Next Article in Journal
A-BiYOLOv9: An Attention-Guided YOLOv9 Model for Infrared-Based Wind Turbine Inspection
Previous Article in Journal
Research on Target Detection and Counting Algorithms for Swarming Termites in Agricultural and Forestry Disaster Early Warning
 
 
Font Type:
Arial Georgia Verdana
Font Size:
Aa Aa Aa
Line Spacing:
Column Width:
Background:
Article

Schrödinger Cat States in Giant Negative Magnetoresistance of 2D Electron Systems

Escuela Politécnica Superior, Universidad Carlos III, 28911 Madrid, Spain
Appl. Sci. 2025, 15(21), 11841; https://doi.org/10.3390/app152111841
Submission received: 23 September 2025 / Revised: 1 November 2025 / Accepted: 4 November 2025 / Published: 6 November 2025
(This article belongs to the Section Applied Physics General)

Abstract

We investigate the effect of giant negative magnetoresistance in ultrahigh-mobility ( μ 10 7 cm 2 V 1 s 1 ) two-dimensional electron systems. These systems present a dramatic drop in the mangetoresistance at low magnetic fields ( B 0.1 T) and temperatures ( T 0.1 K). This effect is reversed by increasing the temperature or the presence of an in-plane magnetic field. The motivation for the present work is to develop a microscopical model to explain the experimental evidence, based on coherent states and Schródinger cat states of the quantum harmonic oscillator. Thus, we approach the giant negative magnetoresistance effect based on the description of ultrahigh-mobility two-dimensional electron systems in terms of Schrödinger cat states (superposition of coherent states of the quantum harmonic oscillator). We explain the experimental results in terms of the increasing disorder in the sample due to the rising temperature or the in-plane magnetic field, breaking up the Schrödinger cat states and giving rise to mere coherent states, which hold magnetoresistance in lower-mobility samples. The latter, jointly with the description of ultrahigh-mobility samples with Schrödinger cat states, accounts for the main contribution. The most interesting application of this novel description of such systems would be in the implementation of qubits for quantum computing based on bosonic models.

1. Introduction

Two-dimensional (2D) materials are among the most interesting topics of research in condensed matter physics these days, both theoretical and applied. The rise of graphene marks the beginning of this new era [1]. We can cite several novel 2D materials such as graphene and its derivatives, germanene, phosphorene, hesagonal boron nitride, transition metal dichalcogenides, and other 2D heterobilayers [2]. Nevertheless, we cannot forget the recently obtained ultrahigh-mobility systems based on GaAl. Among the different physical properties studied in these materials, the electronic ones are the most important due to their impact on the future of nanoelectronics, spintronics, and potentially quantum computing. Thus, it is really worth doing a thorough research study on ultrahigh-mobility ( μ 10 7 cm 2 V 1 s 1 ) two-dimensional electron systems (2DESs) and their electronic properties, such as magnetotransport. Different theoretical contributions have recently shown up, studying these high-mobility materials [3,4,5,6,7,8,9,10]. One of the most challenging demonstrates that 2DESs, under low magnetic fields (B) and temperatures (T), turn into a structure of Schrödinger cat states (SCSs) [11,12,13,14], a quantum superposition of coherent states [3] of the quantum harmonic oscillator. The initial idea of coherent states [11,12,13,14,15,16,17] was introduced by Schrödinger [15], describing minimum-uncertainty constant-shape Gaussian wave packets of the quantum harmonic oscillator.
It is also worth mentioning that when irradiated under B, those 2DESs give rise to the very well known phenomenon of microwave-induced resistance oscillations [9,10]. MIROs are among the most striking radiation–matter interaction effects discovered in the last two decades. We studied this effect based on the microwave-driven electron orbit model [3,5,6,7,8]. In this model, electron orbits (electrons under B) are driven by radiation, performing a harmonic motion with the frequency of radiation. During this back and forth motion, electrons suffer elastic scattering due to charged impurities. One remarkable result that we found [3,5,6,7,8] is that the time it takes the scattered electron to get from the initial to the final coherent state or evolution time, τ , equals the cyclotron period, T c = 2 π / w c [3]. The rest of scattering processes at different times, τ , can be ignored.
Other physical effects obtained in the dark for these materials remain to be fully explained. In this way, experimental results [18,19,20] obtained with ultraclean ( μ 10 7 cm 2 / Vs ) samples show the unexpected and striking effect of an almost complete magnetoresistance collapse at low T ( T 0.1 K) and low B ( B 0.1   T ), observed under irradiation and in the dark and well-known as giant negative magnetoresistance [21,22,23,24,25,26,27,28,29,30] (GNM). Interestingly enough, and as observed in the same experiments, this collapse can be reversed with external parameters: with increasing T, the set up of an in-plane B ( B ) with increasing intensity can also be altered with the electron density ( n e ) via an external metallic gate. Thus, in these experiments, longitudinal magnetoresistance ( R x x ) vs. B has mainly been measured, as well as its variations with different physical properties, temperature, parallel magnetic fields, and electron density. According to experimentalists, in the case of ultrahigh samples, the layer structure is complex and made up of different layers. Nevertheless, the active layer, i.e., where the two-dimensional electron gas is located, is a 30 nm GaAs quantum well.
The motivation for the present work is to develop a microscopical model to explain the experimental evidence, based on coherent states and Schródinger cat states of the quantum harmonic oscillator. Thus, we approach the giant negative magnetoresistance effect based on the description of ultrahigh-mobility two-dimensional electron systems in terms of Schrödinger cat states (superposition of coherent states of the quantum harmonic oscillator). Therefore, in this article we present a theoretical model for this striking effect and the influence of external physical properties and investigate how we can make good use of them to tune GNM and use it to our advantage. In our theoretical approach we devise a phenomenological model to explain those experimental results. On the one hand, we base our study on the quantum superposition of coherent states that give rise to SCSs. Thus, the electronic structure of a ultrahigh-mobility 2DES would be mainly composed of SCSs that oscillate with a frequency double ( 2 w c ) that expected considering the applied field. Under these states, charged impurity scattering (elastic scattering) is seriously diminished and R x x drops. On the other hand, we focus on sample disorder as responsible for the cat states’ destruction to give rise to standard coherent states. Samples with lower mobility ( μ 10 6 cm 2 V 1 s 1 ) would have an electronic structure based on coherent states [3], where scattering fully takes place, giving rise to R x x recovery.
We base this study on previous results by the authors, where high-mobility two-dimensional electron systems under low or moderate magnetic fields could be described as made up of coherent states of the quantum harmonic oscillator. Schrödinger cat states are fragile states that rise when coherent states associate. They turn up in 2D ultraclean samples and, as a consequence, they present very low dissipation, i.e., at low T and B. Another important property is that they show quantum interference at certain values of position and time where their probability density peaks (see below). However when disorder rises with increasing T or B , SCSs are gradually destroyed, becoming mere coherent states. In between these two limiting situations, we propose that the electronic structure of the 2D samples is made up of an ensemble of SCSs and individual coherent states. The intensity of the R x x drop will depend on what kind of states are predominant in these ultraclean samples. At low T or low B , SCSs would prevail. In the opposite scenario, at high T or high B , coherent states would be the majority. Thus, T and B would be the physical properties that allow us to turn, gradually and continuously, a cat state-based sample into a coherent one and vice versa. Thus, T and/or B could be used as external tuning physical properties to control the electronic structure of 2DESs and make them SCSs or coherent states at will. We also study GNM as a function of electron density and contrast it against experimental results [24]. We determine that GNM is not as affected by n e as by T and B .
According to our model, the GNM effect itself is explained based on two physical origins as follows. The energy difference between Landau states in SCSs is 2 w c and this makes the Landau levels involved in scattering totally misaligned. As a result, magnetoresistance based on quasi-elastic scattering plummets. This would be one of physical causes of GNM. Another reason would be that the o d d Schrödinger cat states, when involved in scattering processes, undergo a destructive process that makes the scattering rate vanish, and in turn, R x x vanishes too [4]. The Aharonov–Bohm effect plays an essential role in the latter, transforming even Schrödinger cat states into odd ones when a phase shift of π is added [4]. Nevertheless, there is still a remanent part of e v e n Schrödinger cat states that would be responsible for the experimentally obtained low intensity MIRO. We conclude that ultrahigh-mobility 2DESs, under low B and T, are made up of a structure Schrödinger cat states and thus can become a promising bosonic mode-based platform for quantum computing [31,32] that could be controlled by external parameters such as T or B .

