Development of a Laboratory-Integrated Microwave-Assisted Cutting Machine and Its Use in Carbonate Rocks
Abstract
1. Introduction
2. Materials and Methods
2.1. Sampling
2.2. Mineralogy
2.3. Microwave-Assisted Rock Cutting System
2.4. Rock Mechanics Experiments
2.5. Microwave Treatment Tests
2.6. Linear Cutting Tests
3. Results and Discussions
3.1. Assessing the Irradiated Samples’ Surface Temperatures
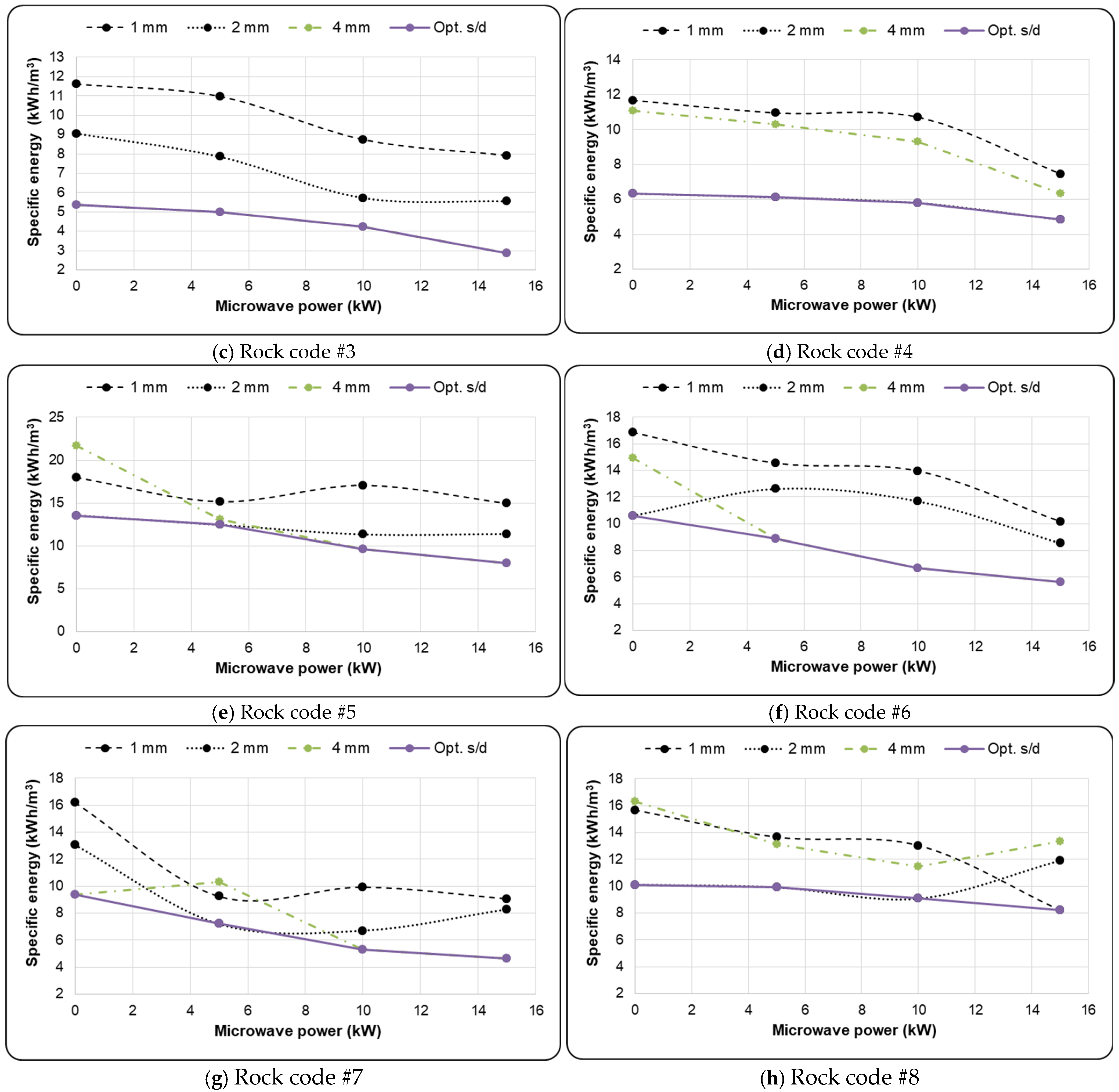
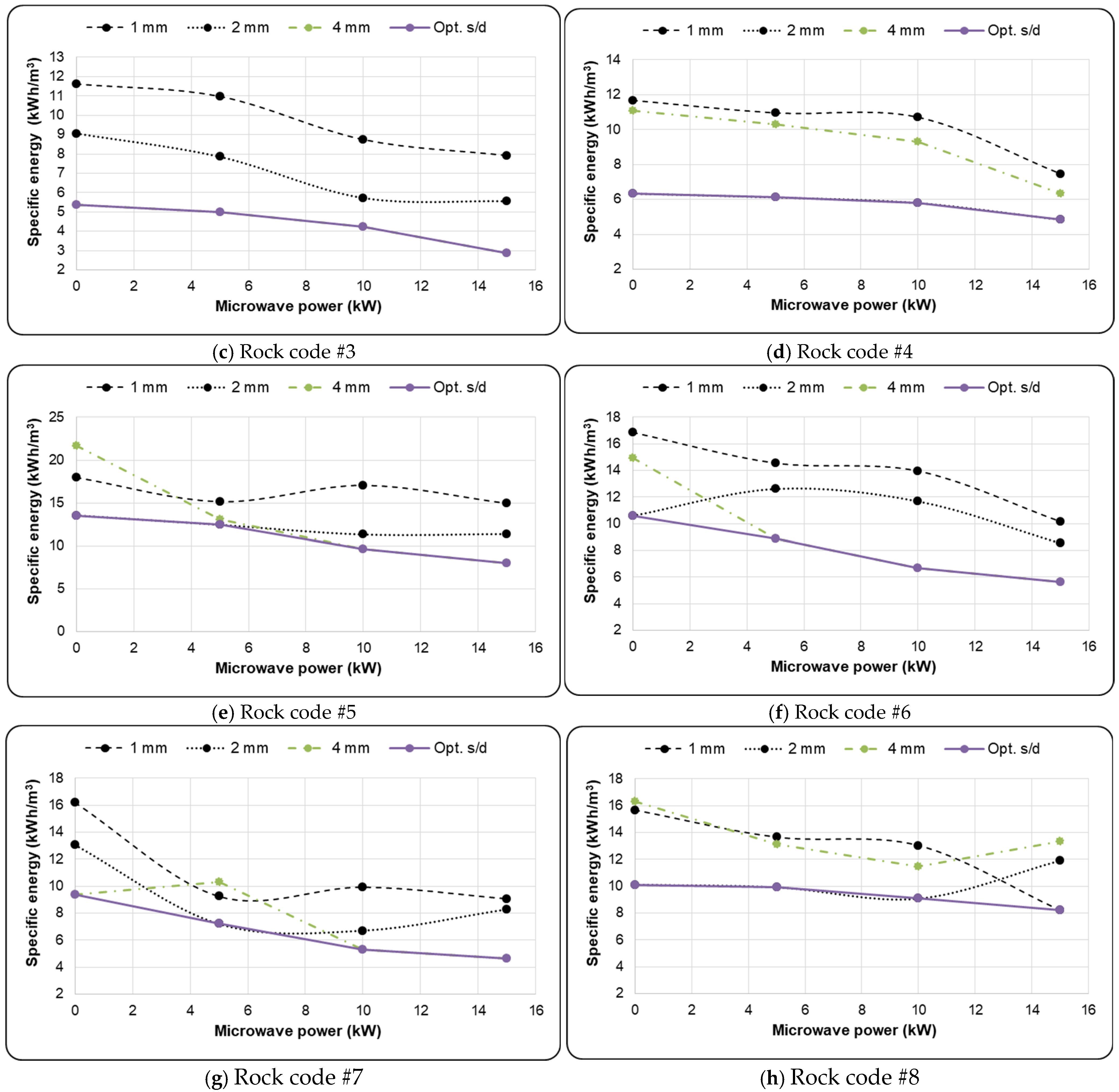
3.2. Assessing Cutting Test Results
3.3. Economic Considerations
4. Conclusions
- The developed microwave-assisted laboratory cutting machine can be reliably used for the microwaving and cutting of rocks.
