In this scenario, the maximum overload reaches 10% on line LA2 in winter, so that in summer, there is no overload in the period analyzed. The remaining values remain below 9%.

5.1.4. Scenario 4

In this scenario, a 100% increase in electricity demand was simulated in all the TSs. In this case, power lines LA1, LA2, LA4, LA3, and transformers TR2 and TR1 are overloaded, as shown in Figure 5, where the thickness of the line is proportional to the overload. The red dot shows the location of the substation (connection to the upstream power grid and slack bar for simulation purposes).
After doubling the demand (a 100% increase), active and reactive power losses rise substantially, while voltage levels experience a pronounced drop, resulting in persistent undervoltage conditions throughout all simulated days, as it can be seen in Table 8 and Table 9. This extreme-demand scenario demonstrates the microgrid operating at or beyond its design limits. The significant increase in active and reactive losses is caused by much higher current flows throughout the distribution network, which intensify both resistive and reactive line losses. Voltage profiles are heavily impacted, with widespread undervoltage observed, indicating severe stress on the network infrastructure. Such conditions underscore the critical need for robust operational strategies, including dynamic voltage support, optimal dispatch of distributed generation, and strategic utilization of energy storage systems, such as the ECHO-TSS thermal storage. These measures are important for maintaining voltage stability, minimizing losses, and ensuring reliable operation under extreme loading conditions.
As shown in Table 10, the maximum overload occurs on line LA2 at 20:00 in winter, with an overload of 2319.98 kW. Similarly, Table 11 shows the overload in transformers.

5.2. Discussion of Results

5.2.1. Implications of Obtained Results in the Four Considered Scenarios

The analysis of the four scenarios provides a comprehensive understanding of the microgrid’s operational limits and highlights the potential role of the ECHO-TES solution.
The baseline demand is represented in Scenario 1. According to this scenario, the network operates well within design limits, with voltage levels and line loadings remaining stable throughout the simulated days. This confirms that the existing infrastructure can reliably support current consumption patterns without risk of overloads or undervoltage events.
A moderate 50% inreases in demand is considered in Scenario 2, where there is a noticeable rise in active and reactive power losses, as well as minor voltage drops; however, no critical overloads occur. These findings suggest that the distribution network possesses sufficient resilience to accommodate moderate growth in residential, commercial, and EV-related loads, even under climate-driven seasonal extremes. The system’s capacity margin remains adequate, indicating that short-term increases in demand do not immediately threaten overall stability.
The network experiences pronouned stress when demand increases up to 75%, which is simulated in Scenario 3. In this scenario, active and reactive power losses escalate further, and voltage levels drop significantly, resulting in undervoltage conditions across all hours. Specific lines—particularly LA1, LA3, LA2, and LA4 begin to approach operational limits due to their proximity to heavily loaded transformers and high baseline utilization. This scenario highlights the network’s sensitivity to intensified electrification, as peak winter and summer loads push certain sections of the grid closer to capacity, underscoring the need for proactive operational management.
Finally, Scenario 4, represents a 100% increase in demand, which demonstrates the extreme limits of the microgrid. Both active and reactive losses rise sharply, and severe voltage drops occur, producing widespread undervoltage throughout the simulation period. Line LA2 reaches a critical 23.18% overload, while other key lines approach or exceed their nominal capacity. These results indicate that under full electrification and extreme demand conditions, the network alone cannot maintain voltage stability or acceptable line loadings without additional support.
The preliminary analysis strongly suggests that the ECHO-TES system has significant potential to mitigate these operational constraints. By strategically dispatching stored thermal energy, the ECHO-TSS can reduce peak electricity demand, thereby alleviating overloads on critical lines and improving voltage profiles. Once integrated into the simulations, the ECHO units are expected to restore operational margins, increase flexibility, and delay or avoid costly infrastructure upgrades.
Additionally, the scenarios reveal a higher sensitivity to winter heating loads compared to summer cooling, as evidenced by consistently greater voltage drops and line loading during January simulations. This highlights the growing operational impact of electrified heating under changing climate patterns and suggests that energy storage and demand management strategies should prioritize periods of peak heating demand. Overall, the scenario analysis demonstrates that while the existing distribution network is adequate under current and moderately increased loads, high and extreme demand growth scenarios expose structural and operational vulnerabilities. The inclusion of ECHO-TSS in subsequent simulations will provide a critical evaluation of its effectiveness in mitigating these constraints, supporting both network reliability and resilience under evolving electrification trends.

5.2.2. Modeling TES Dynamics for Microgrid Management in OpenDSS

The dynamic behavior of TES was modeled using the native storage element functionality in OpenDSS, which enables the representation of both the energy capacity and time-dependent operational behavior of each storage unit. Each TES unit is defined as a three-phase storage device connected to a specific bus, with parameters including rated power (kWRated), rated energy (kWhRated), and initial stored energy (kWhStored). Charge and discharge efficiencies (%EffCharge and %EffDischarge) were included to account for thermal conversion losses, ensuring that the stored energy accurately reflects the system’s actual behavior over time.
To capture daily operating dynamics, each TES unit follows a LoadShape profile that defines the fraction of maximum power used at each hourly step. For example, the TESshape LoadShape used in this study represents typical winter operation, where charging occurs during low-demand hours and discharging occurs during peak hours. OpenDSS updates the energy content of the TES at each step of the simulation according to the following relationship: stored energy increases or decreases based on the scheduled charge/discharge power, multiplied by efficiency, taking into account losses and operating limits. This approach enables TES units to respond dynamically to grid conditions simulated in OpenDSS, including voltage variations, line loading, and transformer capacity constraints. Electric system constraints were explicitly modeled to ensure realistic operation and microgrid stability. Bus voltages were maintained within the limits of 0.93–1.07 per unit, and line and transformer loads were restricted to 100% of their rated capacities. Additionally, power factor requirements of at least 0.95 were applied. Within these limits, TES units interact with the grid by modulating their charging and discharging power, helping to mitigate potential voltage violations and overloads.
The TES system control strategy is implemented through a combination of LoadShape-based dispatch and energy state management. Specifically, the control logic prioritizes charging during periods of low electrical demand or high renewable generation availability and discharging during peak demand periods or when network constraints are present. The dispatch is governed by the current state of charge (SOC) of each TES unit, ensuring that energy remains within the defined minimum and maximum limits to avoid overcharging or deep discharging. Additionally, the system incorporates power limits such that instantaneous charge or discharge does not exceed the rated capacity of the TES. This control strategy enables TES units to operate autonomously, responding to both predefined schedules and real-time grid conditions, while providing ancillary services such as peak shaving, voltage regulation, and load leveling within the microgrid.
The limitations of the TES system were defined according to the characteristics of the ECHO-TES prototypes. Each storage unit is limited by its maximum and minimum energy capacity, ensuring that the state of charge remains within viable limits. The charging and discharging power cannot exceed the nominal power of the storage system, and energy conversion losses are accounted for through defined efficiencies. Additionally, the dispatch mode in OpenDSS was configured to follow the LoadShape, providing a simplified yet realistic approximation of the operating schedules. By combining these features, the model captures the temporal and operational flexibility of TES units and their impact on microgrid performance. This methodology enables the simulation of intraday variations in stored energy and power flows, demonstrating how TES can alleviate technical constraints, smooth load profiles, and maintain grid stability. OpenDSS provides a detailed representation of the power grid’s response, while the LoadShape-based storage model and SOC-aware control strategy ensure that the behavior of thermal storage reflects realistic operational dynamics.

