Investigation of Antioxidant Capacity, Chemical Composition, and Sensory Characteristics Using Camu-Camu Powder in the Production of Fresh Cow’s Cheese
Abstract
1. Introduction
2. Materials and Methods
2.1. Obtaining Samples of Fresh Cow’s Cheese with Added Camu-Camu
2.2. Physicochemical Determinations
2.3. Determination of Antioxidant Activity
2.4. Sensory Analysis
2.5. Color Determination
2.6. Statistical Analyses
3. Results and Discussion
3.1. Physicochemical Determinations
3.2. Determination of Antioxidant Activity
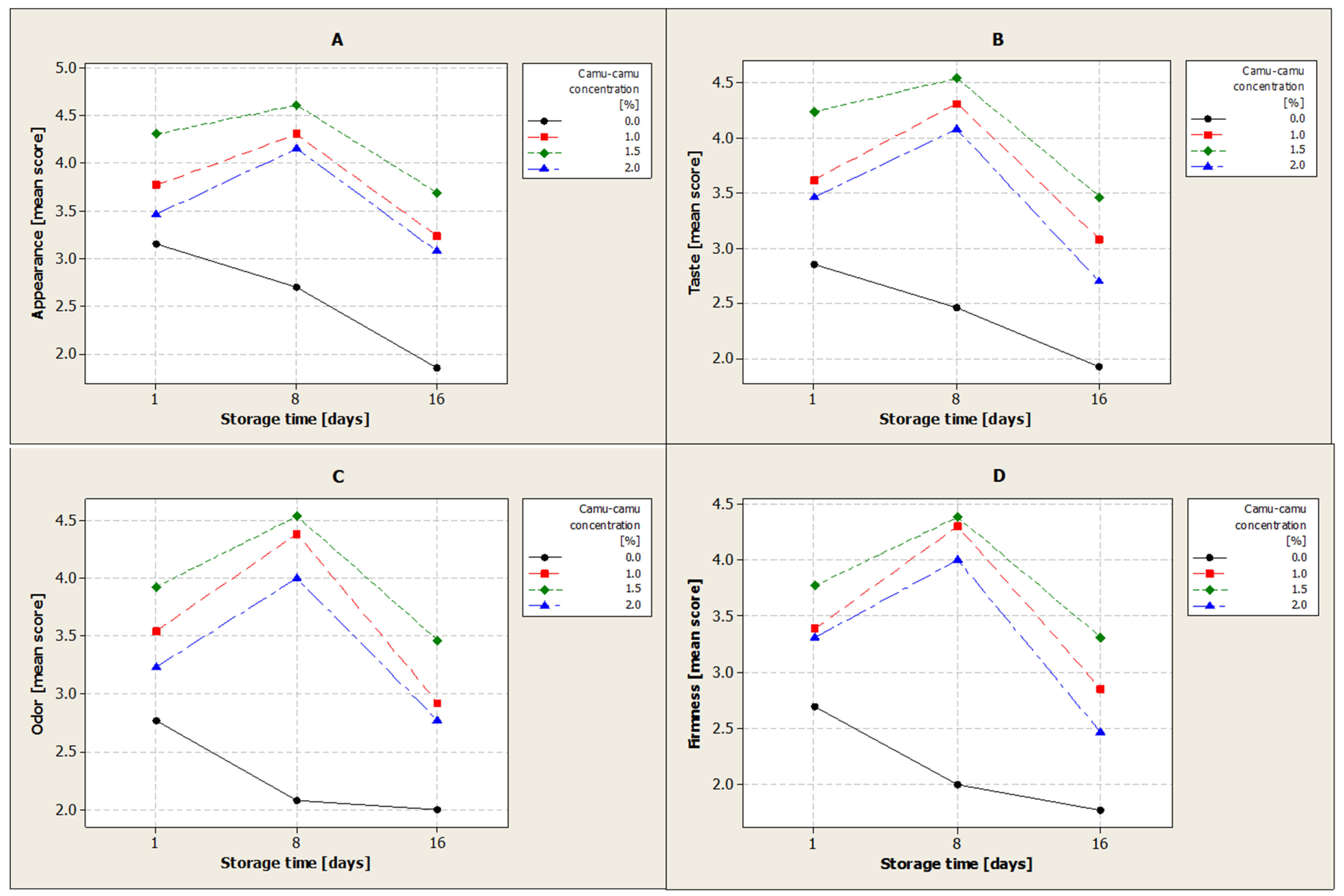
3.3. Sensory Analysis
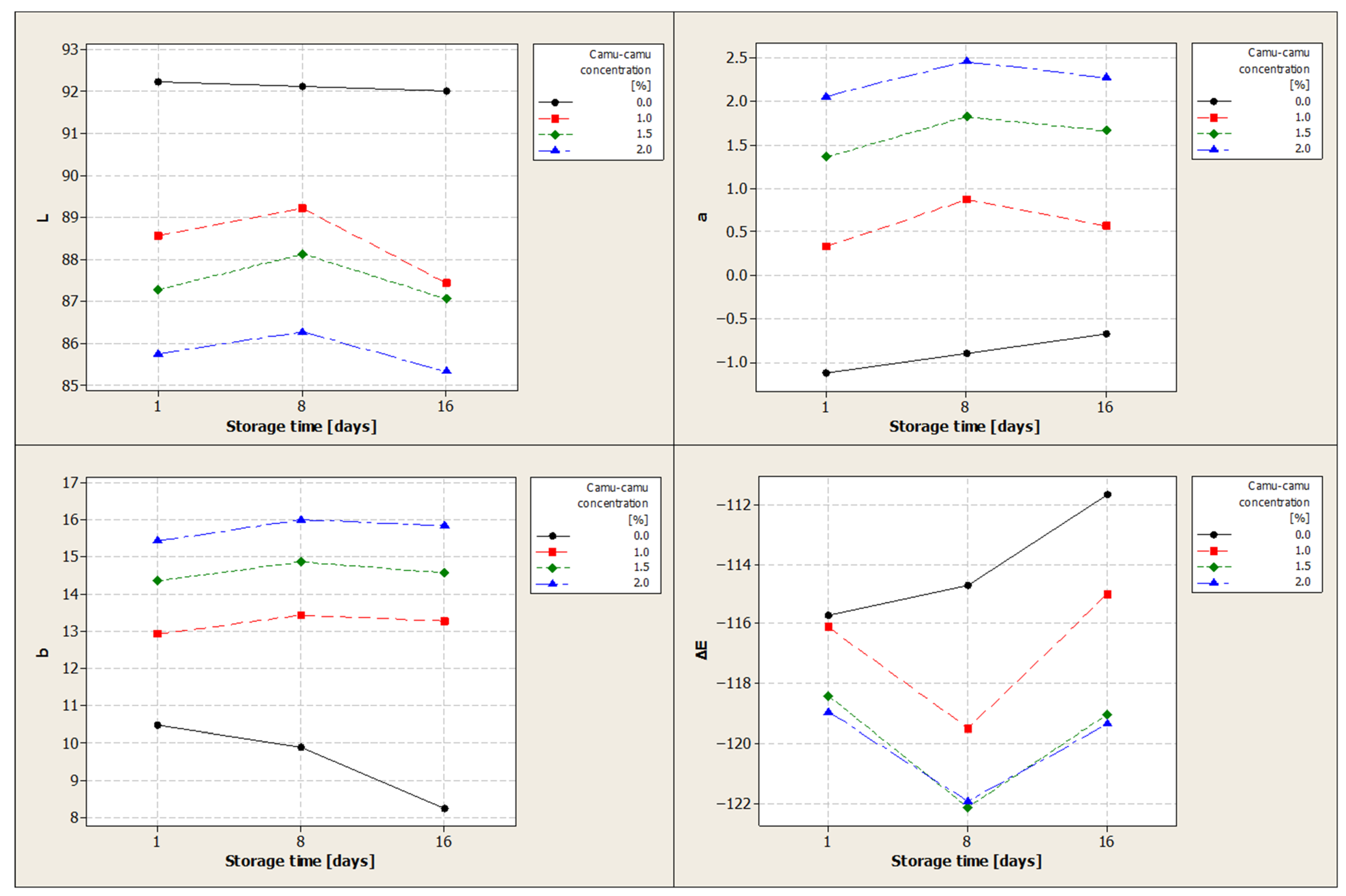
3.4. Color Determination
4. Conclusions
Supplementary Materials
Author Contributions
Funding
Institutional Review Board Statement
Informed Consent Statement
Data Availability Statement
Acknowledgments
Conflicts of Interest
References
- Musachio, E.A.S.; Pires, R.G.; Fernandes, E.J.; Andrade, S.; Meichtry, L.B.; Janner, D.E.; Meira, G.M.; Ribeiro, E.E.; Barbisan, F.; Cruz, I.B.M.; et al. The Amazonian Camu-Camu Fruit Modulates the Development of Drosophila melanogaster and the Neural Function of Adult Flies Under Oxidative Stress Conditions. Antioxidants 2024, 13, 102. [Google Scholar] [CrossRef]
- Inoue, T.; Komoda, H.; Uchida, T.; Node, K. Tropical fruit camu-camu (Myrciaria dubia) has anti-oxidative and anti-inflammatory properties. J. Cardiol. 2008, 52, 127–132. [Google Scholar] [CrossRef] [PubMed]
- Del Rio, D.; Agnoli, C.; Pellegrini, N.; Krogh, V.; Brighenti, F.; Mazzeo, T.; Masala, G.; Bendinelli, B.; Berrino, F.; Sieri, S.; et al. Total Antioxidant Capacity of the Diet Is Associated with Lower Risk of Ischemic Stroke in a Large Italian Cohort. J. Nutr. 2011, 141, 118–123. [Google Scholar] [CrossRef] [PubMed]
- Canciu, A.M.; Domnariu, C.D. The impact of post-stroke disability on the patients’ health-related quality of life–systematic review. AMTSB 2024, 29, 4–8. [Google Scholar]
- Bjørklund, G.; Shanaida, M.; Lysiuk, R.; Butnariu, M.; Peana, M.; Sarac, I.; Strus, O.; Smetanina, K.; Chirumbolo, S. Natural Compounds and Products from an Anti-Aging Perspective. Molecules 2022, 27, 7084. [Google Scholar] [CrossRef]
- Kaneshima, T.; Myoda, T.; Toeda, K.; Fujimori, T.; Nishizawa, M. Antioxidative Constituents in Camu-Camu Fruit Juice Residue. Food Sci. Technol. Res. 2013, 19, 223–228. [Google Scholar] [CrossRef][Green Version]
- Azevedo, L.; de Araujo Ribeiro, P.F.; de Carvalho Oliveira, J.A.; Correia, M.G.; Ramos, F.M.; de Oliveira, E.M.; Barros, F.; Stringheta, P.C. Camu-camu (Myrciaria dubia) from commercial cultivation has higher levels of bioactive compounds than native cultivation (Amazon Forest) and presents antimutagenic effects in vivo. J. Sci. Food Agric. 2019, 99, 624–631. [Google Scholar] [CrossRef]
