Next Article in Journal
Design Space Exploration and Performance Evaluation of Aerodynamic Appendages for a Racing Motorcycle Prototype Through a Parametric Multi-Software Workflow
Next Article in Special Issue
European Approach to Fire Safety in Rolling Stock
Previous Article in Journal
Prediction of TBM Performance Under Imbalanced Geological Conditions Using Resampling and Data Synthesis Techniques
Previous Article in Special Issue
Procedure for Conducting Inspection Thermographic Tests of Electrical Heating Devices for Railway Turnouts
 
 
Font Type:
Arial Georgia Verdana
Font Size:
Aa Aa Aa
Line Spacing:
Column Width:
Background:
Article

Railway Transition Curves Curvature—Should It Be Smooth in the Extreme Points or Not, or Something Else?

Faculty of Transport, Warsaw University of Technology, 00-662 Warsaw, Poland
*
Author to whom correspondence should be addressed.
Appl. Sci. 2025, 15(22), 12066; https://doi.org/10.3390/app152212066
Submission received: 17 October 2025 / Revised: 7 November 2025 / Accepted: 11 November 2025 / Published: 13 November 2025
(This article belongs to the Special Issue Research Advances in Rail Transport Infrastructure)

Abstract

This work addresses the features of railway transition curves’ curvature, especially at extreme points. In particular, should it be smooth at the extreme points or not, or something else? Such a question is not accidental. This is based on the main results that the present authors obtained while optimizing the shape of polynomial railway transition curves. It appeared for the same quality function that, depending on the transition curve degree, the optimum shapes represented curvatures either possessing bends or close to smooth at the extreme points. Such a discrepancy raises the question of its reason, i.e., the factor influencing the appearance of bends at the extreme points of the curvatures the most. The continuity of G0 and G1 at such points was considered. At the same time, the hypothesis was formulated that a long time taken while negotiating the curve is the most influential factor of the existence of the mentioned bends in the extremities of curvature. Two cases were considered to ensure the long time of vehicle passage through the curve, with a great curve length and a small vehicle velocity, respectively. To verify the hypothesis, the optimizations of the shape of the transition curves of 5th, 9th, and 11th degrees and the simulations of the railway vehicle behaviour were performed. The hypothesis turned out to be true, although easier in application to long transition curves. It was shown that the transition curves’ shapes obtained in assumed circumstances did not have bends at the extreme points. The tendency to smoothen the curvature can be univocally noticed. It resulted in calmer vehicle movement, expressed by vehicle body lateral dynamical characteristics. Corresponding results of the simulations and transition curve optimizations were presented and compared.

1. Introduction

In the contemporary world, we observe a growing passenger flow in both road and railway transport. Over time, more and more countries construct modern road and railway infrastructure. In the field of railway infrastructure, the growing number of railway lines constructed for high-speed trains is observed, mainly in Europe and Asia. Railway infrastructure for such trains needs proper line geometry. Here, the most essential characteristics are large circular arc radii and a suitable shape (and length) of transition curves (TCs), spanning between a straight track and the circular arc.
The modern railway infrastructure is a witness to new shapes of railway transition curves (TCs). In railway engineering, not only the 3rd degree parabola (curve characterized by linear change in the curvature in the longitudinal coordinate x function and of the vehicle lateral acceleration, too) is mainly used by engineers-practitioners. Historically, the Bloss curve is a second crucial transition curve. The Bloss curve is, in fact, a polynomial transition curve of the 5th degree.
The fundamental difference between the two curves mentioned above is the shape of their curvature. The 3rd degree parabola has bends at the extreme curve points (beginning and end points of the curve), so it has continuity of type G0. Bloss curve is smooth in the extremities, so this curve has the continuity of G1 type (a tangency in strictly mathematical reasoning).

2. The Main Aim of the Current Work

The general aim of this work is to answer questions about the desirable features of railway TCs’ curvature, especially at the extreme points. The cause is the ambiguous results of the TC optimizations presented by the authors in [1,2]. They are twofold, different for the 5th and 7th degrees of polynomial TCs than for the 9th and 11th degrees. The obtained optimum TCs of the 5th and 7th degrees possess bends at the curvature extreme points (similar to the parabola of the 3rd degree). The curvatures of optimum TCs of the 9th and 11th degrees are close to smooth curves, with slight bends preserved. It occurs despite the same quality functions being applied to these cases, TC lengths being adopted accordingly for them according to engineering formulas (e.g., [3]) and starting TC shapes in the optimization always being adopted with perfectly smooth curvatures (i.e., no bends).
The above-mentioned discrepancy of curvatures, dependent on the TC’s degree, results in the main detailed aim of this work. It is to find the main factor that influences the existence of bends at the extreme points of the curvatures of optimum railway TCs. So, the authors mean here the existence of the continuity of the type of G0 or G1. For this purpose, a hypothesis was formulated that causes such a situation.
The mentioned hypothesis is as follows:
“The reason is time, more specifically, a large enough amount of time while negotiating the whole curve length. If the railway vehicle needs a long negotiation time, then vehicle dynamics can be smoother.”
Previously, the authors attempted to prove the analogous hypotheses, taking greater account of the influence of the TC’s initial and end zones, the quality function based on jerk in TC, and the higher values of the curve radius R. However, these hypotheses turned out to be untrue.
A long time of curve negotiation by the vehicle can be achieved in two ways:
-
Very great length of the curve and “normal” velocity of the vehicle;
-
Small vehicle velocity and “normal” length of the vehicle.
Here, under the concept of a “normal” length and velocity, the values of these parameters, calculated using the engineering formulas, should be understood.
In the current work, the authors performed the optimization of the shape of railway transition curves, modelled by the polynomials of the 5th, 9th, and 11th degrees. For the 9th and 11th degrees, TCs’ feature of their great typical length was useful. The optimizations were also supplemented by the simulations of the single passage of the vehicle through a chosen railway TC.

