Oleogels Based on Starch and Natural Extracts from Cassava (Manihot esculenta) as a Fat Replacement in Cookies
Abstract
1. Introduction
2. Materials and Methods
2.1. Materials
2.2. Methods
2.2.1. Extraction Procedure
2.2.2. Development of Oleogels
2.2.3. Development of Cookies
2.2.4. Determination of Total Phenolic Content and Antioxidant Capacity
2.2.5. Determination of Physicochemical and Proximal Properties
2.2.6. Rheological Analysis
2.2.7. Microscopy Analysis
2.2.8. Sensorial Analysis
2.2.9. Statistical Analysis
3. Results and Discussion
3.1. Cassava Leaf Extracts—CLE
3.2. Oleogels Based on Starch and Extracts
3.2.1. Physicochemical Properties of Oleogels
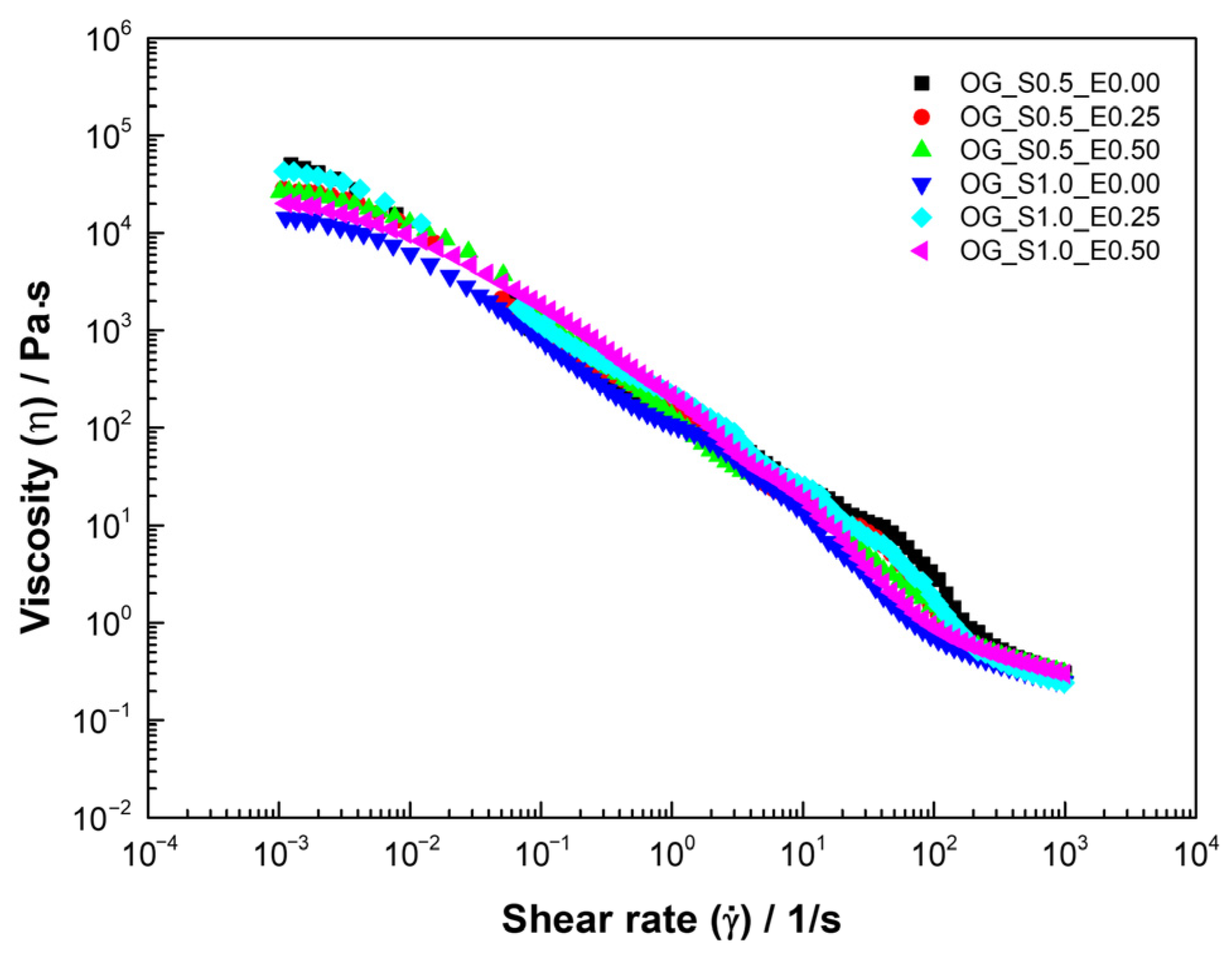
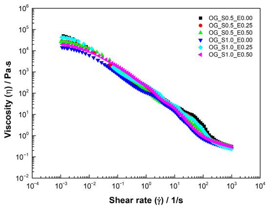
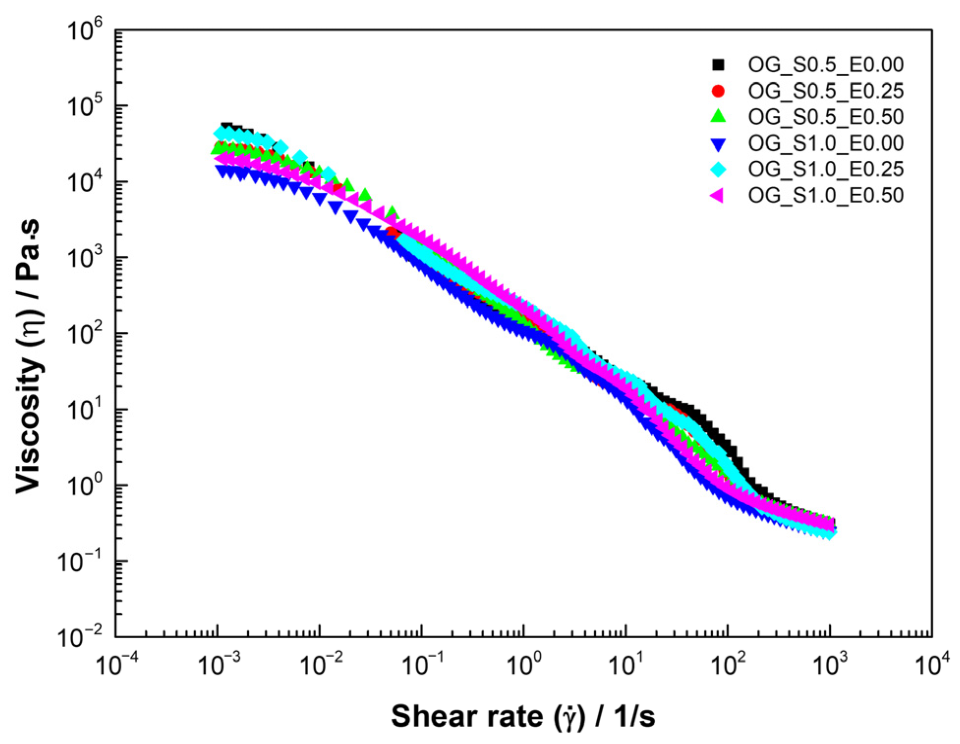
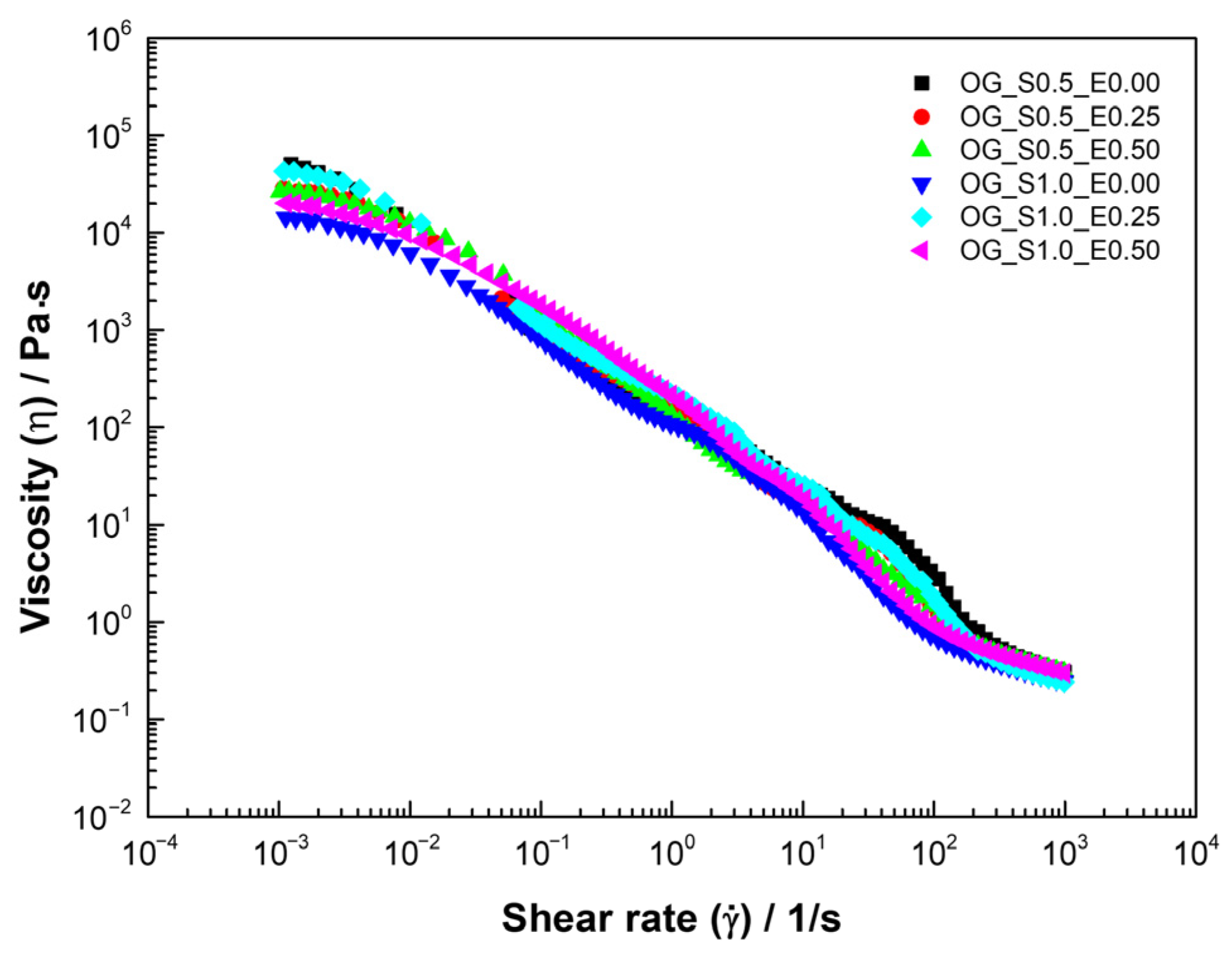
3.2.2. Viscous Properties of Oleogels
3.2.3. Viscoelastic Properties of Oleogels
3.2.4. Microstructural Properties of Oleogels
3.3. Low-Fat Cookies
3.3.1. Physicochemical Properties of Cookies
3.3.2. Total Phenolic Content and Antioxidant Capacity
3.3.3. Color Properties
3.3.4. Sensorial Properties
4. Conclusions
Author Contributions
Funding
Institutional Review Board Statement
Informed Consent Statement
Data Availability Statement
Acknowledgments
Conflicts of Interest
References
- Żbikowska, A.; Onacik-Gür, S.; Kowalska, M.; Rutkowska, J. Trans Fatty Acids in Polish Pastry. J. Food Prot. 2019, 82, 1028–1033. [Google Scholar] [CrossRef]
- Vieira, S.A.; McClements, D.J.; Decker, E.A. Challenges of Utilizing Healthy Fats in Foods. Adv. Nutr. 2015, 6, 309S–317S. [Google Scholar] [CrossRef]
- Marak, N.R.; Malemnganbi, C.C.; Marak, C.R.; Mishra, L.K. Functional and Antioxidant Properties of Cookies Incorporated with Foxtail Millet and Ginger Powder. J. Food Sci. Technol. 2019, 56, 5087–5096. [Google Scholar] [CrossRef] [PubMed]
