Effects of Prefrontal tDCS on Cognitive–Motor Performance During Postural Control and Isokinetic Strength Tasks in Women with Fibromyalgia: A Randomized, Sham-Controlled Crossover Study
Abstract
1. Introduction
2. Materials and Methods
2.1. Trial Design
2.2. Participants and Setting
2.3. Intervention
2.4. Instruments and Variables
2.4.1. Primary Outcomes
Posturography
Isokinetic Strength
2.4.2. Secondary Outcomes
2.5. Procedure
2.6. Statistical Analyses
3. Results
3.1. Descriptive Characteristics
3.2. Strength Under Dual and Single Tasks Conditions
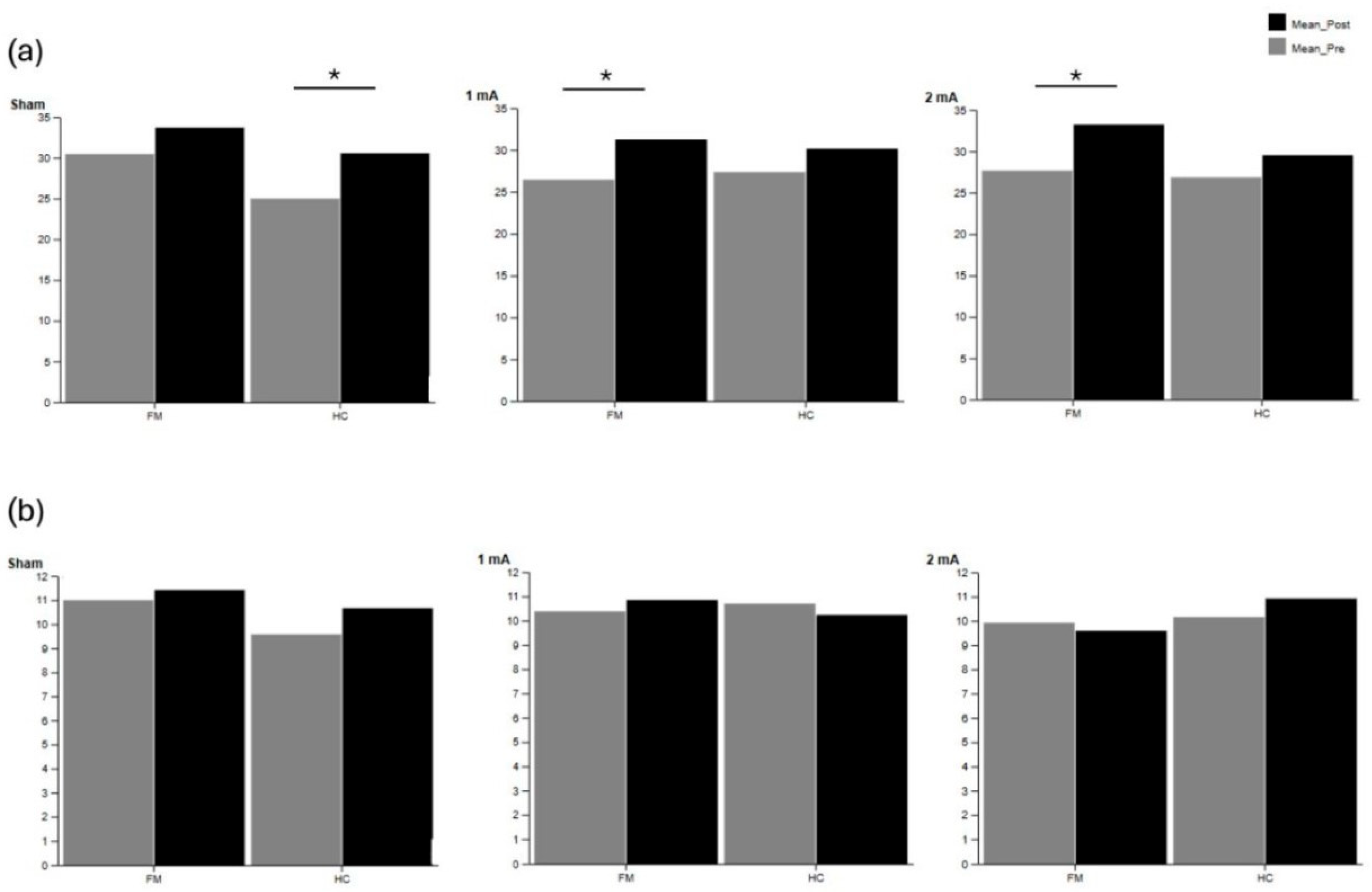
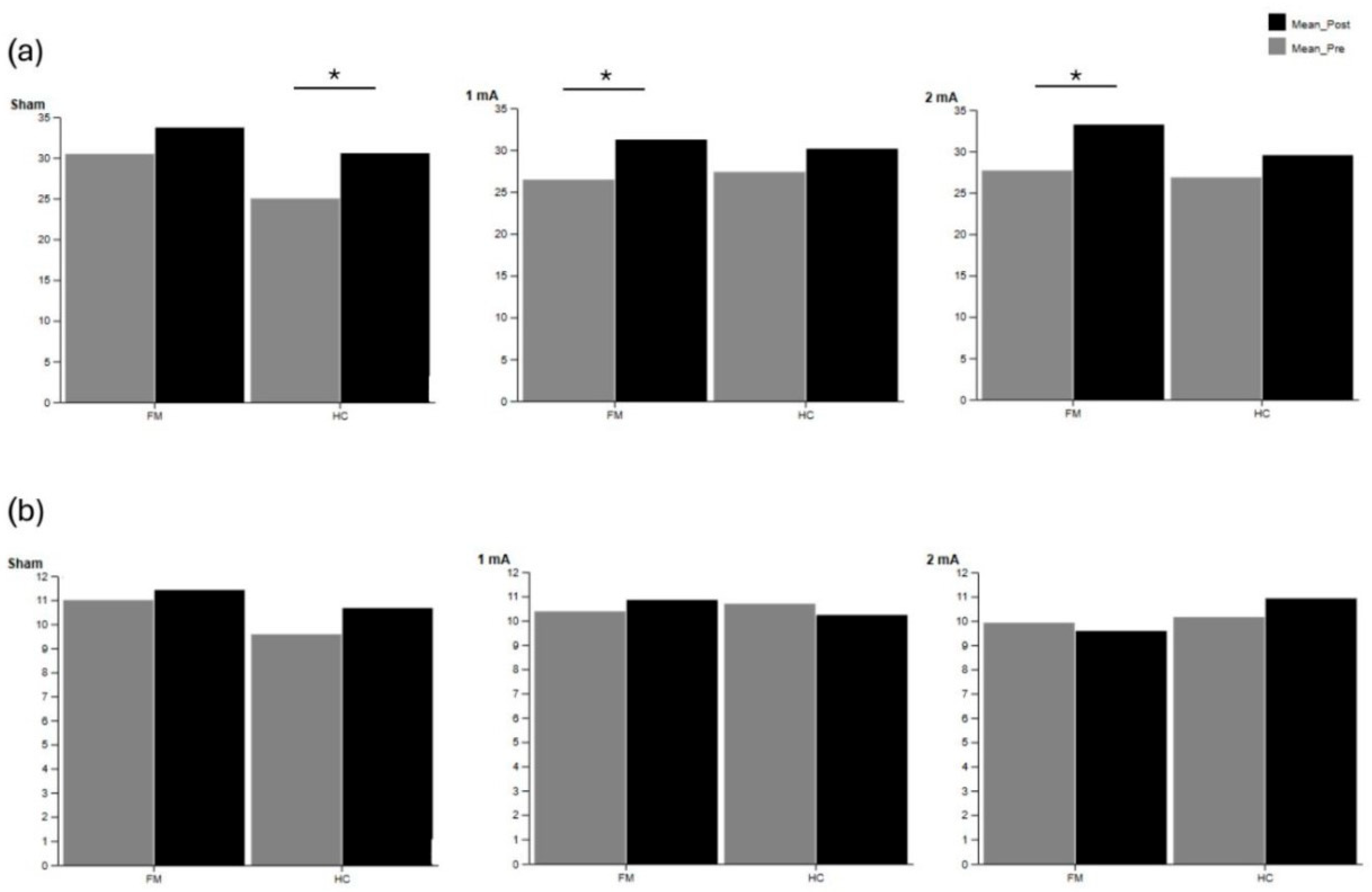
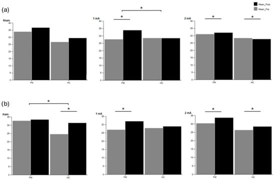
3.2.1. Single Motor Task Performance
3.2.2. Dual Motor Task Performance
3.2.3. Dual-Task Cost Effects in Isokinetic Task
3.2.4. Cognitive Performance Single and Dual-Task Conditions in Isokinetic Task
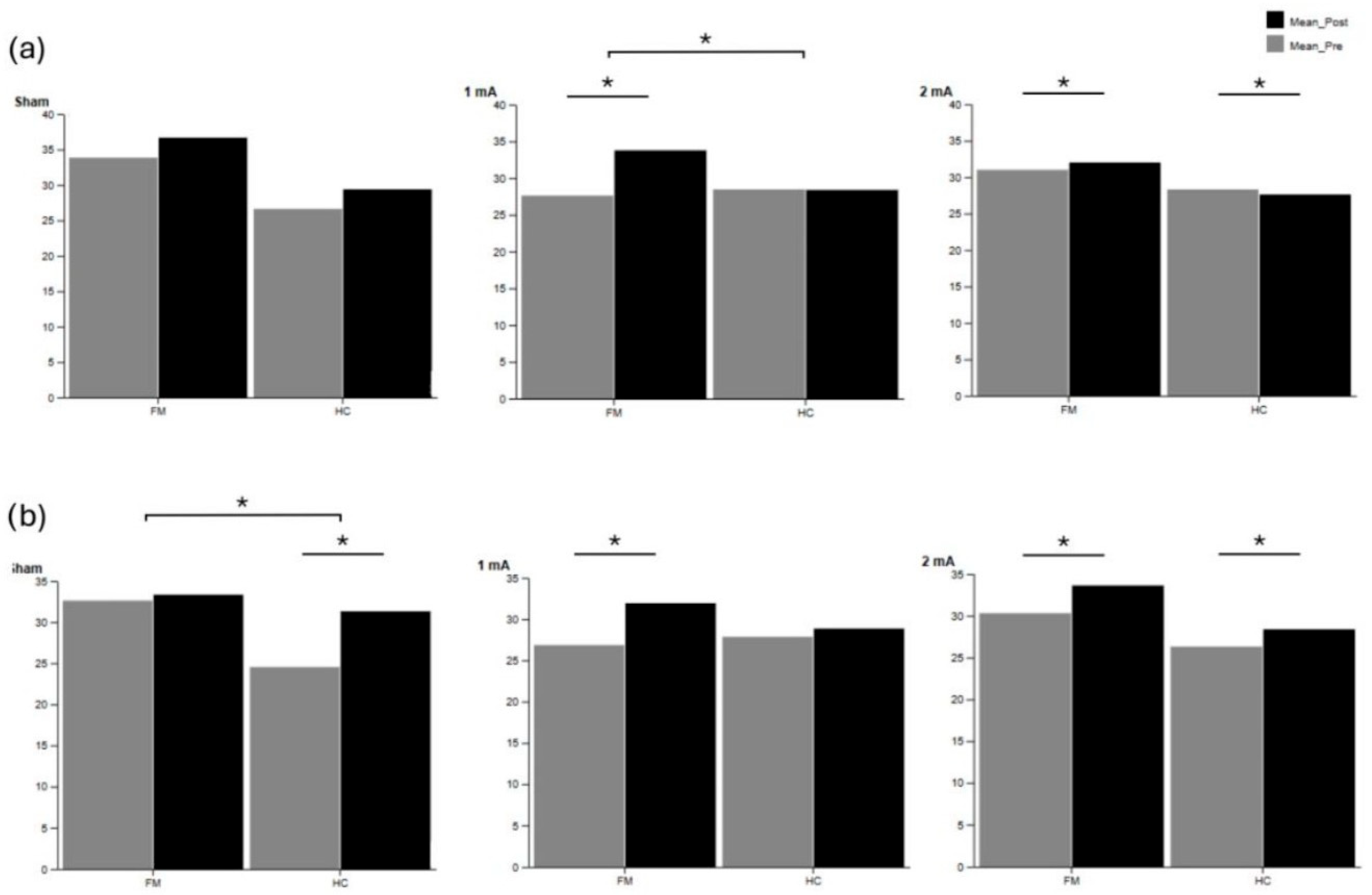
3.3. Standing Balance Under Dual and Single Tasks Conditions
3.3.1. Stability During Single Task with Open and Closed Eyes
3.3.2. Stability During Dual-Task with Open and Closed Eyes
3.3.3. Dual-Task Cost Effects in Standing Balance Tasks
3.3.4. Cognitive Performance Single and Dual-Task Conditions in Standing Balance Tasks
4. Discussion
5. Conclusions
Supplementary Materials
Author Contributions
Funding
Institutional Review Board Statement
Informed Consent Statement
Data Availability Statement
Acknowledgments
Conflicts of Interest
References
- Burckhardt, C.S.; Clark, S.R.; Bennett, R.M. Fibromyalgia and quality of life: A comparative analysis. J. Rheumatol. 1993, 20, 475–479. [Google Scholar]
- Marques, A.P.; do Espírito Santo, A.d.S.; Berssaneti, A.A.; Matsutani, L.A.; Yuan, S.L.K. Prevalence of fibromyalgia: Literature review update. Rev. Bras. Reumatol. 2017, 57, 356–363. [Google Scholar] [CrossRef]
- Gayà, T.F.; Ferrer, C.B.; Mas, A.J.; Seoane-Mato, D.; Reyes, F.Á.; Sánchez, M.D.; Dubois, C.M.; Sánchez-Fernández, S.A.; Vargas, L.M.R.; Morales, P.V.G. Prevalence of fibromyalgia and associated factors in Spain. Clin. Exp. Rheumatol. 2020, 123, 47–52. [Google Scholar]
- Branco, J.C.; Bannwarth, B.; Failde, I.; Carbonell, J.A.; Blotman, F.; Spaeth, M.; Saraiva, F.; Nacci, F.; Thomas, E.; Caubère, J.-P. Prevalence of fibromyalgia: A survey in five European countries. Semin. Arthritis Rheum. 2010, 39, 448–453. [Google Scholar] [CrossRef]
- Wolfe, F.; Clauw, D.J.; Fitzcharles, M.-A.; Goldenberg, D.L.; Häuser, W.; Katz, R.L.; Mease, P.J.; Russell, A.S.; Russell, I.J.; Walitt, B. 2016 Revisions to the 2010/2011 fibromyalgia diagnostic criteria. Semin. Arthritis Rheum. 2016, 46, 319–329. [Google Scholar] [CrossRef]
- Glass, J.M. Review of cognitive dysfunction in fibromyalgia: A convergence on working memory and attentional control impairments. Rheum. Dis. Clin. 2009, 35, 299–311. [Google Scholar] [CrossRef] [PubMed]
- Bell, T.; Trost, Z.; Buelow, M.T.; Clay, O.; Younger, J.; Moore, D.; Crowe, M. Meta-analysis of cognitive performance in fibromyalgia. J. Clin. Exp. Neuropsychol. 2018, 40, 698–714. [Google Scholar] [CrossRef] [PubMed]
- Sempere-Rubio, N.; Aguilar-Rodríguez, M.; Inglés, M.; Izquierdo-Alventosa, R.; Serra-Añó, P. Physical Condition Factors that Predict a Better Quality of Life in Women with Fibromyalgia. Int. J. Environ. Res. Public Health 2019, 16, 3173. [Google Scholar] [CrossRef]
- Villafaina, S.; Collado-Mateo, D.; Domínguez-Muñoz, F.J.; Fuentes-García, J.P.; Gusi, N. Impact of adding a cognitive task while performing physical fitness tests in women with fibromyalgia: A cross-sectional descriptive study. Medicine 2018, 97, e13791. [Google Scholar] [CrossRef]