3. Short Literature Survey

Many works relating to railway transition curves are currently published. Mainly, it is visible in light of the geometry of the construction of new high-speed train lines. The important works relating to railway transition curves are represented, e.g., by Tari and Baykal, Hasslinger, Long et al., and Kufver.
Tari and Baykal, in [4], introduced kinematical parameter—lateral change of acceleration—of railway vehicles during the TC negotiating as the crucial criterion for passenger comfort assessment in this zone. The continuity of this parameter must be absolutely satisfied. The authors searched only for these curves, which fulfilled this criterion. Hasslinger, in [5], considered the trajectory of the centre of gravity of a railway vehicle, and obtained the shape of the curve called Wiener Bogen®. The milder railway vehicle dynamics during the negotiating of this curve was observed.
Long, Wei, and Zheng, in [6], suggested a new dynamical model of railway vehicle to study the movement characteristics of the common transition curves used in railway engineering. They examined the dynamical features, including accelerations of the vehicle body, forces in wheel–rail contact, to analyse the general properties of transition curves. A similar idea was also shown in [7,8,9,10,11,12,13].
In [14], Kufver adopted the European standard prepared and published by the European Committee for Standardization [15]. In this document, the share of passengers (seating and standing) experiencing discomfort was defined using a mathematical relationship. The values of the mentioned share were modelled using the quadratic parabola versus the curve length. Work [14] showed that it was possible to minimize the introduced passenger’s percentage and find a corresponding value of the curve length.
Mathematical features of transition curves were also studied [16,17,18,19]. In the listed works, the curve is regarded only theoretically and examined in terms of its geometrical properties, like flexibility. The works’ authors, first of all, aim to learn these mentioned properties.
Finally, there is a large group of works where the general curve properties, like simply its shape or the curvature or kinematical properties of both railway [20,21,22,23,24,25,26,27,28,29,30,31,32,33,34] and road [35,36,37] transition curves, are investigated. New solutions dedicated to engineering practice are also proposed by the authors. The works relating to the use of transition curves, even in airport runway rapid exit taxiways, are also met today [38], even though standards do not currently specify these geometric elements in explicit form.
Examining the literature, there are few works that utilize both the full vehicle-track model system and its further simulation and optimization methods simultaneously to assess transition curves. Traditional engineering methods, which represent a vehicle as a point undergoing lateral acceleration over time, are still used to study the interaction between the track and the vehicle. The use of advanced vehicle models and mathematical optimization is still a relatively new concept.

4. Method Adopted and the Railway Vehicle Model

4.1. Method Adopted

In this work, the railway transition curves’ optimization of 9th and 11th degrees (presented in Section 5.1) was made. Two polynomial transition curves of the declared degrees, serving as the initial curves in this process, were applied. General equations for these curves are represented by the y coordinate, and are as follows [1]:
y = 1 R 5 18 l 9 l 0 7 + 5 4 l 8 l 0 6 2 l 7 l 0 5 + 7 6 l 6 l 0 4 ,
y = 1 R 7 11 l 11 l 0 9 7 2 l 10 l 0 8 + 15 2 l 9 l 0 7 15 2 l 8 l 0 6 + 3 l 7 l 0 5 ,
where
  • R—circular arc radius [m],
  • l—length of the curve (independent variable) [m],
  • l0—curve length [m].
The TCs of 9th and 11th degrees were chosen due to their flexibility, but first of all due to the great length adopted in the optimization process. The general equation for the optimized curve used is represented, as previously shown, by the y coordinate and is as follows:
y = 1 R A n l n l 0 n 2 + A n 1 l n 1 l 0 n 3 + A n 2 l n 2 l 0 n 4 + A n 3 l n 3 l 0 n 5 + + A 4 l 4 l 0 2 + A 3 l 3 l 0 1 ,
where n means the polynomial degree, here n = 9 and 11.
The disadvantage of the use of higher degrees was the large number of coefficients Ai and, therefore, longer computation time.
In the work, the authors sought to determine the optimum coefficients Ai from Formula (3). One criterion (the quality (objective) function) for transition curve optimization and assessment was also applied. This was an integral (necessary normalized) of the vehicle body lateral acceleration along the route. Operating the formula, one can have
Q F 1 = L C 1 0 L C y ¨ b d l ,
where
  • Lc—overall distance covered by vehicle (constant value) [m],
  • l—length of the curve (independent variable), as in (3) [m],
  • y ¨ b —vehicle body lateral acceleration [m/s2].
The book [3] showed the way, how the lengths l0 of the curves should be calculated according to railway standards.
Criterion (4) can be treated as a base in railway dynamics, as an improvement in vehicle dynamics is guaranteed in the optimization process in such situations.