5.2.3. Proposed Solution with ECHO-TES Devices to Manage Technical Constraints

ECHO-TES devices can provide flexibility to the power grid in the sense that energy can be stored when the system is in surplus (e.g., when there is an excess of photovoltaic production, which may overload some electric infrastructure), and it can be delivered when the system is in deficit. In this way, the ECHO-TES device absorbs electricity from the grid, but it does not deliver electricity because the reduction in electricity consumption corresponds to the electrical energy that would have been used by heat pumps, which is now supplied as heat by the ECHO-TES unit. Unlike a battery that returns electricity to the grid, an ECHO-TES unit returns thermal energy stored as heat or cool. In practice, this means an ECHO-TES can offload the heating demand from electric heat pumps: when discharging, it supplies thermal energy (heat) to the home, so the heat pump’s compressor does not need to run (thereby reducing electrical demand at that time). The performed simulation treats this reduction in demand as a form of virtual battery injection—effectively ‘freeing up’ that portion of electrical load. As a matter of illustration of the ECHO-TES concept, the activation of the ECHO-TES virtual battery has been simulated to help solving the maximum overload produced in Scenario 4 on 19 January 2023, when this overload was maximum.
The considered hypotheses to perform this evaluation are the following:
  • ECHO-TES devices will be placed on the buses where the increment of load for Scenario 4 has been produced.
  • ECHO-TES devices will have a storage capacity equivalent to the energy that overloads the power line during the day 19 January 2023 (that is, the area below the curve represented in Figure 6).
  • The storage capacity for an ECHO-TES unit is considered equivalent to be equal to 3 kWe, maintaining the heat at this rate for at least 1 day. This means that during the day when the overload has been produced, the ECHO-TES unit will be able to supply the thermal energy usually produced by heat pumps and, therefore, reduce the electricity that would overload the power line. After that, during the following days, the ECHO-TES would be charged again, consuming electricity when the power line is not overloaded.
The amount of energy overloading the line during the chosen day is:
E s t o r e d = 0 : 00 23 : 59 P o v e r l o a d t · d t
The total overload that occurs in the four power lines mentioned in Table 9 is shown in Figure 6, where the maximum aggregated overload occurs at 8:00 p.m, reaching 6546.04 kW.
Therefore, Estored corresponds to the area below the aggregated overload curve, equal to 6546.04 kWh during the peak hour.
Considering that 1 ECHO-TES unit can supply the stored heat at the nominal rated power for at least 1 day, the number of ECHO-TES units of 3 kWe that would be necessary to evacuate the energy overloading the four power lines would be calculated as follows:
N E C H O T S S = P o v e r l o a d m a x P E C H O T S S U N I T
Therefore, the number of units to reduce the maximum mean overload would equal 2183 ECHO-TES units have been distributed proportionally in saturated areas based on the number of residential consumers in the area.
The strategic deployment of 2183 ECHO-TES units within the overloaded sector of the distribution network has proven highly effective in mitigating capacity stress. The simulation results indicate that the system was able to completely eliminate overloads during nearly all hours of the day. Most notably, during the network’s peak stress period—at 8:00 PM—the ECHO-TES system succeeded in reducing the overload by approximately 70%. As shown in Figure 7, this result highlights the ability of ECHO-TES devices to solve operational issues in the distribution grid, depending on the benefits of the devices’ users when providing such services based on incentives and price signals to be produced by a potential flexibility market.
To ensure thermal energy delivery to consumers during the critical day, it has been established that ECHO-TES devices must be charged in the days leading up to it. To this end, a new simulation has been carried out to assess the impact of this strategy on the electricity grid. Certain important assumptions have been defined: an efficiency of 90% is assumed, which means that the electrical energy required for charging is 10% higher than the thermal energy that is subsequently delivered to consumers. In addition, it is considered that the devices are completely unloaded four days before the critical day, and that their charge is distributed over the three previous days (D-4, D-3 and D-2), maintaining a constant average power through a staggered charging process. Neither charging nor discharging is carried out on D-1 day, since at this time the electricity demand begins to increase progressively, and on D-day the devices simultaneously discharge the stored energy. The results obtained indicate that the reduced electrical energy on the day of activation of the flexibility (19 January 2023) is 6546.04 kWh, while the total energy required for charging the devices is 7200.79 kWh. Considering that the storage capacity of each device is 18 kWh, it is estimated that each unit needs approximately 6 h to complete its charge. Despite this increase in demand during peak consumption days, most lines operate under normal conditions without experiencing overloads, indicating that the distributed load strategy is effective in avoiding significant impacts on the grid.
The integration of the ECHO-TES units produces clear enhancements in the electrical performance of the microgrid across all evaluated scenarios. As illustrated in Figure 8, the deployment of TES leads to a noticeable reduction in the active power supplied by the grid. This effect is attributed to the ECHO-TES system’s ability to shift part of the thermal demand away from peak periods, thereby reducing the real-power burden on the distribution network during the most critical hours.
Reactive power behavior remains essentially unchanged when comparing the system with and without ECHO-TES. This indicates that the thermal storage solution primarily influences the active power component, while leaving the reactive power exchange largely unaffected. This is consistent with the fact that TES units operate on thermal rather than electrical reactive processes and do not introduce significant reactive power support or demand.
A key benefit of ECHO-TES deployment is the reduction in both active and reactive power losses throughout the network. By alleviating peak loading on critical lines and lowering current flows, the TES operation effectively decreases resistive and reactive losses. This improvement directly translates into enhanced network efficiency and reduced thermal stress on distribution components. Moreover, the development of peak management strategies based on the ability of ECHO-TES to store energy which can be shifted to less critical periods has implications for grid planning as it may reduce the need of expanding the electric infrastructures to be used for few hours a year, helping grid owners to allocate future investments. On the other side, the proposed model help to identify the best location of the ECHO-TES devices in the grid, which helps to a more efficient planning of the grid.
Voltage performance also improves significantly with the incorporation of ECHO-TES. The reduction in peak loading and current flow mitigates voltage drops along heavily loaded feeders, resulting in higher and more stable voltage profiles across the network. This improvement is particularly relevant under high-demand scenarios, where the system without thermal storage exhibits widespread undervoltage conditions. The ECHO-TES therefore contributes directly to improved power quality and operational reliability.
It is also important to highlight that system frequency remains unchanged with and without ECHO-TES in all scenarios. This behavior reflects the fact that frequency stability at the microgrid level is dominated by the characteristics of the upstream grid or local generation control, and that the TES units being non electrical storage devices do not interact with frequency regulation mechanisms.

