Next Article in Journal
Assessment Methodology for Treatment Fluid Efficiency in Modifying Filtration Properties of Porous Rocks
Previous Article in Journal
Risk-Based Cost–Benefit Analysis of Ultra-High-Performance Concrete Bridge Columns Under Seismic Hazards and Corrosion
 
 
Font Type:
Arial Georgia Verdana
Font Size:
Aa Aa Aa
Line Spacing:
Column Width:
Background:
Article

Exploring Near-Optimal Solutions of Energy-System Models to Increase Energy-System Resilience

1
Department of Resilient Energy Systems, University of Bremen, 28359 Bremen, Germany
2
Fraunhofer Institute for Manufacturing Technology and Advanced Materials IFAM, 28359 Bremen, Germany
*
Author to whom correspondence should be addressed.
Appl. Sci. 2025, 15(23), 12417; https://doi.org/10.3390/app152312417
Submission received: 26 September 2025 / Revised: 9 November 2025 / Accepted: 15 November 2025 / Published: 23 November 2025

Abstract

In conventional energy system planning, cost optimisation is usually the decisive factor. The objective of the research, on which this article is based, is to develop alternatives to cost-optimised energy supply concepts that are near optimal cost and also meet the criterion of increased resilience. The methodology presented here thus expands the solution space for the planning of energy systems and the consideration of additional criteria beyond pure cost optimisation. The transition from a fossil fuel-based energy system to one reliant on renewable sources brings significant structural changes and uncertainties. Resilience management offers a guiding concept to address the non-linear complexities and unpredictability of this transformation process and to cope with uncertain and unknown stressors. Thus, a comparative assessment of the resilience of different future energy concepts is crucial to provide a basis for decision making and implementation of resilient energy systems. This research approach entailed the optimisation of a heat supply concept for an urban district and the investigation of near-optimal alternatives in the vicinity of the optimal solution. The resilience of these near-optimal solutions was then analysed. For this purpose, certain resilience-enhancing structures and functionalities (diversity, redundancy, buffer capacity) were evaluated by quantifiable indicators. The analysis of the heat supply scenarios has shown that resilience, measured by the indicators used, could be increased at a low additional cost. In the top-performing alternative-heat-supply scenarios generated, the diversity has been increased by 585%, redundancy by 18% and buffer capacity by 98%. The majority of the generated alternatives that were examined showed that an increase in diversity and redundancy could be achieved at a relatively low additional cost.

1. Introduction

Energy systems are complex socio-technical structures that are constantly changing. These changes are not exclusively driven by technological innovations but more and more by changing environmental, economic, political and social conditions. In addition to continuous transformation processes in the energy system, such as the shift from fossil fuels to intermittent renewable-energy sources and the increasing interconnectedness and digitalisation of system components, disruptive events such as global pandemics, military conflicts and extreme weather events are the driving factors that lead to a re-orientation of the energy system. In particular, the transformation of energy supply to primarily intermittent renewable-energy sources with numerous decentralised systems is causing drastic changes in the energy infrastructure. These changes pose new challenges. Beside the key issues of environmental and social sustainability, risk prevention and resilience become more important. The goal of the research this article is based on is to develop alternatives to cost-optimised energy supply concepts that provide greater resilience at near-optimal cost.

2. Resilience

Reflected by the increasing number of scientific publications, the study of resilience concepts has gained importance in various scientific disciplines [1]. Resilience concepts have emerged in different research disciplines, which has resulted in a multitude of definitions [2]. Therefore, Cañizares et al. [3] (p. 2) “regard resilience as a polysemic term, i.e., one that designates many distinct concepts”. One of the largest areas in which resilience is an object of research is the field of psychology followed by the environmental, social and ecology sciences [4].
The study of the concept of system resilience can be traced back to the research field of ecology. In this field, the early understanding of the term resilience has been described as engineering resilience, which focuses on efficiency, constancy and predictability and takes a fail–safe perspective on the system design. Rather, it assumes stability-near equilibria, where the recovery time is used as a measure for resilience [5]. The idea of resilience as a recovery concept also aligns with the etymological root of the word resilire (lat. bouncing back), as the ability of systems to recover from shocks [6]. But as Woods [7] (p. 6) notes, ”research progress has left this framing behind to focus on the fundamental properties of networks, systems and organisations that are able to build, modify and sustain the right kinds of adaptive capacities”. This progress has already begun with the idea of ecological resilience, which, opposed to engineering resilience. ecological resilience focuses more on the dynamics and “emphasises conditions far from any equilibrium steady state, where instabilities can flip a system into another regime of behaviour” [5] (p. 33). Here, a safe–fail perspective on systems is taken, which assumes not one stable equilibrium but a stability landscape. In summary, three main understandings of resilience can be differentiated [7,8,9]:
  • resilience as the capacity to bounce back and recover from shocks;
  • resilience as the ability to absorb shocks and persist;
  • resilience as the capacity to positively adapt to and learn from shocks.

2.1. Resilience as a Guiding Concept for Energy System Transformation

Within the energy system context, recent reviews of Gasser et al. [2] and Jasiūnas et al. [6] highlight the relevance of resilience and provide systematic overviews on this broad research field. Energy systems and their components, such as the electricity grid, are often understood as technical or techno-economic systems without taking into account the socio-ecological conditions they depend on and interact with. Therefore, despite the mentioned progress in the understanding of what system resilience is, engineering resilience is still the prominent view in the strongly techno-economic and engineering-influenced domain of energy system analysis. Particularly when it comes to critical infrastructure, the engineering resilience concept is the one that is often referred to [10] (p. 12). For example, in a review on energy-system resilience, Jasiūnas et al. [6] (p. 3) summarise that ”resilience explicitly refers to a possible response to threats (endurance and recovery) […]”. Other scholars also implicitly or explicitly adopt an engineering perspective on resilience when developing quantitative metrics to make the concept applicable [4,11,12,13,14].
As indicated above, the engineering concept represents only a narrow understanding of resilience, ignoring other crucial aspects of the more holistic understanding, which has emerged in recent decades. With regard to socio-technical transformations (such as the energy transition), Cañizares et al. [3] (p. 16) conclude that “in engineering fields, a socio-technical approach is indispensable for underpinning the flexible and transformative behaviour that seems inherent to resilience”. In the energy-system context, the exclusion of perspectives from social sciences has been pointed out [15,16]. It is therefore necessary to enrich the field of (energy) engineering with socio-ecological perspectives when it comes to the challenges of a socio-ecological (energy) transformation. However, at the same time, the engineering-resilience perspective can also be understood as a reduction in complexity, in order to make resilience applicable.

2.2. Resilience Design Principles

When it comes to the design of resilient systems, practitioners are confronted with a challenge inherent to resilience concepts. On the one hand, resilient design has to prepare for ”what-ever-may-come”, which also includes the so-called black swans. These types of events are unknown unknowns due to missing knowledge about their probabilities of occurrence and impact on the system [17]. Preparing for this type of event differentiates resilience-management practices from risk-management, where the type, duration, frequency of occurrence and effects of the disruptive events can be described with sufficient precision [18]. On the other hand, at the operational level, “resilience of what to what” needs to be specified [19], which trivially cannot be achieved for black swans.
Within a design process, the way a system responds to change (ex post) can be evaluated based on simulation results or historic data. However, when preparing for black swans, these options are not available. Nevertheless, there are also structures and functionalities that allow for an ex ante description of the resilience-promoting characteristics within the system [3]. These structures and functionalities can be described as generic resilience design principles, which enhance the resilience of the system. In the literature, different principles exist, some of which are derived from the observation of (socio)-ecological systems. As the extensive review of design principles is beyond the scope of this paper, it is referred to Wardekker et al. [20] who provide a set of principles derived from a broad literature review described in detail by Wilk [21]. Among the most prominent principles are redundancy, buffering, diversity, modularity and flexibility.
It is important to note that for socio-technical systems, the design principles have a technical dimension and a social dimension. For example, at the technical level in the energy context, diversity can refer to the geographic dispersion and spatial distribution of generation units [18,22]. At the social level, the diversity of the groups and stakeholders involved is important when it comes to the response of systems to shocks [23]. This challenge becomes even more relevant in the context of modelling, as models are abstractions and therefore, by definition, always simplified versions of the original. Consequently, only certain aspects of the resilience of a socio-technical system can be represented and analysed by the means of model results. The structure of the organisational level and the culture will play decisive roles for the reorganisation and learning ability of a system, which are important features of resilient systems. However, this is usually not captured by techno-economic optimisation models. This clarifies that further resilience considerations beyond the modelling results are necessary to fully leverage the resilience concepts. Nevertheless, it is essential to define the techno-economic framework for the design process of future energy systems. This is necessary in order to incorporate additional model-based evaluation parameters, such as resilience, into the system design. The methodology presented in this article can make an important contribution to the design of resilient systems by combining cost-optimised system design with subsequent indicator-based resilience analysis.