- The SE and SEopt values decline significantly with increasing microwave power.
- Significant SEopt losses were observed in the samples after microwave exposure. SEopt losses reaching 50% were observed at 15 kW power.
Author Contributions
Funding
Institutional Review Board Statement
Informed Consent Statement
Data Availability Statement
Conflicts of Interest
Abbreviations
| TBM | Full-face tunnel boring machine |
| UCS | Uniaxial compressive strength |
| BTS | Brazilian tensile strength |
| ISRM | International Society for Rock Mechanics and Rock Engineering |
References
- Zhang, G.; Dang, W.; Herbst, M.; Song, Z. Complex analysis of rock cutting with consideration of rock tool interaction using distinct element method (DEM). Geomech. Eng. 2020, 20, 421–432. [Google Scholar] [CrossRef]
- Chang, S.-H.; Lee, C.; Kang, T.-H.; Ha, T.; Choi, S.-W. Effect of hardfacing on wear reduction of pick cutters under mixed rock conditions. Geomech. Eng. 2017, 13, 141–159. [Google Scholar] [CrossRef]
- Rostami, J. Performance prediction of hard rock Tunnel Boring Machines (TBMs) in difficult ground. Tunn. Undergr. Space Technol. 2016, 57, 173–182. [Google Scholar] [CrossRef]
- Santamarina, C. Rock excavation with microwaves: A literature review. In Proceedings of the 1989 ASCE Foundation Engineering, Evanston, IL, USA, 25–29 June 1989; pp. 459–473. Available online: https://cedb.asce.org/CEDBsearch/record.jsp?dockey=0060982 (accessed on 21 October 2025).
- Peinsitt, T.; Kuchar, F.; Hartlieb, P.; Moser, P.; Kargl, H.; Restner, U.; Sifferlinger, N.A. Microwave heating of dry and water saturated basalt, granite and sandstone. Int. J. Min. Miner. Eng. 2010, 2, 18–29. [Google Scholar] [CrossRef]
- Satish, H. Exploring Microwave Assisted Rock Breakage for Possible Space Mining Applications. Master’s Thesis, McGill University, Montreal, QC, Canada, 2005. Available online: https://escholarship.mcgill.ca/concern/theses/pz50gw73f (accessed on 12 October 2025).
- Satish, H.; Ouellet, J.; Raghavan, V.; Radziszewski, P. Investigating microwave assisted rock breakage for possible space mining applications. Min. Technol. 2006, 115, 34–40. [Google Scholar] [CrossRef]
- Motlagh, P.N. An Investigation on the Influence of Microwave Energy on Basic Mechanical Properties of Hard Rocks. Master’s Thesis, Concordia University, Montreal, QC, Canada, 2009. Available online: https://spectrum.library.concordia.ca/976521/ (accessed on 5 September 2025).
- Nejati, H.; Hassani, F.; Radziszewski, P. Experimental Investigating of Fracture Toughness Reduction and Fracture Development in Basalt Specimens under Microwave Illumination. In Proceedings of the 13th ASCE Aerospace Division Conference on Engineering, Science, Construction, and Operations in Challenging Environments, Pasadena, CA, USA, 15–18 April 2012; pp. 325–334. [Google Scholar] [CrossRef]
- Motlagh, P.N. Physical and Mechanical Properties of Rocks Exposed to Microwave Irradiation: Potential Application to Tunnel Boring. Ph.D. Thesis, McGill University, Montreal, QC, Canada, 2015. Available online: https://escholarship.mcgill.ca/concern/theses/xg94hs56k (accessed on 16 September 2025).
