A Wireless Power Transfer System for Unmanned Aerial Vehicles with CC/CV Charging Based on Topology Switching
Abstract
1. Introduction
- (1)
- Lightweight CC/CV compensation topology design: Building upon the LCC-S network, a supplementary tuning capacitor (Ce) is integrated. CC/CV switching is achieved via two switches, obviating extra receiver circuitry and reducing UAV payload.
- (2)
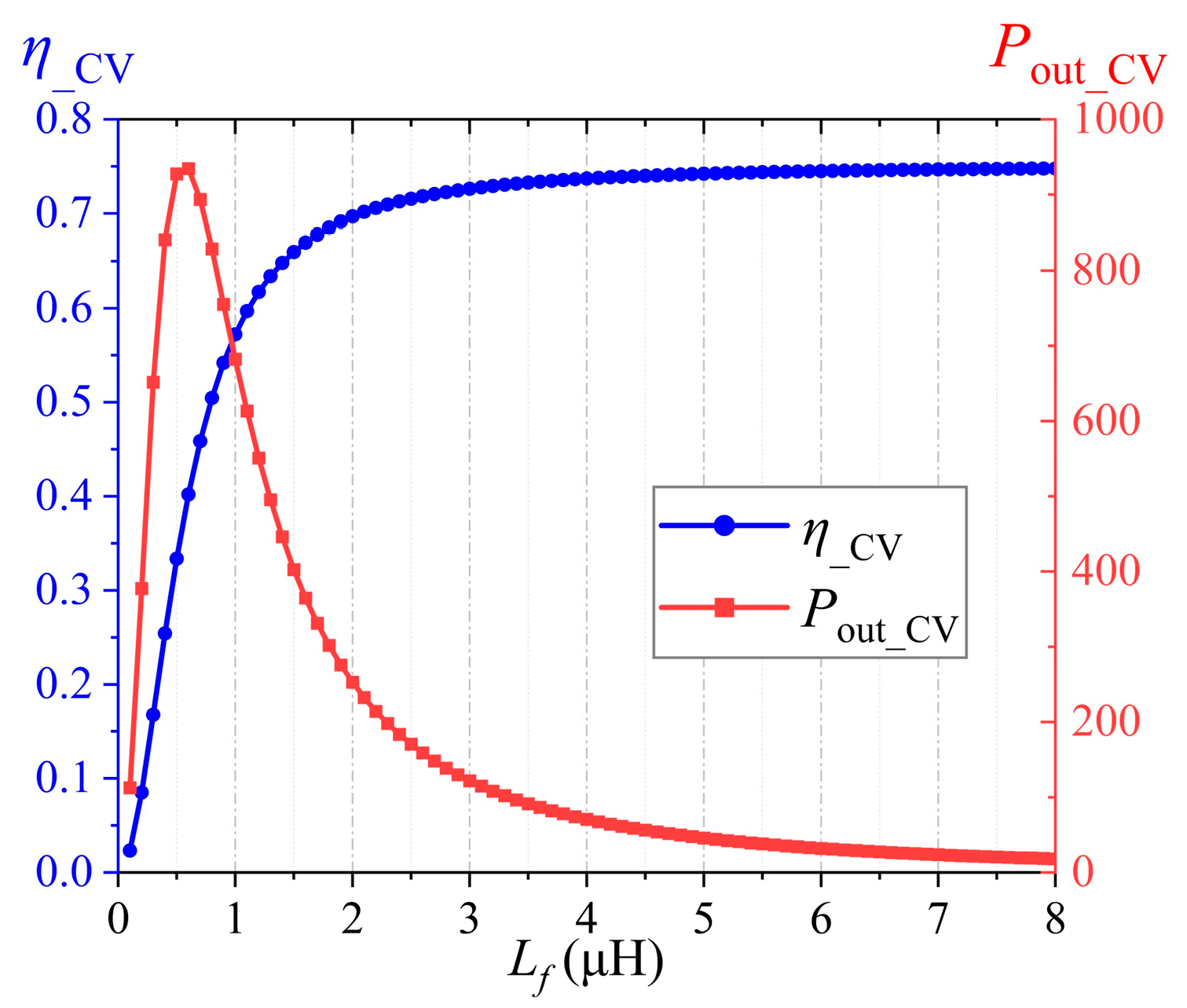
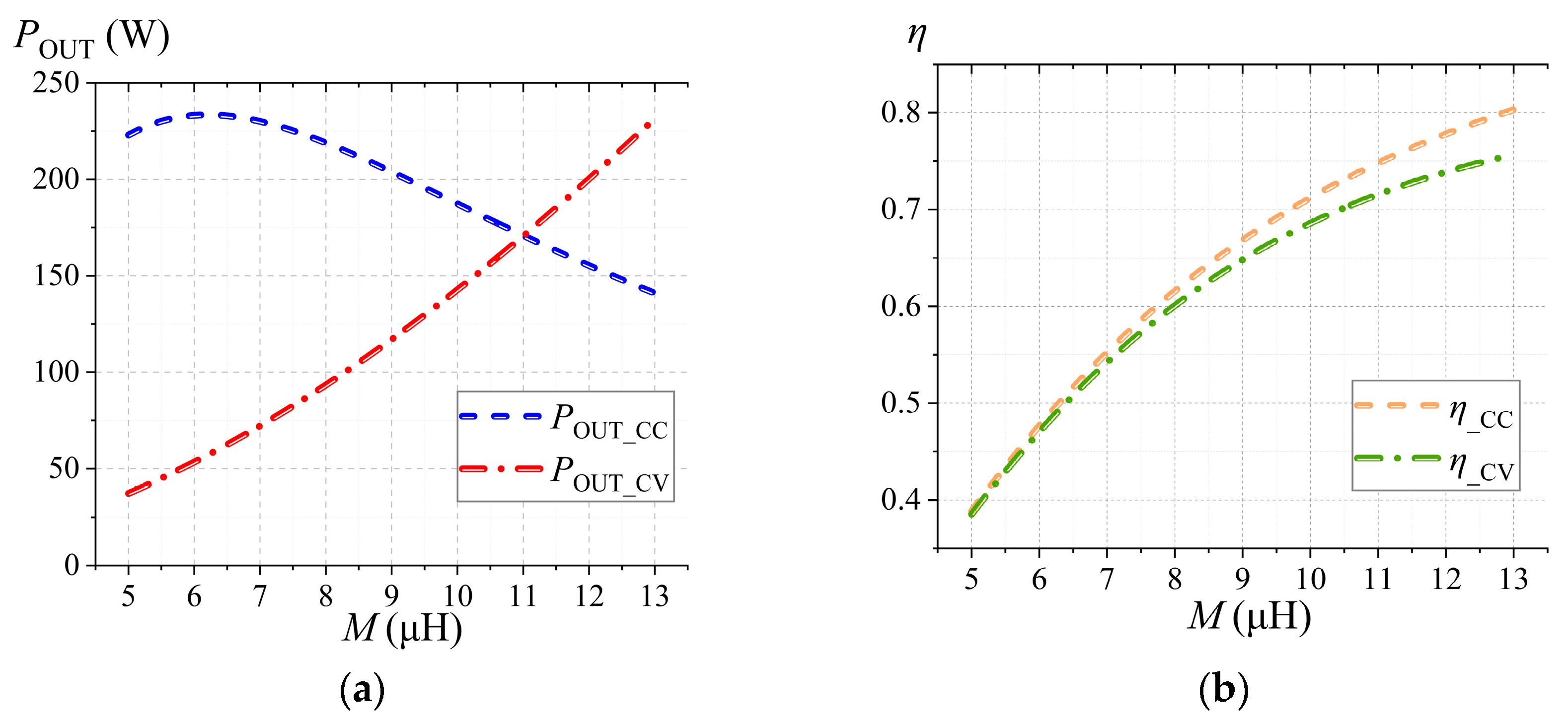
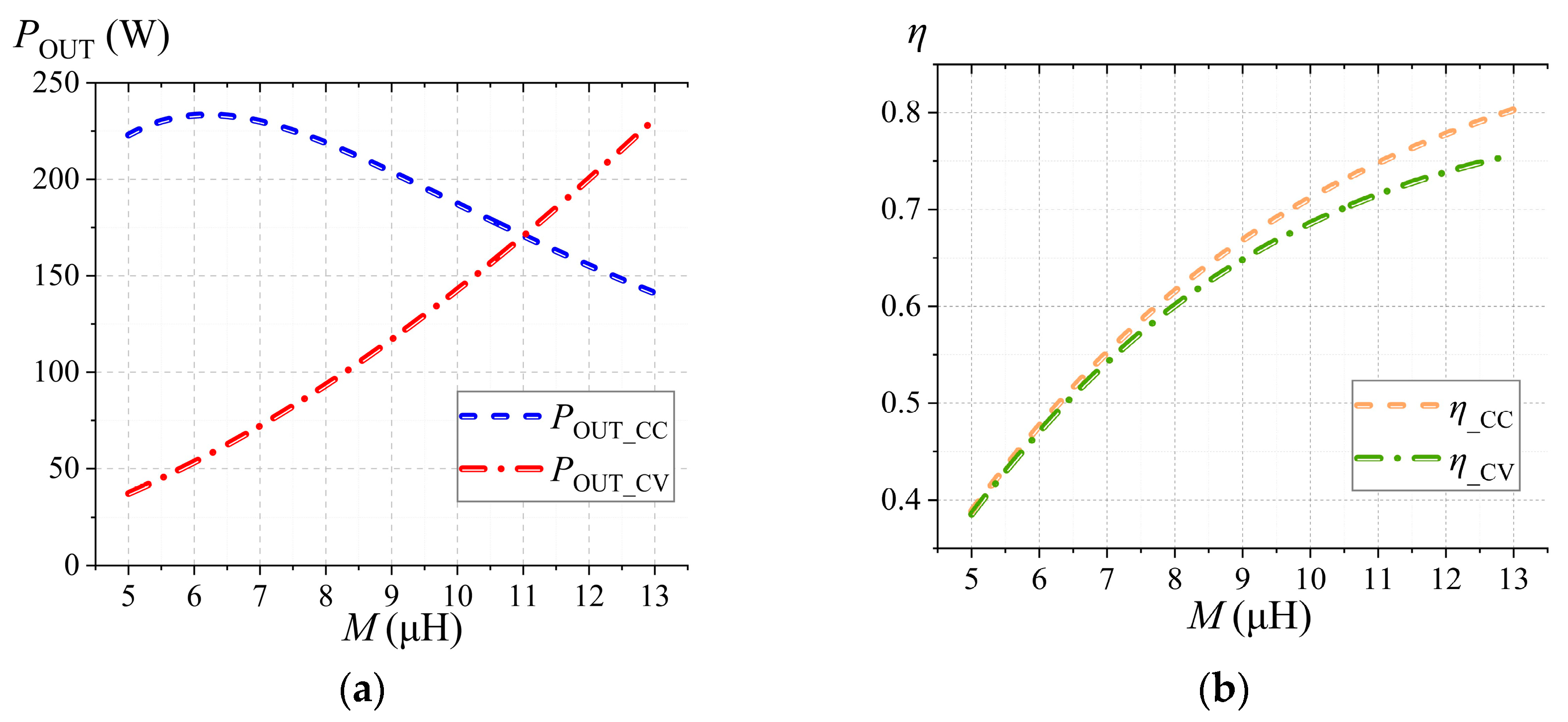
- System efficacy analysis and optimization: An impedance matrix model accounting for parasitic parameters and coil losses is developed. Optimal (Lf) is derived to reach 71.5% efficiency at 170 W output. The analysis also clarifies mutual inductance (M) constraints on coupling mechanism design and verifies power/efficiency independence from resonant component parameters.