4.2. Railway Vehicle Model

For the needs of the work, 2-axle real railway vehicle model was applied. Its structure consists of a body linked to two wheelsets with the use of a system of spring-damping elements. The mentioned model holds crucial significance in the work, as it was applied to optimize the TCs’ shape and to expand knowledge about the properties of curves in general. However, there were two reasons for modelling 2-axle model instead of 4-axle model. The first cause was significantly smaller calculation times for the 2-axle vehicle model compared with the 4-axle vehicle. The second cause, and excuse at the same time, was that in [1], the authors demonstrated for a selected 4-axle passenger car that the positive properties of the optimum TCs obtained for the 2-axle model are preserved for the expanded 4-axle model. The study served as a verification for a 4-axle vehicle, but not for the TC’s shape optimization for its model, specifically, whether its dynamical properties improve when moving along TCs optimized for a 2-axle vehicle.
The track’s models are presented in Figure 1a,b. The introduced nominal vehicle model is shown in Figure 1c. The full vehicle-track system originated in [7]. In this work, the numerical parameters of the vehicle are also presented and widely discussed.
In the proposed model, the complete dynamics of the vehicles are utilized to evaluate selected parameters of railway transitions. The behaviour of a complete vehicle-track system, which needs a thorough understanding of how vehicles interact with the railway track, remains relatively uncommon even today. The concept of depicting the entire railway vehicle as a mathematical point is inadequate today. The straightforwardness of such a model renders a comprehensive analysis of vehicle dynamics unfeasible.
The complete vehicle-track model allows for the improved assignment of dynamical characteristics of railway track transitions to cargo or passenger trains. The outlined method will encompass methods for evaluating transitions beyond just passenger comfort. For cargo trains, the crucial factor may be the deterioration at the wheel–rail interface. The TC shape modelling was widely described in [1]. Relative motion dynamics served as the basis for this approach. The vehicle dynamics were defined relative to the track-based reference frame 01xyz presented in Figure 2. Geometrically, the model of the track was always considered in both lateral and vertical directions.
The algorithm used in the software has a relatively simple construction and is shown in Figure 3.
In the algorithm, two iteration loops—integration and optimization—do their tasks, as assumed. The work of the integration loop came to an end when the vehicle model covered the declared value LC. The optimization loop stopped working when the value of the iterations reached the assumed limit value. However, the optimum solution could be found earlier. Typically, such solutions were found in 50 to 250 iterations. The standard calculation time did not exceed one hour for the optimization with vehicle velocities from Table 1; however, it lasted up to 2–3 days for the velocity of 1 m/s.
The simulation programme implemented in the work used an efficient integration method for solving rigid systems of ordinary differential equations. The non-specialized methods may work too slowly. Here, the authors used the GSTIFF method of integration developed by C.W. Gear. It is a method with a variable sequence and a variable step of integration. It uses the so-called regressive difference. The initial value of the integration step in the Gear procedure h was equal to 0.00001, and the relative error E adopted was equal to 0.05. In the optimization procedure, the relative error of the stop criterion ε was equal to 0.06, and the relative error of the constraints η was equal to 0.05.

5. Results of the Simulation and Optimization