- Hassani, F.; Nekoovaght, P.M.; Gharib, N. The influence of microwave irradiation on rocks for microwave assisted underground excavation. J. Rock Mech. Geotech. Eng. 2016, 8, 1–15. [Google Scholar] [CrossRef]
- Lu, G.; Li, Y.; Hassani, F.; Zhang, X. The influence of microwave irradiation on thermal properties of main rock-forming minerals. Appl. Therm. Eng. 2017, 112, 1523–1532. [Google Scholar] [CrossRef]
- Zheng, Y.L.; Zhang, Q.B.; Zhao, J. Effect of microwave treatment on thermal and ultrasonic properties of gabbro. Appl. Therm. Eng. 2017, 127, 359–369. [Google Scholar] [CrossRef]
- Lu, G.; Feng, X.; Li, Y.; Hassani, F.; Zhang, X. Experimental Investigation on the Effects of Microwave Treatment on Basalt Heating, Mechanical Strength, and Fragmentation. Rock Mech. Rock Eng. 2019, 52, 2535–2549. [Google Scholar] [CrossRef]
- Zeng, J.; Hu, O.; Chen, Y.; Shu, X.; Chen, S.; He, L.; Tang, H.; Lu, X. Experimental investigation on structural evolution of granite at high temperature induced by microwave irradiation. Mineral. Petrol. 2019, 113, 745–754. [Google Scholar] [CrossRef]
- Bisai, R.; Palaniappan, S.K.; Pal, S.K. Influence of individual and combined pre-treatment on the strength properties of granite and sandstone. Arab. J. Geosci. 2020, 3, 7. [Google Scholar] [CrossRef]
- Lu, G.; Feng, X.; Li, Y.; Zhang, X. Influence of microwave treatment on mechanical behaviour of compact basalts under different confining pressures. J. Rock Mech. Geotech. Eng. 2020, 12, 213–222. [Google Scholar] [CrossRef]
- Kahraman, S.; Canpolat, A.N.; Fener, M. The influence of microwave treatment on the compressive and tensile strength of igneous rocks. Int. J. Rock Mech. Min. Sci. 2020, 129, 104303. [Google Scholar] [CrossRef]
- Wang, P.; Lin, Y.; Chen, D.; Yin, T. Dynamic Mode I Fracture Toughness and Damage Mechanism of Dry and Saturated Sandstone Subject to Microwave Radiation. Appl. Sci. 2025, 15, 9500. [Google Scholar] [CrossRef]
- Wang, L.; Zhu, L.; Cao, Z.; Liu, J.; Xue, Y.; Wang, P.; Cao, X.; Liu, Y. Thermo-mechanical degradation and fracture evolution in low-permeability coal subjected to cyclic heating–cryogenic cooling. Phys. Fluids 2025, 37, 086617. [Google Scholar] [CrossRef]
- Lindroth, D.P.; Morrell, R.J.; Blair, J.R. Microwave Assisted Hard Rock Cutting. United States Patent No. 5,003,144, 26 March 1991. Available online: https://patents.google.com/patent/US5003144A/en (accessed on 1 July 2025).
- Hassani, F.; Nekoovaght, P. The development of microwave assisted machineries to break hard rocks. In Proceedings of the 28th International Symposium on Automation and Robotics in Construction, Seoul, Republic of Korea, 29 June–2 July 2011; pp. 678–684. [Google Scholar] [CrossRef]
- Hartlieb, P.; Grafe, B. Experimental Study on Microwave Assisted Hard Rock Cutting of Granite. BHM Berg-Hüttenmänn. Monatsh. 2017, 162, 77–81. [Google Scholar] [CrossRef]
- Hartlieb, P.; Grafe, B.; Shepel, T.; Malovyk, A.; Akbari, B. Experimental study on artificially induced crack patterns and their consequences on mechanical excavation processes. Int. J. Rock Mech. Min. Sci. 2017, 100, 160–169. [Google Scholar] [CrossRef]
- Shepel, T.; Grafea, B.; Hartliebb, P.; Drebenstedt, C.; Malovyk, A. Evaluation of cutting forces in granite treated with microwaves on the basis of multiple linear regression analysis. Int. J. Rock Mech. Min. Sci. 2018, 107, 69–74. [Google Scholar] [CrossRef]
- Feng, X.T.; Lu, G.M.; Li, Y.H.; Zhang, X.W. Cutter Head for Microwave Presplitting Type Hard-Rock Tunnel Boring Machine. United States Patent No. 10,428,654 B2, 2019. Available online: https://patents.google.com/patent/US10428654B2/en (accessed on 15 July 2025).