6. Conclusions

This study established a comprehensive theoretical and methodological framework to evaluate the integration of the ECHO-TSS system within a distribution-level microgrid, incorporating smart control strategies aimed at optimizing renewable energy utilization and enhancing network flexibility. The modeling approach, combining OpenDSS simulations with Python-based automation, enabled a detailed assessment of the technical constraints associated with increasing thermal and electrical demand, as well as the potential of ECHO-TES units to mitigate these constraints under diverse operating conditions. The modeling and scenario analysis demonstrated pronounced differences in the behavior of thermal demand: cooling consumption showed strong sensitivity to variations in outdoor temperature, while heating loads exhibited a more stable but seasonally concentrated pattern. These characteristics have direct implications for grid operation, as they shape the magnitude and timing of peak electricity demand and, consequently, the network’s exposure to voltage deviations and line loading constraints. The simulation platform developed in this work accurately replicated the electrical behavior of the microgrid across the four demand growth scenarios, capturing the progressive deterioration of voltage profiles, the increase in active and reactive power losses, and the emergence of line overloads under high and extreme load conditions. This validated framework provided a reliable basis for evaluating the effectiveness of thermal storage as a grid-supporting resource.
A key contribution of the study lies in quantifying the technical benefits of integrating ECHO-TES units. The results demonstrated that, even under extreme scenarios where electrical demand was doubled, the deployment of ECHO-TES in the most critical zones of the network significantly mitigated operational stress. The storage units effectively reduced peak active power demand, decreased both active and reactive power losses, and improved voltage conditions across the network. Importantly, the TES integration did not adversely affect system frequency or reactive power exchange. These findings highlight the potential of thermal storage as a non-electrical flexibility mechanism capable of relieving congestion, supporting voltage regulation, and postponing infrastructure reinforcement. The research also confirmed that ECHO-TES enhances demand management by enabling the temporal redistribution of thermal loads, thereby reducing pressure on the distribution grid during peak periods. This capability is particularly relevant in the context of increasing electrification of heating and cooling, where traditional grid assets alone may be insufficient to maintain operational margins. By alleviating technical constraints, ECHO-TES contributes to a smoother integration of renewable resources, supporting the broader transition towards low-carbon and climate-resilient energy systems.
Future work could expand this analysis by refining control algorithms to optimize TES charging and discharging based on real-time grid conditions, integrating distributed renewable energy sources such as rooftop PV, and assessing the combined impact of coordinated thermal and electrical storage systems. In addition, studies on the economic feasibility, regulatory barriers, user-side behavioral impacts, and large-scale deployment strategies of ECHO-TES would provide valuable insights to support decision-making and accelerate adoption. Ultimately, the results indicate that thermal storage constitutes a promising and scalable solution for enhancing the operational flexibility and resilience of modern microgrids.

Author Contributions

Conceptualization, M.A.-O., J.F.U. and B.B.-B.; software, A.O.O.-A., J.F.U., B.B.-B. and Á.M.-P.; validation, A.O.O.-A., M.A.-O. and J.F.U.; formal analysis, A.O.O.-A., M.A.-O., J.F.U., B.B.-B. and Á.M.-P.; investigation, A.O.O.-A., M.A.-O., J.F.U., B.B.-B. and Á.M.-P.; writing—original draft preparation, A.O.O.-A. and M.A.-O.; writing—review and editing, M.A.-O., J.F.U., B.B.-B. and E.G.-S.; visualization, A.O.O.-A., M.A.-O., J.F.U., B.B.-B. and Á.M.-P.; supervision, M.A.-O., J.F.U. and E.G.-S. All authors have read and agreed to the published version of the manuscript.

Funding

This work was funded by the European Union’s Horizon Europe research and innovation programme within the ECHO project, under grant agreement No. 101096368. Views and opinions expressed are however those of the author(s) only and do not necessarily reflect those of the European Union or the European Climate Infrastructure and Environment Executive Agency (CINEA). Neither the European Union nor the granting authority can be held responsible for them.

Institutional Review Board Statement

Not applicable.

Informed Consent Statement

Not applicable.

Data Availability Statement

Restrictions apply to the availability of these data. Data were obtained from a private company and some of them are confidential. They could be available from the corresponding author with the permission of Grupo Enercoop.

Acknowledgments

Authors specially thank the contribution of the company ENERCOOP. This work received funding from the European Union’s Horizon Europe research and innovation program within the ECHO project, under grant agreement No. 101096368.

Conflicts of Interest

Author Efrén Guilló-Sansano was employed by the company ENERCOOP. The remaining authors declare that the research was conducted in the absence of any commercial or financial relationships that could be construed as a potential conflict of interest.