3. Methodology

Conventional decision-making processes in the planning of heat supply are typically driven by cost considerations and only consider parameters of emission neutrality and security of supply as secondary conditions. Consequently, other relevant parameters, such as resilience, are often not taken into account, as a significant and unsustainable increase in costs is assumed. However, if the solution space is expanded, with slightly higher costs allowed for investment and operation, alternatives can be identified that are in the vicinity of the cost-optimal solution (defined as near-optimal solutions in terms of costs) but which perform significantly better than the optimal solution in other factors, such as resilience.
To address the question of improving the resilience of future energy systems under near cost-optimal conditions, a methodology has been developed that can be divided into two main parts. Initially, the modelling to generate alternatives (MGA) optimisation approach is used to generate a set of near-optimal solutions. The variation in all investment decisions enables the generation of a wide range of different near-optimal solutions. This process leads to a large number of solutions that provide a comprehensive basis for identifying more resilient system configurations. For this reason, indicators for the resilience design principles of diversity, redundancy and buffer capacity are utilised to assess the resilience of this set of solutions. Figure 1 shows the schematic sequence of the methodology used in this work, step by step.

3.1. Modelling to Generate Alternatives (MGA)

Mathematical optimisation models play crucial roles in the field of energy-system analysis to provide insights for policy advice. However, utilising optimal outcomes of such models provides a limited perspective on the possible solution space. The reason for this is twofold: the models’ level of abstraction fails to encapsulate all critical aspects of reality and input parameters are frequently subject to high uncertainty. While scenario analysis may address some of these uncertainties, approaches that explore a larger set of solutions can significantly improve insights [24]. The method of modelling to generate alternatives (MGA) describes an optimisation-based approach to explore the near-optimal solution space of mathematical optimisation problems. MGA can be undertaken following different approaches by starting with an initial optimisation problem and re-formulating this problem to generate an additional, near-optimal solution [25]. In the context of energy-system modelling, DeCarolis et al. [24] applied this method to the US electricity sector. Similarly, Neumann and Brown [26] explored the near-optimal solution space of power-system models using a MGA approach. Finke et al. [27] further demonstrate the utility of MGA in energy-system modelling. The proposed methodology integrates explicit and implicit multi-objective approaches to generate alternatives for the municipal energy transition.
The methodology of MGA is increasingly being utilised for the purpose of developing robust and resilient designs for energy systems. The objective is to identify solutions that are almost optimal, taking into account additional spatial balance, technical resilience, robust transformation paths and resilience to weather extremes.
An early contribution in this area was provided by Lombardi et al. [28], who employed the SPORES (spatially explicit practically optimal renewable scenarios) approach to generate near-optimal cost-effective energy-system configurations with a high proportion of renewable energy at the national level (in this case study, Italy). The focus of this study is the spatially differentiated generation of politically and socially compatible near-optimal solutions within a narrow cost corridor. These solutions are intended to demonstrate alternative transformation paths in the political and social decision-making process. The concept of resilience is addressed through a combination of technological and geographical diversification, as well as robustness against meteorological events.
In a related approach, Grochowicz et al. [29] examine the robustness of European electricity systems to extreme weather events by calculating near-optimal solution spaces for individual weather years and then superimposing them to identify investment concepts that remain robust and cost-effective in all years considered. Another contribution that combines near-optimal solutions with a weather-based resilience assessment is provided by Killenberger et al. [30], who examine various technological configurations (e.g., PV-dominated scenarios) for the Swiss electricity system with high shares of renewable energies. In this approach, resilience is operationalised and assessed as the probability of fulfilment over several historical years.
In another application example, van Greevenbroek et al. [31] demonstrate that, despite high uncertainties in demand and technology development, a robust European hydrogen strategy can be formulated using MGA. The identification of robust target paths is achieved, deviating only minimally from the optimum cost, even under widely varying assumptions (e.g., regarding the availability of technologies or supply chains).
Zhang et al. [32] employed the MGA approach at the district level to generate a variety of resilient-system configurations within a defined cost deviation. These approaches enable the formulation of resilient alternatives that remain stable under different parameter and structural assumptions.
A comparison of these studies indicates that MGA-based methods constitute a systematic extension of classical optimisation approaches. The respective studies differ primarily in their definition of resilience (spatial, technical, event-based, structural), the sector under consideration (electricity, heat, hydrogen) and the system boundary (urban, national or continental). However, they share the common goal of expanding the decision-making space and thereby reducing path dependencies by generating near-optimal alternatives.
A systematic evaluation of MGA methods is presented by Lau et al. [33]. Their study provides a comprehensive overview of seven approaches to vector selection in MGA and compares four of them (hop–skip–jump, random vector, variable min/max, and modelling all alternatives) in terms of computation time, parallelisability and solution exploration efficiency. The results show that the random vector approach enables the broadest solution exploration and the variable min/max approach the most extreme, with both calculating at the same speed. Based on these findings, a hybrid approach based on capacity variables is proposed in order to achieve realistic and efficient results.
Table 1 gives an overview of the presented MGA literature and, essentially, summarises it in the categories of methodology and context, main advantage and type of considered resilience.
The approach used in this study to generate alternative solutions adopts the methodology described in Neumann and Brown [26] and consists of three steps: (1) determining an optimal solution X * to the problem (in this case, the investment and operating cost minimisation of an energy system, as described in Section 4.1); (2) encoding the objective function as a constraint as described in Equation (1) with corresponding objective values of ε 0.1 compared with the optimal solution; and (3) minimising and maximising a selection of decision variables (in this case, the installed capacity of the system units) one by one using new objective functions. ε is representative of the permitted cost deviation, and therefore of the expansion of the solution space, in which near-optimal solutions are identified.
f o b j ( X ) ( 1 + ϵ ) · f o b j ( X * )

3.2. Resilience  Indicators

Based on the concept of engineering resilience, Ahmadi et al. [14] identify a number of resilience indicators in the context of energy systems. Most of the indicators they investigate focus on the absorption and recovery of the system using model-based quantification methods that follow an optimisation, agent-based or stochastic approach. While some of these indicators can be characterised as ex post, others such as the Shannon–Weaver index or average remaining network utilisation index (ARU) are ex ante. Based on the outlined idea of the resilience design concept, the following indicators are used to operationalise the design principles diversity, redundancy and buffer capacity. The limitations of the underlying linear optimisation model, in conjunction with the restricted focus on the technical and economic aspects of the system, result in a constrained resilience analysis, restricted to these three design principles. For a more comprehensive resilience analysis, it is essential to further integrate design principles into the assessment.
To provide a better overview, Table 2 presents a summary of all the design principles and their cosponsoring indicators used for the resilience assessment. In the following sections, a precise description for each indicator is given.

3.2.1. Diversity

According to Stirling [34], the diversity of a system is described by three elements: variety (number of option categories in the system), balance (distribution of system elements across option categories), and disparity (differences between option categories). Variety contributes to the underlying diversity, which contributes to the evolutionary innovation capacity of systems [35,36]. In addition, the diversity of options in a system helps to avoid path dependencies [37]. Functional and structural diversity is achieved through the appropriate selection and arrangement of generation, conversion, storage, distribution, control and communication technologies and associated resources. Methods such as the Shannon, Gini or Stirling index have been established to quantify diversity [38,39]. The Stirling index was chosen as the quantification metric for this case study because it considers not only the variety and balance but also the disparity between the system elements [38]. The Stirling index S is defined in Equation (2).
S = i j ( i j ) d i j α · ( p i · p j ) β
The Stirling index S is calculated from the sum of the pairwise comparison of the individual components i and j. In this context, p i and p j represent the shares of the installed capacity of the individual components in the total energy supply. The first multiplicand d i j represents the disparity distance between the two components, while the second multiplicand of p i · p j represents the variety of option categories and the balance of the distribution. With the exponents α and β , it is possible to specifically weight the disparity as well as the variety and balance. For a detailed description of the disparity distance calculation, see Equations (A1) and (A2) in Appendix A.

3.2.2. Redundancy

Redundancy refers to the multiple presence of similar system components. In the event of failure of one component, operation is not compromised if another component effectively substitutes the system function of the failing one (n − 1 criterion) [40]. Physical redundancy thus increases resistance to a disruptive event and can ensure stable and secure system performance even if one or more relevant components fail. The redundancy of a system can be increased by two factors. First, the secured installed capacity of the system should exceed the maximum power demand by a generous factor, so that sufficient back-up capacity is available even in the event of system failures under peak load. In addition, a broad distribution of the total installed power across a large number of smaller individual components has a positive effect on redundancy. In order to evaluate the redundancy of the system, a factor R is established in Equation (3) that considers not only the ratio of the secured installed capacity in the system P i n s t , t o t a l to the maximum power demand P d e m a n d , but also the distribution of the secured installed capacity P i n s t , t o t a l over the individual components in the system i.
R = 1 P d e m a n d P i n s t , t o t a l α · i n P i P i n s t , t o t a l 2 · β

3.2.3. Buffer and Storage Capacity

Buffer and storage capacities play a decisive role in enhancing the resilience of energy systems. These capacities enable energy systems to better withstand disruptions and react dynamically to fluctuations in energy supply and demand. The increasing use of renewable energy sources, with their intermittent supply, will increase the duration and magnitude of these fluctuations. Buffers and storage can provide flexibility to the system to meet these challenges. Having a high level of buffer and storage capacity, energy systems can not only enhance their resistance to disruptions but also facilitate the integration of renewable energy sources. To quantify the buffer and storage capacity, an index B S C is introduced in Equation (4) that relates the maximum energy capacity of buffers and storage installed in the system E i n s t , B S C to the maximum load of the system P d e m a n d . The factor thus reflects the time that the system can maintain system performance under maximum load based solely on its buffer and storage capacity.
B S C = E i n s t , B S C P d e m a n d

4. Model Setup and Scenario Data

The previously described methodology is applied to a district heating system (Figure 2) to exhibit the potential of how MGA can support the design of resilient energy systems. The model is a linear optimisation model based on the library oemof.solph (version 0.4.4) [41] of the open energy modelling framework (oemof) [42]. The model applies a perfect foresight approach for a time horizon of one year with an hourly resolution minimising total investment and operational cost. A detailed description of the mathematical setup can be found in Röder et al. [43]. The modelling setup and the scenario data are briefly described in the following and are based on [43,44].