- Bătușaru, C.M. Sustainability of the small business environment in Romania in the context of increasing economic competitiveness. Manag. Sustain. Dev. 2019, 11, 37. [Google Scholar] [CrossRef]
- Bătușaru, C.M.; Sbârcea, I.R. Harmonizing Circularity: Romania’s Progressive Efforts Towards Circular Economy Integration In Europe. Manag. Sustain. Dev. 2023, 15, 62–74. [Google Scholar] [CrossRef]
- Rădoiu, A.; Bătușaru, C.M. Sustainable value of companies. Manag. Sustain. Dev. 2022, 14, 10–15. [Google Scholar] [CrossRef]
- Rădoiu, A.; Bătușaru, C.M. Analysis of Romania’s Performance in the Implementation of European Strategies for Innovation and Competitiveness at Country Level. EJIST 2021, 13, 31–44. [Google Scholar]
- Arellano-Acuña, E.; Rojas-Zavaleta, I.; Paucar-Menacho, L. Camu-camu (Myrciaria dubia): Tropical fruit of excellent functional properties that help to improve the quality of life. Sci. Agropecu. 2016, 7, 433–443. [Google Scholar] [CrossRef]
- Azevêdo, J.C.S.; Borges, K.C.; Genovese, M.I.; Correia, R.T.P.; Vattem, D.A. Neuroprotective effects of dried camu-camu (Myrciaria dubia HBK McVaugh) residue in C. elegans. Int. Food Res. 2015, 73, 135–141. [Google Scholar] [CrossRef]
- Azawa, K.Y.; Uga, K.S.; Onma, A.H.; Hirosaki, M.S.; Oyama, T.K. Anti-Inflammatory Effects of Seeds of the Tropical Fruit Camu-Camu (Myrciaria dubia). J. Nutr. Sci. Vitaminol. 2011, 57, 104–107. [Google Scholar] [CrossRef]
- Abot, A.; Brochot, A.; Pomié, N.; Wemelle, E.; Druart, C.; Régnier, M.; Delzenne, N.M.; de Vos, W.M.; Knauf, C.; Cani, P.D. Camu-Camu Reduces Obesity and Improves Diabetic Profiles of Obese and Diabetic Mice: A Dose-Ranging Study. Metabolites 2022, 12, 301. [Google Scholar] [CrossRef] [PubMed]
- Do, N.-Q.; Zheng, S.; Park, B.; Nguyen, Q.T.N.; Choi, B.-R.; Fang, M.; Kim, M.; Jeong, J.; Choi, J.; Yang, S.-J.; et al. Camu-Camu Fruit Extract Inhibits Oxidative Stress and Inflammatory Responses by Regulating NFAT and Nrf2 Signaling Pathways in High Glucose-Induced Human Keratinocytes. Molecules 2021, 26, 3174. [Google Scholar] [CrossRef] [PubMed]
- Bielska, P.; Cais-Sokolinska, D. Fresh White Cheeses from Buttermilk with Polymerized Whey Protein: Texture, Color, Gloss, Cheese Yield, and Peptonization. Appl. Sci. 2023, 13, 11692. [Google Scholar] [CrossRef]
- Pham, T.H.; Pham, K.C.; Huynh, A.T.; Le Thi, N.U.; Trinh, K.S. Effect of transglutaminase on quality properties of fresh cheese. IJAAS 2021, 8, 44–53. [Google Scholar]