2. Theoretical Model

Even and odd coherent states are quantum superpositions of two coherent states of equal amplitude but separated in phase by π radians (see Figure 1):
| α e v e n o d d = 1 2 N e o | α ± | α
where N e = e | α | 2 / 2 cosh ( | α | 2 ) for even coherent states and, N o = e | α | 2 / 2 sinh ( | α | 2 ) for odd coherent states. The plus sign corresponds to the even states and the minus to the odd ones. The even and odd coherent states can be obtained from the quantum harmonic oscillator ground state with the action of the even and odd displacement operators [11], D ( α e v e n o d d ) .
D ( α e v e n ) = 1 2 [ D ( α ) + D ( α ) ] = cosh ( α a α * a )
and
D ( α o d d ) = 1 2 [ D ( α ) D ( α ) ] = sinh ( α a α * a )
Thus, | α e v e n o d d = D ( α e v e n o d d ) | ϕ 0 . The corresponding expansions of the even coherent state, including the time evolution, read
| α ( t ) e v e n = e i w t / 2 cosh ( | α | 2 ) n ( α 0 e i w c t ) 2 n ( 2 n ) ! | ϕ 2 n
and for the odd coherent state,
| α ( t ) o d d = e i w t / 2 sinh ( | α | 2 ) n ( α 0 e i w c t ) 2 n + 1 ( 2 n + 1 ) ! | ϕ 2 n + 1
Thus, even coherent states are a superposition of even eigenstates of the quantum harmonic oscillator, and the states energy is given by E e v e n = w c ( 2 n + 1 / 2 ) . The odd ones are superpositions of odd eigenstates, and the energy is E o d d = w c ( ( 2 n + 1 ) + 1 / 2 ) . Interestingly enough, only every other Landau level is populated in both of them, and thus, the energy difference between populated levels is 2 w c . This latter point is key to explain GNM. Yet, for genuine coherent states, E = w c .
The wave function for even and odd coherent states thus reads [11,12,13,14,17]
ψ α e v e n o d d = x | D ( α e v e n o d d ) | ϕ 0 = 1 2 N e o e i ϑ α × e i p x ϕ 0 [ x X ( 0 ) x ( t ) ] ± e i p x ϕ 0 [ x X ( 0 ) + x ( t ) ]
where ϕ 0
ϕ 0 [ x X ( 0 ) x o ( t ) x ( t ) ] = m w c π 1 / 4 e x X ( 0 ) x ( t ) 2 x 2
is the ground state wave function of the quantum harmonic oscillator, X ( 0 ) is the guiding center of the quantum oscillator, and x ( t ) and p ( t ) are the position and momentum mean values, respectively [17]:
x ( t ) = 2 m * w c | α 0 | cos ( w c t )
and
p ( t ) = 2 m * w c | α 0 | sin ( w c t )
where we have determined that α = | α 0 | e ( i w c t ) .
For experimental values [24], | α 0 | is large (low B), and the coherent states | α and | α can then be considered macroscopically distinguishable [11,12,13,14,17]. Thus, the two Gaussian wave packets are located at macroscopically separated points. They classically oscillate with the frequency w c , if we consider every Gaussian packet independently. Then, electrons are simultaneously localized in both spatially separated wave packets at macroscopic distances of the order of the low B cyclotron radius. Then, the above superpositions are known as Schrödinger cat states [12,13]. The normalization constants are N e N o 1 / 2 . These cat states are mainly used in quantum optics and have recently become relevant in quantum computing as a promising platform to implement qbits [33].
In order to establish the physics of our theory on GNM, it is essential to calculate the probability density of the wave function, ψ α e v e n o d d which is given by
| ψ α e v e n o d d | 2 = 1 2 [ | ϕ 0 [ x X ( 0 ) x ( t ) | 2 + | ϕ 0 [ x X ( 0 ) + x ( t ) | 2 ± 2 cos 2 x p m π w c 1 / 4 e x 2 + x 2 2 ( x ) 2 ]
where the last term is responsible for the quantum interference. Thus, both types of superpositions are composed of two Gaussian wave packets oscillating back and forth harmonically with a phase difference of π radians. When they cross, quantum interference rises. Then, acute peaks are obtained in the probability density when w c t = π / 2 and 3 π / 2 . Thus, we expect that electron scattering will take place mainly at these points, and this is a very important point in our model. In addition, the system as a whole oscillates with double frequency, 2 w c , although every Gaussian wave packet individually oscillates with w c as we said above.
We consider the quasi-elastic scattering between Schrödinger cat states due to charged impurities. We schematically depict this kind of scattering in Figure 2. In the upper panel, we exhibit the schematic diagram of scattering process between coherent states Ψ α and Ψ α . The scattering is quasi-elastic because the scattering source is based on charged impurities. The probability density for both coherent states is a constant-shaped Gaussian wave packet, and the scattering process evolution time is the cyclotron period, i.e., τ = 2 π / w c = T c (see Figure 3 and Figure 4). In the lower panel, we observe the same as in the upper panel, but for the Schrödinger cat state case. The energy difference between populated states is 2 w c , and every other state is then populated as in the upper panel case. The schematic diagram of the lower panel corresponds to the scattering process between even Schrödinger cat states.
The longitudinal conductivity σ x x is calculated with a semiclassical Boltzmann model [34,35,36], and accordingly,
σ x x = 2 e 2 0 d E ρ i ( E ) ( X 0 ) 2 W I d f ( E ) d E
where E is the energy, ρ i ( E ) is the density of initial Landau states, and W I is the scattering rate of electrons with charged impurities. W I is at the heart of the physics of our theory explaining GNM. We obtain R x x by the usual tensor relationships [34,35,36], R x x = σ x x σ x x 2 + σ x y 2 σ x x σ x y 2 , where σ x y n e e B and σ x x σ x y , n e being the 2D electron density.