4.1. Model Setup

The model depicts a generic energy centre providing heat and electricity to an urban district (Figure 2, on the right). The optimisation issue involves the selection and dimensioning of the energy conversion and storage units of the energy centre. The modelling intends to create transferable concepts for the district heating supply and therefore represents a generic sector coupled district heating system.
The district energy system is connected to the upstream electricity, gas and hydrogen distribution infrastructure (Figure 2, on the left). It allows the import of electricity and gas from the upstream networks or export of electricity and hydrogen to the upstream system. In addition, another electricity supply option is the installation of photovoltaic (PV) systems on the roofs of the buildings in the district.
The energy converter and storage units shown in Figure 2 are being evaluated. For heat generation, two gas-based heat generation units, a boiler, and a combined heat and power unit (CHP) are being considered. Two types of heat pumps are available: an air heat pump and a geothermal heat pump based on geothermal probes. In this scenario, it is presumed that a specific quantity of open land, such as parking lots, is accessible for placing geothermal probes. The model also includes an electrolysis system for the electricity-based production of hydrogen. The excess heat generated by the electrolysis process is utilised in the heat supply of the district heating system.
The district energy central also supplies electricity to the district. Power can come from the district’s own sources, such as photovoltaic (PV) or combined heat and power (CHP) facilities, or through the purchase of electricity from the upstream grid. Several energy storage options are available in the model, including a thermal storage tank that functions as a hydraulic separator between the district heating network and the heat generation units, a large-scale lithium-ion battery storage system for electricity and high-pressure vessels for storing hydrogen. Achieving the required pressure level of 200 bar will also necessitate the use of a hydrogen compressor.
All energy conversion and storage units are implemented as investment objects that are selected and dimensioned during the optimisation process. The model excludes network pumps of the district heating network and the auxiliary power demand required for operating the energy conversion and storage units due to their insignificant magnitude compared with the district’s primary energy demand.
In addition, certain technologies and commodities such as solar thermal collectors, biomass and industrial waste heat utilisation were not considered as a heat supply option due to competition for installation sites with other technologies or unsuitability for an urban application.

4.2. Scenario Data and Parameters

The analyses drew upon a case study of an urban district in the small northern German town of Heide in Schleswig-Holstein. The parameters of the energy converters and storage systems, as well as the investment costs, are based on market data for 2019/2020. The analysis is based on a future scenario for the upstream energy infrastructures of the gas and electricity grid. The objective of the planning process is to develop a district heating and electricity supply system that is entirely reliant on renewable energy sources. Consequently, the analysis excludes the use of fossil fuels. The assumption is made that renewable synthetic gas can be sourced from the upstream gas grid.
It must be noted that there are maximum investment capacities for each technology, which are related to realistic capacities for that size of district. For example, the ground-source heat-pump capacity is limited to 1000 kW, as this is related to a certain availability of open areas within the district for the installation of geothermal probes. The PV capacity is limited by the available and usable roof area of the district. Furthermore, the thermal storage capacity is limited to 30,000 kWh. With a temperature spread of 40 K, this results in a volume of approx. 644 m3, which can already pose challenges for a small urban district.
The capital-related costs are stated as an annuity per unit of installed capacity for each available technology. The forecast operating and fuel costs are summed, discounted to the year of investment and expressed as a value per unit of energy. The levelised cost of heat is then obtained by dividing the result of the objective function by the heat demand. This step has been omitted here, since the focus is on presenting the methodology rather than discussing the cost assumptions.
To find alternative solutions, the objective function is allowed to be a maximum of 10% higher than the result of the optimal run. Within this constraint, the capacity of each component of the above system is progressively maximised and minimised. This means that even rare combinations of technologies are found if they lead to a possible solution within the specified cost. For a better overview of the scenarios generated and the different system configurations resulting from the MGA, the accompanying data set [45] should be referred to at this point. There, the scenarios examined are presented in tabular form and the exact system configuration with regard to the installed capacity of the individual system components can be viewed as well.

5. Results

It is important to note that only part of the entire near-optimal space has been explored. Therefore, the results include only a subset of all near-optimal solutions. Other solutions may be found using different approaches. However, minimising and maximising all important capacities in conjunction with the small steps taken to open up the solution space leads to a set of representative solutions for the near-optimal space. The near-optimal space is defined by solutions with corresponding objective values of ε 0.1 compared with the optimal solution.
In the following, the term optimal solution refers to the optimal solutions of the specific scenario and parameter setting explained in the previous section. Due to the project-specific focus on the urban heat transition towards a climate-neutral resilient system, the indicator-based analysis focusses on the system’s heat supply. The installed supply and storage capacities included in the assessment are therefore thermal. While the application of these indicators to other sectors is possible, it falls outside the scope of this article. The results described in this section can be viewed in the accompanying data set provided in [45].

5.1. Installed Capacities

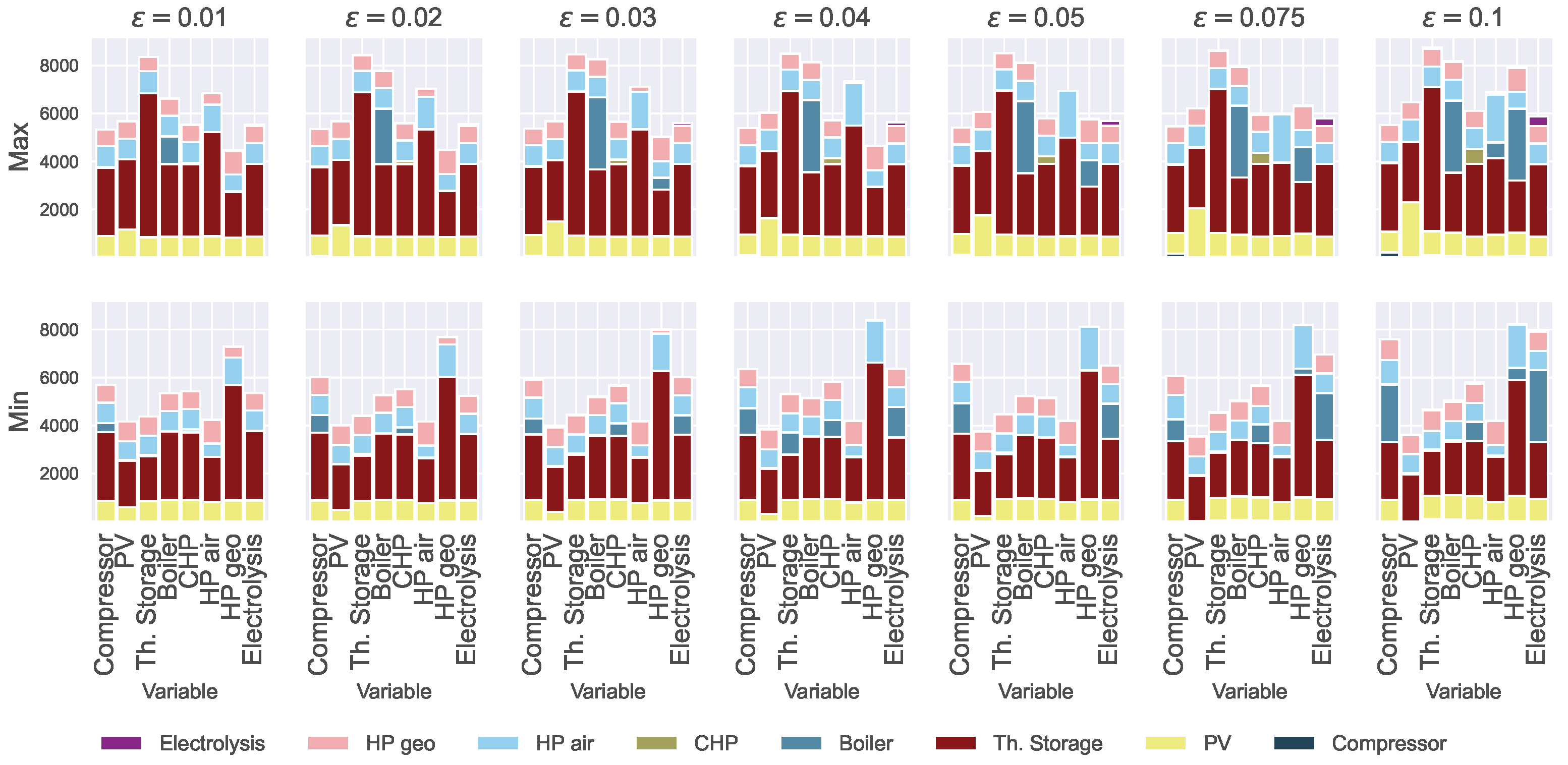
Figure 3 shows the boundaries for the investment variables of the supply technologies. For each figure, the upper bound represents solutions where the investment variable has been maximised while the lower bound represent values for minimising the corresponding variable. Note that, due to convexity of the underlying linear programme, every value within the envelope is part of a feasible solution with a difference lesser than or equal to ε compared with the optimal objective function value. For example, in case of the air-source heat pump and an epsilon value of 0.05, there are solutions of the optimisation problem, with heat-pump capacities between 500 kW and 2000 kW, that are in the range of less than or equal to 5% of the objective function value of the optimal solution.
For PV and heat pumps, classical cone-shaped envelopes can be observed as these technologies are all part of the optimal solution. For PV, capacities range from zero to around 2000 kW. Interestingly, a no-regret option for this setup is the air-source heat pump with around 500 kW in the minimum case and around 2000 kW in the maximum case. Furthermore, boiler, CHP and electrolysis are not part of the optimal solution. However, while near-optimal solutions with substantial boiler capacities exist, only solutions with relatively small CHP capacities have been found in this scenario setting.
Results for storage units are depicted in Figure 4. It can be observed that the optimum solution exclusively considers thermal storage capacity. However, in the near-optimal solution space, battery and hydrogen storage become viable investment options. Compared with electricity storages, the storage energy of heat and hydrogen is higher as these technologies feature a different power-to-energy ratio.
While the envelopes can show the wide range of possible solutions, these figures do not relate a solution to its other dependent investment variables. Therefore, Figure 5 shows the installed thermal capacities of all heat supply units for all solutions, which allows for a more comprehensive analysis. Firstly, the results show that investments in PV as well as thermal storage and heat pumps are n o - r e g r e t investment decisions, as these technologies appear in almost all solutions. PV and ground-source heat pumps are only not part of the solution in the scenarios where these variables are explicitly minimised. Furthermore, the results show that only electricity storage or electrolysis systems are part of a near-optimal technology mix [45]. This o r decision highlights one of the difficulties, where a downstream assessment approach, such as the resilience analysis in this study, can help in decision making in order to avoid path dependencies.
It can be observed that the allowance of supplementary costs serves to increase the potential combinations in energy provision, enabling a more heterogeneous energy system. The scope of variation increases equally to the expansion of the solution space. In conclusion, the MGA method demonstrates a partial exploration of the solution space, generating a multitude of solution scenarios with varying degrees of additional costs. This provides a promising foundation for the identification of, potentially, more resilient combinations, depending on the additional costs given.