Abbreviations

Terms and Acronyms:
CCHPCombined Cooling, Heating, and Power
CHPCombined Heat and Power
DERDistributed Energy Resources
DSODistribution System Operator
ECHO-TESEfficient Compact Modular Thermal Energy Storage
ECHO-TSSEfficient Compact Modular Transaction Simulation System
EMSEnergy Management System
EPRIElectric Power Research Institute
ESSEnergy Storage Systems
EUReCAEnergy Urban Resistance Capacitance Approach
HCHeating and Cooling
HVACHeating, Ventilation, and Air Conditioning
LDESLong Duration Energy Storage
NCRfGNetwork Code on Requirements for Generators
PVPhotovoltaic
REERed Eléctrica de España
RESRenewable Energy Sources
SOCState of Charge
TCMSThermochemical Materials
TESThermal Energy Storage
TSTransformation Station
Variables
Vk(n+1)The voltage magnitude at the bus k for the iteration that is being calculated “n+1” (kV)
Vk (n)The voltage magnitude at the bus k obtained in the previous iteration “n” (kV)
ykkThe element of the admittance matrix located at the row k and column k
ykiThe element of the admittance matrix located at the row k and column i
NThe number of buses in the considered system
Pik,iThe value of real power from the bus i (kW)
Qik,iThe value of reactive power from the bus k (kvar)
ViThe voltage (magnitude) of bus i “beginning of the line” (kV)
VkThe voltage(magnitude) of bus k “end of the line” (kV)
EstoredEnergy stored (kWh)
Poverload(t)Value of aggregated overload curve for the period t (kW)
PActive Power (kW)
QReactive Power (kvar)
PkNet value of real power in the bus k (kW)
QkNet value of reactive power (kvar)
δiThe voltage phase of bus i (beginning of the line)
δkThe voltage phase of bus k (end of the line)
GsikThe real part of the series admittance of the line starting at bus i and ending at Bus k (S)
BsikThe imaginary part of the series admittance of the line starting at bus i and ending at bus k (S)
BpikThe imaginary part of the shunt admittance of the line starting at bus i and ending at bus k (S)
VkThe voltage magnitude at the bus k “where Pk and Qk are being evaluated” (kV)
ViThe voltage magnitude at each of the i buses of the system, including the bus k
δiThe voltage phase at each bus i (kV)
GkiThe real part of the admittance matrix element located at the row k and column i
RsResistance in series
XsReactance in series
BpThe parallel capacitive susceptance (S)
YpThe parallel admittance (S)
R′SThe resistance of the element at the actual temperature of the grid (Ω)
RsThe standard resistance of the element at the temperature of 20 °C (Ω)
βThe coefficient of variation with temperature. It takes the value of 3.93 × 10−3 °C−1 for copper and 4.07 × 10−3 °C−1 in case of aluminum (°C−1)
T2The actual temperature at which the grid is (°C)
[I]Vector where each component is the net balance of currents at each of the N buses of the grid
[V]Vector where each component is the complex voltage at each of the N buses of the grid
GikThe real part of the admittance matrix element located at the row i and column k (S)
BikThe imaginary part of the admittance matrix element located at the row i and column k (S)