- (3)
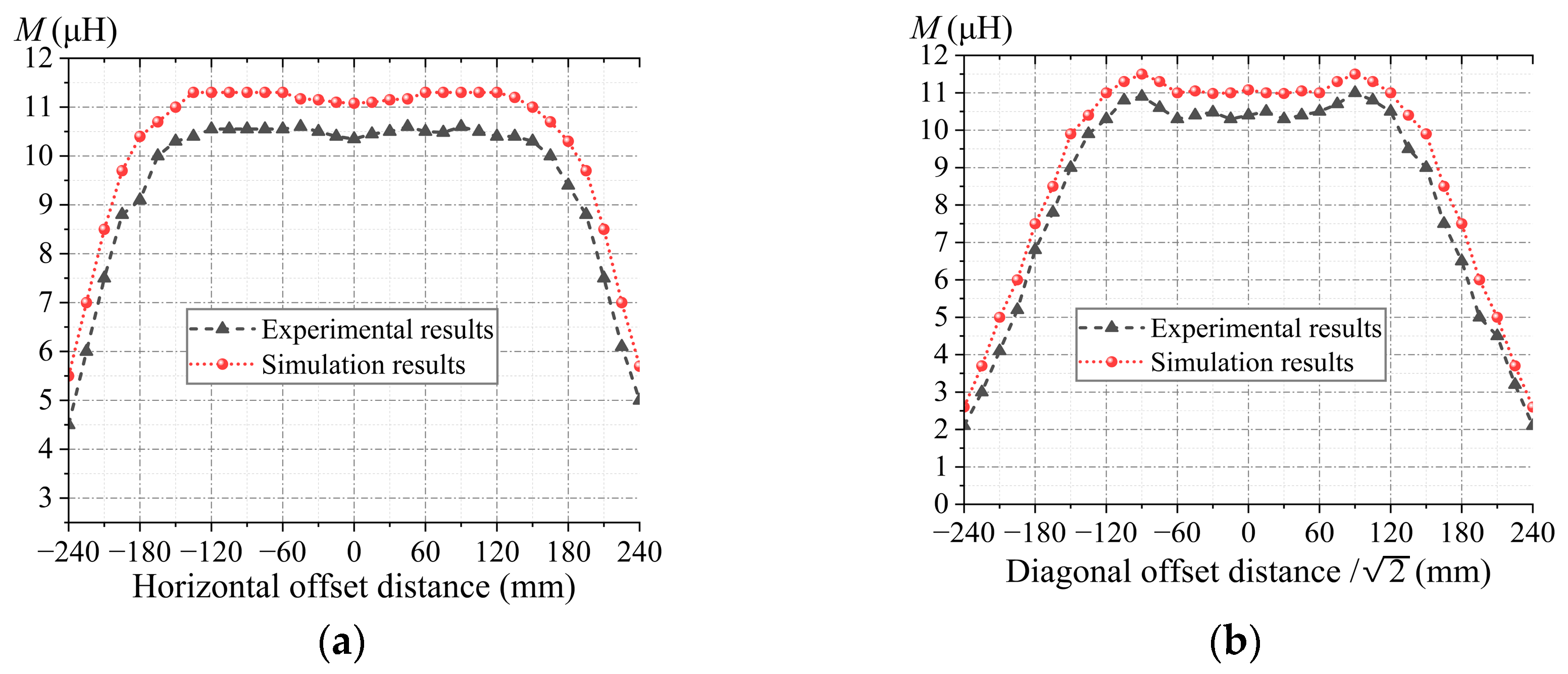
- Anti-misalignment coupling mechanism design: A 2 × 2 square coil array is serially integrated with a central “+” shaped compensation coil. Experimental results confirm reduced M fluctuations over horizontal [−150, 150] mm and diagonal [−150√2, 150√2] mm offsets, doubled M magnitude, suppressed flux leakage, and enhanced magnetic uniformity.