- Falcão, R.L.; Pinheiro, V.; Ribeiro, C.; Sousa, I.; Raymundo, A.; Nunes, M.A. Nutritional Improvement of Fresh Cheese with Microalga Chlorella vulgaris: Impact on Composition, Structure and Sensory Acceptance. FTB 2023, 61, 259–270. [Google Scholar] [CrossRef]
- Patel, N.; Amalfitano, N.; Bittante, G. Cows’ and buffalo milk for cooked fresh cheese: Preliminary comparison of the cheese-making efficiency and quality of griddled acid/heat-coagulated Paneer and rennet-coagulated Tosella/Schiz. Ital. J. Anim. Sci. 2024, 23, 114–124. [Google Scholar] [CrossRef]
- Bjekić, M.; Iličić, M.; Vukić, V.; Vukić, D.; Kanurić, K.; Pavlić, B.; Zeković, Z.; Popović, L.; Torbica, A.; Tomić, J.; et al. Protein characterisation and antioxidant potential of fresh cheese obtained by kombucha. Mljekarstvo 2021, 71, 215–225. [Google Scholar] [CrossRef]
- Wahyuningtyas, A.N.; Taufik, E.; Soenarno, M.S.; Sulfiar, A.E.T.; Atmoko, B.A.; Nugroho, T. Comparison of Physicochemical, Microbiological, and Organoleptic Characteristics of Dali, Dangke, and Fresh Cheese from Goat Milk. JITV 2023, 28, 227–236. [Google Scholar] [CrossRef]
- Tiţa, O.; Constantinescu, M.A.; Tiţa, M.A.; Bătuşaru, C.; Mironescu, I. Sensory, textural, physico-chemical and enzymatic characterization of melted cheese with added potato and carrot peels. Front. Nutr. 2024, 10, 1260076. [Google Scholar] [CrossRef] [PubMed]
- Santos, I.L.; Miranda, L.C.F.; da Cruz Rodrigues, A.M.; da Silva, L.H.M.; Amante, E.R. Camu-camu [Myrciaria dubia (HBK) McVaugh]: A review of properties and proposals of products for integral valorization of raw material. Food Chem. 2022, 372, 131290. [Google Scholar] [CrossRef] [PubMed]
- Oliveira, B.C.R.; Martins, C.P.C.; Soutelino, M.E.M.; Rocha, R.S.; Cruz, A.G.; Mársico, E.T.; Silva, A.C.O.; Esmerino, E.A. An overview of the potential of select edible Amazonian fruits and their applications in dairy products. Crit. Rev. Food Sci. Nutr. 2024, 65, 5572–5586. [Google Scholar] [CrossRef]
- Quispe, L.A.M.; Espinoza, L.A.E.; Palacios, M.S.A.; Portalatino, E.J.V. Ice cream consumption preferences in Sullana, Peru. Curr. Res. Nutr. 2023, 11, 267–275. [Google Scholar]
- Curti, J.M.; Constantino, L.V.; Ressutte, J.B.; Katsuda, M.S.; Furlaneto-Maia, L.; Spinosa, W.A. Antioxidant properties, technological and physicochemical characteristics of milk ice cream with addition of camu-camu pulp. Res. Soc. 2021, 10, e585101623538. [Google Scholar] [CrossRef]