- Najjar, Z.; Kizhakkayil, J.; Shakoor, H.; Platat, C.; Stathopoulos, C.; Ranasinghe, M. Antioxidant Potential of Cookies Formulated with Date Seed Powder. Foods 2022, 11, 448. [Google Scholar] [CrossRef] [PubMed]
- Onacik-Gür, S.; Żbikowska, A. Effect of High-Oleic Rapeseed Oil Oleogels on the Quality of Short-Dough Biscuits and Fat Migration. J. Food Sci. Technol. 2020, 57, 1609–1618. [Google Scholar] [CrossRef] [PubMed]
- Kupiec, M.; Zbikowska, A.; Marciniak-Lukasiak, K.; Zbikowska, K.; Kowalska, M.; Kowalska, H.; Rutkowska, J. Study on the Introduction of Solid Fat with a High Content of Unsaturated Fatty Acids to Gluten-Free Muffins as a Basis for Designing Food with Higher Health Value. Int. J. Mol. Sci. 2021, 22, 9220. [Google Scholar] [CrossRef]
- Dassanayake, L.S.K.; Kodali, D.R.; Ueno, S. Formation of Oleogels Based on Edible Lipid Materials. Curr. Opin. Colloid. Interface Sci. 2011, 16, 432–439. [Google Scholar] [CrossRef]
- Calligaris, S.; Manzocco, L.; Valoppi, F.; Nicoli, M.C. Effect of Palm Oil Replacement with Monoglyceride Organogel and Hydrogel on Sweet Bread Properties. Food Res. Int. 2013, 51, 596–602. [Google Scholar] [CrossRef]
- Sivakanthan, S.; Fawzia, S.; Mundree, S.; Madhujith, T.; Karim, A. Investigation of the Influence of Minor Components and Fatty Acid Profile of Oil on Properties of Beeswax and Stearic Acid-Based Oleogels. Food Res. Int. 2024, 184, 114213. [Google Scholar] [CrossRef]
- Shuai, X.; Li, Y.; Zhang, M.; Wei, C.; Du, L.; Liu, C.; Chen, J.; Dai, T. Effect of Different Oleogelation Mechanisms on Physical Properties and Oxidative Stability of Macadamia Oil-Based Oleogels and Its Application. LWT 2024, 198, 115978. [Google Scholar] [CrossRef]
- Li, L.; Liu, G. Engineering Effect of Oleogels with Different Structuring Mechanisms on the Crystallization Behavior of Cocoa Butter. Food Chem. 2023, 422, 136292. [Google Scholar] [CrossRef]