2. Design of the CC/CV System Based on Topology Switching
- (1)
- (2)
- Load stability: A conventional LCC-S network uses a single compensation inductor and two compensation capacitors, forming an LC-CL cascaded structure at the transmitter. This structure makes the network’s equivalent input impedance far less sensitive to secondary-side load changes than S-S and S-P topologies. This is critical for UAV charging, where the battery’s equivalent resistance increases monotonically during charging.
- (3)
- Device protection: The parallel capacitor in the LCC-S primary network clamps the voltage across switching devices. This effectively suppresses voltage spikes and reduces switching losses, which is more reliable than S-S/S-P topologies that lack such protection and are prone to switch damage under fluctuating loads.
2.1. System Working Principle
2.1.1. CV Output Mode
2.1.2. CC Output Mode
2.2. Analysis of System Efficacy
3. Design of Anti-Offset Coupling Mechanism
4. Experimental Verification
4.1. Verification of System CC/CV Capability
4.2. Verification of System Anti-Offset Capability
5. Discussion
Author Contributions
Funding
Institutional Review Board Statement
Informed Consent Statement
Data Availability Statement
Conflicts of Interest
Abbreviations
| UAVs | Unmanned aerial vehicles |
| WPT | Wireless power transfer |
| CC | Constant current |
| CV | Constant voltage |
| DC | Direct current |
| AC | Alternating current |
References
- Lv, X.; Dai, X.; Yu, F.; Li, X.; Wang, H.; Sun, Y.; Hu, J. A High Misalignment Tolerance SCC-WPT System with Relay Single Capacitive Coupler for UAV Wireless Charging Applications. IEEE Trans. Power Electron. 2025, 40, 10372–10377. [Google Scholar] [CrossRef]
- Rong, C.; Guo, Y.; Xu, Y.; Wang, H.; Zhang, X.; Han, W.; Xia, C.; He, X. Cavity Resonator-Based WPT System Utilizing Rotating Magnetic Field for Omnidirectional Charging. IEEE J. Emerg. Sel. Top. Power Electron. 2025, 13, 3955–3965. [Google Scholar] [CrossRef]
- Guo, W.; Xu, M.; Tao, Y.; Liu, W.; Zhou, H.; Guan, X.; Yang, R.; Ge, Z.; Xue, R.; Zhang, Z.; et al. Integrated horizontal convective PCR system for clinical diagnostics. Sci. Adv. 2025, 11, eadx8434. [Google Scholar] [CrossRef] [PubMed]
- Yang, L.; Chen, X.; Xing, D.; Li, J.; Tian, L.; Bu, Z.; Sun, J.; Wen, H.; Zhao, Y.; Yang, T.; et al. Design and Verification of Adaptive CC/CV Mode Switching Wireless Power Transfer System for UAVs Based on High Switching Frequency Single Switch LC Inverter. IEEE J. Emerg. Sel. Top. Power Electron. 2024, 12, 5990–6006. [Google Scholar] [CrossRef]
- Dou, R.T.; Zhang, X.; Li, Y.J.; Zhang, P.C.; Yang, Q.X. Review on Application Development and Research of Electromagnetic Shielding in Magnetically Coupled Resonant Wireless Power Transfer Systems. Proc. CSEE 2023, 43, 6020–6040. [Google Scholar]
- Rong, C.; Wang, H.; Gao, H.; Cai, W.; Han, W.; Zhang, X.; Jie, H.; Aime, L.-E.; Xu, Y.; Zhao, Z. Magnetically Coupled Resonant Wireless Power Transfer for Internet of Things Perception Layer: A Review. Renew. Sustain. Energy Rev. 2025, 223, 116013. [Google Scholar] [CrossRef]