- Friedman, N.P.; Robbins, T.W. The role of prefrontal cortex in cognitive control and executive function. Neuropsychopharmacology 2022, 47, 72–89. [Google Scholar] [CrossRef]
- Murillo-Garcia, A.; Leon-Llamas, J.L.; Villafaina, S.; Gusi, N. Fibromyalgia impact in the prefrontal cortex subfields: An assessment with MRI. Clin. Neurol. Neurosurg. 2022, 219, 107344. [Google Scholar] [CrossRef] [PubMed]
- Meinzer, M.; Lindenberg, R.; Darkow, R.; Ulm, L.; Copland, D.; Flöel, A. Transcranial direct current stimulation and simultaneous functional magnetic resonance imaging. J. Vis. Exp. JoVE 2014, 86, 51730. [Google Scholar] [CrossRef]
- Manor, B.; Zhou, J.; Jor’dan, A.; Zhang, J.; Fang, J.; Pascual-Leone, A. Reduction of Dual-task Costs by Noninvasive Modulation of Prefrontal Activity in Healthy Elders. J. Cogn. Neurosci. 2016, 28, 275–281. [Google Scholar] [CrossRef] [PubMed]
- Manor, B.; Zhou, J.; Harrison, R.; Lo, O.Y.; Travison, T.G.; Hausdorff, J.M.; Pascual-Leone, A.; Lipsitz, L. Transcranial Direct Current Stimulation May Improve Cognitive-Motor Function in Functionally Limited Older Adults. Neurorehabilit. Neural Repair 2018, 32, 788–798. [Google Scholar] [CrossRef]
- Silva, A.F.; Zortea, M.; Carvalho, S.; Leite, J.; Torres, I.L.; Fregni, F.; Caumo, W. Anodal transcranial direct current stimulation over the left dorsolateral prefrontal cortex modulates attention and pain in fibromyalgia: Randomized clinical trial. Sci. Rep. 2017, 7, 135. [Google Scholar] [CrossRef]
- Caumo, W.; Lopes Ramos, R.; Vicuña Serrano, P.; da Silveira Alves, C.F.; Medeiros, L.; Ramalho, L.; Tomeddi, R.; Bruck, S.; Boher, L.; Sanches, P.R.S.; et al. Efficacy of Home-Based Transcranial Direct Current Stimulation over the Primary Motor Cortex and Dorsolateral Prefrontal Cortex in the Disability Due to Pain in Fibromyalgia: A Factorial Sham-Randomized Clinical Study. J. Pain 2024, 25, 376–392. [Google Scholar] [CrossRef]
- Valle, A.; Roizenblatt, S.; Botte, S.; Zaghi, S.; Riberto, M.; Tufik, S.; Boggio, P.S.; Fregni, F. Efficacy of anodal transcranial direct current stimulation (tDCS) for the treatment of fibromyalgia: Results of a randomized, sham-controlled longitudinal clinical trial. J. Pain Manag. 2009, 2, 353–361. [Google Scholar]
- Staud, R. Brain imaging in fibromyalgia syndrome. Clin. Exp. Rheumatol. 2011, 29, S109–S117. [Google Scholar]
- Sandström, A.; Ellerbrock, I.; Tour, J.; Kadetoff, D.; Jensen, K.; Kosek, E. Dysfunctional activation of the dorsolateral prefrontal cortex during pain anticipation is associated with altered subsequent pain experience in fibromyalgia patients. J. Pain 2023, 24, 1731–1743. [Google Scholar] [CrossRef]
- Luerding, R.; Weigand, T.; Bogdahn, U.; Schmidt-Wilcke, T. Working memory performance is correlated with local brain morphology in the medial frontal and anterior cingulate cortex in fibromyalgia patients: Structural correlates of pain–cognition interaction. Brain 2008, 131, 3222–3231. [Google Scholar] [CrossRef]
- Burgmer, M.; Gaubitz, M.; Konrad, C.; Wrenger, M.; Hilgart, S.; Heuft, G.; Pfleiderer, B. Decreased gray matter volumes in the cingulo-frontal cortex and the amygdala in patients with fibromyalgia. Psychosom. Med. 2009, 71, 566–573. [Google Scholar] [CrossRef]
- Napadow, V.; Harris, R.E. What has functional connectivity and chemical neuroimaging in fibromyalgia taught us about the mechanisms and management ofcentralized’pain? Arthritis Res. Ther. 2014, 16, 425. [Google Scholar] [CrossRef]