5.1. Optimization of Long Transition Curves

This chapter, as mentioned earlier, shows the results of the optimization of the shape of railway transition curves of the 9th and 11th degrees performed by the current work’s authors. The final results were always composed of the following:
-
Shapes of transition curves and corresponding curvatures;
-
Image of railway vehicle dynamics represented by the full set of displacements, velocities, and accelerations of all vehicle components with respect to all possible axes;
-
Creepages occurring in a contact between wheel and rail.
In the optimizations performed, the routes Lc of the vehicle passage (used in Formula (4)) always, as mentioned, composed of the following:
-
Section of straight track ST, equaled to 50 m;
-
Section of transition curve TC, spanned between straight and curved track;
-
Section of circular arc (curved track) CA, equal to 100 m.
Table 1 shows track parameters, lengths of TCs, and velocities applied in optimization process for two analyzed degrees of the polynomial—the 9th and the 11th. The mentioned track parameters were
-
the radius of circular arc R [m],
-
the track cant H [mm].
Different values of R and H were applied, in general. The velocities ranged from approximately 20 to 35 m/s and were typical speeds for conventional railways.
The 13 cases shown in Table 1 related only to such when the curve length was greater than 110 m. In all these cases presented, the improvement of railway vehicle dynamics, as mirrored in smaller values of the QF1, was a fact. The railway vehicle model negotiating the optimum transition curves had the opportunity to improve crucial dynamical features, such as body displacements and accelerations, including lateral, vertical, and angular components. This statement can be fundamental for passenger comfort during the journey. Table 2 presents the ratio of QF1 for the optimum solution (OC) to the value of QF1 for the initial curve (IC).
Analyzing the optimizations performed, the new and practical outcomes may be defined. Firstly, the optimum transition curves obtained with smooth curvatures (condition G1) are better than those with non-smooth curvatures (condition G0). Therefore, the bends in the curvatures of long TCs at the extreme points seem to have a negative impact on the dynamics of a vehicle travelling on such curves.
Secondly, for great TC lengths (above 120 m), the optimum polynomial TCs (for both degrees) are significantly better than the cubic parabola. This can be explained just by not only greater lengths but also higher polynomial degrees (many Ai coefficients), making such curves more flexible.
Case no. 8 from Table 1 was chosen to show the graphical results of the optimization. Figure 4a compares the TCs (represented by the y coordinate)—the starting (black), and the optimum (red)—whereas Figure 4b shows the corresponding curvatures. It is obvious that the shape of the curvature of the newly found TC is closer to the standard TC of the 11th degree (2) than to the linear curvature of the cubic curve.
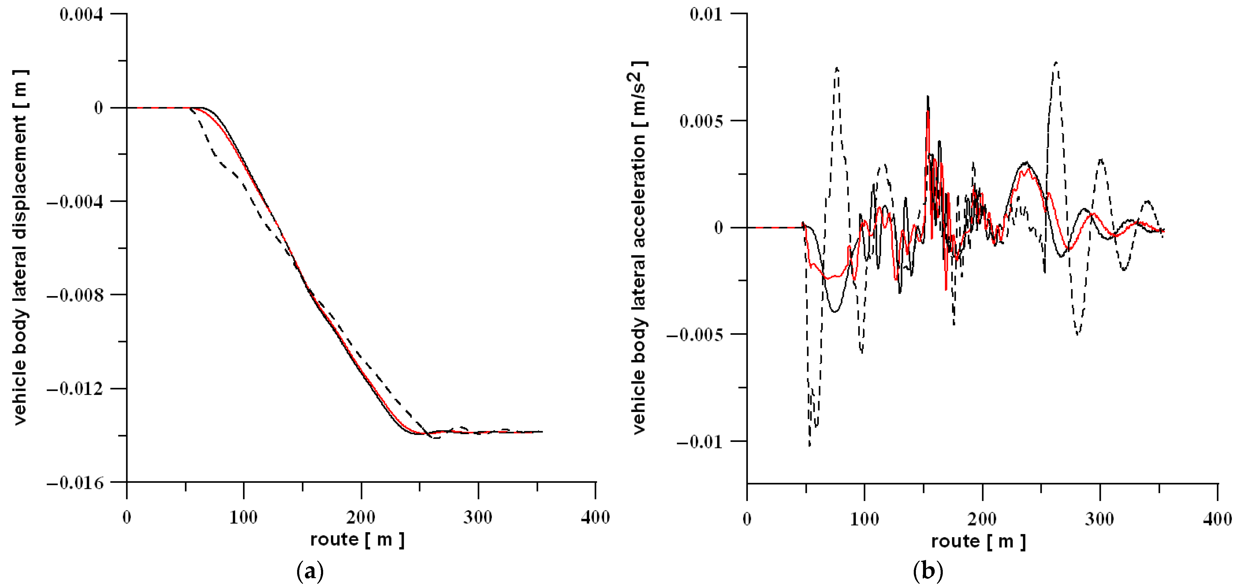
Figure 5 compares the lateral displacement and acceleration of the body mass centre for three curves: the initial one (black), the 3rd degree parabola (dashed), described in the further part, and the selected (optimum) curve (red). Both the displacements (Figure 5a), and the accelerations (Figure 5b) prove the superiority of the newly found curve over the starting (1) and the cubic curve. In this light, it is worth noting that Figure 5b is more interesting. The unfavourable course for cubic curve clearly shows why this curve should not be used in the practice.
Table 3 presents the numerical results of the simulations—the number of steps needed to identify the optimum curve, and the ratio of QF1 for this optimum solution (OC) to the value of QF1 for the starting (initial) curve (IC).

