Electric Field and Charge Characteristics at the Gas–Solid Interface of a Scaled HVDC Wall Bushing Model
Abstract
1. Introduction
2. Mathematical Model
2.1. Charge Density Distribution Equation
2.2. Accumulation Equation of Gas–Solid Interface Charge
2.2.1. Weak Ionized Gas Conductance Model
2.2.2. Solid-Side Charge Accumulation Model
2.2.3. Surface Charge Accumulation Model
2.3. Boundary Conditions
2.4. Parameters of the Simulation
3. Simulation Analysis
3.1. Electrostatic Field Simulation of an 800 kV Wall Bushing
3.2. Scaled Model of the Core of a DC Wall Bushing
4. Discussion
4.1. Different Voltage Levels
4.2. Different Voltage Application Times
4.3. Actual Operating Conditions
5. Conclusions
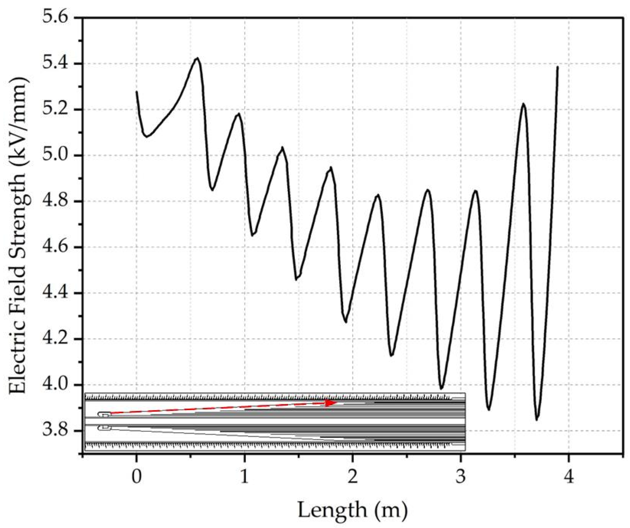
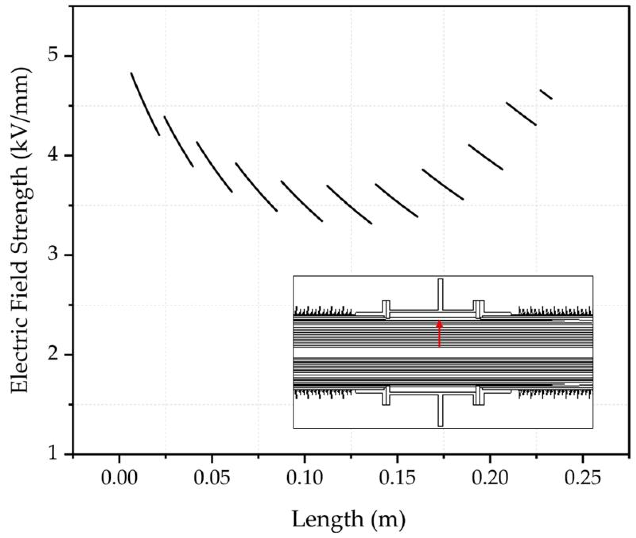
- On the inclined surface of the gas–solid interface in the scaled-down core model, accumulated charges alternate between positive and negative. The maximum charge density, 1.5 × 10−5 C/m2, occurs near the core corner, where the electric field strength is also highest. Consequently, the vicinity of the core corner represents a weak insulation region on the gas–solid interface, where insulation failures, including partial discharges caused by electric field distortion, are likely to occur. This region requires enhanced insulation optimization. Near the flange, the interface predominantly accumulates negative charges.
- Charge accumulation increases with rising voltage levels. Under a 20 kV positive voltage, charge accumulation stabilizes after 480 min. However, as the voltage application continues, the overall charge distribution remains unchanged, while the maximum charge density begins to decrease after 480 min. The charge density in this region remains the highest.
- Simulating the scaled model at actual operating conditions, specifically at 90 °C, induces temperature gradients within the core. These gradients create discontinuities in the core’s bulk conductivity, resulting in bulk charge accumulation. Charges on the core’s inclined surface continue to alternate between positive and negative, maintaining a distribution trend consistent with room temperature. However, the peak charge density on the inclined surface increases, whereas the maximum charge density on the vertical surface decreases to 1.39 × 10−5 C/m2, occurring at the core corner. Under actual operating conditions, charge accumulation at the core’s gas–solid interface becomes more pronounced, with the peak charge density increasing by approximately 40% relative to room temperature.