References

  1. ECHO Project. Available online: https://echo-euproject.eu (accessed on 29 July 2025).
  2. Vallese, L.; Lombardo, G.; Menegazzo, D.; Bordignon, S.; De Carli, M.; Barison, S.; Agresti, F.; Baccega, E.; Bobbo, S.; Fedele, L.; et al. Evaluating the behaviour of a composite of CaCl2 and vermiculite for thermochemical adsorption energy storage: Experimental tests during the charging and discharging phases. Appl. Therm. Eng. 2024, 263, 125311. [Google Scholar] [CrossRef]
  3. Brunelli, L.; Borri, E.; Pisello, A.L.; Nicolini, A.; Mateu, C.; Cabeza, L.F. Thermal Energy Storage in Energy Communities: A Perspective Overview through a Bibliometric Analysis. Sustainability 2024, 16, 5895. [Google Scholar] [CrossRef]
  4. Prataviera, E.; Romano, P.; Carnieletto, L.; Pirotti, F.; Vivian, J.; Zarrella, A. EUReCA: An open-source urban building energy modelling tool for the efficient evaluation of cities energy demand. Renew. Energy 2021, 173, 544–560. [Google Scholar] [CrossRef]
  5. Carvajal, A.; García-Colón, V.R. High capacity motors on-line diagnosis based on ultra wide band partial discharge detection. In Proceedings of the 4th IEEE International Symposium on Diagnostics for Electric Machines, Power Electronics and Drives, Atlanta, GA, USA, 24–26 August 2003. [Google Scholar]
  6. Sain, C.G. Ideals. 10 April 2019. Available online: https://www.ideals.illinois.edu/items/111912 (accessed on 29 July 2025).
  7. Zhang, Y.; Chen, Z.; Chen, J.; Su, Y.; Riffat, S. Comparative performance analysis of microchannel flat tube heat exchangers in thermochemical energy storage systems for water heating. Energy 2024, 313, 134102. [Google Scholar] [CrossRef]
  8. Horrillo-Quintero, P.; De la Cruz-Loredo, I.; García-Triviño, P.; Ugalde-Loo, C.E.; Fernández-Ramírez, L.M. Impact of Thermal Stores on Multi-Energy Microgrids with Multi-Layer Dynamic Control Architecture. Sustain. Energy Grids Netw. 2025, 42, 101667. [Google Scholar] [CrossRef]
  9. Lv, G.; Ji, Y.; Zhang, Y.; Wang, W.; Zhang, J.; Chen, J.; Nie, Y. Optimization of building microgrid energy system based on virtual energy storage. Front. Energy Res. 2023, 10, 1053498. [Google Scholar] [CrossRef]
  10. Oná-Ayécaba, A.O.; Rodríguez-García, J.; Alcázar-Ortega, M.; Álvarez-Bel, C. Design of a dynamic Local Energy Market for Smart Grids. In Proceedings of the 12th International Conference on Smart Grid (icSmartGrid), Setúbal, Portugal, 27–29 May 2024. [Google Scholar]
  11. Kounev, V.; Tipper, D.; Levesque, M.; Grainger, B.M.; Mcdermott, T.; Reed, G.F. A microgrid co-simulation framework. In Proceedings of the Workshop on Modeling and Simulation of Cyber-Physical Energy Systems (MSCPES), Seattle, WA, USA, 13 April 2015. [Google Scholar]
  12. Lamanna, C.; Oná-Ayécaba, A.O.; Montuori, L.; Alcázar-Ortega, M.; Rodríguez-García, J. Design of a Methodology to Evaluate the Energy Flexibility of Residential Consumers to Enhance Household Demand Side Management: The Case of a Spanish Municipal Network. Appl. Sci. 2025, 15, 7827. [Google Scholar] [CrossRef]
  13. Ton, D.T.; Smith, M.A. The U.S. Department of Energy’s Microgrid Initiative. Electr. J. 2012, 25, 84–94. [Google Scholar] [CrossRef]
  14. Soshinskaya, M.; Crijns-Graus, W.; Van der Meer, J.; Guerrero, J.M. Application of a microgrid with renewables for a water treatment plant. Appl. Energy 2014, 134, 20–34. [Google Scholar] [CrossRef]
  15. Parida, B.; Iniyan, S.; Goic, R. A review of solar photovoltaic technologies. Renew. Sustain. Rev. 2011, 15, 1625–1636. [Google Scholar] [CrossRef]
  16. Hirsch, A.; Parag, Y.; Guerrero, J. A review of technologies, key drivers, and outstanding issues. Renew. Sustain. Energy Rev. 2018, 90, 402–411. [Google Scholar] [CrossRef]
  17. Efkarpidis, N.A.; Imoscopi, S.; Geidl, M.; Cini, A.; Lukovic, S.; Alippi, C.; Herbst, I. Peak shaving in distribution networks using stationary energy storage systems: A Swiss case study. Sustain. Energy Grids Netw. 2023, 34, 101018. [Google Scholar] [CrossRef]
  18. Duan, Y.; Zhao, Y.; Hu, J. An initialization-free distributed algorithm for dynamic economic dispatch problems in microgrid: Modeling, optimization and analysis. Sustain. Energy Grids Netw. 2023, 34, 101004. [Google Scholar] [CrossRef]
  19. Diva Mustika, A.; Rigo-Mariani, R.; Debusschere, V.; Pachurka, A. A two-stage management strategy for the optimal operation and billing in an energy community with collective self-consumption. Appl. Energy 2022, 310, 118484. [Google Scholar] [CrossRef]
  20. Mirza Tercan, S.; Demirci, A.; Gokalp, E.; Cali, U. Maximizing self-consumption rates and power quality towards two-stage evaluation for solar energy and shared energy storage empowered microgrids. J. Energy Storage 2022, 51, 104561. [Google Scholar] [CrossRef]
  21. Shen, L.; Dou, X.; Long, H.; Li, C.; Chen, K.; Zhou, J. A collaborative voltage optimization utilizing flexibility of community heating systems for high PV penetration. Energy 2021, 232, 120989. [Google Scholar] [CrossRef]
  22. Jacobs, M.; Gupta, R.; Paolone, M. Week-ahead dispatching of active distribution networks using hybrid energy storage systems. Sustain. Energy Grids Netw. 2024, 39, 101500. [Google Scholar] [CrossRef]
  23. Yan, M.; Wang, D.; Lai, C.S.; Lai, L.L. A Review on Thermal Energy Modelling for Optimal Microgrids Management. Thermo 2021, 1, 63–76. [Google Scholar] [CrossRef]
  24. Montenegro, R.; Dugan, R.; Taylor, J.; McGranaghan, M. Open-source software projects for advancing the power systems analysis. In Proceedings of the Open Source Modelling and Simulation of Energy Systems (OSMSES), Aachen, Germany, 4–5 April 2022. [Google Scholar]
  25. Parker, G.G.; Tan, B.; Kazan, O. Electric Power Industry: Operational and Public Policy Challenges and Opportunities. Oper. Manag. 2019, 28, 2738–2777. [Google Scholar] [CrossRef]
  26. Vera Silva, C.; Marulanda Guerra, A.R. OPENDSS aplicado al modelamiento y simulación dinámica de microrredes. Visión Electrónica 2018, 12, 149–161. [Google Scholar] [CrossRef]
  27. Cohn, L. Testing Long-Duration Energy Storage in Microgrids for Military and Native Lands Applications. 2 July 2024. Available online: https://www.microgridknowledge.com/energy-storage/article/55094025/testing-long-duration-energy-storage-in-microgrids-for-military-and-native-lands-applications (accessed on 30 July 2025).
  28. Ciftci, O. LSU Scholarly Repository. 11 October 2017. Available online: https://repository.lsu.edu/gradschool_theses/4351/ (accessed on 30 July 2025).
  29. Chen, J. Optimize configuration of multi-energy storage system in a standalone microgrid. Front. Energy Res. 2023, 11, 1283859. [Google Scholar] [CrossRef]
  30. Mishra, S.; Anderson, K.; Miller, B.; Boyer, K.; Warren, A. Microgrid resilience: A holistic approach for assessing threats, identifying. Appl. Energy 2020, 264, 114726. [Google Scholar] [CrossRef]
  31. Baringo, L.; Conejo, A.J. Strategic offering for a wind power producer. IEEE Trans. Power Syst. 2013, 28, 4645–4654. [Google Scholar] [CrossRef]
  32. Siano, P. Demand response and smart grids—A survey. Renew. Sustain. Energy Rev. 2014, 30, 461–478. [Google Scholar] [CrossRef]
  33. Paliwal, P.; Patidar, N.P.; Nema, R.K. Planning of grid integrated distributed generators: A review of technology, objectives and techniques. Renew. Sustain. Energy Rev. 2014, 40, 557–570. [Google Scholar] [CrossRef]
  34. Islam Maruf, M.N.; Morales-España, G.; Sijm, J.; Helistö, N.; Kiviluoma, J. Classification, potential role, and modeling of power-to-heat and thermal energy storage in energy systems: A review. Sustain. Energy Technol. Assess. 2022, 53, 102553. [Google Scholar]
  35. Cheng, Z.; Geng, G.; Jiang, Q.; Guerrero, J.M. Energy Management of CHP-Based Microgrid withThermal Storage for Reducing Wind Curtailment. J. Energy Eng. 2018, 144, 04018066. [Google Scholar] [CrossRef]
  36. De-Jesús-Grullón, R.E.; Batista Jorge, R.O.; Espinal Serrata, A.; Espinal Serrata, J.E.; Pichardo Estévez, J.J.; Guerrero-Rodríguez, N.F. Modeling and Simulation of Distribution Networks with High Renewable Penetration in Open-Source Software: QGIS and OpenDSS. Energies 2024, 17, 2925. [Google Scholar] [CrossRef]