5.2. Simulation and Optimization for Small Vehicle Velocity

The present subsection aims to supplement the results from Section 5.1 and has a cognitive character. Firstly, it presents the simulation results of the railway vehicle’s dynamics. Secondly, it shows the results of optimizing the railway TCs’ shape for a vehicle passing through the route—ST, TC, CA—at a low velocity of 1 m/s. The 3rd degree parabola and Bloss curve for a single passage were applied in this chapter. This was performed since these curves have “normal” (not elongated) lengths. The formulas for the y coordinates of these TCs are
y = l 3 6 R l 0 ,
y = 1 R l 5 10 l 0 3 + l 4 4 l 0 2 .
Table 4 presents assumed parameters for the 3rd and 5th degrees.
So, four simple cases—differentiated in terms of cant and curve length and represented by Figure 6—were simulated in this part of the work.
Recalling Figure 6, one can see that the simulation results were restricted to the demonstration of the accelerations of the vehicle negotiating the curves (5) and (6). The black line is related to the 3rd degree parabola, whereas the red line is related to the Bloss curve (6).
The results of the analysis clearly show that the Bloss curve was more favourable than curve (3) for the considered cases. Milder transitions between the adjoining segments of the track are rather obvious. Significantly smaller peaks for the entry and exit zones (at the extreme points) of the TCs provide further confirmation of this observation.
Such promising results encouraged the authors to perform some additional optimization processes. The aim was to determine what transition curve of the 5th degree can be obtained in cases when the initial curve is a 3rd degree parabola.
Table 5 presents the values of the parameters (radius, cant, curve length, and vehicle velocity) for the example optimizations.
In Table 6, the numerical results of the optimization were presented.
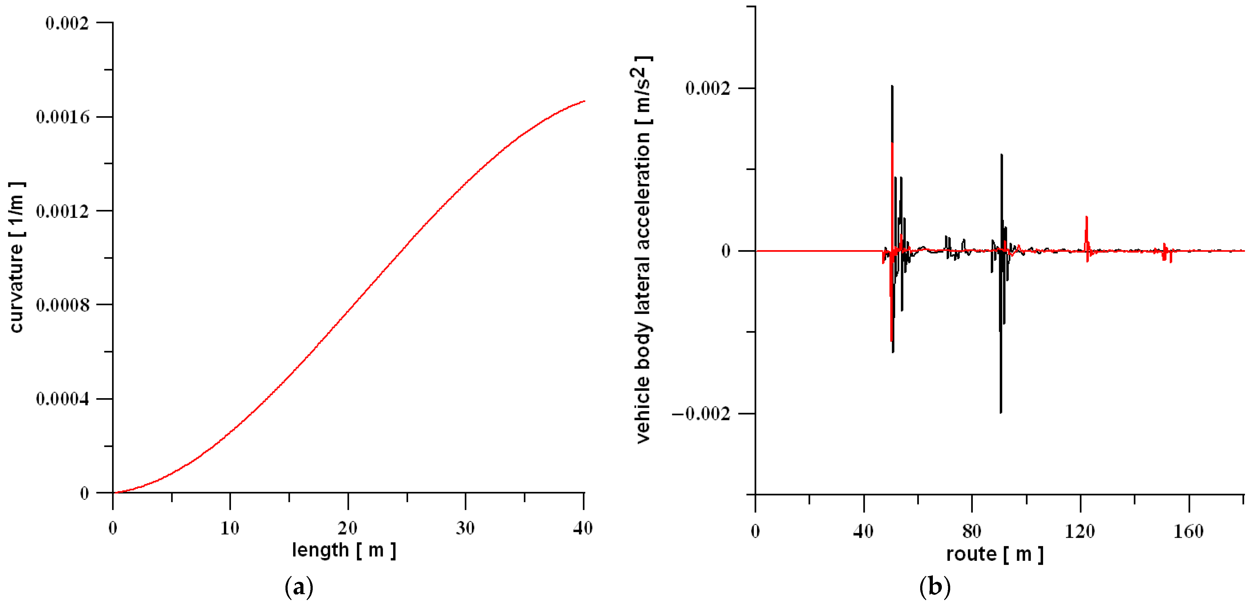
The cases (1) and (2) from Table 5 are presented visually in Figure 7 and Figure 8. The outcomes were limited to demonstrating the optimum curvatures and corresponding lateral accelerations of the vehicle body. Peaks for the acceleration courses at the extreme curve points are visible for all cases. As previously, they are significantly smaller for the optimum curves (red line).
The addition to the results shown in point 5.2, let us consider Figure 9a,b, presenting decreases in the QF1 values versus the following:
-
the iterations (steps) needed to find the optimum solution,
-
the current distance (route) covered by vehicle.
As an illustrative example, both cases from Table 5 were taken.
In the first case, the optimum solution has been found in the 98th step, as indicated. Figure 9a shows the change in QF1 versus the consecutive iterations (steps). A downward trend is visible, and the minimum QF1 value was 0.0000274 [m/s2].
Figure 9b presents case no. 2 and the change in QF1 versus the overall distance covered by the model. The last (141st) step of the optimization is analyzed, and a decline in values is also visible. Since the accelerations of the vehicle become smaller and smaller in the circular arc (e.g., see Figure 5b), the values of QF1 approach a relatively fixed value. Thus, the QF1 can be modelled by a hyperbolic function from this moment.
Figure 9. QF1 value in function of (a) step number, (b) route current length.
Figure 9. QF1 value in function of (a) step number, (b) route current length.
Applsci 15 12066 g009

6. Discussion

The results presented in Section 5.1 and Section 5.2 require a brief description and interpretation. As mentioned in the paper’s beginning, the work aimed to verify certain hypotheses relating to the existence of bends in the curvature extremities. The aforementioned hypothesis was unambiguously confirmed, as evidenced by the long negotiation time for the cases where the smoothness of the curvature seems to be an indisputable fact. On the other hand, some objections to this confirmation could be pointed out. Namely, the confirmation demonstrated is based on a limited number of cases studied in the paper. Formally, the range of study should probably be expanded.
The work’s aim was not, however, to formulate a strict mathematical formula defining the relationship between the time of curve negotiation and curvature smoothness. In the authors’ opinion, such relationships can have some difficulties with proper formulation. The proposed link between negotiation time and curvature smoothness is rather obvious and convincing but remains qualitative.
At the current stage of the research, the authors can propose a simple physical formula for the negotiation time as follows:
t = l 0 v .
The calculated total negotiation time can be matched to the properly assumed ranges of time. It could allow for the formulation, e.g., the linear dependence of curvature smoothness versus the mentioned time. However, such an operation would require performing a large number of optimizations and defining time intervals correctly. It should rather constitute the subject of the authors’ future research.
The velocity of 1 m/s adopted in the analysis also requires some comment. It was applied to obtain a long time of curve negotiation. At such a small speed, the vehicle dynamics contribution to QF1 (due to its minimum value) can be negligible. Accelerations reach extremely small values, varied for different TCs, however. Such studies were therefore aimed at knowing the nature of the phenomenon, which was not fully explained in the literature.
The results presented in this work are also not directly compared with ride comfort standards, such as EN 12299 [15], or vibration standards, such as ISO 2631 [39]. It was partially caused by the fact that the current work’s authors had previously published [40]. In [40], the passenger comfort criterion, as described by the standard EN 12299, was initially used for curve assessment. Comparison of the results obtained using alternative criteria will, however, be possible after examining a significant number of cases.
It is also worth noting that no sensitivity analysis was provided to evaluate how parameters such as the following:
-
radius R,
-
cant H,
-
curve length l0,
-
vehicle velocity v.
These parameters influence the main numerical result of the work—the QF1 value. It was caused by the fact that all listed parameters are mutually dependent—l0 = f(H, v), and v = f(H, R). But sensitivity analysis is based on the independence of variables [41]. In fact, QF1, in extreme cases, can depend only on values H and R. However, in situations where the maximum values of these parameters are adopted, and we still want to increase one of them by 1% (the formally advised value), the case becomes unrealistic. On the other hand, from a purely research point of view, exceeding admissible values might be interesting. Additionally, having too few independent variables is a certain barrier and limits the plotting of the Tornado Chart.