5.2. Resilience Indicators Assessment

The results of the resilience indicator-based assessment for the resilience design principles diversity, redundancy and buffer capacity, as described in Section 3.2, are illustrated in Figure 6. The analysed scenarios are plotted in the scatter diagram with regard to their redundancy and diversity index. The colour of the diagram point indicates the deviation from the optimal solution ε , while the size indicates the associated buffer capacity index. The optimal solution is shown in red. An individual presentation of the different indicators can be found in Appendix B, Figure A1, Figure A2 and Figure A3.
The spectrum of the generated alternatives shows that the optimal solution, with a Stirling index of 0.06, a redundancy index of 0.68 and a buffer capacity of 8.22 h, is in the lower part of the bandwidth for all indicators. Consequently, it can be deduced that the enhancement in resilience (as assessed by the indicators analysed) is proportional to the additional investment costs. However, it is also possible to identify solutions that show an increase in all three resilience indicators compared with the optimal solution, even with low additional investment costs. The alternative generated by maximising the CHP plant at an additional cost of 2% results in an enhancement of the Stirling index from 0.06 to 0.24 (296%) and the redundancy index from 0.68 to 0.76 (12%). The buffer capacity remained almost identical with an increase of 0.0004%. In a similar manner, there are near-optimal solutions, which have lower values than the optimal solution in all three indicators, despite higher investment costs.

5.3. Identifying Resilient Solutions

From all the solutions generated, those that achieve the best value for each indicator and, concomitantly, have higher values than the optimal solution for the other two indicators were selected. The installed capacities for these solutions are displayed in Figure 7.
When this constraint is taken into account, the alternative that performs best in terms of diversity achieves a Stirling index of 0.41 (an increase of 585%) with additional investment costs of 10% ( ε = 0.1 ). With regard to redundancy, the highest index value of 0.81 (an increase of 18%) is also found at the very edge of the analysed solution space, at the minimisation of the heat-pump (geo) alternative with ε = 0.1 . When all indicators are weighted equally, this alternative also has the highest overall percentage increase across all resilience indicators.
The highest value of the buffer capacity is 16.32 h and is already achieved with low additional investment costs ( ε = 0.01 ) due to the limitation of the thermal-storage size. When the secondary condition is taken into account, which is that the other two parameters must be increased compared with the optimal solution, only 3% of additional investment costs are required ( ε = 0.03 ). Within the expanded solution space, further alternatives with optimal buffer capacities and higher redundancy and diversity can be identified.

6. Discussion

The exploration of the near-optimal solution space using the MGA approach and the indicator-based assessment methodology of the resilience of different scenarios leaves substantial space for discussion. The following section therefore reviews the results in terms of their validity and potential for further improvement.

6.1. Subset of Near-Optimal Solutions

The findings of the MGA demonstrate the significance of linear optimisation methods in providing insight into the design of future energy systems. Utilising this method, it was possible to systematically analyse the solution space around an optimal solution. As shown in Figure 5, it was possible to identify system configurations in the immediate vicinity of the optimal solution with investment choices in different technologies. This demonstrates that a simple linear optimisation model can quickly lead to unreflected decision making and thus to path dependencies. An accurate understanding of the solution space is imperative, particularly when considering other relevant decision variables in addition to the usual socio-economic perspective.
It is important to note that the method outlined here for exploring the solution space offers only a limited understanding of the spectrum. By considering additional decision variables, alternative system configurations can be identified that may lead to enhanced values for the resilience indicators. Funke et al. [46] provide a comprehensive overview of the quality of the near-optimal solution space examined in relation to the variables considered and the search of boundaries.
Simplifications were made when creating the linear optimisation model. Nonetheless, the results of linear models provide a good starting point for the detailed system design. In particular, within the conceptual phase, linear models offer adequate accuracy, given the numerous future parameters that are unknown anyway and would otherwise result in pseudo-accuracy. It is therefore more important to define the framework scenarios precisely and to depict the dependencies in the model as accurately as possible. For instance, the dependencies of electrolysis and compressor were not considered in this model. Consequently, the model produced alternatives in which the compressor was dimensioned disproportionately compared with the electrolysis, and vice versa.
However, a comparison of the results with those of other studies reveals a similarity in outcomes. Finke et al. [27] come to similar conclusions, particularly with regard to must-have decisions concerning heat pumps and PV systems. As Zhang et al. [32] also emphasise, a conflict exists between photovoltaic (PV) and solar collectors with regard to spatial requirements. Consequently, solar collectors were not considered in the scenario setting of this study.

6.2. Indicator-Based Resilience Assessment

Looking at the range of generated alternatives, the optimal solution, with a redundancy index of 0.68, a Stirling index of 0.06 and a buffer capacity of 8.2 h, is in the lower range for all indicators. Consequently, it can be assumed that the increase in resilience is proportional to the additional investment costs. Nevertheless, there are also solutions that show a significant increase in all three resilience indicators compared with the optimal solution, even with minimal extra investment costs. In the same way, there are solutions that show a decrease in all three resilience indicators despite increased investment costs. The MGA approach can thus be utilised to identify near-optimal solutions, with both lower and higher resilience (as assessed by the indicators used). It is important to note that the indication of higher resilience is not a quantitative assessment, as resilience, as a concept of preparing for the unknown unknowns, cannot be measured. Instead, it is hypothesised that an enhancement in all three indicators will result in an increase in resilience. In order to improve the validity of the results, it is important to extend the indicator-based resilience assessment to include additional design principles.

6.3. Resilience Solution

The challenge lies in identifying the most resilient solution, regardless of the number of indicators considered. The indicators presented in this article are only a first step towards a set of indicators that can be used to identify potentially resilient system configurations.
It is important to emphasise that the focus and weighting of design principles is a subjective process that needs to be discussed in consultation with stakeholders. The interactions and potential contradictions among the design principles necessitate further research and are beyond the scope of this article. For this reason, average values across the resilience indicators are not suitable for a final assessment and can only be used to classify the alternatives generated.