Author Contributions
Funding
Institutional Review Board Statement
Informed Consent Statement
Data Availability Statement
Acknowledgments
Conflicts of Interest
References
- Liu, S.; Song, S.; Lu, L. Failure Analysis and Design Improvement of ±800 kV HUVDC Wall Bushings. High Volt. Eng. 2019, 45, 2928–2935. [Google Scholar]
- Wang, Q.; Jin, S.; Yuan, S. Simulation of interface charge accumulation progress and DC electric field distribution characteristics of the UHV epoxy impregnated paper-SF6 gas composite insulation wall bushing. High Volt. Eng. 2022, 48, 4102–4112. [Google Scholar]
- Wang, J.; Li, B.T.; Li, Q.M. Impact of Linear Metal Particle on Surface Charge Accumulation of Post Insulator Within DC GIL. Trans. China Electrotech. Soc. 2016, 31, 213–222. [Google Scholar]
- Zhang, B.Y.; Li, Y.X.; Min, D.M. Insight into charge-induced flashover at the gas–solid interface in DC gas-insulated systems. J. Od Phys. D Appl. Phys. 2023, 57, 103001. [Google Scholar] [CrossRef]
- Kindersberger, J.; Wiegart, N.; Boggs, S.A. Ion production rates in SF6 and the relevance thereof to gas-insulated switchgear. In Proceedings of the IEEE Conference on Electrical Insulation and Dielectric Phenomena (CEIDP), Amherst, NY, USA, 20–24 October 1985; pp. 123–129. [Google Scholar]
- Tang, J.; Pan, C.; Wang, D. Development of Studies about Surface Charge Accumulation on Insulating Material under HVDC. Trans. China Electrotech. Soc. 2017, 32, 10–21. [Google Scholar]
- Wang, Q.; Xie, G.; Tian, H. Impact of Temperature on the Transient DC Field Distribution of ±1100 kV UHVDC Wall Bushing. IEEE Trans. Power Deliv. 2021, 36, 1449–1457. [Google Scholar] [CrossRef]
- Qi, B.; Gao, C.; Li, C. Effect of surface charge accumulation on flashover voltage of GIS insulator in SF6 under DC and AC voltages. In Proceedings of the 2015 IEEE Conference on Electrical Insulation and Dielectric Phenomena (CEIDP), Ann Arbor, MI, USA, 18–21 October 2015; pp. 848–851. [Google Scholar]
- Winter, A.; Kindersberger, J. Transient field distribution in gas-solid insulation systems under DC voltages. IEEE Trans. Dielectr. Electr. Insul. 2014, 21, 116–128. [Google Scholar] [CrossRef]
- Wiegart, N.; Niemeyer, L.; Pinnekamp, F.; Boeck, W.; Kindersberger, J.; Morrow, R.; Zaengl, W.; Zwicky, M.; Gallimberti, I.; Boggs, S.A. Inhomogeneous field breakdown in GIS-the prediction of breakdown probabilities and voltages. II. Ion density and statistical time lag. IEEE Trans. Power Deliv. 1988, 3, 931–938. [Google Scholar] [CrossRef]
- Wang, D.; Tang, J.; Liu, K. Charge Accumulation on Post Insulator Surface Under HVDC in GIS. High Volt. Eng. 2015, 41, 3073–3081. [Google Scholar]
- Luo, Y.; Tang, T.; Pan, C. Dynamics of surface charge and electric field distributions on basin-type insulator in GIS/GIL due to voltage polarity reversal. High Volt. 2020, 5, 151–159. [Google Scholar] [CrossRef]
- Zhang, S.Q.; Li, J.Z.; Tang, H. Long-time Flashover Discharge Characteristics of Gas-solid Interface of UHVDC Bushing and its Influencing Factors. In Proceedings of the CSEE, Shanghai, China, 27–29 February 2024; Volume 44, pp. 5776–5787. [Google Scholar]
- Zhang, J.; Wei, X.; Xia, G. Operating Characteristic Analysis of DC Wall Bushings in CSG. Insul. Surge Arresters 2019, 290, 230–236. [Google Scholar]
- Zhang, S.; Peng, Z.; Liu, P. Inner insulation structure optimization of UHV rip oil-SF6 bushing using electro-thermal simulation and advanced equal margin design method. IEEE Trans. Dielectr. Electr. Insul. 2014, 21, 1768–1777. [Google Scholar] [CrossRef]
- Nakanishi, K.; Yoshioka, A.; Arahata, Y. Surface charging on epoxy spacer at DC stress in compressed SF6 gas. IEEE Trans. Power Appar. Syst. 1983, 102, 3919–3927. [Google Scholar] [CrossRef]
- Zhang, G.; Wang, B.; Wang, Q. Simulation of Accumulated Surface Charge Effect on DC Cone-type Spacers. High Volt. Eng. 2010, 36, 335–339. [Google Scholar]
- Li, N.; Peng, Z. Electric Field Modeling and Solving for Gas/Solid Insulation System. J. Xi’an Jiaotong Univ. 2019, 36, 335–339. [Google Scholar]
- Shi, S. Surface Charge Accumulation Characteristics of Converter Transformer Valve-Side Bushing and Influence on DC Transient Electric Field. IEEE Trans. Dielectr. Electr. Insul. 2025, 32, 2304–2313. [Google Scholar] [CrossRef]