7. Conclusions

The work, in a simple way, verified the hypothesis concerning the bends of the curvatures of the railway transition curves in the extreme points of the curve. The authors of the work formulated the hypothesis that the time to negotiate the curve is the primary factor influencing the existence of bends in the extreme points of TCs.
The results presented in this work, obtained using a 2-axle railway vehicle, clearly demonstrate that this hypothesis is indeed true. It was shown that the new shapes of the optimum transition curves obtained for a specific arc and a long time while negotiating the curve are close to smooth curves, i.e., the bends at their extreme points are much lower than for cubic parabola and the optimum curves of the 5th and 7th degrees obtained in the earlier studies. So, a long negotiation time is a factor that can smooth the curvature at the extreme points. However, it is not specified how long the time must be to negotiate the whole curve.
The lack of bends (formally, the milder bends) at the curve’s curvature extreme points resulted in milder courses mirrored, first of all, by displacements and accelerations of the vehicle body at the mentioned points. It was the most visible in the curve extremities, but also in the middle part of the curve.
It is also worth noting that the simulations and optimizations were possible even with such a small vehicle velocity equal to 1 m/s. The problem, however, was the long time needed to perform the optimizations, caused by the integration procedure. In such circumstances, the optimization calculations took approximately 2–3 days.
Since the case with small velocity could not be met in practice, the only possibility to use the railway TCs with no curvature bends is in cases with great lengths. Such curves can be primarily used in railway lines dedicated to high-speed trains, where the curve lengths reach the greatest possible values. In the case of constructing such railway lines, however, the investor will encounter practical constraints such as construction costs or terrain acquisition. The possible experimental or field validation due to these reasons is currently rather impossible.
To date, no works have shown a situation in which non-smooth transition curves (having bends at curvature extreme points) are better than those with no bends. Many works have focused on the TC’s shape optimization, but the need for the existence of smoothness at extreme points remains unexplained. Thus, the novelty of this work is that it possesses such an explanation. The results obtained may suggest that the use of smooth TCs is reasonable and beneficial when their lengths are sufficiently long, whereas their use for short TCs is not.

Author Contributions

Methodology, K.Z.; Software, K.Z.; Investigation, K.Z. and P.W.; Writing—original draft, K.Z. and P.W.; Writing—review & editing, K.Z. Both authors (K.Z. and P.W.) equally contributed to the simulation, optimization, data analysis, and writing. All authors have read and agreed to the published version of the manuscript.

Funding

This research received no external funding.

Institutional Review Board Statement

Not applicable.

Informed Consent Statement

Not applicable.

Data Availability Statement

The original contributions presented in this study are included in the article. Further inquiries can be directed to the corresponding author.

Conflicts of Interest

The authors declare no conflicts of interest.