7. Conclusions

To conclude, it can be said that it is beneficial to explore the space in the vicinity of a near-optimal solution. With regard to resilience, there are more costly options that enhance resilience but also more costly options that diminish resilience. In other words, simply increasing the quantity of a given factor, such as installed power, storage capacity or other components, does not necessarily improve resilience.
The methodology proposed in this article enables the identification of a more resilient solution with minimal additional costs. This is of particular importance since, unlike a quantitative risk assessment, the resilience concept cannot be used to determine a monetary risk value. Furthermore, since the design principles are intended to anticipate and prepare for unknown and unexpected disruptive events, it can often be challenging to persuade stakeholders or investors to allocate additional resources towards the development of a more resilient system.
However, this is all the more important in the context of the forthcoming municipal heat planning in Germany. This requirement leads to far-reaching decisions regarding the future heat supply of municipalities, districts and entire cities. As previously mentioned in Section 6.1, a simple cost-efficient optimisation can lead to erroneous policy decisions and thus, to technological and infrastructural path dependencies.
This approach allows the specification of additional costs and the design of a more resilient system (in terms of the indicators used). The advantage of this approach is that stronger consideration of the design principles may not only contribute to avoiding outages and missing supplies but also financial risks in energy procurement, unexpected weather patterns, etc. The results and possible solution approaches presented in this article refer exclusively to the case study examined and therefore, only have restricted transferability. In particular, when using the MGA methodology, the results are highly sensitive to the input data used. Consequently, the findings presented in this article should not be interpreted as universally applicable recommendations for the design of energy systems. Nonetheless, both the applied methodology and the derived insights clearly demonstrate the considerable value of adopting a broader perspective and consideration of an expanded solution space. For decision makers engaged in municipal heat planning, it is crucial to base long-term strategies on a wide range of potential alternatives. The methodology outlined in this work provides a suitable framework for the systematic generation and robust evaluation of such options.

8. Outlook

The studies demonstrated that an increase in investment costs was not necessarily accompanied by an increase in the resilience indicators analysed. Therefore, it is not necessarily the case that increased investment volume leads to increased resilience. In order to gain a more comprehensive understanding of the system, it is essential that other resilience-enhancing design principles are included in the assessment. It is therefore necessary to extend the input data in future analyses and consider it during data collection. Furthermore, the models must be modified to facilitate the implementation and assessment of additional indicators.
The modelling framework used currently only allows for the assessment of technical and economic indicators. In order to gain a more comprehensive understanding of the system, it is necessary to develop models that account for social and political design principles as well. These additional models must be linked to the existing ones.
At this stage, it is not possible to make an exact statement about the resilience of the alternatives generated. This is due to a lack of in-depth understanding of how the structures and functionalities behind the design principles affect the resilience of the system in particular. However, a uniform and weighted operationalisation of the current and future indicators is essential. In order to gain a more profound comprehension of the causalities of resilience-enhancing structures and functionalities in energy systems, more detailed and extensive research is required. To this end, physical simulations will be conducted, in which the different near-optimal solutions will be specifically subjected to a range of disruption scenarios. By quantifying the depth and length of system performance losses during these disruption scenarios, the impact of resilience design principles on the overall resilience and the system’s capabilities can be ascertained.
A comprehensive understanding of how the design principles and the resilience-enhancing structures and functionalities they are based on influence a system is essential to analyse the interconnectivity between resilience and other characteristics of the system, such as sustainability, economic efficiency and flexibility. To this end, operationalised indicators must be integrated into a multi-criteria optimisation framework.

Author Contributions

T.M.: Conceptualisation, methodology, software, validation, formal analysis, investigation, visualisation, writing— original draft, writing—review and editing, project administration, funding acquisition; S.H.: conceptualisation, methodology, software, formal analysis, investigation, data curation, writing—original draft, project administration; U.K.: conceptualisation, methodology, software, investigation, data curation, writing—review and editing, funding acquisition. All authors have read and agreed to the published version of the manuscript.

Funding

This research was funded by the German Federal Ministry of Research, Technology and Space (Bundesministerium für Forschung, Technologie und Raumfahrt, BMFTR) within the project Wärmewende Nordwest (grant number 03SF0624).

Institutional Review Board Statement

Not applicable.

Informed Consent Statement

Not applicable.

Data Availability Statement

The original data presented in the study are openly available at https://doi.org/10.5281/zenodo.15111197 (accessed on 6 November 2025).

Acknowledgments

In addition to the funding of this research by the German Federal Ministry of Research, Technology and Space, gratitude is extended to Johannes Röder, who developed the district energy model that was analysed as a case study for the research presented in this article. During the preparation of this work the authors used DeepL (https://www.deepl.com/de/write; accessed on 6 November 2025) in order to improve writing style and check grammar and spelling. The content was reviewed and edited as needed by the authors and they take full responsibility for the content of the published article.

Conflicts of Interest

The authors declare no conflicts of interest. The funders had no role in the design of the study; in the collection, analyses, or interpretation of data; in the writing of the manuscript; or in the decision to publish the results.

Abbreviations & Nomenclatures

The following abbreviations and nomenclatures are used in this manuscript:
ARUAverage remaining network utilisation index
CHPCombined heat and power unit
HPHeat pump
MGAModelling to generate alternatives
oemofOpen energy modelling framework
PVPhotovoltaic
SPORESSpatially explicit practically optimal renewable scenarios
X * Optimal solution
ε Permitted cost deviation
f o b j ( X ) Objective function
SStirling index
d i j Disparity distance
pIndividual share of the installed capacity
α Weighting parameter
β Weighting parameter
RRedundancy index
PPower
P i n s t , t o t a l Secured installed capacity in the system
P d e m a n d Maximum demand load of the system
B S C Buffer and storage capacity index
E i n s t , B S C Maximum energy capacity of buffers and storage installed in the system
xProperty vector
DDiagonal matrix from the difference vector ( x i x j )
D L Sub-matrix of D
rRank of the matrix D
nNumber of attribute categories
b k kth orthonormal basis vector of the n-dimensional vector space
gWeighting vector
g L Weighting vector reduced to the dimension r.

Appendix A. Disparity Distance

The disparity distance d i j is defined in Equations (A1) and (A2) [47,48]:
d i j = D L D L 1 g L 1 g 1
and
D = k n b k T ( x i x j ) b k b k T
with
x i , x j : Property vectors of the option category i and j
D : Diagonal matrix from the difference vector ( x i x j ) | D K n × n
D L : Sub-matrix of D| D L K r × r
r : Rank of the matrix D| r = r a n k ( D )
n : Number of attribute categories | n = d i m ( x i , x j )
b k :  kth orthonormal basis vector of the n-dimensional vector space
| b k K n
g : Weighting vector | g K n
g L : Weighting vector reduced to the dimension r| g L K r .
D represents the disparity matrix with the dimension corresponding to the number of attributes used to differentiate between the option categories. The vector g indicates the weighting of the attributes. The index L stands for the reduced form of the disparity matrix and the weighting vector. In this operation, the matrix or vector is shortened by empty columns or rows so that the disparity matrix has full rank for further mathematical operations.

Appendix B. Result Plots of the Individual Resilience Indicators

Figure A1. Diversity of the near-optimal solutions indicated by Stirling index over the increasing cost allowance ε .
Figure A1. Diversity of the near-optimal solutions indicated by Stirling index over the increasing cost allowance ε .
Applsci 15 12417 g0a1
Figure A2. Redundancy index of the near-optimal solutions over the increasing cost allowance ε .
Figure A2. Redundancy index of the near-optimal solutions over the increasing cost allowance ε .
Applsci 15 12417 g0a2
Figure A3. Buffer capacity of the near-optimal solutions over the increasing cost allowance ε .
Figure A3. Buffer capacity of the near-optimal solutions over the increasing cost allowance ε .
Applsci 15 12417 g0a3