- Palla, C.; Giacomozzi, A.; Genovese, D.B.; Carrín, M.E. Multi–Objective Optimization of High Oleic Sunflower Oil and Monoglycerides Oleogels: Searching for Rheological and Textural Properties Similar to Margarine. Food Struct. 2017, 12, 1–14. [Google Scholar] [CrossRef]
- Difonzo, G.; Pasqualone, A.; Silletti, R.; Cosmai, L.; Summo, C.; Paradiso, V.M.; Caponio, F. Use of Olive Leaf Extract to Reduce Lipid Oxidation of Baked Snacks. Food Res. Int. 2018, 108, 48–56. [Google Scholar] [CrossRef] [PubMed]
- Bialek, M.; Rutkowska, J.; Bialek, A.; Adamska, A. Oxidative Stability of Lipid Fraction of Cookies Enriched with Chokeberry Polyphenols Extract. Pol. J. Food Nutr. Sci. 2016, 66, 77–84. [Google Scholar] [CrossRef]
- Mišan, A.; Mimica-Dukić, N.; Sakač, M.; Mandić, A.; Sedej, I.; Šimurina, O.; Tumbas, V. Antioxidant Activity of Medicinal Plant Extracts in Cookies. J. Food Sci. 2011, 76, C1239–C1244. [Google Scholar] [CrossRef] [PubMed]
- Qiu, H.; Qiu, Z.; Chen, Z.; Liu, L.; Wang, J.; Jiang, H.; Zhang, H.; Liu, G. qin Antioxidant Properties of Blueberry Extract in Different Oleogel Systems. LWT 2021, 137, 110364. [Google Scholar] [CrossRef]
- Laszczyk, M.; Jäger, S.; Simon-Haarhaus, B.; Scheffler, A.; Schempp, C.M. Physical, Chemical and Pharmacological Characterization of a New Oleogel-Forming Triterpene Extract from the Outer Bark of Birch (Betulae Cortex). Planta Med. 2006, 72, 1389–1395. [Google Scholar] [CrossRef]
- Salama, M.A.; Abdin, M.E.; Saleh, M.N.; Abd El-Baset, W.S.; Hendawy, E.A.A.; Ibrahim, A.I. Preparation and Evaluation of Oleogels Incorporated with Moringa Oleifera Leaves Extract in Biscuits Production. Food Technol. Res. J. 2024, 4, 1–15. [Google Scholar] [CrossRef]