- Jensen, K.B.; Srinivasan, P.; Spaeth, R.; Tan, Y.; Kosek, E.; Petzke, F.; Carville, S.; Fransson, P.; Marcus, H.; Williams, S.C.R. Overlapping structural and functional brain changes in patients with long-term exposure to fibromyalgia pain. Arthritis Rheumatol. 2013, 65, 3293–3303. [Google Scholar] [CrossRef]
- Glass, J.M. Cognitive dysfunction in fibromyalgia and chronic fatigue syndrome: New trends and future directions. Curr. Rheumatol. Rep. 2006, 8, 425–429. [Google Scholar] [CrossRef] [PubMed]
- Peinado-Rubia, A.; Osuna-Pérez, M.C.; Rodríguez-Almagro, D.; Zagalaz-Anula, N.; López-Ruiz, M.C.; Lomas-Vega, R. Impaired Balance in Patients with Fibromyalgia Syndrome: Predictors of the Impact of This Disorder and Balance Confidence. Int. J. Environ. Res. Public Health 2020, 17, 3160. [Google Scholar] [CrossRef] [PubMed]
- Sempere-Rubio, N.; López-Pascual, J.; Aguilar-Rodríguez, M.; Cortés-Amador, S.; Espí-López, G.; Villarrasa-Sapiña, I.; Serra-Añó, P. Characterization of postural control impairment in women with fibromyalgia. PLoS ONE 2018, 13, e0196575. [Google Scholar] [CrossRef] [PubMed]
- Stergiou, N.; Decker, L.M. Human movement variability, nonlinear dynamics, and pathology: Is there a connection? Hum. Mov. Sci. 2011, 30, 869–888. [Google Scholar] [CrossRef]
- Güler, H.; Yildizgören, M.T.; Üstün, N.; Paksoy, H.; Turhanoğlu, A.D. Isokinetic Assessment of the Wrist Muscles in Females with Fibromyalgia. Arch. Rheumatol. 2016, 31, 215–220. [Google Scholar] [CrossRef] [PubMed]
- Yetişgin, A.; Tiftik, T.; Kara, M.; Karabay, İ.; Akkuş, S.; Ersöz, M. Isokinetic muscle performance of the hip and ankle muscles in women with fibromyalgia. Int. J. Rheum. Dis. 2016, 19, 551–556. [Google Scholar] [CrossRef]
- Tavares, L.F.; Germano Maciel, D.; da Silva, T.Y.P.B.; de Brito Vieira, W.H. Comparison of functional and isokinetic performance between healthy women and women with fibromyalgia. J. Bodyw. Mov. Ther. 2020, 24, 248–252. [Google Scholar] [CrossRef]
- Cubukcu, S.; Alimoglu, M.K.; Samanci, N.; Gurbuz, U. Isokinetic and isometric muscle strength of the knee flexors and extensors in patients with the fibromyalgia syndrome and chronic myofascial pain syndrome. J. Musculoskelet. Pain 2007, 15, 49–55. [Google Scholar] [CrossRef]
- Muto, L.H.A.; Sauer, J.F.; Yuan, S.L.K.; Marques, A.P. FRI0472-HPR Assessment of postural control, strenght of lower limbs and pain in individuals with and without fibromyalgia. Ann. Rheum. Dis. 2012, 71, 748. [Google Scholar] [CrossRef]
- Sohn, M.K.; Jee, S.J.; Kim, Y.W. Effect of transcranial direct current stimulation on postural stability and lower extremity strength in hemiplegic stroke patients. Ann. Rehabil. Med. 2013, 37, 759–765. [Google Scholar] [CrossRef] [PubMed]
- Azarkolah, A.; Noorbala, A.A.; Ansari, S.; Hallajian, A.H.; Salehinejad, M.A. Efficacy of Transcranial Direct Current Stimulation on Pain Level and Disability of Patients with Fibromyalgia: A Systematic Review of Randomized Controlled Trials with Parallel-Group Design. Brain Sci. 2023, 14, 26. [Google Scholar] [CrossRef] [PubMed]
- World Medical Association. World Medical Association Declaration of Helsinki: Ethical principles for medical research involving human subjects. JAMA 2013, 310, 2191–2194. [Google Scholar] [CrossRef]
- Gomez-Alvaro, M.C.; Villafaina, S.; Leon-Llamas, J.L.; Murillo-Garcia, A.; Melo-Alonso, M.; Sánchez-Gómez, J.; Molero, P.; Cano-Plasencia, R.; Gusi, N. Effects of Transcranial Direct Current Stimulation on Brain Electrical Activity, Heart Rate Variability, and Dual-Task Performance in Healthy and Fibromyalgia Women: A Study Protocol. Behav. Sci. 2022, 12, 37. [Google Scholar] [CrossRef]