- Yang, B.; Lu, Y.; Peng, Y.; He, S.; Chen, Y.; He, Z.; Mai, R.; Wang, Z. Analysis and Design of a T/S Compensated IPT System for AGV Maintaining Stable Output Current Versus Air Gap and Load Variations. IEEE Trans. Power Electron. 2021, 37, 6217–6228. [Google Scholar] [CrossRef]
- Gupta, R.; Samanta, S. A Novel Parameter Tuning for LCL–LCL WPT with Combined CC/CV Charging and Improved Harmonic Performance. IEEE Trans. Ind. Electron. 2024, 71, 13969–13979. [Google Scholar] [CrossRef]
- Li, Z.Q.; Zhang, C.X.; Wang, J.B.; Wang, Z.M.; Huang, S.D. Study on Constant Current and Constant Voltage of Wireless Power Transfer System Based on Frequency Conversion Reconstructed S/SP Topology. Trans. China Electrotech. Soc. 2024, 39, 4718–4732. [Google Scholar]
- Liu, Y.; Feng, H. Maximum Efficiency Tracking Control Method for WPT System Based on Dynamic Coupling Coefficient Identification and Impedance Matching Network. IEEE J. Emerg. Sel. Top. Power Electron. 2020, 8, 3633–3643. [Google Scholar] [CrossRef]
- Zhang, K.; Ye, T.; Yan, Z.; Song, B.; Hu, A.P. Obtaining Maximum Efficiency of Inductive Power-Transfer System by Impedance Matching Based on Boost Converter. IEEE Trans. Transp. Electrific. 2020, 6, 488–496. [Google Scholar] [CrossRef]
- Wang, X.; Xu, J.; Lu, S.; Ren, S.; Leng, M.; Ma, H. Single-Receiver Multioutput Inductive Power Transfer System with Independent Regulation and Unity Power Factor. IEEE Trans. Power Electron. 2022, 37, 1159–1171. [Google Scholar] [CrossRef]
- Zhang, S.T.; Zhao, J.B.; Wu, Y.B.; Mao, L.; Liang, C. Study on Soft Switching Technology of Class E Inverter for Wireless Power Transfer Based on Self-Mutual Inductance Regulation. Trans. China Electrotech. Soc. 2021, 36, 4558–4566. [Google Scholar]
- Villa, J.L.; Sallan, J.; Osorio, J.F.S.; Llombart, A. High-Misalignment Tolerant Compensation Topology for ICPT Systems. IEEE Trans. Ind. Electron. 2012, 59, 945–951. [Google Scholar] [CrossRef]
- Yang, Y.; Cao, G.M.; Li, H.X. Positioning and Direction Guidance Method of Wireless Charging System Based on 3U-Type Auxiliary Coil. Chin. J. Sens. Actuators 2023, 36, 1835–1844. [Google Scholar]
- Deng, Q.J.; Liu, J.T.; Chen, C.; Zhou, H.; Hu, W.S. Development of Three-Phase Phase-Shifted Controlled Inverter for Wireless Power Transfer System. Trans. China Electrotech. Soc. 2017, 32, 52–61. [Google Scholar]
- Wang, J.; Huang, Z. A Single-Switch WPT Circuit with Inherent CCO–CVO for Battery Charging. IEEE Trans. Transp. Electrific. 2023, 10, 1957–1968. [Google Scholar] [CrossRef]
- Rong, C.; Chen, M.; Duan, X.; Liu, Y.; Wu, J.; Zeng, Y.; He, X.; Liao, Z.; Xia, C. Optimized Design of Passive Array Coils for High-Efficiency and Anti-Misalignment WPT System. IEEE Trans. Power Electron. 2024, 39, 6504–6514. [Google Scholar] [CrossRef]
- Tao, Y.; Gao, Y.; Liu, Z.; Chen, Y.; Liu, W.; Yu, G.; Ren, Y. Many-body electrohydrodynamic contact dynamics in alternating-current dielectrophoresis: Resolving hierarchical assembly of soft binary colloids. Phys. Fluids 2025, 37, 082043. [Google Scholar] [CrossRef]
- Zaheer, A.; Covic, G.A.; Kacprzak, D. A Bipolar Pad in a 10-kHz 300-W Distributed IPT System for AGV Applications. IEEE Trans. Ind. Electron. 2014, 61, 3288–3301. [Google Scholar] [CrossRef]