- Grigio, M.L.; Moura, E.A.; Carvalho, G.F.; Zanchetta, J.J.; Chagas, P.C.; Chagas, E.A.; Durigan, M.F.B. Nutraceutical potential, qualitative and acceptability of different camu-camu popsicle. J. Food Process. Preserv. 2021, 45, e15305. [Google Scholar] [CrossRef]
- Aguiar, J.P.L.; Souza, F. Camu-camu (Myrciaria dubia HBK): Yogurt processing, formulation, and sensory assessment. Am. J. Anal. Chem. 2015, 6, 377–381. [Google Scholar] [CrossRef]
- Rosa, R.M.S.S.; Abreu, L.F.; Santos, L.P.; Ermita, P.A.N.; da Silva, F.E.R.; Cortez, M.A.S. Iogurte de leite de búfala com polpas de frutas da Amazônia. Hig. Aliment. 2015, 29, 145–148. [Google Scholar]
- Fidelis, M.; de Oliveira, S.M.; Sousa Santos, J.; Bragueto Escher, G.; Silva Rocha, R.; Gomes Cruz, A.; Araújo Vieira do Carmo, M.; Azevedo, L.; Kaneshima, T.; Oh, W.Y.; et al. From byproduct to a functional ingredient: Camu-camu (Myrciaria dubia) seed extract as an antioxidant agent in a yogurt model. JDS 2019, 103, 1131–1140. [Google Scholar] [CrossRef]
- Sarmento, R.C.; Pinto, M.R.M.; Craveiro, R.S.; De Freitas, E.P.B.; Modesto Junior, E.N.; Mota, R.V. Estabilidade do ácido ascórbico em iogurte de leite de búfala adicionado de diferentes concentrações de polpa de camu-camu (Myrciaria dubia). Rev. Inst. Laticínios Cândido Tostes 2019, 74, 149–158. [Google Scholar] [CrossRef]
- Barkallah, M.; Dammak, M.; Louati, I.; Hentati, F.; Hadrich, B.; Mechichi, T.; Ayadi, M.A.; Fendri, I.; Attia, H.; Abdelkafi, S. Effect of Spirulina platensis fortification on physicochemical, textural, antioxidant and sensory properties of yogurt during fermentation and storage. LWT 2017, 84, 323–330. [Google Scholar] [CrossRef]
- Tița, M.A.; Constantinescu, M.A.; Georgescu, C.; Popa, O.; Tița, O.; Tamosaitiene, L.; Bradauskiene, V. Obtaining of a Milk Drink with Mushrooms and Bioactive Compounds. Bull. Transilv. Univ. Brasov. Ser. II For. Wood Ind. Agric. Food Eng. 2021, 14, 157–172. [Google Scholar] [CrossRef]
- SR ISO 3433:2009; Brânză. Determinarea Conţinutului de Grăsime. Metoda Van Gulik. ISO: Geneva, Switzerland. Available online: https://magazin.asro.ro/ro/standard/172062 (accessed on 19 May 2025).
- ISO 3433:2008|IDF 222:2008; Cheese—Determination of Fat Content—Van Gulik Method. ISO: Geneva, Switzerland, 2008. Available online: https://www.iso.org/standard/46336.html (accessed on 19 May 2025).
- Patel, M.K.; Mishra, A.; Jha, B. Non-targeted metabolite profiling and scavenging activity unveil the nutraceutical potential of psyllium (Plantago ovata forsk). Front. Plant Sci. 2016, 7, 431–432. [Google Scholar] [CrossRef]
- Tylkowski, B.; Tsibranskaa, I.; Kochanova, R.; Peeva, G.; Giamberini, M. Concentration of biologically active compounds extracted from Sideritis ssp. L. by nanofiltration. Food Bioprod. Process. 2011, 89, 307–314. [Google Scholar] [CrossRef]