- Dwan, K.; Li, T.; Altman, D.G.; Elbourne, D. CONSORT 2010 statement: Extension to randomised crossover trials. BMJ 2019, 366, l4378. [Google Scholar] [CrossRef] [PubMed]
- Gomez-Alvaro, M.C.; Gusi, N.; Cano-Plasencia, R.; Leon-Llamas, J.L.; Murillo-Garcia, A.; Melo-Alonso, M.; Villafaina, S. Effects of Different Transcranial Direct Current Stimulation Intensities over Dorsolateral Prefrontal Cortex on Brain Electrical Activity and Heart Rate Variability in Healthy and Fibromyalgia Women: A Randomized Crossover Trial. J. Clin. Med. 2024, 13, 7526. [Google Scholar] [CrossRef]
- Lee, J.; Dong, S.; Jeong, J.; Yoon, B. Effects of Transcranial Direct Current Stimulation over the Dorsolateral Prefrontal Cortex (PFC) on Cognitive-Motor Dual Control Skills. Percept. Mot. Ski. 2020, 127, 803–822. [Google Scholar] [CrossRef]
- Wrightson, J.G.; Twomey, R.; Ross, E.Z.; Smeeton, N.J. The effect of transcranial direct current stimulation on task processing and prioritisation during dual-task gait. Exp. Brain Res. 2015, 233, 1575–1583. [Google Scholar] [CrossRef]
- Concerto, C.; Babayev, J.; Mahmoud, R.; Rafiq, B.; Chusid, E.; Aguglia, E.; Coira, D.; Battaglia, F. Modulation of prefrontal cortex with anodal tDCS prevents post-exercise facilitation interference during dual task. Somatosens. Mot. Res. 2017, 34, 80–84. [Google Scholar] [CrossRef]
- Zhou, J.; Hao, Y.; Wang, Y.; Jor’dan, A.; Pascual-Leone, A.; Zhang, J.; Fang, J.; Manor, B. Transcranial direct current stimulation reduces the cost of performing a cognitive task on gait and postural control. Eur. J. Neurosci. 2014, 39, 1343–1348. [Google Scholar] [CrossRef] [PubMed]
- Zhou, D.; Zhou, J.; Chen, H.; Manor, B.; Lin, J.; Zhang, J. Effects of transcranial direct current stimulation (tDCS) on multiscale complexity of dual-task postural control in older adults. Exp. Brain Res. 2015, 233, 2401–2409. [Google Scholar] [CrossRef] [PubMed]
- Pineau, N.; Robin, A.; Bulteau, S.; Thomas-Ollivier, V.; Sauvaget, A.; Deschamps, T. Does the transcranial direct current stimulation improve dual-task postural control in young healthy adults? Cogn. Process. 2020, 22, 291–298. [Google Scholar] [CrossRef]
- Jor’dan, A.J.; Bernad-Elazari, H.; Mirelman, A.; Gouskova, N.A.; Lo, O.Y.; Hausdorff, J.M.; Manor, B. Transcranial Direct Current Stimulation May Reduce Prefrontal Recruitment During Dual Task Walking in Functionally Limited Older Adults—A Pilot Study. Front. Aging Neurosci. 2022, 14, 843122. [Google Scholar] [CrossRef] [PubMed]
- Priori, A. Brain polarization in humans: A reappraisal of an old tool for prolonged non-invasive modulation of brain excitability. Clin. Neurophysiol. 2003, 114, 589–595. [Google Scholar] [CrossRef]
- Nitsche, M.A.; Liebetanz, D.; Antal, A.; Lang, N.; Tergau, F.; Paulus, W. Modulation of cortical excitability by weak direct current stimulation—Technical, safety and functional aspects. In Supplements to Clinical Neurophysiology; Elsevier: Amsterdam, The Netherlands, 2003; Volume 56, pp. 255–276. [Google Scholar] [CrossRef]
- Paulus, W. Transcranial direct current stimulation (tDCS). In Supplements to Clinical Neurophysiology; Elsevier: Amsterdam, The Netherlands, 2003; Volume 56, pp. 249–254. [Google Scholar] [CrossRef]
- Henriksen, M.; Lund, H.; Christensen, R.; Jespersen, A.; Dreyer, L.; Bennett, R.M.; Danneskiold-Samsøe, B.; Bliddal, H. Relationships between the fibromyalgia impact questionnaire, tender point count, and muscle strength in female patients with fibromyalgia: A cohort study. Arthritis Rheumatol. 2009, 61, 732–739. [Google Scholar] [CrossRef]