Appendix C. Result Table Resilience Assessment

Table A1. Resilience assessment results table. The grey backgound colors are the optimal solution and the best-performing alternatives for each indicator.
Table A1. Resilience assessment results table. The grey backgound colors are the optimal solution and the best-performing alternatives for each indicator.
Variable ε SenseBuffer Capacity [h]Redundancy Index [-]Stirling Index [-]
Optimal solution0 8.2220.6830.059
Ely. Compressor0.01Max7.745 (−6%)0.702 (3%)0.099 (67%)
Ely. Compressor0.01Min7.763 (−6%)0.795 (16%)0.314 (431%)
Th. Storage [P]0.01Max16.321 (98%)0.683 (0%)0.003 (−95%)
Th. Storage [P]0.01Min5.121 (−38%)0.716 (5%)0.156 (163%)
PV0.01Max7.948 (−3%)0.683 (0%)0.008 (−86%)
PV0.01Min5.293 (−36%)0.7 (2%)0.085 (44%)
Boiler0.01Max8.222 (0%)0.767 (12%)0.347 (486%)
Boiler0.01Min7.793 (−5%)0.695 (2%)0.076 (29%)
CHP0.01Max8.213 (0%)0.734 (7%)0.17 (188%)
CHP0.01Min7.705 (−6%)0.749 (10%)0.216 (265%)
Electrolysis0.01Max8.262 (0%)0.7 (2%)0.043 (−27%)
Electrolysis0.01Min7.885 (−4%)0.686 (0%)0.029 (−50%)
Heat Pump (air)0.01Max11.809 (44%)0.683 (0%)0.03 (−50%)
Heat Pump (air)0.01Min5.121 (−38%)0.683 (0%)0.004 (−94%)
Heat Pump (geo)0.01Max5.167 (−37%)0.702 (3%)0.11 (86%)
Heat Pump (geo)0.01Min13.108 (59%)0.686 (0%)0.029 (−52%)
Ely. Compressor0.02Max7.745 (−6%)0.702 (3%)0.099 (67%)
Ely. Compressor0.02Min7.685 (−7%)0.794 (16%)0.354 (497%)
Th. Storage [P]0.02Max16.321 (98%)0.686 (0%)0.038 (−36%)
Th. Storage [P]0.02Min5.121 (−38%)0.722 (6%)0.182 (207%)
PV0.02Max7.423 (−10%)0.683 (0%)0.014 (−77%)
PV0.02Min5.121 (−38%)0.702 (3%)0.091 (54%)
Boiler0.02Max8.222 (0%)0.677 (−1%)0.314 (431%)
Boiler0.02Min7.519 (−9%)0.697 (2%)0.081 (37%)
CHP0.02Max8.222 (0%)0.764 (12%)0.235 (296%)
CHP0.02Min7.443 (−9%)0.788 (15%)0.304 (413%)
Electrolysis0.02Max8.248 (0%)0.715 (5%)0.063 (7%)
Electrolysis0.02Min7.552 (−8%)0.688 (1%)0.054 (−9%)
Heat Pump (air)0.02Max12.152 (48%)0.683 (0%)0.031 (−48%)
Heat Pump (air)0.02Min5.121 (−38%)0.698 (2%)0.086 (45%)
Heat Pump (geo)0.02Max5.209 (−37%)0.691 (1%)0.066 (11%)
Heat Pump (geo)0.02Min14.016 (70%)0.686 (0%)0.027 (−55%)
Ely. Compressor0.03Max7.745 (−6%)0.702 (3%)0.099 (67%)
Ely. Compressor0.03Min7.478 (−9%)0.798 (17%)0.354 (498%)
Th. Storage [P]0.03Max16.321 (98%)0.69 (1%)0.061 (4%)
Th. Storage [P]0.03Min5.121 (−38%)0.727 (6%)0.204 (245%)
PV0.03Max6.962 (−15%)0.683 (0%)0.001 (−98%)
PV0.03Min5.121 (−38%)0.703 (3%)0.093 (58%)
Boiler0.03Max7.624 (−7%)0.634 (−7%)0.312 (428%)
Boiler0.03Min7.211 (−12%)0.718 (5%)0.15 (154%)
CHP0.03Max8.227 (0%)0.783 (15%)0.274 (363%)
CHP0.03Min7.211 (−12%)0.801 (17%)0.356 (502%)
Electrolysis0.03Max8.262 (0%)0.727 (6%)0.078 (32%)
Electrolysis0.03Min7.448 (−9%)0.791 (16%)0.359 (507%)
Heat Pump (air)0.03Max12.152 (48%)0.683 (0%)0.03 (−49%)
Heat Pump (air)0.03Min5.121 (−38%)0.703 (3%)0.118 (99%)
Heat Pump (geo)0.03Max5.287 (−36%)0.803 (17%)0.379 (540%)
Heat Pump (geo)0.03Min14.687 (79%)0.686 (0%)0.029 (−50%)
Ely. Compressor0.04Max7.74 (−6%)0.703 (3%)0.1 (69%)
Ely. Compressor0.04Min7.418 (−10%)0.771 (13%)0.361 (510%)
Th. Storage [P]0.04Max16.321 (98%)0.693 (1%)0.075 (27%)
Th. Storage [P]0.04Min5.121 (−38%)0.787 (15%)0.406 (586%)
PV0.04Max7.584 (−8%)0.683 (0%)0.014 (−77%)
PV0.04Min5.121 (−38%)0.703 (3%)0.093 (58%)
Boiler0.04Max7.241 (−12%)0.635 (−7%)0.321 (443%)
Boiler0.04Min7.085 (−14%)0.703 (3%)0.1 (69%)
CHP0.04Max8.222 (0%)0.793 (16%)0.3 (407%)
CHP0.04Min7.046 (−14%)0.798 (17%)0.375 (534%)
Electrolysis0.04Max8.227 (0%)0.738 (8%)0.09 (53%)
Electrolysis0.04Min7.13 (−13%)0.758 (11%)0.357 (503%)
Heat Pump (air)0.04Max12.576 (53%)0.683 (0%)0.028 (−53%)
Heat Pump (air)0.04Min5.121 (−38%)0.708 (4%)0.138 (134%)
Heat Pump (geo)0.04Max5.575 (−32%)0.697 (2%)0.097 (64%)
Heat Pump (geo)0.04Min15.618 (90%)0.688 (1%)0.039 (−34%)
Ely. Compressor0.05Max7.743 (−6%)0.702 (3%)0.099 (68%)
Ely. Compressor0.05Min7.53 (−8%)0.758 (11%)0.36 (508%)
Th. Storage [P]0.05Max16.321 (98%)0.696 (2%)0.093 (56%)
Th. Storage [P]0.05Min5.121 (−38%)0.733 (7%)0.224 (279%)
PV0.05Max7.283 (−11%)0.683 (0%)0.006 (−90%)
PV0.05Min5.121 (−38%)0.703 (3%)0.093 (58%)
Boiler0.05Max7.083 (−14%)0.636 (−7%)0.324 (448%)
Boiler0.05Min7.188 (−13%)0.703 (3%)0.099 (67%)
CHP0.05Max8.249 (0%)0.798 (17%)0.317 (436%)
CHP0.05Min6.921 (−16%)0.711 (4%)0.127 (114%)
Electrolysis0.05Max8.262 (0%)0.748 (9%)0.101 (70%)
Electrolysis0.05Min6.978 (−15%)0.743 (9%)0.353 (497%)
Heat Pump (air)0.05Max11.195 (36%)0.683 (0%)0.006 (−89%)
Heat Pump (air)0.05Min5.121 (−38%)0.712 (4%)0.152 (158%)
Heat Pump (geo)0.05Max5.559 (−32%)0.775 (13%)0.407 (587%)
Heat Pump (geo)0.05Min14.632 (78%)0.701 (3%)0.114 (92%)
Ely. Compressor0.075Max7.743 (−6%)0.702 (3%)0.099 (68%)
Ely. Compressor0.075Min6.631 (−19%)0.786 (15%)0.369 (523%)
Th. Storage [P]0.075Max16.321 (98%)0.705 (3%)0.132 (123%)
Th. Storage [P]0.075Min5.121 (−38%)0.729 (7%)0.219 (271%)
PV0.075Max6.9 (−16%)0.683 (0%)0.02 (−66%)
PV0.075Min5.121 (−38%)0.703 (3%)0.093 (58%)
Boiler0.075Max6.501 (−21%)0.638 (−7%)0.337 (469%)
Boiler0.075Min6.396 (−22%)0.709 (4%)0.111 (88%)
CHP0.075Max8.249 (0%)0.797 (17%)0.34 (475%)
CHP0.075Min6.153 (−25%)0.797 (17%)0.393 (565%)
Electrolysis0.075Max8.251 (0%)0.767 (12%)0.12 (103%)
Electrolysis0.075Min6.723 (−18%)0.704 (3%)0.339 (473%)
Heat Pump (air)0.075Max8.302 (1%)0.696 (2%)0.096 (62%)
Heat Pump (air)0.075Min5.121 (−38%)0.72 (5%)0.176 (198%)
Heat Pump (geo)0.075Max5.867 (−29%)0.75 (10%)0.411 (595%)
Heat Pump (geo)0.075Min13.909 (69%)0.786 (15%)0.331 (459%)
Ely. Compressor0.1Max7.745 (−6%)0.702 (3%)0.099 (67%)
Ely. Compressor0.1Min6.533 (−21%)0.672 (−2%)0.325 (449%)
Th. Storage [P]0.1Max16.321 (98%)0.715 (5%)0.164 (177%)
Th. Storage [P]0.1Min5.121 (−38%)0.73 (7%)0.223 (276%)
PV0.1Max6.837 (−17%)0.683 (0%)0.028 (−53%)
PV0.1Min5.293 (−36%)0.723 (6%)0.171 (189%)
Boiler0.1Max6.825 (−17%)0.64 (−6%)0.349 (490%)
Boiler0.1Min6.075 (−26%)0.741 (8%)0.208 (251%)
CHP0.1Max8.262 (0%)0.785 (15%)0.348 (487%)
CHP0.1Min6.267 (−24%)0.798 (17%)0.401 (578%)
Electrolysis0.1Max8.226 (0%)0.78 (14%)0.134 (127%)
Electrolysis0.1Min6.422 (−22%)0.634 (−7%)0.304 (414%)
Heat Pump (air)0.1Max8.682 (6%)0.802 (17%)0.405 (585%)
Heat Pump (air)0.1Min5.121 (−38%)0.725 (6%)0.19 (221%)
Heat Pump (geo)0.1Max5.919 (−28%)0.641 (−6%)0.354 (497%)
Heat Pump (geo)0.1Min13.119 (60%)0.805 (18%)0.403 (580%)