- Chen, M.; Liu, X.; Sun, Y. Influence of material volume conductivity on electric field and surface charge of RIP valve-side bushing core under DC electro-thermal coupling stress. IEEE Trans. Dielectr. Electr. Insul. 2020, 27, 164–171. [Google Scholar] [CrossRef]
- Chen, M.; Liu, X.D.; Liang, C.J. Study on Surface Charge Accumulation Characteristics of Resin Impregnated Paper Wall Bushing Core Under Positive DC Voltage. Energies 2019, 12, 4420. [Google Scholar] [CrossRef]
- Ruan, H.O.; Hu, S.X.; Song, J.X.; Liu, X. Impact of defect structures on interfacial and insulation properties in epoxy-impregnated aramid paper. IEEE Trans. Dielectr. Electr. Insul. 2024, 31, 1815–1822. [Google Scholar] [CrossRef]
- Kong, X.; Hou, C.; Li, F.; Du, H.S.; Tanaka, Y.; Du, B. Conductivity and breakdown properties of epoxy resin for HVDC bushing by multifunctional modifier. IEEE Trans. Dielectr. Electr. Insul. 2024, 31, 2531–2538. [Google Scholar] [CrossRef]
- Straumann, U.; Schuller, M.; Franck, C.M. Theoretical investigation of HVDC disc spacer charging in SF6 gas insulated systems. IEEE Trans. Dielectr. Electr. Insul. 2012, 19, 2196–2205. [Google Scholar] [CrossRef]
- IEC 62199-2004; Bushing for DC Application[S]. International Electrotechnical Commission: Geneva, Switzerland, 2004.
- Zhang, Y.X.; Zhang, L.; Tang, Z. Effect of external ambient temperature and internal gas pressure on surface charge accumulation of HVDC GIL. Insul. Mater. 2024, 57, 80–87. [Google Scholar]
- Du, B.X.; Dong, J.N.; Li, J. Gas convection affecting surface charge and electric field distribution around tri-post insulators in ±800 kV GIL. IEEE Trans. Dielectr. Electr. Insul. 2021, 28, 1372–1379. [Google Scholar] [CrossRef]
- Ma, G.M.; Zhou, H.Y.; Lu, S.J. Effect of material volume conductivity on surface charges accumulation on spacers under DC electro-thermal coupling stress. IEEE Trans. Dielectr. Electr. Insul. 2018, 25, 1211–1220. [Google Scholar] [CrossRef]
- Li, X.L.; Wang, M.D.; Zhang, G.K. Surface charge characteristics of DC-GIL insulator under multiphysics coupled field: Effects of ambient temperature, load current, and gas pressure. IEEE Trans. Dielectr. Electr. Insul. 2022, 29, 1530–1539. [Google Scholar] [CrossRef]
- Vulević, B.; Osmokrović, P. Evaluation of uncertainty in the measurement of environmental electromagnetic fields. Nucl. Technol. Radiat. Prot. 2014, 29, 279–284. [Google Scholar] [CrossRef]














| Parameters | Value |
|---|---|
Disclaimer/Publisher’s Note: The statements, opinions and data contained in all publications are solely those of the individual author(s) and contributor(s) and not of MDPI and/or the editor(s). MDPI and/or the editor(s) disclaim responsibility for any injury to people or property resulting from any ideas, methods, instructions or products referred to in the content. |
© 2025 by the authors. Licensee MDPI, Basel, Switzerland. This article is an open access article distributed under the terms and conditions of the Creative Commons Attribution (CC BY) license (https://creativecommons.org/licenses/by/4.0/).
Share and Cite
Lu, W.; Ouyang, X.; Zhang, J.; Xie, X.; Wei, X.; Wang, F.; Hou, M.; Chen, S. Electric Field and Charge Characteristics at the Gas–Solid Interface of a Scaled HVDC Wall Bushing Model. Appl. Sci. 2025, 15, 11833. https://doi.org/10.3390/app152111833
Lu W, Ouyang X, Zhang J, Xie X, Wei X, Wang F, Hou M, Chen S. Electric Field and Charge Characteristics at the Gas–Solid Interface of a Scaled HVDC Wall Bushing Model. Applied Sciences. 2025; 15(21):11833. https://doi.org/10.3390/app152111833
Chicago/Turabian StyleLu, Wenhao, Xiaodi Ouyang, Jinyin Zhang, Xiang Xie, Xiaoxing Wei, Feng Wang, Mingchun Hou, and She Chen. 2025. "Electric Field and Charge Characteristics at the Gas–Solid Interface of a Scaled HVDC Wall Bushing Model" Applied Sciences 15, no. 21: 11833. https://doi.org/10.3390/app152111833
APA StyleLu, W., Ouyang, X., Zhang, J., Xie, X., Wei, X., Wang, F., Hou, M., & Chen, S. (2025). Electric Field and Charge Characteristics at the Gas–Solid Interface of a Scaled HVDC Wall Bushing Model. Applied Sciences, 15(21), 11833. https://doi.org/10.3390/app152111833