- Coban, O.; Yildirim, N.U.; Yasa, M.E.; Akinoglu, B.; Kocahan, T. Determining the number of repetitions to establish isokinetic knee evaluation protocols specific to angular velocities of 60°/second and 180°/second. J. Bodyw. Mov. Ther. 2021, 25, 255–260. [Google Scholar] [CrossRef]
- Duarte, M.; Freitas, S.M. Revision of posturography based on force plate for balance evaluation. Rev. Bras. Fisioter. 2010, 14, 183–192. [Google Scholar] [CrossRef]
- Stergiou, N. Nonlinear Analysis for Human Movement Variability; CRC Press: Boca Raton, FL, USA, 2018. [Google Scholar]
- Wolf, A.; Swift, J.B.; Swinney, H.L.; Vastano, J.A. Determining Lyapunov exponents from a time series. Phys. D Nonlinear Phenom. 1985, 16, 285–317. [Google Scholar] [CrossRef]
- Wurdeman, S.R. Lyapunov exponent. In Nonlinear Analysis for Human Movement Variability; CRC Press: Boca Raton, FL, USA, 2018; pp. 83–110. [Google Scholar]
- Roman-Viñas, B.; Serra-Majem, L.; Hagströmer, M.; Ribas-Barba, L.; Sjöström, M.; Segura-Cardona, R. International physical activity questionnaire: Reliability and validity in a Spanish population. Eur. J. Sport Sci. 2010, 10, 297–304. [Google Scholar] [CrossRef]
- Nasreddine, Z.S.; Phillips, N.A.; Bédirian, V.; Charbonneau, S.; Whitehead, V.; Collin, I.; Cummings, J.L.; Chertkow, H. The Montreal Cognitive Assessment, MoCA: A brief screening tool for mild cognitive impairment. J. Am. Geriatr. Soc. 2005, 53, 695–699. [Google Scholar] [CrossRef]
- Murillo-Garcia, A.; Leon-Llamas, J.L.; Villafaina, S.; Rohlfs-Dominguez, P.; Gusi, N. MoCA vs. MMSE of fibromyalgia patients: The possible role of dual-task tests in detecting cognitive impairment. J. Clin. Med. 2021, 10, 125. [Google Scholar] [CrossRef]
- Herdman, M.; Gudex, C.; Lloyd, A.; Janssen, M.F.; Kind, P.; Parkin, D.; Bonsel, G.; Badia, X. Development and preliminary testing of the new five-level version of EQ-5D (EQ-5D-5L). Qual. Life Res. 2011, 20, 1727–1736. [Google Scholar] [CrossRef] [PubMed]
- Chen, B.; Liu, P.; Xiao, F.; Liu, Z.; Wang, Y. Review of the upright balance assessment based on the force plate. Int. J. Environ. Res. Public Health 2021, 18, 2696. [Google Scholar] [CrossRef]
- Scoppa, F.; Capra, R.; Gallamini, M.; Shiffer, R. Clinical stabilometry standardization: Basic definitions–acquisition interval–sampling frequency. Gait Posture 2013, 37, 290–292. [Google Scholar] [CrossRef]
- Gomez-Alvaro, M.C.; Leon-Llamas, J.L.; Melo-Alonso, M.; Villafaina, S.; Domínguez-Muñoz, F.J.; Gusi, N. Test-Retest Reliability of Isokinetic Strength in Lower Limbs under Single and Dual Task Conditions in Women with Fibromyalgia. J. Clin. Med. 2024, 13, 1288. [Google Scholar] [CrossRef]
- Benjamini, Y.; Hochberg, Y. Controlling the false discovery rate: A practical and powerful approach to multiple testing. J. R. Stat. Soc. Ser. B Stat. Methodol. 1995, 57, 289–300. [Google Scholar] [CrossRef]
- Fritz, C.O.; Morris, P.E.; Richler, J.J. Effect size estimates: Current use, calculations, and interpretation. J. Exp. Psychol. Gen. 2012, 141, 2–18. [Google Scholar] [CrossRef] [PubMed]
- Machado, S.; Jansen, P.; Almeida, V.; Veldema, J. Is tDCS an adjunct ergogenic resource for improving muscular strength and endurance performance? A systematic review. Front. Psychol. 2019, 10, 1127. [Google Scholar] [CrossRef] [PubMed]
- Masoudi, M.; Ehsani, F.; Hedayati, R.; Ramezani, M.; Jaberzadeh, S. Different montages of transcranial direct current stimulation on postural stability in chronic low back pain patients: A randomized sham-controlled study. J. Back Musculoskelet. Rehabil. 2024, 37, 1151–1161. [Google Scholar] [CrossRef]