References

  1. Gatto, A.; Drago, C. A taxonomy of energy resilience. Energy Policy 2020, 136, 111007. [Google Scholar] [CrossRef]
  2. Gasser, P.; Lustenberger, P.; Cinelli, M.; Kim, W.; Spada, M.; Burgherr, P.; Hirschberg, S.; Stojadinovic, B.; Sun, T.Y. A review on resilience assessment of energy systems. Sustain. Resilient Infrastruct. 2021, 6, 273–299. [Google Scholar] [CrossRef]
  3. Cañizares, J.C.; Copeland, S.M.; Doorn, N. Making Sense of Resilience. Sustainability 2021, 13, 8538. [Google Scholar] [CrossRef]
  4. Hosseini, S.; Barker, K.; Ramirez-Marquez, J.E. A review of definitions and measures of system resilience. Reliab. Eng. Syst. Saf. 2016, 145, 47–61. [Google Scholar] [CrossRef]
  5. Holling, C.S. Engineering Resilience versus Ecological Resilience. In Engineering within Ecological Constraints; National Academies Press: Washington, DC, USA, 1996; pp. 31–43. [Google Scholar] [CrossRef]
  6. Jasiūnas, J.; Lund, P.D.; Mikkola, J. Energy system resilience—A review. Renew. Sustain. Energy Rev. 2021, 150, 111476. [Google Scholar] [CrossRef]
  7. Woods, D.D. Four concepts for resilience and the implications for the future of resilience engineering. Reliab. Eng. Syst. Saf. 2015, 141, 5–9. [Google Scholar] [CrossRef]
  8. Folke, C. Resilience: The emergence of a perspective for social–ecological systems analyses. Glob. Environ. Change 2006, 16, 253–267. [Google Scholar] [CrossRef]
  9. Martin, R.; Sunley, P. On the notion of regional economic resilience: Conceptualization and explanation. J. Econ. Geogr. 2015, 15, 1–42. [Google Scholar] [CrossRef]
  10. Jesse, B.J.; Heinrichs, H.U.; Kuckshinrichs, W. Adapting the theory of resilience to energy systems: A review and outlook. Energy Sustain. Soc. 2019, 9, 27. [Google Scholar] [CrossRef]
  11. Senkel, A.; Bode, C.; Schmitz, G. Quantification of the resilience of integrated energy systems using dynamic simulation. Reliab. Eng. Syst. Saf. 2021, 209, 107447. [Google Scholar] [CrossRef]
  12. Gholami, A.; Shekari, T.; Amirioun, M.H.; Aminifar, F.; Amini, M.H.; Sargolzaei, A. Toward a Consensus on the Definition and Taxonomy of Power System Resilience. IEEE Access 2018, 6, 32035–32053. [Google Scholar] [CrossRef]
  13. Roege, P.E.; Collier, Z.A.; Mancillas, J.; McDonagh, J.A.; Linkov, I. Metrics for energy resilience. Energy Policy 2014, 72, 249–256. [Google Scholar] [CrossRef]
  14. Ahmadi, S.; Saboohi, Y.; Vakili, A. Frameworks, quantitative indicators, characters, and modeling approaches to analysis of energy system resilience: A review. Renew. Sustain. Energy Rev. 2021, 144, 110988. [Google Scholar] [CrossRef]
  15. Sovacool, B.K.; Ryan, S.E.; Stern, P.C.; Janda, K.; Rochlin, G.; Spreng, D.; Pasqualetti, M.J.; Wilhite, H.; Lutzenhiser, L. Integrating social science in energy research. Energy Res. Soc. Sci. 2015, 6, 95–99. [Google Scholar] [CrossRef]
  16. Royston, S.; Foulds, C. The making of energy evidence: How exclusions of Social Sciences and Humanities are reproduced (and what researchers can do about it). Energy Res. Soc. Sci. 2021, 77, 102084. [Google Scholar] [CrossRef]
  17. Aven, T. Implications of black swans to the foundations and practice of risk assessment and management. Reliab. Eng. Syst. Saf. 2015, 134, 83–91. [Google Scholar] [CrossRef]
  18. Gößling-Reisemann, S.; Hellige, H.D.; Thier, P. The Resilience Concept: From Its Historical Roots to Theoretical Framework for Critical Infrastructure Design; Technical Report 217; Universität Bremen: Bremen, Germany, 2018. [Google Scholar]
  19. de Bruijn, K.; Buurman, J.; Mens, M.; Dahm, R.; Klijn, F. Resilience in practice: Five principles to enable societies to cope with extreme weather events. Environ. Sci. Policy 2017, 70, 21–30. [Google Scholar] [CrossRef]
  20. Wardekker, A.; Wilk, B.; Brown, V.; Uittenbroek, C.; Mees, H.; Driessen, P.; Wassen, M.; Molenaar, A.; Walda, J.; Runhaar, H. A diagnostic tool for supporting policymaking on urban resilience. Cities 2020, 101, 102691. [Google Scholar] [CrossRef]
  21. Wilk, B. Translating the Scientific Concepts of Resilience into a Diagnostic Tool for Urban Climate Resilience Building. Master’s Thesis, 2016. Available online: https://studenttheses.uu.nl/handle/20.500.12932/24980 (accessed on 30 September 2025).
  22. Tyler, S.; Moench, M. A framework for urban climate resilience. Clim. Dev. 2012, 4, 311–326. [Google Scholar] [CrossRef]
  23. Folke, C.; Hahn, T.; Olsson, P.; Norberg, J. Adaptive Governance of Social-Ecological Systems. Annu. Rev. Environ. Resour 2005, 15, 441–473. [Google Scholar] [CrossRef]
  24. DeCarolis, J.; Babaee, S.; Li, B.; Kanungo, S. Modelling to generate alternatives with an energy system optimization model. Environ. Model. Softw. 2016, 79, 300–310. [Google Scholar] [CrossRef]
  25. Brill, E.D.; Chang, S.Y.; Hopkins, L.D. Modeling to Generate Alternatives: The HSJ Approach and an Illustration Using a Problem in Land Use Planning. Manag. Sci. 1982, 28, 221–235. [Google Scholar] [CrossRef]
  26. Neumann, F.; Brown, T. The near-optimal feasible space of a renewable power system model. Electr. Power Syst. Res. 2021, 190, 106690. [Google Scholar] [CrossRef]
  27. Finke, J.; Kachirayil, F.; McKenna, R.; Bertsch, V. Modelling to generate near-Pareto-optimal alternatives (MGPA) for the municipal energy transition. Appl. Energy 2024, 376, 124126. [Google Scholar] [CrossRef]
  28. Lombardi, F.; Pickering, B.; Colombo, E.; Pfenninger, S. Policy Decision Support for Renewables Deployment through Spatially Explicit Practically Optimal Alternatives. Joule 2020, 4, 2185–2207. [Google Scholar] [CrossRef]
  29. Grochowicz, A.; van Greevenbroek, K.; Benth, F.E.; Zeyringer, M. Intersecting near-optimal spaces: European power systems with more resilience to weather variability. Energy Econ. 2023, 118, 106496. [Google Scholar] [CrossRef]
  30. Killenberger, C.; Zielonka, N.; Sasse, J.P.; Trutnevyte, E. Weather resilience of the future Swiss electricity system with very high shares of variable renewable energy sources. Environ. Res. Energy 2025, 2, 015003. [Google Scholar] [CrossRef]
  31. van Greevenbroek, K.; Schmidt, J.; Zeyringer, M.; Horsch, A. Little to lose: The case for a robust European green hydrogen strategy. Joule 2025, 9, 101974. [Google Scholar] [CrossRef]
  32. Zhang, R.; Li, Z.; Liu, P.; Hawkes, A.D. Exploring resilient alternatives in community energy systems planning to address parameter and structural hybrid uncertainties. Sustain. Cities Soc. 2025, 120, 106161. [Google Scholar] [CrossRef]
  33. Lau, M.; Patankar, N.; Jenkins, J.D. Measuring exploration: Evaluation of modelling to generate alternatives methods in capacity expansion models. Environ. Res. Energy 2024, 1, 045004. [Google Scholar] [CrossRef]
  34. Stirling, A. A general framework for analysing diversity in science, technology and society. J. R. Soc. Interface 2007, 4, 707–719. [Google Scholar] [CrossRef]
  35. Peterson, G.; Allen, C.R.; Holling, C.S. Ecological resilience, biodiversity, and scale. Ecosystems 1998, 1, 6–18. [Google Scholar] [CrossRef]
  36. Molyneaux, L.; Brown, C.; Wagner, L.; Foster, J. Measuring resilience in energy systems: Insights from a range of disciplines. Renew. Sustain. Energy Rev. 2016, 59, 1068–1079. [Google Scholar] [CrossRef]
  37. Farrell, A.E.; Zerriffi, H.; Dowlatabadi, H. Energy infrastructure and security. Annu. Rev. Environ. Resour. 2004, 29, 421–469. [Google Scholar] [CrossRef]
  38. Stirling, A. Multicriteria diversity analysis. Energy Policy 2010, 38, 1622–1634. [Google Scholar] [CrossRef]
  39. Binder, C.; Mühlemeier, S.; Wyss, R. An Indicator-Based Approach for Analyzing the Resilience of Transitions for Energy Regions. Part I: Theoretical and Conceptual Considerations. Energies 2017, 10, 36. [Google Scholar] [CrossRef]
  40. Biggs, R.; Schlüter, M.; Biggs, D.; Bohensky, E.L.; BurnSilver, S.; Cundill, G.; Dakos, V.; Daw, T.M.; Evans, L.S.; Kotschy, K.; et al. Toward Principles for Enhancing the Resilience of Ecosystem Services. Annu. Rev. Environ. Resour. 2012, 37, 421–448. [Google Scholar] [CrossRef]
  41. Krien, U.; Schönfeldt, P.; Launer, J.; Hilpert, S.; Kaldemeyer, C.; Pleßmann, G. oemof.solph—A model generator for linear and mixed-integer linear optimisation of energy systems. Softw. Impacts 2020, 6, 100028. [Google Scholar] [CrossRef]