X 0 is the distance between the initial, X 0 , and final, X 0 , scattering-involved state guiding centers. W I [34,35,36] is given by Fermi’s golden rule:
W I = N i 2 π | < ψ α | V s | ψ α > | 2 δ ( E α E α )
where N i is the number of charged impurities, ψ α and ψ α are the wave functions corresponding to the initial and final cat states, respectively, and V s is the scattering potential for charged impurities [34,35,36]. V s = q V q e i q x x , and q x is the x-component of q , the electron momentum change during the scattering event. The V s matrix element is given by [34,35,36]
| < ψ α | V s | ψ α > | 2 = q | V q | 2 | I α , α | 2
where the scattering integral I α , α is [4]
I α , α = ψ α e o e i q x x ψ α e o d x =   N e o 2 2 [ e i x ( p p ) e ( x X 0 x ) 2 2 ( x ) 2 e ( x X 0 x ) 2 2 ( x ) 2 + e i x ( p p ) e ( x + X 0 + x ) 2 2 ( x ) 2 e ( x X 0 + x ) 2 2 ( x ) 2 ± e i x ( p + p ) e ( x X 0 x ) 2 2 ( x ) 2 e ( x X 0 + x ) 2 2 ( x ) 2 ± e i x ( p + p ) e ( x X 0 + x ) 2 2 ( x ) 2 e ( x X 0 x ) 2 2 ( x ) 2 ] d x
where p ( t ) = 2 m * w c | α 0 | sin ( w c t ) , x ( t ) = 2 m * w c | α 0 | cos ( w c t ) , and t = t + τ . t is the initial scattering time, and t is the final scattering time [4]. As above, in the ± sign, “+” corresponds to magnetoresistance held by even Schrödinger cat states and “−” to odd Schrödinger cat states. As we said above, according to the probability density, the scattering processes are more likely to take place at the probability peaks. This is equivalent to having a small effective oscillation amplitude, i.e., α 0 1 and w c t = π 2 , 3 π 2 . Thus, for instance, in the case of w c t = π / 2 , we get [4]
I α , α = e i q x X 0 + X 0 2 e q x 2 ( x ) 2 2 × [ e i q x 1 2 2 m w c | α 0 | cos ( π 2 + w c τ ) e [ X 0 + 2 m w c | α 0 | cos ( π 2 + w c τ ) ] 2 8 ( x ) 2 + e i q x 1 2 2 m w c | α 0 | cos ( π 2 + w c τ ) e [ X 0 2 m w c | α 0 | cos ( π 2 + w c τ ) ] 2 8 ( x ) 2 ± e i q x 1 2 2 m w c | α 0 | cos ( π 2 + w c τ ) e [ X 0 + 2 m w c | α 0 | cos ( π 2 + w c τ ) ] 2 8 ( x ) 2 ± e i q x 1 2 2 m w c | α 0 | cos ( π 2 + w c τ ) e [ X 0 2 m w c | α 0 | cos ( π 2 + w c τ ) ] 2 8 ( x ) 2 ]
Remarkably enough, due to the large value of | α 0 | , the above expression turns out to be negligible (real exponentials tend to zero [3]), except when τ = 2 π w c or τ = 2 π 2 w c . Then, the latter values act similarly as selection rules for the scattering process to take place and contribute to magnetoresistance. After lengthy algebra, we obtain the final expression [4]:
I α , α = 2 e i q x X 0 + X 0 2 e [ X 0 ] 2 8 ( x ) 2 q x 2 ( x ) 2 2 ± 2 e i q x X 0 + X 0 2 e [ X 0 ] 2 8 ( x ) 2 q x 2 ( x ) 2 2
Thus, for the even Schrödinger cat states, we obtain I α , α = 4 e i q x X 0 + X 0 2 e [ X 0 ] 2 8 ( x ) 2 q x 2 ( x ) 2 2 , whereas for the odd ones, I α , α = 0 . We also obtain, that when one of the scattering-involved cat states, initial or final, is odd, the scattering integral is zero too [4].
I α , α = ψ α e o e i q x x ψ α o e d x = 0 = ψ α ( o ) e i q x x ψ α ( e ) d x = 0 = ψ α ( o ) e i q x x ψ α ( e ) d x = 0
The latter results, in terms of scattering integrals, are very important. Firstly, a good number of scattering processes that could contribute to magnetoresistance are canceled, and secondly, the remnant magnetoresistance that still persist is being held only by even SCSs. The latter point explains one of the two physical reasons justifying GNM according to our model. The second is as follows.
We develop the Dirac delta in W I , δ ( E α E α ) as a sum of Lorentzian functions and, with the use of the Poisson sum rules, obtain an expression for SCSs that reads
δ ( E α E α ) = 1 w c 1 e π Γ / 2 w c 1 + e π Γ / 2 w c
where Γ is the Landau level width. Recall that the energy difference between Landau levels for a SCS is E = 2 w c . On the other hand, for the case of coherent states [4], where E = w c ,
δ ( E α E α ) = 1 w c 1 + e π Γ / w c 1 e π Γ / w c
In the former case (coherent state scattering) the scattering jumps between initial and final Landau levels are aligned (see Figure 4a). Thus, there are a lot of states available, which fully contribute to the current and magnetoresistance. Recall that the charged impurity scattering is elastic. However, for the latter case (SCS scattering), Landau levels are misaligned due to the energy difference between levels (see Figure 4b). As a result, there are hardly any final states in the scattering jump to contribute to the current. Thus, the predominant presence of SCSs in ultrahigh-mobility 2DESs explains why the current plummets.
In our phenomenological model, the former expression for δ ( E α E α ) corresponds to a ultrahigh-mobility 2DES; i.e., it is mainly made up of SCSs. The latter is for a lower-mobility 2DES, i.e., the coherent states are predominant. In between these two scenarios, we propose a general expression for δ ( E α E α ) :
δ ( E α E α ) = β w c 1 e π Γ / 2 w c 1 + e π Γ / 2 w c + ( 1 β ) w c 1 + e π Γ / w c 1 e π Γ / w c
where β is phenomenological Γ -dependent parameter, which is defined below. The electron-charged impurity (elastic) scattering jump between SCSs is graphically represented in the schematic diagram of Figure 4b; the scattering is not efficient due to the lack of final states in an elastic jump. The scattering between genuine coherent states is represented in Figure 4a; now the scattering is fully efficient in terms of available final states.