- Cha, S.; Choi, J.; Moon, C.; Cho, K. Non-invasive brain stimulation contributing to postural control with and without stroke: A systematic review and meta-analysis. Sci. Rep. 2025, 15, 26020. [Google Scholar] [CrossRef] [PubMed]
- Jones, K.D.; Horak, F.B.; Winters-Stone, K.; Irvine, J.M.; Bennett, R.M. Fibromyalgia is associated with impaired balance and falls. J. Clin. Rheumatol. Pract. Rep. Rheum. Musculoskelet. Dis. 2009, 15, 16–21. [Google Scholar] [CrossRef]
- Collado-Mateo, D.; Gallego-Diaz, J.M.; Adsuar, J.C.; Domínguez-Muñoz, F.J.; Olivares, P.R.; Gusi, N. Fear of Falling in Women with Fibromyalgia and Its Relation with Number of Falls and Balance Performance. BioMed Res. Int. 2015, 2015, 589014. [Google Scholar] [CrossRef]
- Vieira, L.A.F.; Lattari, E.; de Jesus Abreu, M.A.; Rodrigues, G.M.; Viana, B.; Machado, S.; Oliveira, B.R.R.; Maranhão Neto, G.A. Transcranial Direct Current Stimulation (tDCS) Improves Back-Squat Performance in Intermediate Resistance-Training Men. Res. Q. Exerc. Sport 2022, 93, 210–218. [Google Scholar] [CrossRef] [PubMed]
- Etemadi, M.; Amiri, E.; Tadibi, V.; Grospretre, S.; Valipour Dehnou, V.; Machado, D. Anodal tDCS over the left DLPFC but not M1 increases muscle activity and improves psychophysiological responses, cognitive function, and endurance performance in normobaric hypoxia: A randomized controlled trial. BMC Neurosci. 2023, 24, 25. [Google Scholar] [CrossRef]
- Teymoori, H.; Amiri, E.; Tahmasebi, W.; Hoseini, R.; Grospretre, S.; Machado, D.G.d.S. Effect of tDCS targeting the M1 or left DLPFC on physical performance, psychophysiological responses, and cognitive function in repeated all-out cycling: A randomized controlled trial. J. NeuroEng. Rehabil. 2023, 20, 97. [Google Scholar] [CrossRef]
- Soutschek, A.; Nadporozhskaia, L.; Christian, P. Brain stimulation over dorsomedial prefrontal cortex modulates effort-based decision making. Cogn. Affect. Behav. Neurosci. 2022, 22, 1264–1274. [Google Scholar] [CrossRef]
- Soutschek, A.; Tobler, P.N. Causal role of lateral prefrontal cortex in mental effort and fatigue. Hum. Brain Mapp. 2020, 41, 4630–4640. [Google Scholar] [CrossRef]
- Cerón-Lorente, L.; Valenza, M.C.; Pérez-Mármol, J.M.; del Carmen García-Ríos, M.; Castro-Sánchez, A.M.; Aguilar-Ferrándiz, M.E. The influence of balance, physical disability, strength, mechanosensitivity and spinal mobility on physical activity at home, work and leisure time in women with fibromyalgia. Clin. Biomech. 2018, 60, 157–163. [Google Scholar] [CrossRef] [PubMed]
- Vincent, A.; Benzo, R.P.; Whipple, M.O.; McAllister, S.J.; Erwin, P.J.; Saligan, L.N. Beyond pain in fibromyalgia: Insights into the symptom of fatigue. Arthritis Res. Ther. 2013, 15, 221. [Google Scholar] [CrossRef]
- Alcon, C.; Margerison, S.; Kirse, H.; Zoch, C.; Laurienti, P.; Seminowicz, D.; Wang-Price, S. The Effect of Combining Transcranial Direct Current Stimulation and Pain Neuroscience Education in Patients with Chronic Low Back Pain and High Pain Catastrophizing: An Exploratory Clinical, Cognitive, and fMRI Study. Brain Behav. 2025, 15, e70543. [Google Scholar] [CrossRef]
- Trost, W.; Hars, M.; Fernandez, N.; Herrmann, F.; Chevalley, T.; Ferrari, S.; Gold, G.; Rizzoli, R.; Vuilleumier, P.; Trombetti, A. Functional brain changes in sarcopenia: Evidence for differential central neural mechanisms in dynapenic older women. Aging Clin. Exp. Res. 2023, 35, 1015–1025. [Google Scholar] [CrossRef] [PubMed]
- Zhang, J.; Jia, X.; Li, Y.; Li, H.; Yang, Q. The longitudinal bidirectional association between sarcopenia and cognitive function in community-dwelling older adults: Findings from the China Health and Retirement Longitudinal Study. J. Glob. Health 2023, 13, 04182. [Google Scholar] [CrossRef] [PubMed]