- Tao, H.T.; Qiu, B.; Du, F.L.; Xu, T.C.; Liu, L.N.; Lü, F.; Li, K.M.; Liu, W. The Protective Effects of Cassava (Manihot esculenta Crantz) Leaf Flavonoid Extracts on Liver Damage of Carbon Tetrachloride Injured Mice. Afr. J. Tradit. Complement. Altern. Med. 2015, 12, 52–56. [Google Scholar] [CrossRef]
- Laya, A.; Koubala, B.B. Polyphenols in Cassava Leaves (Manihot esculenta Crantz) and Their Stability in Antioxidant Potential after in Vitro Gastrointestinal Digestion. Heliyon 2020, 6, e03567. [Google Scholar] [CrossRef]
- Sharma, N.; Gulati, A. Natural Vitamins as Food Antimicrobials in Stem and Thorn Extracts of Hippophae Species Studied by HPLC-ESI-MS. Food Humanit. 2023, 1, 415–420. [Google Scholar] [CrossRef]
- Makieu, P.; Kanu, M.S.; Sillah, A.; Sheriff, A. Nutritional Values of Cassava Leaves in Three Districts, Kenema, Kailahun, and Bo, Sierra Leone. Food Humanit. 2025, 4, 100592. [Google Scholar] [CrossRef]
- Ramírez-Brewer, D.; Quintana, S.E.; García-Zapateiro, L.A. Modeling and Optimization of Microwave-Assisted Extraction of Total Phenolics Content from Mango (Mangifera indica) Peel Using Response Surface Methodology (RSM) and Artificial Neural Networks (ANN). Food Chem. X 2024, 22, 101420. [Google Scholar] [CrossRef] [PubMed]
- Zhu, J.; Liu, L.; Li, X.; Zhang, Q.; Wang, Z.; Chen, N.; Wang, H.; Xie, F.; Qi, B.; Jiang, L. Construction of Soybean Oil Bodies–Xanthan Gum Composite Oleogels by Emulsion-Templated Method: Preparation, Characterization, and Stability Analysis. Food Hydrocoll. 2024, 149, 109526. [Google Scholar] [CrossRef]
- Wang, L.; Li, Y.; Li, S.; Qin, Y.; Wu, Z. Oleogels Based on Millet Prolamin and Basil Essential Oil: Fabrication, Characterization, and Application in Puff Pastry and 3D Printing. Int. J. Biol. Macromol. 2025, 329, 147871. [Google Scholar] [CrossRef]
- Pradhan, A.; Anis, A.; Alam, M.A.; Al-Zahrani, S.M.; Jarzebski, M.; Pal, K. Effect of Soy Wax/Rice Bran Oil Oleogel Replacement on the Properties of Whole Wheat Cookie Dough and Cookies. Foods 2023, 12, 3650. [Google Scholar] [CrossRef]