- Tița, O.; Constantinescu, M.A.; Tița, M.A.; Opruța, T.I.; Dabija, A.; Georgescu, C. Valorization on the Antioxidant Potential of Volatile Oils of Lavandula angustifolia Mill., Mentha piperita L. and Foeniculum vulgare L. in the Production of Kefir. Appl. Sci. 2022, 12, 10287. [Google Scholar] [CrossRef]
- Tița, O.; Constantinescu, M.A.; Tița, M.A.; Georgescu, C. Use of Yoghurt Enhanced with Volatile Plant Oils Encapsulated in Sodium Alginate to Increase the Human Body’s Immunity in the Present Fight Against Stress. Int. J. Environ. Res. Public Health 2020, 17, 7588. [Google Scholar] [CrossRef]
- Zhang, Y.; Wei, W.; Ma, W.; Yuan, A.; Ma, F.; Xue, Y.; Zhang, J. Effects of Dioscorea opposita mucilage addition on the physicochemical properties, texture, and stability of set-type yogurt. LWT 2024, 206, 116586. [Google Scholar] [CrossRef]
- Freitas, C.A.B.; Silva, A.S.; Alves, C.N.; Nascimento, W.M.O.; Lopes, A.S.; Lima, M.O.; Müller, R.C.S. Characterization of the Fruit Pulp of Camu-Camu (Myrciaria dubia) of Seven Different Genotypes and Their Rankings Using Statistical Methods PCA and HCA. J. Braz. Chem. Soc. 2016, 27, 1838–1846. [Google Scholar] [CrossRef]
- Fracassetti, D.; Costa, C.; Moulay, L.; Tomás-Barberán, F.A. Ellagic acid derivatives, ellagitannins, proanthocyanidins and other phenolics, vitamin C and antioxidant capacity of two powder products from camu-camu fruit (Myrciaria dubia). Food Chem. 2013, 139, 578–588. [Google Scholar] [CrossRef]
- García-Chacón, J.M.; Rodríguez-Pulido, F.J.; Heredia, F.J.; González-Miret, M.L.; Osorio, C. Characterization and bioaccessibility assessment of bioactive compounds from camu-camu (Myrciaria dubia) powders and their food applications. Food Res. Int. 2024, 176, 113820. [Google Scholar] [CrossRef]
- García-Chacón, J.M.; Marín-Loaiza, J.C.; Osorio, C. Camu Camu (Myrciaria dubia (Kunth) McVaugh): An Amazonian Fruit with Biofunctional Properties–A Review. ACS Omega 2023, 8, 5169–5182. [Google Scholar] [CrossRef] [PubMed]
- Fujita, A.; Souza, V.B.; Daza, L.D.; Fávaro-Trindade, C.S.; Granato, D.; Genovese, M.I. Effects of Spray-Drying Parameters on In Vitro Functional Properties of Camu-Camu (Myrciaria dubia Mc. Vaugh): A Typical Amazonian Fruit. J. Food Sci. 2017, 82, 1083–1091. [Google Scholar] [CrossRef] [PubMed]
- De Oliveira, L.G.R.; Oliveira, V.M.; Costa, M.G.M.; Farias, V.L.; Milhome, M.A.L. Petit Suisse cheese added açai: Characterization and effect of the use of thickeners. Res. Soc. 2022, 11, e51711931917. [Google Scholar] [CrossRef]