- Wang, Y.J.; Lu, K.X.; Yao, Y.S.; Liu, X.S.; Xv, D.G. Wireless Power Transfer System for Electric Vehicles with Strong Misalignment Resistance Performance. Proc. CSEE 2019, 39, 3907–3917. [Google Scholar]
- Xiao, H.H.; Zhou, Q.S.; Xiong, S.X.; Yang, Y.; Xie, S.Y. Wireless Power Transfer System Resisting Misalignment and Deflection Based on Double-Layer Orthogonal DD Coils. Trans. China Electrotech. Soc. 2022, 37, 4004–4018. [Google Scholar]
- Peng, Y.E.; Zhang, B.S.; Yang, B.; He, S.J.; Chen, Y.; Mai, R.K. High Misalignment-Resistant IPT System Based on Double Helix Orthogonal Coils. Proc. CSEE 2022, 42, 7352–7363. [Google Scholar]














| Parameter | Value |
|---|---|
| Side length of the square coils l1 | 250 mm |
| Distance between the square coils and the coordinate axes a0 | 20 mm |
| Interturn spacing of the square coil d0 | 1 mm |
| Turns of the square coil | 10 |
| Wire diameter c | 2 mm |
| Width of the compensation coil w0 | 124 mm |
| Length of the compensation coil l2 | 220 mm |
| Interturn spacing of the compensation coil d1 | 2 mm |
| Turns of the compensation coil | 12 |
| Transmission distance | 5 mm |
| Parameter | Value |
|---|---|
| Self-inductance of transmitter coils L1 | 176.03 μH |
| Parasitic resistance of transmitter coils R2 | 1.061 Ω |
| Self-inductance of receiver coils L2 | 42.07 μH |
| Parasitic resistance of receiver coils R3 | 0.144 Ω |
| Compensation inductor Lf | 2.54 μH |
| Compensation capacitor C1 | 1.38 μF |
| Compensation capacitor Ce | 20.18 nF |
| Compensation capacitor C2 | 83.36 nF |
| Parasitic resistance of Lf R1 | 0.02 Ω |
Disclaimer/Publisher’s Note: The statements, opinions and data contained in all publications are solely those of the individual author(s) and contributor(s) and not of MDPI and/or the editor(s). MDPI and/or the editor(s) disclaim responsibility for any injury to people or property resulting from any ideas, methods, instructions or products referred to in the content. |
© 2025 by the authors. Licensee MDPI, Basel, Switzerland. This article is an open access article distributed under the terms and conditions of the Creative Commons Attribution (CC BY) license (https://creativecommons.org/licenses/by/4.0/).
Share and Cite
Chang, J.; Cai, W.; Wang, H.; Guo, Y.; Wu, J.; Rong, C.; Xia, C. A Wireless Power Transfer System for Unmanned Aerial Vehicles with CC/CV Charging Based on Topology Switching. Appl. Sci. 2025, 15, 11932. https://doi.org/10.3390/app152211932
Chang J, Cai W, Wang H, Guo Y, Wu J, Rong C, Xia C. A Wireless Power Transfer System for Unmanned Aerial Vehicles with CC/CV Charging Based on Topology Switching. Applied Sciences. 2025; 15(22):11932. https://doi.org/10.3390/app152211932
Chicago/Turabian StyleChang, Jin, Weizhe Cai, Haoyang Wang, Yingzhou Guo, Junhao Wu, Cancan Rong, and Chenyang Xia. 2025. "A Wireless Power Transfer System for Unmanned Aerial Vehicles with CC/CV Charging Based on Topology Switching" Applied Sciences 15, no. 22: 11932. https://doi.org/10.3390/app152211932
APA StyleChang, J., Cai, W., Wang, H., Guo, Y., Wu, J., Rong, C., & Xia, C. (2025). A Wireless Power Transfer System for Unmanned Aerial Vehicles with CC/CV Charging Based on Topology Switching. Applied Sciences, 15(22), 11932. https://doi.org/10.3390/app152211932