3. Results

The effect of increasing T and B on electrons causes them to interact with more intensity with lattice ions, producing a stronger emission of acoustic phonons and the subsequent Γ increase or Landau level widening. Following Ando et al. [35], acoustic phonon scattering ( γ a c ) is linearly proportional to T. Then γ a c T . This has to be reflected in a rise in Γ , which in our model is expressed as Γ = Γ f Γ s = γ a c . Where Γ f is the LL width for T > 0.1 K, and Γ s = 1.10 5 eV [19] corresponds to the LL width of an ultrahigh-mobility 2D sample. We calculate γ a c and γ a c according to Ando et al. [35]. Now we define β = 1 Γ / Γ c , where Γ c = 10 4 eV is the LL width for a lower-mobility sample [37] ( μ 10 6 cm 2 V 1 s 1 ). In our simulations, T ranges from 0.1 K to 1 K, and T = T 0.1 K.
The action of B is to force an extra oscillating motion in a perpendicular direction to the main B. This would make the interaction of the orbiting electron with the lattice ions stronger and, similarly as with T, emit more acoustic phonons. Thus, the effect of B would be to produce more disorder in the sample, giving rise to extra LL widening.
The relation between γ a c and B is determined as follows [38]: As we have indicated above, the presence of in-plane B alters the electron trajectory in its orbit, increasing the frequency and the number of oscillations in the z-direction. Now the frequency of the z-oscillating motion is Ω > w 0 . This makes the electron trajectory longer, increasing the total orbit length and eventually the damping. This increase in the orbit length is proportionally equivalent to the increase in the number of oscillations in the z-direction. Thus, we introduce the ratio of frequencies after and before connecting B x as a correction factor for the damping factor γ . The final damping parameter γ f is
γ a c = γ a c ( B = 0 ) × 1 + e B z 0 2 2
where z 0 is the effective length of the electron wave function when we consider a parabolic potential for the z-confinement [35,38]. Now, proceeding similarly as before, the increase in LL width is Γ = Γ f Γ s ( B = 0 ) = γ a c , where, in this case, γ a c = γ a c ( B 0 ) γ a c ( B = 0 ) . B ranges from 0. T to 1.0 T, and for every case, β is calculated the same as T.
In Figure 5, we exhibit calculated results for R x x vs. B as a function of T, ranging from T = 0.1 K to 1 K. At T = 0.1 K, the curve shows a surprisingly strong R x x collapse or giant negative magnetoresistance. As T rises, the GNM effect disappears little by little, and it is totally wiped out when T = 1 K. As explained above, as T increases, the disorder of the sample increases too, and the predominant SCSs are progressively destroyed to become individual coherent states. This is reflected in the model with the Dirac delta δ ( E α E α ) that is gradually turned from Equation (16) into Equation (17), being represented in the process by Equation (18). In the curve of T = 0.1 K, the 2DES would be mainly made up of SCSs, while in the curve of T = 1 K, the 2DES would be formed by genuine coherent states. The abrupt collapse is present in the dark and under radiation. The calculated results exhibited in Figure 5 are in qualitative agreement with available experimental results [21,22,24].