- Kahraman, S.; Sarbangholi, F.S.; Balci, C.; Fener, M.; Karpuz, C.; Comakli, R.; Unver, B.; Ozcelik, Y. The effect of mineralogy on the microwave assisted cutting of igneous rocks. Bull. Eng. Geol. Environ. 2022, 81, 62. [Google Scholar] [CrossRef]
- Feng, X.-T.; Su, X.-X.; Yang, C.-X.; Lin, F.; Li, S.-P.; Zhang, J.-Y.; Tong, T.-Y. A Test System for Microwave-Assisted Dual-Mode Mechanical Cutting of Hard Rock Under True Triaxial Compression. Rock Mech. Rock Eng. 2024, 57, 5763–5782. [Google Scholar] [CrossRef]
- Lin, F.; Feng, X.-T.; Li, S.; Hai, X.; Zhang, J.; Su, X.; Tong, T.; Song, J. Field test of high-power microwave-assisted mechanical excavation for deep hard iron ore. J. Rock Mech. Geotech. Eng. 2024, 16, 1922–1935. [Google Scholar] [CrossRef]
- Ning, B.; Liu, F.; Liu, H.; Xia, Y. Experimental study on rock breaking using a microwave-assisted tunnel boring machine cutter. Bull. Eng. Geol. Environ. 2024, 83, 114. [Google Scholar] [CrossRef]
- Kahraman, S.; Fener, M.; Comakli, R.; Buldak, S.; Andras, A. Investigating the Microwave Assisted Cutting of Carbonate Rocks; Research Project; the European Union Through the ERA-NET Cofund on Raw Materials (ERA-MIN 2) (Reference Number: ERA-MIN-2018_95); ERA Learn: Hamburg, Germany, 2024. [Google Scholar]
- Ulusay, R.; Hudson, J.A. (Eds.) The Complete ISRM Suggested Methods for Rock Characterization, Testing and Monitoring: 1974–2006. Suggested Methods Prepared by the Commission on Testing Methods, International Society for Rock Mechanics; ISRM Turkish National Group: Ankara, Turkey, 2007. [Google Scholar]
- Hartlieb, P.; Leindl, M.; Kuchar, F.; Antretter, T.; Moser, P. Damage of basalt induced by microwave irradiation. Miner. Eng. 2012, 31, 82–89. [Google Scholar] [CrossRef]
- Rosenholtz, J.L.; Smith, D.T. The dielectric constant of mineral powders. Am. Mineral. J. Earth Planet. Mater. 1936, 21, 115–120. [Google Scholar]










| Rock Code | Rock Type | Location |
|---|---|---|
| 1 | Marble | Gümüşler-1/Niğde/Türkiye |
| 2 | Marble | Gümüşler-2/Niğde/Türkiye |
| 3 | Marble | Gümüşler-3/Niğde/Türkiye |
| 4 | Marble | Sazlıca/Niğde/Türkiye |
| 5 | Marble | Marmara Adası/Balıkesir/Türkiye |
| 6 | Marble | Ruschita/Romanya |
| 7 | Limestone | Baschioi/Romanya |
| 8 | Limestone | Amasya/Türkiye |
| Rock Code | Mineralogical Properties |
|---|---|
| 1 |
|
| 2 |
|
| 3 |
|
| 4 |
|
| 5 |
|
| 6 |
|
| 7 |
|
| 8 |
|
| Rock Code | UCS (MPa) | BTS (MPa) | Density (g/cm3) | Porosity (%) |
|---|---|---|---|---|
| 1 | 54.2 ± 16.0 | 5.01 ± 1.60 | 2.67 ± 0.04 | 0.33 ± 0.16 |