- de Azevêdo, J.C.S.; Fujita, A.; de Oliveira, E.L.; Genovese, M.I.; Correia, R.T.P. Dried camu-camu (Myrciaria dubia H.B.K. McVaugh) industrial residue: A bioactive-rich Amazonian powder with functional attributes. Int. Food Res. 2014, 62, 934–940. [Google Scholar] [CrossRef]
- Vivian Ribeiro Diamantino, V.R.; Beraldo, F.A.; Sunakozawa, T.N.; Barretto Penna, A.L. Effect of octenyl succinylated waxy starch as a fat mimetic on texture, microstructure and physicochemical properties of Minas fresh cheese. LWT 2014, 56, 356–362. [Google Scholar] [CrossRef]
- Wang, W.; Jia, R.; Hui, Y.; Zhang, F.; Zhang, L.; Liu, Y.; Song, Y.; Wang, B. Utilization of two plant polysaccharides to improve fresh goat milk cheese: Texture, rheological properties, and microstructure characterization. JDS 2023, 106, 3900–3917. [Google Scholar] [CrossRef]
- Palyvou-Gianna, E.; Vilela, T.P.; Gomes, A.M.; Ferreira, J.P. A Starch-Milk Paste Enables the Incorporation of Ripened Cheese in Novel Fresh Cheese. Food Technol. Biotechnol. 2021, 59, 507–518. [Google Scholar] [CrossRef]
- Silva, S.H.; Neves, I.C.O.; de Oliveira Meira, A.C.F.; Alexandre, A.C.S.; Oliveira, N.L.; de Resende, J.V. Freeze-dried Petit Suisse cheese produced with ora-pro-nóbis (Pereskia aculeata Miller) biopolymer and carrageenan mix. LWT 2021, 149, 111764. [Google Scholar] [CrossRef]
- Murtaza, M.S.; Sameen, A.; Rehman, A.; Huma, N.; Hussain, F.; Hussain, S.; Cacciotti, I.; Korma, S.A.; Ibrahim, S.A.; Ma, Y.K. Physicochemical, techno-functional, and proteolytic effects of various hydrocolloids as fat replacers in low-fat cheddar cheese. Front. Sustain. Food Syst. 2024, 8, 1440310. [Google Scholar] [CrossRef]
- Wen, P.; Zhu, Y.; Luo, J.; Wang, P.; Liu, B.; Du, Y.; Jiao, Y.; Hu, Y.; Chen, C.; Ren, F.; et al. Effect of anthocyanin-absorbed whey protein microgels on physicochemical and textural properties of reduced-fat Cheddar cheese. J. Dairy Sci. 2021, 104, 228–242. [Google Scholar] [CrossRef] [PubMed]
- Kaneshima, T.; Myoda, T.; Nakata, M.; Fujimori, T.; Toeda, K.; Nishizawa, M. Antioxidant activity of C-Glycosidic ellagitannins from the seeds and peel of camu-camu (Myrciaria dubia). LWT 2016, 69, 76–81. [Google Scholar] [CrossRef]
- Mousavi, M.; Heshmati, A.; Daraei Garmakhany, A.; Vahidinia, A.; Taheri, M. Texture and sensory characterization of functional yogurt supplemented with flaxseed during cold storage. Food Sci. Nutr. 2019, 7, 907–917. [Google Scholar] [CrossRef]
- Rodriguez-Amaya, D.; Kimura, M. HarvestPlus Handbook for Carotenoid Analysis; HarvestPlus: Washington, DC, USA, 2004; pp. 25–33. [Google Scholar]