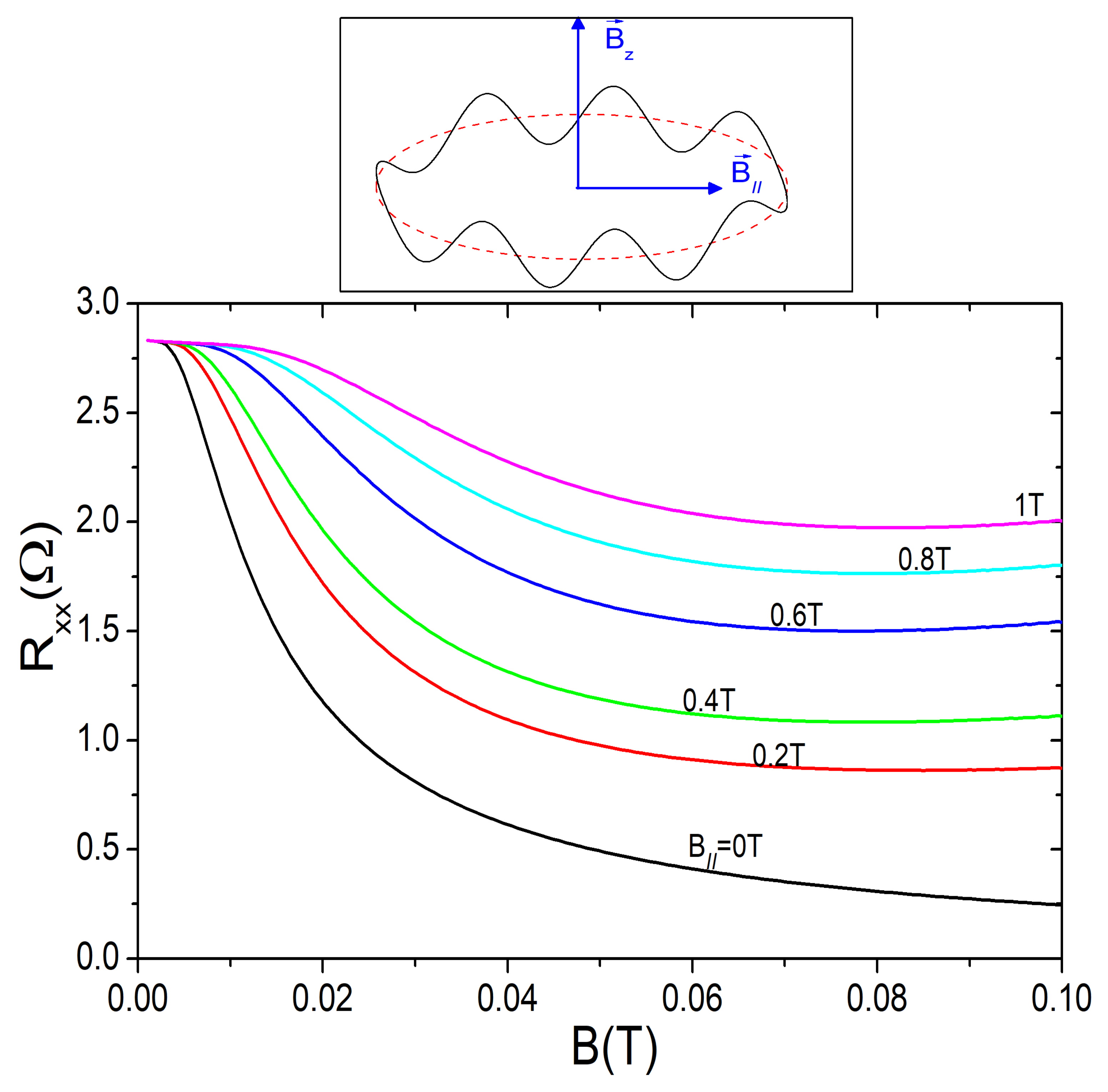
In the lower panel of Figure 6, we present the effect of B on magnetoresistance. Here we present calculated results for R x x vs. B for different values of B ranging from 0T to 1T. As B increases, the effect becomes smaller and smaller, and with 1T, it has nearly disappeared. As in Figure 5, here we find good agreement, at least qualitatively, with experiments [21,22,24].
In Figure 7, we exhibit the effect of electron density on R x x . The electron density goes from n e = 2 .   ×   10 11   cm 2 to 3 .   ×   10 11 cm 2 . As in experiments, we observe that the strong GNM gets more pronounced as n e decreases. The explanation can be straightforwardly established from our model if we consider the tensor relations between σ x x and R x x . Thus, R x x 1 / n e 2 . The general effect is not as important as with T and B . Thus, in our opinion, n e via an external gate voltage would not be fully effective when it comes to tuning the transition from SCSs to coherent states in ultrahigh-mobility samples. The calculated results exhibited in Figure 7 are in good agreement with experiments [22,24].

4. Conclusions

Summarizing, the superposition of coherent states, giving rise to Schrödinger cat states (even and odd) for ultrahigh-mobility 2DESs, has been introduced. Based on this, the experimentally obtained GNM that shows up in these kinds of samples at low T and B has been explained. The effect of electron density on GNM has been analyzed as well. Novel results on the physical nature of ultrahigh-mobility 2DESs based on Schrödinger cat states and how their electronic properties can be tuned and changed by external physical variables have been presented. Furthermore, why some of them can be much more effective than others for that purpose has been explained. The physics described in the present article has potential applications in the tremendous variety of 2D materials that experimentalists are developing right now. Thus, we plan to apply the theoretical model and the results obtained in this article to novel Dirac materials such as hBN-sandwiched monolayer graphene and bilayer graphene. Multilayer gaphene will also be considered. We plan to study the magnetoresitance of those materials based on coherent states or cat states. On the other hand, samples with even higher mobility (than ultrahigh) are called to present multicomponent cat states, and, as a result, more exotic experimental results are expected. Finally, ultrahigh-mobility 2DESs under low B and T can be proposed as a promising bosonic mode-based platform for quantum computing, where T and/or B could be used as external tuning physical properties to control the electronic structure of these systems.