- Singleton, V.L.; Orthofer, R.; Lamuela-Raventós, R.M. [14] Analysis of Total Phenols and Other Oxidation Substrates and Antioxidants by Means of Folin-Ciocalteu Reagent. Methods Enzymol. 1999, 299, 152–178. [Google Scholar] [CrossRef]
- Brand-Williams, W.; Cuvelier, M.E.; Berset, C. Use of a Free Radical Method to Evaluate Antioxidant Activity. LWT-Food Sci. Technol. 1995, 28, 25–30. [Google Scholar] [CrossRef]
- Re, R.; Pellegrini, N.; Proteggente, A.; Pannala, A.; Yang, M.; Rice-Evans, C. Antioxidant Activity Applying an Improved ABTS Radical Cation Decolorization Assay. Free Radic Biol. Med. 1999, 26, 1231–1237. [Google Scholar] [CrossRef]
- AOAC. Official Methods of Analysis, 15th ed.; AOAC: Gaithesburg, MD, USA, 1995. [Google Scholar]
- Mieles-Gómez, L.; Lastra-Ripoll, S.E.; Torregroza-Fuentes, E.; Quintana, S.E.; García-Zapateiro, L.A. Rheological and Microstructural Properties of Oil-in-Water Emulsion Gels Containing Natural Plant Extracts Stabilized with Carboxymethyl Cellulose/Mango (Mangiferaindica) Starch. Fluids 2021, 6, 312. [Google Scholar] [CrossRef]
- López-Barraza, D.; Ortega-Ramos, A.; Torregroza-Fuentes, E.; Quintana, S.E.; García-Zapateiro, L.A. Rheological and Functional Properties of Hydrocolloids from Pereskia Bleo Leaves. Fluids 2021, 6, 349. [Google Scholar] [CrossRef]
- ICONTEC Analisis Sensorial. Guia General-GTC 165; ICONTEC Analisis Sensorial: Bogotá, Colombia, 1999. [Google Scholar]
- Tao, H.; Cui, B.; Zhang, H.; Bekhit, A.E.D.; Lu, F. Identification and Characterization of Flavonoids Compounds in Cassava Leaves (Manihot esculenta Crantz) by HPLC/FTICR-MS. Int. J. Food Prop. 2019, 22, 1134–1145. [Google Scholar] [CrossRef]