- Cipolli, G.C.; Yassuda, M.S.; Aprahamian, I. Sarcopenia is associated with cognitive impairment in older adults: A systematic review and meta-analysis. J. Nutr. Health Aging 2019, 23, 525–531. [Google Scholar] [CrossRef]
- Du, J.; Tao, X.; Zhu, L.; Wang, H.; Qi, W.; Min, X.; Wei, S.; Zhang, X.; Liu, Q. Development of a visualized risk prediction system for sarcopenia in older adults using machine learning: A cohort study based on CHARLS. Front. Public Health 2025, 13, 1544894. [Google Scholar] [CrossRef] [PubMed]
- Usman, J.S.; Wong, T.W.-L.; Ng, S.S.M. Effects of transcranial direct current stimulation on dual-task performance in older and young adults: A systematic review and meta-analysis. Arch. Gerontol. Geriatr. Plus 2024, 1, 100047. [Google Scholar] [CrossRef]
- Beyrek, B.; Naz, İ.; Emuk, Y.; Köprülüoğlu, M.; Felekoğlu, E.; Uzun, E.; Nas, K. Investigation of the dual-task performance and affecting factors in female patients with fibromyalgia syndrome. Women Health 2023, 63, 277–284. [Google Scholar] [CrossRef]
- Muñoz-Perete, J.M.; Cano-Sánchez, J.; Castellote-Caballero, Y.; Vico-Rodríguez, P.; Cano-Orihuela, M.; Sánchez-Alcalá, M.; Carcelén-Fraile, M.d.C. Effectiveness of Transcranial Stimulation on Cognitive Abilities of Older Adults with Mild Cognitive Impairment. J. Clin. Med. 2025, 14, 2472. [Google Scholar] [CrossRef]
- Santos, V.; Zortea, M.; Alves, R.L.; Naziazeno, C.; Saldanha, J.S.; Carvalho, S.; Leite, A.; Torres, I.; Souza, A.; Calvetti, P.; et al. Cognitive effects of transcranial direct current stimulation combined with working memory training in fibromyalgia: A randomized clinical trial. Sci. Rep. 2018, 8, 12477. [Google Scholar] [CrossRef]
- Serrano, P.V.; Zortea, M.; Alves, R.L.; Beltrán, G.; Bavaresco, C.; Ramalho, L.; Alves, C.F.d.S.; Medeiros, L.; Sanches, P.R.S.; Silva, D.P., Jr. The effect of home-based transcranial direct current stimulation in cognitive performance in fibromyalgia: A randomized, double-blind sham-controlled trial. Front. Hum. Neurosci. 2022, 16, 992742. [Google Scholar] [CrossRef]
- Batsikadze, G.; Moliadze, V.; Paulus, W.; Kuo, M.F.; Nitsche, M.A. Partially non-linear stimulation intensity-dependent effects of direct current stimulation on motor cortex excitability in humans. J. Physiol. 2013, 591, 1987–2000. [Google Scholar] [CrossRef] [PubMed]
- Esmaeilpour, Z.; Marangolo, P.; Hampstead, B.M.; Bestmann, S.; Galletta, E.; Knotkova, H.; Bikson, M. Incomplete evidence that increasing current intensity of tDCS boosts outcomes. Brain Stimul. 2018, 11, 310–321. [Google Scholar] [CrossRef]
- Murillo-Garcia, A.; Villafaina, S.; Leon-Llamas, J.L.; Sánchez-Gómez, J.; Domínguez-Muñoz, F.J.; Collado-Mateo, D.; Gusi, N. Mobility Assessment under Dual Task Conditions in Women with Fibromyalgia: A Test-Retest Reliability Study. PM&R 2021, 13, 66–72. [Google Scholar]
- Khan, M.J.; Kannan, P.; Wong, T.W.-L.; Fong, K.N.K.; Winser, S.J. A systematic review exploring the theories underlying the improvement of balance and reduction in falls following dual-task training among older adults. Int. J. Environ. Res. Public Health 2022, 19, 16890. [Google Scholar] [CrossRef] [PubMed]
- Ljubisavljevic, M.R.; Oommen, J.; Filipovic, S.; Bjekic, J.; Szolics, M.; Nagelkerke, N. Effects of tDCS of dorsolateral prefrontal cortex on dual-task performance involving manual dexterity and cognitive task in healthy older adults. Front. Aging Neurosci. 2019, 11, 144. [Google Scholar] [CrossRef] [PubMed]