Funding

This research was funded by Ministerio de Ciencia, Innovación y Universidades, grant number PID2023-149072NB-I00.

Data Availability Statement

The original contributions presented in this study are included in the article. Further inquiries can be directed to the corresponding author.

Acknowledgments

This work was supported by the MCYT (Spain) grant PID2023-149072NB-I00.

Conflicts of Interest

The author declare no conflicts of interest.

References

  1. Novoselov, K.S.; Geim, A.K.; Morozov, S.V.; Jiang, D.E.; Zhang, Y.; Dubonos, S.V.; Grigorieva, I.V.; Firsov, A.A. Electric field effect in atomically thin carbon films. Science 2004, 306, 666–669. [Google Scholar] [CrossRef]
  2. Li, X.; Tao, L.; Chen, Z.; Fang, H.; Li, X.; Wang, X.; Xu, J.B.; Zhu, H. Graphene and related two-dimensional materials: Structure-property relationships for electronics and optoelectronics. Appl. Phys. Rev. 2017, 4, 021306. [Google Scholar] [CrossRef]
  3. Iñarrea, J.; Platero, G. Coherent states in microwave-induced resistance oscillations and zero resistance states. Phys. Rev. Res. 2024, 6, 13340. [Google Scholar] [CrossRef]
  4. Iñarrea, J. Quantum superposition in ultra-high mobility 2D photo-transport. arXiv 2025, arXiv:2507.17630. [Google Scholar] [CrossRef]
  5. Kerner, E.H. Note on the Forced and Damped Oscillator in Quantum Mechanics. Can. J. Phys. 1958, 36, 371. [Google Scholar] [CrossRef]
  6. Park, K. Radiation-induced zero-resistance state at low magnetic fields and near half-filling of the lowest Landau level. Phys. Rev. B 2004, 69, 201301. [Google Scholar] [CrossRef][Green Version]
  7. Iñarrea, J. Linear polarization sensitivity of magnetotransport in irradiated two-dimensional electron systems. J. Appl. Phys. 2013, 113, 183717. [Google Scholar] [CrossRef]
  8. Iñarrea, J.; Platero, G. Microwave-induced resistance oscillations and zero-resistance states in two-dimensional electron systems with two occupied subbands. Phys. Rev. B 2011, 84, 075313. [Google Scholar] [CrossRef]
  9. Mani, R.G.; Smet, J.H.; von Klitzing, K.; Narayanamurti, V.; Johnson, W.B.; Umansky, V. Zero-resistance states induced by electromagnetic-wave excitation in GaAs/AlGaAs heterostructures. Nature 2002, 420, 646. [Google Scholar] [CrossRef]
  10. Zudov, M.A.; Lu, R.R.; Pfeiffer, N.; West, K.W. Evidence for a New Dissipationless Effect in 2D Electronic Transport. Phys. Rev. Lett. 2003, 90, 046807. [Google Scholar] [CrossRef]
  11. Dodonov, V.V. Nonclassical states in quantum optics: A ‘squeezed’ review of the first 75 years. J. Opt. B Quantum Semiclass Opt. 2002, 4, R1. [Google Scholar] [CrossRef]
  12. Yurke, B.; Stoler, D. Generating quantum mechanical superpositions of macroscopically distinguishable states via amplitude dispersion. Phys. Rev. Lett. 1986, 57, 13. [Google Scholar] [CrossRef] [PubMed]
  13. Noel, M.W.; Stroud, C.R. Excitation of an Atomic Electron to a Coherent Superposition of Macroscopically Distinct States. Phys. Rev. Lett. 1986, 77, 1913. [Google Scholar] [CrossRef] [PubMed]
  14. Man’ko, V.I. Theory of Nonclassical States of Light; Taylor and Francis: London, UK; New York, NY, USA, 2003; Chapter 4. [Google Scholar]
  15. Srodinger, E. Der stetige Übergang von der Mikro- zur Makromechanik. Die Naturwissenschften 1926, 14, 664. [Google Scholar] [CrossRef]
  16. Glauber, R.J. Coherent and incoherent states of the radiation field. Phys. Rev. 1963, 131, 2766. [Google Scholar] [CrossRef]
  17. Cohen-Tannoudji, C.; Diu, B.; Laloë, F. Quantum Mechanics; Wiley and Sons: Paris, France, 1991. [Google Scholar]
  18. Hatke, A.T.; Zudov, M.A.; Pfeiffer, L.N.; West, K.W. Giant microwave photoresistivity in high-mobility quantum Hall systems. Phys. Rev. B 2011, 83, 121301. [Google Scholar] [CrossRef]
  19. Du, D.Y.R.R.; Pfeiffer, L.N.; West, K.W. Observation of a Cyclotron Harmonic Spike in Microwave-Induced Resistances in Ultraclean GaAs/AlGaAs Quantum Wells. Phys. Rev. Lett. 2010, 105, 246802. [Google Scholar]
  20. Volkov, V.A.; Zabolotnykh, A.A. Bernstein modes and giant microwave response of a two-dimensional electron system. Phys. Rev. B 2014, 89, 121410. [Google Scholar] [CrossRef]
  21. Bockhorn, L.; Barthold, P.; Schuh, D.; Wegscheider, W.; Haug, R.J. Magnetoresistance in a high-mobility two-dimensional electron gas. Phys. Rev. B 2011, 83, 113301. [Google Scholar] [CrossRef]
  22. Mani, R.G.; Kriisa, A.; Wegscheider, W. Size-dependent giant-magnetoresistance in millimeter scale GaAs/AlGaAs 2D electron devices. Sci. Rep. 2013, 3, 2747. [Google Scholar] [CrossRef]
  23. Iñarrea, J.; Bockhorn, L.; Haug, R.J. Negative huge magnetoresistance in high-mobility 2D electron gases: DC-current dependence. Europhys. Lett. 2016, 115, 17005. [Google Scholar] [CrossRef]
  24. Bockhorn, L.; Schuh, D.; Reichl, C.; Wegscheider, W.; Haug, R.J. Influence of the electron density on the giant negative magnetoresistance in two-dimensional electron gases. Phys. Rev. B 2024, 109, 205416. [Google Scholar] [CrossRef]
  25. Horn-Cosfeld, B.; Schluck, J.; Lammert, J.; Cerchez, M.; Heinzel, T.; Pierz, K.; Schumacher, H.W.; Mailly, D. Relevance of weak and strong classical scattering for the giant negative magnetoresistance in two-dimensional electron gases. Phys. Rev. B 2021, 104, 045306. [Google Scholar] [CrossRef]