| 2 | 43.6 ± 9.1 | 3.75 ± 1.26 | 2.58 ± 0.02 | 0.42 ± 0.15 |
| 3 | 75.5 ± 6.9 | 7.04 ± 1.40 | 2.60 ± 0.04 | 0.34 ± 0.15 |
| 4 | 43.8 ± 5.2 | 3.96 ± 0.18 | 2.65 ± 0.01 | 0.26 ± 0.00 |
| 5 | 82.3 ± 10.1 | 8.39 ± 1.19 | 2.58 ± 0.00 | 0.24 ± 0.01 |
| 6 | 86.0 ± 1.9 | 9.56 ± 0.67 | 2.61 ± 0.02 | 2.80 ± 0.25 |
| 7 | 77.0 ± 2.1 | 9.35 ± 0.99 | 1.95 ± 0.01 | 19.0 ± 0.23 |
| 8 | 117.0 ± 2.0 | 9.14 ± 0.71 | 2.65 ± 0.01 | 1.68 ± 0.09 |
| Rock Code | SEopt (kWh/m3) | SEopt Loss (%) | |
|---|---|---|---|
| Untreated | Treated at 15 kW | ||
| 1 | 6.96 | 4.76 | 31.6 |
| 2 | 8.48 | 4.98 | 41.3 |
| 3 | 5.37 | 2.88 | 46.4 |
| 4 | 6.33 | 4.83 | 23.7 |
| 5 | 13.55 | 8.04 | 40.7 |
| 6 | 10.59 | 5.66 | 46.6 |
| 7 | 9.39 | 4.65 | 50.5 |
| 8 | 10.11 | 8.20 | 18.9 |
Disclaimer/Publisher’s Note: The statements, opinions and data contained in all publications are solely those of the individual author(s) and contributor(s) and not of MDPI and/or the editor(s). MDPI and/or the editor(s) disclaim responsibility for any injury to people or property resulting from any ideas, methods, instructions or products referred to in the content. |
© 2025 by the authors. Licensee MDPI, Basel, Switzerland. This article is an open access article distributed under the terms and conditions of the Creative Commons Attribution (CC BY) license (https://creativecommons.org/licenses/by/4.0/).
Share and Cite
Ghabankandi, M.R.; Kahraman, S.; Comakli, R.; Fener, M.; Andras, A.; Popescu, F.D. Development of a Laboratory-Integrated Microwave-Assisted Cutting Machine and Its Use in Carbonate Rocks. Appl. Sci. 2025, 15, 12865. https://doi.org/10.3390/app152412865
Ghabankandi MR, Kahraman S, Comakli R, Fener M, Andras A, Popescu FD. Development of a Laboratory-Integrated Microwave-Assisted Cutting Machine and Its Use in Carbonate Rocks. Applied Sciences. 2025; 15(24):12865. https://doi.org/10.3390/app152412865
Chicago/Turabian StyleGhabankandi, Masoud Rostami, Sair Kahraman, Ramazan Comakli, Mustafa Fener, Andrei Andras, and Florin Dumitru Popescu. 2025. "Development of a Laboratory-Integrated Microwave-Assisted Cutting Machine and Its Use in Carbonate Rocks" Applied Sciences 15, no. 24: 12865. https://doi.org/10.3390/app152412865
APA StyleGhabankandi, M. R., Kahraman, S., Comakli, R., Fener, M., Andras, A., & Popescu, F. D. (2025). Development of a Laboratory-Integrated Microwave-Assisted Cutting Machine and Its Use in Carbonate Rocks. Applied Sciences, 15(24), 12865. https://doi.org/10.3390/app152412865