- Zahid, H.F.; Ranadheera, C.S.; Fang, Z.; Ajlouni, S. Functional and Healthy Yogurts Fortified with Probiotics and Fruit Peel Powders. Fermentation 2022, 8, 469. [Google Scholar] [CrossRef]
- Stoica, F.; Rațu, R.N.; Motrescu, I.; Cara, I.G.; Filip, M.; Țopa, D.; Jităreanu, G. Application of Pomace Powder of Black Carrot as a Natural Food Ingredient in Yoghurt. Foods 2024, 13, 1130. [Google Scholar] [CrossRef]
- Zhou, C.L.; Liu, W.; Zhao, J.; Yuan, C.; Song, Y.; Chen, D.; Ni, Y.Y.; Li, Q.H. The effect of high hydrostatic pressure on the microbiological quality and physical-chemical characteristics of Pumpkin (Cucurbita maxima Duch.) during refrigerated storage. IFSET 2014, 21, 24–34. [Google Scholar] [CrossRef]
- Gavril (Rațu), R.N.; Cârlescu, P.M.; Veleșcu, I.D.; Arsenoaia, V.N.; Stoica, F.; Stănciuc, N.; Aprodu, I.; Constantin, O.E.; Râpeanu, G. The development of value-added yogurt based on pumpkin peel powder as a bioactive powder. J. Agric. Food Res. 2024, 16, 101098. [Google Scholar] [CrossRef]



| Sample Code | Fresh Cow’s Cheese [g] | Camu-Camu Powder [g] |
|---|---|---|
| 0% | 100 | 0 |
| 1% | 100 | 1 |
| 1.5% | 100 | 1.5 |
| 2% | 100 | 2 |
| Item | Camu-Camu Concentration [%] | Storage Time [Days] | ||
|---|---|---|---|---|
| 1 | 8 | 16 | ||
| Acidity [°T] | 0 | 72.10 ± 0.100 ab,AB | 85.36 ± 0.055 ab,AB | 110.74 ± 0.089 a,ABC |
| 1 | 90.36 ± 0.055 ab,AB | 97.86 ± 0.055 ab,AB | 105.32 ± 0.045 a,BC | |
| 1.5 | 97.56 ± 0.089 ab,A | 104.14 ± 0.055 ab,A | 112.66 ± 0.055 a,AB | |
| 2 | 110.28 ± 0.084 ab,A | 118.56 ± 0.055 ab,A | 123.72 ± 0.045 a,A | |
| pH | 0 | 5.6242 ± 0.00084 a,A | 5.2674 ± 0.00055 ab,A | 4.8864 ± 0.00055 ab,B |
| 1 | 5.5124 ± 0.00055 a,AB | 5.0576 ± 0.00055 ab,AB | 4.9544 ± 0.00055 b,A | |
| 1.5 | 5.0784 ± 0.00055 a,ABC | 4.9934 ± 0.00055 b,ABC | 4.7814 ± 0.00055 b,BC | |
| 2 | 4.8932 ± 0.00084 a,ABC | 4.5266 ± 0.00055 ab,AC | 4.2774 ± 0.00055 ab,BC | |
| Dry matter [%] | 0 | 31.12 ± 0.045 ab,ABC | 32.62 ± 0.045 ab,AB | 32.86 ± 0.089 a,ABC |
| 1 | 32.70 ± 0.071 ab,ABC | 33.42 ± 0.045 ab,AB | 34.22 ± 0.044 a,ABC | |
| 1.5 | 33.16 ± 0.055 ab,AB | 33.78 ± 0.045 ab,A | 34.54 ± 0.055 a,AB | |
| 2 | 33.62 ± 0.045 ab,A | 34.24 ± 0.055 ab,A | 34.76 ± 0.055 a,A | |
| Water activity | 0 | 0.9515 ± 0.00000 c,B | 0.9526 ± 0.00055 ab,A | 0.9544 ± 0.00055 a,A |
| 1 | 0.9512 ± 0.00045 ab,A | 0.9518 ± 0.00045 ab,ABC | 0.9526 ± 0.00055 a,BC | |
| 1.5 | 0.9510 ± 0.00000 c,B | 0.9524 ± 0.00055 ab,AB | 0.9536 ± 0.00055 a,BC | |
| 2 | 0.9510 ± 0.00000 c,B | 0.9526 ± 0.00055 b,A | 0.9536 ± 0.00055 a,BC | |