  42. Hilpert, S.; Kaldemeyer, C.; Krien, U.; Günther, S.; Wingenbach, C.; Plessmann, G. The Open Energy Modelling Framework (oemof) - A new approach to facilitate open science in energy system modelling. Energy Strategy Rev. 2018, 22, 16–25. [Google Scholar] [CrossRef]
  43. Röder, J.; Beier, D.; Meyer, B.; Nettelstroth, J.; Stührmann, T.; Zondervan, E. Design of renewable and system-beneficial district heating systems using a dynamic emission factor for grid-sourced electricity. Energies 2020, 13, 619. [Google Scholar] [CrossRef]
  44. Röder, J.; Meyer, B.; Krien, U.; Zimmermann, J.; Stührmann, T.; Zondervan, E. Optimal Design of District Heating Networks with Distributed Thermal Energy Storages—Method and Case Study. Int. J. Sustain. Energy Plan. Manag. 2021, 31, 5–22. [Google Scholar] [CrossRef]
  45. Mitzinger, T.; Hilpert, S.; Krien, U. Result Table of Article ‘Exploring Near-Optimal-Solutions of Energy System Models to Increase Energy System Resilience’. (1.0) [Data Set]. Zenodo. 2025. Available online: https://zenodo.org/records/15111197 (accessed on 6 November 2025).
  46. Funke, C.; Brodnicke, L.; Lombardi, F.; Sansavini, G. Funplex: A Modified Simplex Algorithm to Efficiently Explore Near-Optimal Spaces. arXiv 2024, arXiv:2406.19809. [Google Scholar] [CrossRef]
  47. Mitzinger, T.; Röder, J.; Thier, P. Operationalization and Application of Resilience-Enhancing Design Principles for District Heating Systems. In Proceedings of the 30th European Safety and Reliability Conference and the 15th Probabilistic Safety Assessment and Management Conference (ESREL2020 PSAM15); Baraldi, P., Di Maio, F., Zio, E., Eds.; Enri Research Publishing Services: Singapore, 2020. [Google Scholar]
  48. Röder, J.; Mitzinger, T.; Thier, P.; Wassermann, T.; Dunkelberg, E. Analyse und Bewertung der Resilienz urbaner Wärmeversorgungskonzepte—Methodenentwicklung und Anwendung; Artec Forschungszentrum Nachhaltigkeit: Bremen, Germany, 2020. [Google Scholar]
Figure 1. Methodological workflow for exploring Near-optimal energy-system solutions to increase system resilience.
Figure 1. Methodological workflow for exploring Near-optimal energy-system solutions to increase system resilience.
Applsci 15 12417 g001
Figure 2. Schematic illustration of the district heating system model.
Figure 2. Schematic illustration of the district heating system model.
Applsci 15 12417 g002
Figure 3. Boundaries of installed capacities in kW for different values of ε and for minimising (lower bound) and maximising (upper bound) each investment variable of supply units in the objective function.
Figure 3. Boundaries of installed capacities in kW for different values of ε and for minimising (lower bound) and maximising (upper bound) each investment variable of supply units in the objective function.
Applsci 15 12417 g003
Figure 4. Boundaries of installed storage capacity in kWh for different values of ε and for minimising (lower bound) and maximising (upper bound) each investment variable of storage units in the objective function.
Figure 4. Boundaries of installed storage capacity in kWh for different values of ε and for minimising (lower bound) and maximising (upper bound) each investment variable of storage units in the objective function.
Applsci 15 12417 g004
Figure 5. Installed thermal capacities of all solutions for maximising investment variables (top) and minimising investment variables (bottom). X-Axis labels indicate which variable has been used in the objective function.
Figure 5. Installed thermal capacities of all solutions for maximising investment variables (top) and minimising investment variables (bottom). X-Axis labels indicate which variable has been used in the objective function.
Applsci 15 12417 g005
Figure 6. Scatterplot of redundancy index, diversity (Stirling) index and buffer capacity for all solutions. Colours reflect the difference ( ε ) compared with the optimal solutions. Sizes reflect the buffer index.
Figure 6. Scatterplot of redundancy index, diversity (Stirling) index and buffer capacity for all solutions. Colours reflect the difference ( ε ) compared with the optimal solutions. Sizes reflect the buffer index.
Applsci 15 12417 g006
Figure 7. Installed capacities in kW for the optimal solution and the solutions with highest performance per indicator.
Figure 7. Installed capacities in kW for the optimal solution and the solutions with highest performance per indicator.
Applsci 15 12417 g007
Table 1. Summary of the literature on modelling to generate alternatives (MGA) to consider system resilience.
Table 1. Summary of the literature on modelling to generate alternatives (MGA) to consider system resilience.
StudyMethodology/ContextMain AdvantageType of
Resilience
DeCarolis et al. [24]MGA in ESOM/U.S. electricity sectorExploration of near-optimal policy pathwaysTechnical resilience (system design flexibility)
Neumann and Brown [26]Multi-objective MGA/Power-system modellingBroad spectrum of feasible system configurationsStructural and technical resilience
Finke et al. [27]Explicit + implicit MGA/Municipal heat transitionIntegration of cost and resilience indicatorsSystemic resilience
Lombardi et al. [28]SPORES (MGA variant)/National renewable system (Italy)Spatially and socially feasible RE pathwaysTechnological and geographical resilience
Grochowicz et al. [29]MGA—weather robustness/European electricityRobustness to multi-year weather variabilityEvent-based resilience
Killenberger et al. [30]Weather-based MGA/Swiss PV-dominated power mixProbabilistic resilience assessmentEvent-based resilience
van Greevenbroek et al. [31]MGA for hydrogen/European hydrogen systemRobust transition under high uncertaintyStructural and strategic resilience
Zhang et al. [32]MGA for district energy/Urban district planningLocal-scale resilience within small cost gapsTechnical and structural resilience
Lau et al. [33]Comparative MGA (HSJ, RV, Min/Max)/Methodological studyEfficiency and coverage of solution spaceN/A
Table 2. Overview of the assessed design principles, indicators used and brief exposition.
Table 2. Overview of the assessed design principles, indicators used and brief exposition.
Design PrincipleIndicatorExposition
DiversityStirling IndexAssesses diversity based on the factors variance, disparity and balance by a pairwise comparison of the individual components in the system
RedundancyRedundancy IndexRatio of installed heat-supply capacity to forecast maximum head demand load of the district with additional consideration of the distribution of installed capacity over the system units
Buffer CapacityBuffer Capacity IndexRatio between heat-storage capacity and predicted maximum heat demand load (time how long the system can maintain its system performance based only on the storage and buffer capacity)
Disclaimer/Publisher’s Note: The statements, opinions and data contained in all publications are solely those of the individual author(s) and contributor(s) and not of MDPI and/or the editor(s). MDPI and/or the editor(s) disclaim responsibility for any injury to people or property resulting from any ideas, methods, instructions or products referred to in the content.

Share and Cite

MDPI and ACS Style

Mitzinger, T.; Hilpert, S.; Krien, U. Exploring Near-Optimal Solutions of Energy-System Models to Increase Energy-System Resilience. Appl. Sci. 2025, 15, 12417. https://doi.org/10.3390/app152312417

AMA Style

Mitzinger T, Hilpert S, Krien U. Exploring Near-Optimal Solutions of Energy-System Models to Increase Energy-System Resilience. Applied Sciences. 2025; 15(23):12417. https://doi.org/10.3390/app152312417

Chicago/Turabian Style

Mitzinger, Tino, Simon Hilpert, and Uwe Krien. 2025. "Exploring Near-Optimal Solutions of Energy-System Models to Increase Energy-System Resilience" Applied Sciences 15, no. 23: 12417. https://doi.org/10.3390/app152312417

APA Style

Mitzinger, T., Hilpert, S., & Krien, U. (2025). Exploring Near-Optimal Solutions of Energy-System Models to Increase Energy-System Resilience. Applied Sciences, 15(23), 12417. https://doi.org/10.3390/app152312417

Note that from the first issue of 2016, this journal uses article numbers instead of page numbers. See further details here.

Article Metrics

Back to TopTop