- Caumo, W.; Franca, B.R.; Orzechowski, R.; Bueno, G.; França, A.; da Silva, J.V.d.S.; Sanches, P.R.S.; Da Silva, D.P.; Torres, I.L.S.; Hirakata, V.N. Home-Based Transcranial Direct Current Stimulation vs Placebo for Fibromyalgia: A Randomized Clinical Trial. JAMA Netw. Open 2025, 8, e2514262. [Google Scholar] [CrossRef]
- Ben Izhak, S.; Jacoby, N.; Diedrich, L.; Antal, A.; Lavidor, M. Enhanced cognitive performance in older adults through combined cognitive training and transcranial direct current stimulation. Sci. Rep. 2025, 15, 24114. [Google Scholar] [CrossRef]
- Luo, N.; Zhao, B.; Wang, H.; Wu, J.; Luo, Y.; Yuan, M.; Xu, C. Effect of transcranial direct current stimulation combined with cognitive rehabilitation on cognitive function and activities of daily living in patients with post-stroke cognitive impairment: A systematic review and meta-analysis. Front. Neurol. 2025, 16, 1523001. [Google Scholar] [CrossRef]





| Measurements | FM Group Mean (SD) | HC Group Mean (SD) | p-Value |
|---|---|---|---|
| Sample size (N) | 13 | 13 | |
| Age (years) | 49.92 (9.31) | 47.08 (6.29) | 0.572 |
| Weight (kg) | 70.39 (17.51) | 65.45 (8.69) | 0.778 |
| Height (m) | 1.57 (0.09) | 1.61 (0.06) | 0.316 |
| IPAQ (mets) | 1890.31 (1802.07) | 2798.15 (2183.54) | 0.199 |
| MoCA (pts) | 26.08 (1.61) | 26.69 (1.97) | 0.433 |
| EQ-5D-5L | 0.76 (0.22) | 0.97 (0.06) | 0.001 * |
Disclaimer/Publisher’s Note: The statements, opinions and data contained in all publications are solely those of the individual author(s) and contributor(s) and not of MDPI and/or the editor(s). MDPI and/or the editor(s) disclaim responsibility for any injury to people or property resulting from any ideas, methods, instructions or products referred to in the content. |
© 2025 by the authors. Licensee MDPI, Basel, Switzerland. This article is an open access article distributed under the terms and conditions of the Creative Commons Attribution (CC BY) license (https://creativecommons.org/licenses/by/4.0/).
Share and Cite
Gomez-Alvaro, M.C.; Melo-Alonso, M.; Gusi, N.; Cano-Plasencia, R.; Leon-Llamas, J.L.; Domínguez-Muñoz, F.J.; Villafaina, S. Effects of Prefrontal tDCS on Cognitive–Motor Performance During Postural Control and Isokinetic Strength Tasks in Women with Fibromyalgia: A Randomized, Sham-Controlled Crossover Study. Appl. Sci. 2025, 15, 12138. https://doi.org/10.3390/app152212138
Gomez-Alvaro MC, Melo-Alonso M, Gusi N, Cano-Plasencia R, Leon-Llamas JL, Domínguez-Muñoz FJ, Villafaina S. Effects of Prefrontal tDCS on Cognitive–Motor Performance During Postural Control and Isokinetic Strength Tasks in Women with Fibromyalgia: A Randomized, Sham-Controlled Crossover Study. Applied Sciences. 2025; 15(22):12138. https://doi.org/10.3390/app152212138
Chicago/Turabian StyleGomez-Alvaro, Mari Carmen, Maria Melo-Alonso, Narcis Gusi, Ricardo Cano-Plasencia, Juan Luis Leon-Llamas, Francisco Javier Domínguez-Muñoz, and Santos Villafaina. 2025. "Effects of Prefrontal tDCS on Cognitive–Motor Performance During Postural Control and Isokinetic Strength Tasks in Women with Fibromyalgia: A Randomized, Sham-Controlled Crossover Study" Applied Sciences 15, no. 22: 12138. https://doi.org/10.3390/app152212138
APA StyleGomez-Alvaro, M. C., Melo-Alonso, M., Gusi, N., Cano-Plasencia, R., Leon-Llamas, J. L., Domínguez-Muñoz, F. J., & Villafaina, S. (2025). Effects of Prefrontal tDCS on Cognitive–Motor Performance During Postural Control and Isokinetic Strength Tasks in Women with Fibromyalgia: A Randomized, Sham-Controlled Crossover Study. Applied Sciences, 15(22), 12138. https://doi.org/10.3390/app152212138