  37. Grid-Scape. Available online: https://grid-scape.com/long-duration-energy-storage-vs-microgrids-unraveling-the-key-distinctions/ (accessed on 30 July 2025).
  38. Mobasseri, A.; Tostado-Véliz, M.; Asghar Ghadimi, A.; Reza Miveh, M.; Jurado, F. Multi-energy microgrid optimal operation with integrated power to gas technology considering uncertainties. J. Clean. Prod. 2022, 333, 130174. [Google Scholar] [CrossRef]
  39. Enescu, D.; Chicco, G.; Porumb, R.; Seritan, G. Thermal Energy Storage for Grid Applications: Current Status and Emerging Trends. Energies 2020, 13, 340. [Google Scholar] [CrossRef]
  40. Rose, M.; Hans, C.A.; Schiffer, J. A predictive Operation Controller for an Electro-Thermal Microgrid Utilizing Variable Flow Temperatures. IFAC-PapersOnLine 2023, 56, 5444–5450. [Google Scholar] [CrossRef]
  41. Alcázar Ortega, M.; Cañas Peñuelas, C.S.; Escrivá Escrivá, G.; Fuster Roig, V.L.; Roger Folch, J. Generación, Transporte Y Distribución de Energía Eléctrica, 1st ed.; Universitat Politècnica de València: Valencia, Spain, 2019; Volume 1. [Google Scholar]
  42. UNE-EN 50160:2020; Voltage Characteristics of Electricity Supplied by Public Electricity Networks. AENOR: Madrid, Spain, 2020.
  43. IDEA. Análisis del Consumo Energético Energético del Sector Residencial en España (PROYECTO SECH-SPAHOUSEC). 16 July 2011. Available online: https://www.idae.es/uploads/documentos/documentos_Informe_SPAHOUSEC_ACC_f68291a3.pdf (accessed on 20 July 2025).
  44. IEA. Analysis and Forecast to 2027. 2025. Available online: https://iea.blob.core.windows.net/assets/7c671ef6-2947-4e87-beea-af0e1288e1d7/Electricity2025.pdf (accessed on 29 July 2025).
  45. EEA. Europe’s Environment 2025. 2025. Available online: https://www.eea.europa.eu/en/europe-environment-2025/countries/spain (accessed on 29 July 2025).
  46. Eurelectric. The New Industrial Age. 2025. Available online: https://powersummit2025.eurelectric.org/wp-content/uploads/2025/06/Industrial-electrification-competitiveness.pdf (accessed on 29 July 2025).
Figure 1. Methodology for the assessment and management of technical constraints in electrical distribution networks.
Figure 1. Methodology for the assessment and management of technical constraints in electrical distribution networks.
Applsci 15 13088 g001
Figure 2. Electrical Representation of a Power Line Using the “π” Model.
Figure 2. Electrical Representation of a Power Line Using the “π” Model.
Applsci 15 13088 g002
Figure 3. Variation in the electric demand as a function of temperature difference in centers (a) TS2R, (b) TS2L, and (c) TS2Y.
Figure 3. Variation in the electric demand as a function of temperature difference in centers (a) TS2R, (b) TS2L, and (c) TS2Y.
Applsci 15 13088 g003
Figure 4. Hourly Electricity Demand Profiles of the Microgrid under the Baseline Scenario.
Figure 4. Hourly Electricity Demand Profiles of the Microgrid under the Baseline Scenario.
Applsci 15 13088 g004
Figure 5. Microgrid Simulation under Scenario 4: Effects of a 100% Increase in Electricity Demand on Net-work Operation.
Figure 5. Microgrid Simulation under Scenario 4: Effects of a 100% Increase in Electricity Demand on Net-work Operation.
Applsci 15 13088 g005
Figure 6. Aggregated Power Line Overloads under Scenario 4: LA2, LA1, LA3, and LA4 Performance.
Figure 6. Aggregated Power Line Overloads under Scenario 4: LA2, LA1, LA3, and LA4 Performance.
Applsci 15 13088 g006
Figure 7. Impact of ECHO-TES Integration on Power Line Loading (LA1, LA2, and LA3) Under High-Demand Conditions of Scenario 4.
Figure 7. Impact of ECHO-TES Integration on Power Line Loading (LA1, LA2, and LA3) Under High-Demand Conditions of Scenario 4.
Applsci 15 13088 g007
Figure 8. Assessing the Impact of ECHO-TES Integration on Electrical Network Parameters.
Figure 8. Assessing the Impact of ECHO-TES Integration on Electrical Network Parameters.
Applsci 15 13088 g008
Table 1. Operating Variables of Electrical Network in Scenario 1. Winter.
Table 1. Operating Variables of Electrical Network in Scenario 1. Winter.
Winter—19 January 2023
HourActive Power Demand (kW)Reactive Power Demand (kvar)Active Losses (kW)Reactive Power Losses (kvar)Minimum Voltage in the System (p.u.)Maximum Voltage in the System (p.u.)
18536.361666.79142.51−2399.230.940.99
27601.251161.99108.24−2467.860.950.99
37067.89876.6492.07−2502.300.950.99
46994.65836.1989.21−2507.940.950.99
57267.37980.7395.67−2492.740.950.99
67597.451157.95105.99−2470.660.960.99
79989.742446.62190.52−2299.470.940.99
814,098.764729.98415.10−1898.890.920.98
914,996.665273.67477.34−1792.470.910.97
1012,751.035094.16400.47−1932.920.920.98
117463.134803.32384.47−2072.390.930.99
126068.895186.17467.34−2003.050.940.99
134622.695000.61498.69−2000.300.941.00
144108.934722.98486.26−2027.470.941.00
153856.074235.30427.84−2108.140.941.00
165010.214016.09358.17−2168.450.941.00
179041.464141.59295.98−2153.610.940.98
1813,412.614470.45382.26−1955.650.930.98
1914,010.684697.18428.17−1881.570.920.98
2014,552.095023.03485.45−1792.020.910.97
2115,174.715394.77549.60−1691.360.910.97
2214,546.405032.42501.98−1770.680.910.97
2312,420.583820.71351.25−2025.430.930.98
2410,163.902558.39217.20−2259.820.940.99
Table 2. Operating Variables of Electrical Network in Scenario 1. Summer.
Table 2. Operating Variables of Electrical Network in Scenario 1. Summer.
Summer—14 July 2023
HourActive Power Demand (kW)Reactive Power Demand (kvar)Active Losses (kW)Reactive Power Losses (kvar)Minimum Voltage in the System (p.u.)Maximum Voltage in the System (p.u.)
111,433.363250.53273.55−2154.300.930.98
210,430.192696.07221.23−2248.760.930.98
39764.192329.90189.74−2307.130.940.99
49587.692231.24179.19−2325.420.940.99
59536.502202.79176.58−2330.320.930.99
69897.412396.47188.02−2305.920.930.99
711,500.183267.96251.86−2180.790.930.98
813,127.364214.78345.45−2014.630.920.98
912,745.294624.42354.73−1999.800.910.98
1011,710.724941.41362.08−2002.860.920.98
1112,134.375192.76385.60−1958.700.920.98
129451.205244.34382.59−2017.630.930.98
135946.085341.47470.56−1989.640.930.99
145401.795311.38491.01−1974.960.930.99
154809.445103.90486.99−1994.270.931.00
164776.724755.69442.21−2051.590.931.00
175688.604660.20410.34−2070.510.930.99
187447.774587.52368.10−2085.020.930.98
199425.664353.53334.91−2088.000.930.98
2011,503.914179.39339.88−2046.540.920.98
2112,017.463736.93330.78−2059.740.930.98
2212,059.263617.25328.73−2065.130.930.98
2311,725.563432.82313.48−2094.290.930.98
2411,054.073057.56273.95−2163.460.940.98
Table 3. Operating Variables of Electrical Network in Scenario 2. Winter.
Table 3. Operating Variables of Electrical Network in Scenario 2. Winter.
Winter—19 January 2023
HourActive Power Demand (kW)Reactive Power Demand (kvar)Active Losses (kW)Reactive Power Losses (kvar)Minimum Voltage in the System (p.u.)Maximum Voltage in the System (p.u.)
112,758.863979.39336.25−2037.510.910.98
211,458.263251.00259.89−2172.260.910.98
310,669.162816.10221.22−2243.370.920.98
410,554.082751.89214.06−2255.760.920.98
510,966.812976.57230.24−2223.990.920.98
611,456.723248.30255.12−2177.840.920.98
714,706.705059.65437.28−1853.130.910.97
819,893.228079.20881.59−1129.170.880.96
921,090.428832.291008.13−928.040.870.96
1018,811.788591.80883.68−1135.920.880.96
1113,547.018226.27774.84−1406.420.890.97
1212,388.418729.20864.14−1328.540.890.97
1310,880.158486.51867.21−1366.210.900.97
1410,222.138121.98837.61−1419.130.900.97
159759.457497.75743.97−1551.760.900.98
1610,788.177214.07669.23−1618.180.910.97
1714,727.177340.87656.59−1533.210.900.97
1819,071.977729.23820.79−1225.440.890.96
1919,752.798033.17906.75−1094.790.880.96
2020,436.588477.171019.95−927.050.870.96
2121,226.668986.111145.95−739.620.860.96
2220,410.188490.331051.86−886.370.870.96
2317,680.176841.93753.34−1356.630.890.97
2414,834.835164.94487.31−1783.850.910.97
Table 4. Operating Variables of Electrical Network in Scenario 2. Summer.