  26. Wang, Z.T.; Hilke, M.; Fong, N.; Austing, D.G.; Studenikin, S.A.; West, K.W.; Pfeiffer, L.N. Nonlinear transport phenomena and current-induced hydrodynamics in ultrahigh mobility two-dimensional electron gas. Phys. Rev. B 2023, 107, 195406. [Google Scholar] [CrossRef]
  27. Murakawa, H.; Nakaoka, Y.; Iwase, K.; Kida, T.; Hagiwara, M.; Sakai, H.; Hanasaki, N. Giant negative magnetoresistance in the layered semiconductor CeTeSb with variable magnetic polaron density. Phys. Rev. B 2023, 107, 165138. [Google Scholar] [CrossRef]
  28. Poudel, R.; Wijewardena, U.K.; Nanayakkara, T.N.; Kriisa, A.; Reichl, C.; Wegscheider, W.; Mani, R.G. Current scaling of the magnetoresistance peaks in the microwave radiation induced magnetoresistance oscillations. Sci. Rep. 2025, 15, 27171. [Google Scholar] [CrossRef]
  29. Samaraweera, R.L.; Gunawardana, B.; Nanayakkara, T.R.; Munasinghe, R.C.; Kriisa, A.; Reichl, C.; Wegscheider, W.; Mani, R.G. Study of narrow negative magnetoresistance effect in ultra-high mobility GaAs/AlGaAs 2DES under microwave photo-excitation. Sci. Rep. 2020, 10, 781. [Google Scholar] [CrossRef]
  30. Wijewardena, U.K.; Nanayakkara, T.R.; Kriisa, A.; Reichl, C.; Wegscheider, W.; Mani, R.G. Size dependence- and induced transformations- of fractional quantum Hall effects under tilted magnetic fields. Sci. Rep. 2022, 12, 19204. [Google Scholar] [CrossRef]
  31. de Matos Filho, R.L.; Vogel, W. Even and Odd Coherent States of the Motion of a Trapped Ion. Phys. Rev. Lett. 1996, 76, 608. [Google Scholar] [CrossRef]
  32. Cirac, J.I.; Lewenstein, M.; Mølmer, K.; Zoller, P. Quantum superposition states of Bose–Einstein condensates. Phys. Rev. A 1998, 57, 1208. [Google Scholar] [CrossRef]
  33. Cerf, N.J.; Leuchs, G.; Polzik, E.S. Quantum Information with Continuous Variables of Atoms and Light; Imperial College Press: London, UK, 2007. [Google Scholar]
  34. Ridley, B.K. Quantum Processes in Semiconductors, 4th ed.; Oxford University Press: Oxford, UK, 1993. [Google Scholar]
  35. Ando, T.; Fowler, A.; Stern, F. Electronic properties of two-dimensional systems. Rev. Mod. Phys. 1982, 54, 437. [Google Scholar] [CrossRef]
  36. Askerov, B.M. Electron Transport Phenomena in Semiconductors; World Scientific: Singapore, 1994. [Google Scholar]
  37. Studenikin, S.A.; Byszewski, M.; Maude, D.K.; Potemski, M.; Sachrajda, A.; Wasilewski, Z.R.; Hilke, M.; Pfeiffer, L.N.; West, K.W. The microwave induced resistance response of a high mobility 2DEG from the quasi-classical limit to the quantum Hall regime. Phys. E 2006, 54, 73. [Google Scholar] [CrossRef][Green Version]
  38. Davies, J.H. The Physics of Low-Dimensional Semiconductors; Cambridge University Press: Cambridge, UK, 1997. [Google Scholar]
Figure 1. Schematic diagram of the even and odd coherent cat states. These states are superpositions of two coherent states of the quantum harmonic oscillator of equal amplitude but separated by π radians. Those states are described by oscillating Gaussian wave packets (time dependence). Plus sign corresponds to even and minus to odd. The corresponding probability density is exhibited (even or odd).
Figure 1. Schematic diagram of the even and odd coherent cat states. These states are superpositions of two coherent states of the quantum harmonic oscillator of equal amplitude but separated by π radians. Those states are described by oscillating Gaussian wave packets (time dependence). Plus sign corresponds to even and minus to odd. The corresponding probability density is exhibited (even or odd).
Applsci 15 11841 g001
Figure 2. (a) Even coherent state probability density. Quantum interference gives rise to peaks at around w c t = π / 2 and 3 π / 2 and x 0 . (b) Odd coherent state probability density. For both (even and odd), the probability density peaks turn up at the same points. The probability densities shown are based on experimental values [18,19]. (c) Schematic diagram for an even or odd coherent state; the two compnents of the state are harmonically oscllating under the same parabolic potential.
Figure 2. (a) Even coherent state probability density. Quantum interference gives rise to peaks at around w c t = π / 2 and 3 π / 2 and x 0 . (b) Odd coherent state probability density. For both (even and odd), the probability density peaks turn up at the same points. The probability densities shown are based on experimental values [18,19]. (c) Schematic diagram for an even or odd coherent state; the two compnents of the state are harmonically oscllating under the same parabolic potential.
Applsci 15 11841 g002
Figure 3. (Upper panel): Schematic diagram of scattering process between coherent states Ψ α and Ψ α . The scattering is quasi-elastic because the scattering source is based on charged impurities. The probability density for both coherent states is a constant-shaped Gaussian wave packet and the process evolution time is the cyclotron period, i.e., τ = 2 π / w c = T c . (Lower panel): The same applies for the Schrödinger cat state case. The energy difference between populated states is 2 w c ; every other state is populated. Every Schrödinger cat state is made up of two standard coherent states, where one is delayed relative to the other in π radians. The schematic diagram of the lower panel corresponds to the scattering process of even Schrödinger cat states.