| Syneresis [%] | 0 | 12.506 ± 0.0055 b,BC | 13.406 ± 0.0055 b,BC | 14.146 ± 0.0055 a,AB |
| 1 | 13.856 ± 0.0055 ab,ABC | 14.726 ± 0.0055 ab,BC | 15.366 ± 0.0055 a,AB | |
| 1.5 | 14.546 ± 0.0055 b,AB | 15.026 ± 0.0055 b,AB | 15.606 ± 0.0055 a,AB | |
| 2 | 14.976 ± 0.0055 ab,A | 15.414 ± 0.0055 ab,A | 15.744 ± 0.0055 a,A | |
| Water holding capacity [%] | 0 | 74.054 ± 0.0055 ab,A | 75.226 ± 0.0055 ab,A | 77.552 ± 0.0084 a,A |
| 1 | 73.322 ± 0.0084 ab,AB | 74.504 ± 0.0055 ab,B | 75.626 ± 0.0055 a,AB | |
| 1.5 | 73.046 ± 0.0055 a,BC | 73.846 ± 0.0055 a,B | 74.686 ± 0.0055 a,AB | |
| 2 | 72.182 ± 0.0045 b,BC | 72.666 ± 0.0055 b,C | 73.204 ± 0.0055 a,AB | |
Disclaimer/Publisher’s Note: The statements, opinions and data contained in all publications are solely those of the individual author(s) and contributor(s) and not of MDPI and/or the editor(s). MDPI and/or the editor(s) disclaim responsibility for any injury to people or property resulting from any ideas, methods, instructions or products referred to in the content. |
© 2025 by the authors. Licensee MDPI, Basel, Switzerland. This article is an open access article distributed under the terms and conditions of the Creative Commons Attribution (CC BY) license (https://creativecommons.org/licenses/by/4.0/).
Share and Cite
Tița, M.A.; Constantinescu, M.A.; Georgescu, C.; Canciu, A.M.; Iancu, M.L.; Tița, O. Investigation of Antioxidant Capacity, Chemical Composition, and Sensory Characteristics Using Camu-Camu Powder in the Production of Fresh Cow’s Cheese. Appl. Sci. 2025, 15, 12071. https://doi.org/10.3390/app152212071
Tița MA, Constantinescu MA, Georgescu C, Canciu AM, Iancu ML, Tița O. Investigation of Antioxidant Capacity, Chemical Composition, and Sensory Characteristics Using Camu-Camu Powder in the Production of Fresh Cow’s Cheese. Applied Sciences. 2025; 15(22):12071. https://doi.org/10.3390/app152212071
Chicago/Turabian StyleTița, Mihaela Adriana, Maria Adelina Constantinescu, Cecilia Georgescu, Adriana Maria Canciu, Maria Lidia Iancu, and Ovidiu Tița. 2025. "Investigation of Antioxidant Capacity, Chemical Composition, and Sensory Characteristics Using Camu-Camu Powder in the Production of Fresh Cow’s Cheese" Applied Sciences 15, no. 22: 12071. https://doi.org/10.3390/app152212071
APA StyleTița, M. A., Constantinescu, M. A., Georgescu, C., Canciu, A. M., Iancu, M. L., & Tița, O. (2025). Investigation of Antioxidant Capacity, Chemical Composition, and Sensory Characteristics Using Camu-Camu Powder in the Production of Fresh Cow’s Cheese. Applied Sciences, 15(22), 12071. https://doi.org/10.3390/app152212071