Table 4. Operating Variables of Electrical Network in Scenario 2. Summer.
Summer—14 July 2023
HourActive Power Demand (kW)Reactive Power Demand (kvar)Active Losses (kW)Reactive Power Losses (kvar)Minimum Voltage in the System (p.u.)Maximum Voltage in the System (p.u.)
116,460.776086.88599.26−1595.060.890.97
215,206.535360.27496.05−1764.580.900.97
314,382.134887.11434.35−1867.890.900.98
414,176.384765.08413.78−1900.330.900.98
514,116.414729.85408.71−1908.980.890.98
614,588.584991.18432.01−1865.170.890.97
716,613.676132.82557.77−1644.570.890.97
818,683.747386.12744.69−1341.000.880.96
918,561.487953.68784.33−1279.210.860.96
1017,737.778394.17812.63−1250.410.870.96
1118,282.728731.81863.12−1164.860.880.96
1215,711.748812.00832.62−1263.410.880.96
1312,337.228937.96883.41−1287.810.890.97
1411,762.438893.74906.94−1270.900.890.97
1511,063.428617.16886.83−1315.670.890.97
1610,863.698164.62817.80−1408.480.890.97
1711,690.578035.79795.51−1414.780.890.97
1813,366.677938.17770.13−1405.670.890.97
1915,148.637614.92744.85−1399.320.890.97
2017,044.517355.74756.33−1351.700.880.97
2117,259.956736.53718.14−1411.530.890.97
2217,223.106569.61708.62−1429.740.890.97
2316,785.036317.85677.91−1483.160.890.97
2415,923.815811.72598.72−1610.480.900.97
Table 5. Operating Variables of Electrical Network in Scenario 3. Winter.
Table 5. Operating Variables of Electrical Network in Scenario 3. Winter.
Winter—19 January 2023
HourActive Power Demand (kW)Reactive Power Demand (kvar)Active Losses (kW)Reactive Power Losses (kvar)Minimum Voltage in the System (p.u.)Maximum Voltage in the System (p.u.)
114,665.605049.85453.62−1833.350.890.97
213,266.764251.83355.22−2000.650.900.98
312,405.483770.36305.14−2089.010.900.98
412,285.623702.45296.08−2104.040.900.98
512,742.083953.94317.25−2064.440.910.98
613,271.784252.51349.26−2007.300.910.98
716,796.976250.56584.42−1603.680.900.97
822,522.999659.291161.14−687.360.860.95
923,836.8710503.321324.06−433.830.850.95
1021,549.2010,235.561176.51−674.410.860.95
1116,254.179811.141020.51−1012.400.870.96
1215,185.2010,362.141116.95−925.850.870.96
1313,629.4110,082.031104.31−986.080.880.96
1412,898.939672.471063.75−1054.960.880.96
1512,329.218974.79947.22−1220.760.890.96
1613,314.088666.28867.23−1293.390.890.97
1717,272.298827.23880.01−1171.050.880.96
1821,643.419266.661084.61−805.420.870.96
1922,355.599606.371192.86−643.600.860.95
2023,088.9510,102.141337.21−432.990.850.95
2123,936.8310,669.511497.26−198.630.840.95
2223,049.2910,115.091377.41−382.040.850.95
2320,066.268264.04994.70−973.020.870.96
2416,926.656368.10649.47−1514.580.890.97
Table 6. Operating Variables of Electrical Network in Scenario 3. Summer.
Table 6. Operating Variables of Electrical Network in Scenario 3. Summer.
Summer—14 July 2023
HourActive Power Demand (kW)Reactive Power Demand (kvar)Active Losses (kW)Reactive Power Losses (kvar)Minimum Voltage in the System (p.u.)Maximum Voltage in the System (p.u.)
118,736.017413.30795.60−1275.400.870.96
217,346.406590.50661.07−1490.660.880.97
316,429.136053.38580.28−1622.200.880.97
416,202.015915.15553.37−1663.670.880.97
516,135.725875.22546.71−1674.740.880.97
616,664.696172.37577.40−1619.140.870.97
718,923.067467.58742.29−1339.050.870.96
821,212.668881.53985.50−953.700.860.96
921,202.009521.151045.14−862.270.840.96
1020,463.1110,014.461088.55−811.830.850.95
1121,063.8810,393.091155.05−702.110.860.95
1218,519.4610,474.891112.98−818.370.860.96
1315,167.1910,595.671147.51−866.740.870.96
1414,571.6010,542.301173.15−848.140.870.96
1513,818.9410,230.271143.56−907.710.870.96
1613,543.379727.521058.57−1023.240.870.96
1714,343.199589.151039.96−1024.400.870.96
1815,998.869488.801021.64−1004.860.870.96
1917,711.809133.80996.97−997.600.870.96
2019,546.428845.171008.66−950.400.860.96
2119,635.758146.03951.24−1039.480.870.96
2219,564.007956.86936.83−1065.680.870.96
2319,077.777672.20897.01−1133.080.880.96
2418,127.047100.20794.39−1294.250.890.97
Table 7. Overloaded power lines and overload magnitude in Scenario 3.
Table 7. Overloaded power lines and overload magnitude in Scenario 3.
Power LineWinterSummer
CodeTypeNominal VoltageNominal Power19 January 2023, 9:00 h14 July 2023, 10:00 h
OverloadOverload
kVkVAkW%kW%
LA1Aerial209006.66822.628.2200
LA2Aerial209006.661009.7810.0900
LA3Aerial209006.66823.768.2300
Table 8. Operating Variables of Electrical Network in Scenario 4. Winter.
Table 8. Operating Variables of Electrical Network in Scenario 4. Winter.
Winter—19 January 2023
HourActive Power Demand (kW)Reactive Power Demand (kvar)Active Losses (kW)Reactive Power Losses (kvar)Minimum Voltage in the System (p.u.)Maximum Voltage in the System (p.u.)
116,454.026070.12582.75−1615.940.870.97
214,946.095194.59459.43−1819.840.880.97
314,045.014683.48397.94−1924.740.890.98
413,920.694611.63386.75−1942.740.890.98
514,402.834880.68412.80−1895.830.900.98
614,954.145197.02452.03−1827.970.900.97
718,796.257410.66748.05−1333.760.880.96
824,990.8511,179.231465.71−215.150.840.95
926,403.2612,105.841666.8092.790.830.94
1024,119.6711,813.761497.30−178.720.840.95
1118,799.3111,336.481294.97−582.950.850.95
1217,812.2011,931.601400.85−485.000.850.95
1316,215.0111,617.031372.22−568.010.860.95
1415,418.8411,165.801319.67−654.030.860.96
1514,754.6310,400.861177.89−855.860.870.96
1615,700.8410,069.381091.20−936.430.870.96
1719,674.5910,261.971128.59−777.890.860.95
1824,062.5710,747.701372.91−355.440.850.95
1924,796.2911,119.531504.13−161.770.840.95
2025,566.6311,661.621680.7592.890.830.94
2126,458.1412,281.061875.86375.170.820.94
2225,512.4311,673.751729.36154.210.830.94
2322,318.169637.831258.74−561.640.860.95
2418,923.967538.41829.21−1223.530.880.96
Table 9. Operating Variables of Electrical Network in Scenario 4. Summer.
Table 9. Operating Variables of Electrical Network in Scenario 4. Summer.
Summer—14 July 2023
HourActive Power Demand (kW)Reactive Power Demand (kvar)Active Losses (kW)Reactive Power Losses (kvar)Minimum Voltage in the System (p.u.)Maximum Voltage in the System (p.u.)
120,896.738699.141012.01−931.090.850.96
219,388.297786.57843.93−1194.740.860.96
318,388.417189.40742.56−1356.300.870.97
418,142.477035.85708.78−1407.440.870.97
518,070.426991.39700.39−1421.140.860.97
618,651.677322.72739.13−1352.910.850.96
721,119.108762.05946.22−1009.600.850.96
823,598.2410,324.401249.41−538.130.840.95
923,685.6311,030.221331.30−414.320.820.95
1023,020.4011,571.641392.05−339.500.830.95
1123,670.2311,987.591475.58−204.290.840.95
1221,157.3412,070.861424.01−335.640.840.95
1317,822.7212,187.221444.07−405.600.850.95
1417,207.6512,124.951472.13−384.890.850.95
1516,405.7611,780.131432.44−460.080.850.95
1616,063.0011,230.971329.88−600.290.850.96
1716,838.3011,084.171314.19−597.230.850.95
1818,474.8010,981.791301.77−568.710.850.95
1920,123.8410,597.391275.64−563.160.850.95
2021,904.2410,281.491285.79−518.670.850.95
2121,880.339508.381206.77−639.930.860.95
2221,777.319298.501186.92−674.840.860.96
2321,248.508983.231137.44−756.900.860.96
2420,220.128350.081009.93−953.600.870.96
Table 10. Overloaded power lines and overload magnitude in Scenario 4.
Table 10. Overloaded power lines and overload magnitude in Scenario 4.
Power LineWinterSummer
CodeTypeNominal
Voltage
Nominal
Power
19 January 2023, 20:0014 July 2023, 7:00 h
OverloadOverload
kVkVAkW%kW%
LA1Aerial209006.662068.8720.6700
LA2Aerial209006.662319.9823.1800
LA4Aerial2011,951.1588.060.6600
LA3Aerial209006.662069.1320.6800
Table 11. Overloaded power TS and overload magnitude in scenario 4.
Table 11. Overloaded power TS and overload magnitude in scenario 4.
TransformerWinterSummer
CodeNominal VoltageNominal Power19 January 2023, 21:00 h14 July 2023, 09:00 h
OverloadOverload
kVkVAkW%kW%
TR_120500020.3545.22
TR_22040057.1615.8800
Disclaimer/Publisher’s Note: The statements, opinions and data contained in all publications are solely those of the individual author(s) and contributor(s) and not of MDPI and/or the editor(s). MDPI and/or the editor(s) disclaim responsibility for any injury to people or property resulting from any ideas, methods, instructions or products referred to in the content.