Figure 3. (Upper panel): Schematic diagram of scattering process between coherent states Ψ α and Ψ α . The scattering is quasi-elastic because the scattering source is based on charged impurities. The probability density for both coherent states is a constant-shaped Gaussian wave packet and the process evolution time is the cyclotron period, i.e., τ = 2 π / w c = T c . (Lower panel): The same applies for the Schrödinger cat state case. The energy difference between populated states is 2 w c ; every other state is populated. Every Schrödinger cat state is made up of two standard coherent states, where one is delayed relative to the other in π radians. The schematic diagram of the lower panel corresponds to the scattering process of even Schrödinger cat states.
Applsci 15 11841 g003
Figure 4. Schematic diagrams representing electron-charged impurity scattering (elastic) between Landau levels. (a) Case of individual coherent states. The initial and final density of states is very high. E = w c . (b) Case of Schrödinger cat states. E = 2 w c . The final density of stats is very low due to energy difference between Landau levels and the quasi-elastic scattering jump.
Figure 4. Schematic diagrams representing electron-charged impurity scattering (elastic) between Landau levels. (a) Case of individual coherent states. The initial and final density of states is very high. E = w c . (b) Case of Schrödinger cat states. E = 2 w c . The final density of stats is very low due to energy difference between Landau levels and the quasi-elastic scattering jump.
Applsci 15 11841 g004
Figure 5. Effect of temperature on magnetoresistance. Calculated R x x vs. B as a function of T, ranging from T = 0.1 K to 1 K. As T increases, R x x increases too, and the giant negative magnetoresistance effect is gradually wiped out. According to our model, during this temperature raise, the Schrödinger cat states break up and gradually turn into standard coherent states.
Figure 5. Effect of temperature on magnetoresistance. Calculated R x x vs. B as a function of T, ranging from T = 0.1 K to 1 K. As T increases, R x x increases too, and the giant negative magnetoresistance effect is gradually wiped out. According to our model, during this temperature raise, the Schrödinger cat states break up and gradually turn into standard coherent states.
Applsci 15 11841 g005
Figure 6. Effect of parallel magnetic field ( B ) on magnetoresistance. Upper panel: schematic diagram for the semiclassic electron trajectory in the presence of B . Lower panel: calculated magnetoresistance vs. B as a function of B , ranging from 0 T to 1 T. As with T, as B increases, the giant negative magnetoresistance effect gradually disappears. Increasing B destroys the Schrödinger cat states, turning them into standard coherent states.
Figure 6. Effect of parallel magnetic field ( B ) on magnetoresistance. Upper panel: schematic diagram for the semiclassic electron trajectory in the presence of B . Lower panel: calculated magnetoresistance vs. B as a function of B , ranging from 0 T to 1 T. As with T, as B increases, the giant negative magnetoresistance effect gradually disappears. Increasing B destroys the Schrödinger cat states, turning them into standard coherent states.
Applsci 15 11841 g006
Figure 7. Effect of electron density ( n e ) on R x x . Calculated magnetoresistance vs. B. The electron density goes from n e = 2 .   ×   10 11 cm 2 to 3 .   ×   10 11 cm 2 . As in experiments, we conclude that the GNM gets more pronounced as n e decreases. Nevertheless, GNM can not be tuned as with T or B . Thus, the system remains made up of Schrödinger cat states irrespective of the electron density.
Figure 7. Effect of electron density ( n e ) on R x x . Calculated magnetoresistance vs. B. The electron density goes from n e = 2 .   ×   10 11 cm 2 to 3 .   ×   10 11 cm 2 . As in experiments, we conclude that the GNM gets more pronounced as n e decreases. Nevertheless, GNM can not be tuned as with T or B . Thus, the system remains made up of Schrödinger cat states irrespective of the electron density.
Applsci 15 11841 g007
Disclaimer/Publisher’s Note: The statements, opinions and data contained in all publications are solely those of the individual author(s) and contributor(s) and not of MDPI and/or the editor(s). MDPI and/or the editor(s) disclaim responsibility for any injury to people or property resulting from any ideas, methods, instructions or products referred to in the content.

Share and Cite

MDPI and ACS Style

Iñarrea, J. Schrödinger Cat States in Giant Negative Magnetoresistance of 2D Electron Systems. Appl. Sci. 2025, 15, 11841. https://doi.org/10.3390/app152111841

AMA Style

Iñarrea J. Schrödinger Cat States in Giant Negative Magnetoresistance of 2D Electron Systems. Applied Sciences. 2025; 15(21):11841. https://doi.org/10.3390/app152111841

Chicago/Turabian Style

Iñarrea, Jesús. 2025. "Schrödinger Cat States in Giant Negative Magnetoresistance of 2D Electron Systems" Applied Sciences 15, no. 21: 11841. https://doi.org/10.3390/app152111841

APA Style

Iñarrea, J. (2025). Schrödinger Cat States in Giant Negative Magnetoresistance of 2D Electron Systems. Applied Sciences, 15(21), 11841. https://doi.org/10.3390/app152111841

Note that from the first issue of 2016, this journal uses article numbers instead of page numbers. See further details here.

Article Metrics

Back to TopTop