References

  1. Zboinski, K.; Woznica, P. Combined use of dynamical simulation and optimisation to form railway transition curves. Veh. Syst. Dyn. 2018, 56, 151–181. [Google Scholar] [CrossRef]
  2. Zboinski, K.; Woznica, P. Optimum railway transition curves—Method of the assessment and results. Energies 2021, 14, 3995. [Google Scholar] [CrossRef]
  3. Esveld, C. Modern Railway Track; MRT-Productions: Zaltbommel, The Netherlands, 2001. [Google Scholar]
  4. Tari, E.; Baykal, O. A new transition curve with enhanced properties. Can. J. Civ. Eng. 2005, 32, 913–923. [Google Scholar] [CrossRef]
  5. Hasslinger, H. Measurement proof for the superiority of a new track alignment design element, the so-called “Viennese Curve”. ZEVRail 2004, 128, 260–271. [Google Scholar]
  6. Long, X.Y.; Wei, Q.C.; Zheng, F.Y. Dynamic analysis of railway transition curves. Proc. IMechE Part F J. Rail Rap. Transit 2010, 224, 1–14. [Google Scholar] [CrossRef]
  7. Zboinski, K. Dynamical investigation of railway vehicles on a curved track. Eur. J. Mech. A-Solids 1998, 17, 1001–1020. [Google Scholar] [CrossRef]
  8. Zboinski, K. Numerical studies on railway vehicle response to transition curves with regard to their different shape. Arch. Civil. Eng. 1998, 44, 151–181. [Google Scholar]
  9. Zhang, J.Q.; Huang, Y.H.; Li, F. Influence of transition curves on dynamics performance of railway vehicle. J. Traff. Transp. Eng. 2010, 10, 39–44. [Google Scholar]
  10. Li, X.; Li, M.; Wang, H.; Bu, J.; Chen, M. Simulation on dynamic behaviour of railway transition curves. In Proceedings of the ICCTP 2010: Integrated Transportation Systems: Green, Intelligent, Reliable, Beijing, China, 4–8 August 2010; pp. 3349–3357. [Google Scholar]
  11. Basak, A.; Nowak, E. Dynamics of railway vehicles movement on transition curves. Adv. Sci. Technol. Res. J. 2021, 15, 21–29. [Google Scholar] [CrossRef] [PubMed]
  12. Xu, Y.L.; Wang, Z.L.; LI, G.Q.; Chen, S.; Yang, Y.B. High-speed running maglev trains interacting with elastic transitional viaducts. Eng. Struct. 2019, 183, 562–578. [Google Scholar] [CrossRef]
  13. Liu, X.; Shi, J.; Dai, J.; Wang, J.; Lu, C. Correspondence between alignment wavelength and vehicle response wavelength of high-speed rails. Int. J. Struct. Stab. Dyn. 2025, 25, 2650119. [Google Scholar] [CrossRef]
  14. Kufver, B. Optimisation of horizontal alignments for railway—Procedure involving evaluation of dynamic vehicle response. R. Inst. Technol. 2000. [Google Scholar]
  15. ENV 12299; CEN Railway Applications—Ride Comfort for Passengers—Measurement and Evaluation. European Committee for Standardization (CEN): Brussels, Belgium, 2009.
  16. Sanchez-Reyes, J.; Chacon, J. Nonparametric Bezier representation of polynomial transition curves. J. Surv. Eng. 2018, 144, 04018001. [Google Scholar] [CrossRef]
  17. Kobryn, A.; Stachera, P. S-shaped transition curves as an element of reverse curves in road design. Balt. J. Road Bridge Eng. 2019, 14, 484–503. [Google Scholar] [CrossRef]
  18. Ziatdinov, R. Family of superspirals with completely monotonic curvature given in terms of Gauss hypergeometric function. Comput. Aided Geom. Des. 2012, 29, 510–518. [Google Scholar] [CrossRef]
  19. Levent, A.; Sahin, B.; Habib, Z. Spiral transitions. Appl. Math. A J. Chin. Univ. 2018, 33, 468–490. [Google Scholar] [CrossRef]
  20. Pirti, A.; Yucel, M.A.; Ocalan, T. Transrapid and the transition curve as sinusoid. Teh. Vjesn. 2016, 23, 315–320. [Google Scholar][Green Version]
  21. Shebl, S.A. Geometrical analysis of non-linear curvature transition curves of high speed railways. Asian J. Curr. Eng. Maths. 2016, 5, 52–58. [Google Scholar]
  22. Arslan, A.; Tari, E.; Ziatdinov, R.; Nabiyev, R. Transition curve modeling with kinematical properties: Research on log-aesthetic curves. Comput.-Aided Des. Appl. 2014, 11, 509–517. [Google Scholar] [CrossRef][Green Version]
  23. Kobryn, A. New solutions for general transition curves. J. Surv. Eng. 2014, 140, 12–21. [Google Scholar] [CrossRef]
  24. Kobryn, A. Universal solutions of transition curves. J. Surv. Eng. 2016, 142, 04016010. [Google Scholar] [CrossRef]
  25. Koc, W. Identification of transition curves in vehicular roads and railways. Log. Trans. 2015, 28, 31–42. [Google Scholar]
  26. Koc, W. New transition curve adapted to railway operational requirements. J. Surv. Eng. 2019, 145, 04019009. [Google Scholar] [CrossRef]
  27. Koc, W. Transition curve with smoothed curvature at its ends for railway roads. Curr. J. Appl. Sci. Technol. 2017, 22, 1–10. [Google Scholar] [CrossRef]
  28. Fischer, S. Comparison of railway track transition curves types. Poll. Period. 2009, 4, 99–110. [Google Scholar]
  29. Barna, Z.; Kisgyorgy, L.J. Analysis of hyperbolic transition curve geometry. Period. Polytech. Civ. Eng. 2015, 59, 173–178. [Google Scholar] [CrossRef][Green Version]
  30. Shen, T.-I.; Chang, C.H.; Chang, K.Y.; Lu, C.C. A numerical study of cubic parabolas on railway transition curves. J. Mar. Sci. Technol. 2013, 21, 191–197. [Google Scholar]
  31. Eliou, N.; Kaliabetsos, G. A new, simple and accurate transition curve type, for use in road and railway alignment design. Eur. Trans. Res. Rev. 2014, 6, 171–179. [Google Scholar] [CrossRef]
  32. Sadeghi, J.; Rabiee, S.; Khajehdezfuly, A.; Felekari, P. Investigation on optimum lengths of railway clothoid transition curves based on passenger ride comfort. Proc. IMechE Part F J. Rail Rapid Transit 2022, 237, 882–892. [Google Scholar] [CrossRef]
  33. Temirbekov, E.S.; Bostanov, B.O.; Dudkin, M.V.; Kaimov, S.T.; Kaimov, A.T. Combined trajectory of continuous curvature. In The International Conference of IFToMM ITALY; Springer International Publishing: Cham, Switzerland, 2018; pp. 12–19. [Google Scholar]