Share and Cite

MDPI and ACS Style

Oná-Ayécaba, A.O.; Alcázar-Ortega, M.; Urchueguia, J.F.; Badenes-Badenes, B.; Guilló-Sansano, E.; Martínez-Ponce, Á. Evaluation of Technical Constraints Management in a Microgrid Based on Thermal Storage Applications by Modeling with OpenDSS. Appl. Sci. 2025, 15, 13088. https://doi.org/10.3390/app152413088

AMA Style

Oná-Ayécaba AO, Alcázar-Ortega M, Urchueguia JF, Badenes-Badenes B, Guilló-Sansano E, Martínez-Ponce Á. Evaluation of Technical Constraints Management in a Microgrid Based on Thermal Storage Applications by Modeling with OpenDSS. Applied Sciences. 2025; 15(24):13088. https://doi.org/10.3390/app152413088

Chicago/Turabian Style

Oná-Ayécaba, Andrés Ondó, Manuel Alcázar-Ortega, Javier F. Urchueguia, Borja Badenes-Badenes, Efrén Guilló-Sansano, and Álvaro Martínez-Ponce. 2025. "Evaluation of Technical Constraints Management in a Microgrid Based on Thermal Storage Applications by Modeling with OpenDSS" Applied Sciences 15, no. 24: 13088. https://doi.org/10.3390/app152413088

APA Style

Oná-Ayécaba, A. O., Alcázar-Ortega, M., Urchueguia, J. F., Badenes-Badenes, B., Guilló-Sansano, E., & Martínez-Ponce, Á. (2025). Evaluation of Technical Constraints Management in a Microgrid Based on Thermal Storage Applications by Modeling with OpenDSS. Applied Sciences, 15(24), 13088. https://doi.org/10.3390/app152413088

Note that from the first issue of 2016, this journal uses article numbers instead of page numbers. See further details here.

Article Metrics

Article metric data becomes available approximately 24 hours after publication online.
Back to TopTop