  34. Brustad, T.F.; Dalmo, R. Railway transition curves: A review of the state-of-the-art and future research. Infrastructures 2020, 5, 43. [Google Scholar] [CrossRef]
  35. Casal, G.; Santamarina, D.; Vazquez-Mendez, M. Optimization of horizontal alignment geometry in road design and reconstruction. Transp. Res. Part C Emerg. Technol. 2017, 74, 261–274. [Google Scholar] [CrossRef]
  36. Tasci, L.; Kuloglu, N. Investigation of a new transition curve. Balt. J. Road Bridge Eng. 2011, 6, 23–29. [Google Scholar] [CrossRef]
  37. Ciampa, D.; Olita, S. The use of Bloss curve in the exit lanes of road intersections. Balt. J. Road Bridge Eng. 2020, 15, 76–102. [Google Scholar] [CrossRef]
  38. Ciampa, D.; Diomedi, M.; Vouno, P.; Olita, S. The use of transition curves in airport runway rapid exit taxiways (RETs). Adv. Civ. Eng. 2024, 2024, 460968. [Google Scholar] [CrossRef]
  39. ISO 2631-1:1997; Mechanical Vibration and Shock—Evaluation of Human Exposure to Whole-Body Vibration Part 1: General Requirements. ISO: Geneva, Switzerland, 1997.
  40. Zboinski, K.; Woznica, P.; Bolzhelarskyi, Y. Modelling of the shape of railway transition curves from the point of view of passenger comfort. Arch. Transp. 2021, 60, 205–217. [Google Scholar] [CrossRef]
  41. A Guide to Project Management Body of Project Knowledge, 5th ed.; Project Management Institute, Inc.: Newtown Square, PA, USA, 2013; p. 338.
Figure 1. Track considered: (a) vertically, (b) laterally, and (c) vehicle model.
Figure 1. Track considered: (a) vertically, (b) laterally, and (c) vehicle model.
Applsci 15 12066 g001
Figure 2. Coordinate reference system 01xyz described in the work.
Figure 2. Coordinate reference system 01xyz described in the work.
Applsci 15 12066 g002
Figure 3. Flow chart representing the software algorithm.
Figure 3. Flow chart representing the software algorithm.
Applsci 15 12066 g003
Figure 4. Transition curves: (a) y coordinates; (b) curvatures.
Figure 4. Transition curves: (a) y coordinates; (b) curvatures.
Applsci 15 12066 g004
Figure 5. Dynamical courses for vehicle body lateral: (a) displacements; (b) accelerations.
Figure 5. Dynamical courses for vehicle body lateral: (a) displacements; (b) accelerations.
Applsci 15 12066 g005
Figure 6. Vehicle body lateral accelerations: (a) cases 1 and 2; (b) cases 3 and 4.
Figure 6. Vehicle body lateral accelerations: (a) cases 1 and 2; (b) cases 3 and 4.
Applsci 15 12066 g006
Figure 7. Results of the optimization—case 1: (a) curvature; (b) vehicle body lateral accelerations.
Figure 7. Results of the optimization—case 1: (a) curvature; (b) vehicle body lateral accelerations.
Applsci 15 12066 g007
Figure 8. Results of the optimization—case 2: (a) curvature; (b) vehicle body lateral accelerations.
Figure 8. Results of the optimization—case 2: (a) curvature; (b) vehicle body lateral accelerations.
Applsci 15 12066 g008
Table 1. Track parameters, lengths of TCs, and velocities for all analyzed cases.
Table 1. Track parameters, lengths of TCs, and velocities for all analyzed cases.
CaseRadius R [m]Cant H [mm]Length l0 [m]Velocity v [m/s]
1 (9th)600150118.3520.20
2 (9th)600150142.1524.26
3 (9th)600150162.3627.71
4 (9th)600150180.4630.79
5 (11th)600150133.1020.20
6 (11th)600150159.8624.26
7 (11th)600150182.5827.71
8 (11th)600150202.9430.79
9 (9th)1200150167.4028.57
10 (11th)1200150188.2528.57
11 (11th)120075119.1836.17
12 (11th)2000115151.8030.05
13 (9th)2000115134.9930.05
Table 2. Ratio of QF1 (OC/IC).
Table 2. Ratio of QF1 (OC/IC).
12345678910111213
0.510.350.420.920.720.500.920.860.510.700.210.300.31
Table 3. Numerical results of the optimization.
Table 3. Numerical results of the optimization.
DegreeNo. of StepsValue OC/ICSmooth
11th1840.86Yes
Table 4. Track parameters, lengths of TCs, and velocities for 3rd and 5th degrees.
Table 4. Track parameters, lengths of TCs, and velocities for 3rd and 5th degrees.
CaseRadius R [m]Cant H [mm]Length l0 [m]Velocity v [m/s]
1 (3rd)600100501
2 (5th)600100501
3 (3rd)6001501001
4 (5th)6001501001
Table 5. Values or parameters for the example optimizations.
Table 5. Values or parameters for the example optimizations.
CaseRadius R [m]Cant H [mm]Length l0 [m]Velocity v [m/s]
1 (5th)600100401
2 (5th)600100501
Table 6. Results of the optimizations.
Table 6. Results of the optimizations.
CaseNo. of StepsValue OC/ICSmooth
1 (5th)980.63Yes
2 (5th)1410.55Yes
Disclaimer/Publisher’s Note: The statements, opinions and data contained in all publications are solely those of the individual author(s) and contributor(s) and not of MDPI and/or the editor(s). MDPI and/or the editor(s) disclaim responsibility for any injury to people or property resulting from any ideas, methods, instructions or products referred to in the content.

Share and Cite

MDPI and ACS Style

Zboinski, K.; Woznica, P. Railway Transition Curves Curvature—Should It Be Smooth in the Extreme Points or Not, or Something Else? Appl. Sci. 2025, 15, 12066. https://doi.org/10.3390/app152212066

AMA Style

Zboinski K, Woznica P. Railway Transition Curves Curvature—Should It Be Smooth in the Extreme Points or Not, or Something Else? Applied Sciences. 2025; 15(22):12066. https://doi.org/10.3390/app152212066

Chicago/Turabian Style

Zboinski, Krzysztof, and Piotr Woznica. 2025. "Railway Transition Curves Curvature—Should It Be Smooth in the Extreme Points or Not, or Something Else?" Applied Sciences 15, no. 22: 12066. https://doi.org/10.3390/app152212066

APA Style

Zboinski, K., & Woznica, P. (2025). Railway Transition Curves Curvature—Should It Be Smooth in the Extreme Points or Not, or Something Else? Applied Sciences, 15(22), 12066. https://doi.org/10.3390/app152212066

Note that from the first issue of 2016, this journal uses article numbers instead of page numbers. See further details here.

Article Metrics

Back to TopTop