- Chahyadi, A.; Elfahmi. The Influence of Extraction Methods on Rutin Yield of Cassava Leaves (Manihot esculenta Crantz). Saudi Pharm. J. SPJ 2020, 28, 1466. [Google Scholar] [CrossRef] [PubMed]
- Sriprablom, J.; Winuprasith, T.; Suphantharika, M.; Wongsagonsup, R. Physical Properties and In-Vitro Gastrointestinal Digestion of Oil-in-Water Emulsions Stabilized by Single- and Dual-Modified Cassava Starches with Cross-Linking and Octenylsuccinylation. Int. J. Biol. Macromol. 2024, 262, 129965. [Google Scholar] [CrossRef] [PubMed]
- Abou-Elsoud, M.; Salama, M.; Li, Z.; Wang, S.; Cai, Z.; Ahn, D.U.; Huang, X. Structuring Low-Density Lipoprotein-Based Oleogels with Pectin via an Emulsion-Templated Approach: Formation and Characterization. J. Food Eng. 2025, 387, 112340. [Google Scholar] [CrossRef]
- Miranda, C.G.; Speranza, P.; Sato, A.C.K. Evaluation of Cassava Leaves Extract as a Material to Produce Biopolymer-Based Films. Food Hydrocoll. 2023, 144, 108944. [Google Scholar] [CrossRef]
- Lastra-Ripoll, S.E.; Quintana, S.E.; García-Zapateiro, L.A. Chemical, Technological, and Rheological Properties of Hydrocolloids from Sesame (Sesamum indicum) with Potential Food Applications. Arab. J. Chem. 2022, 15, 104146. [Google Scholar] [CrossRef]
- Campanella, O.H.; Dorward, N.M.; Singh, H. A Study of the Rheological Properties of Concentrated Food Emulsions. J. Food Eng. 1995, 25, 427–440. [Google Scholar] [CrossRef]
- Carrillo-Zurita, R.J.; Pierre, K.; Culler, M.; Rousseau, D. Microstructure and Rheology of Cellulose Bead-Filled Whey Protein Isolate Oleogels. Food Chem. 2025, 470, 142563. [Google Scholar] [CrossRef]
- Tao, X.; Hu, Y.; Liu, Z.; Jiang, K.; Li, J.; Guo, X.; Zhu, B. Marine Sulfated Polysaccharide Affects the Formation Mechanism of Gelatin Emulsion-Based Oleogels. Food Hydrocoll. 2025, 159, 110706. [Google Scholar] [CrossRef]
- Ramírez-Brewer, D.; Quintana-Martinez, S.E.; García-Zapateiro, L.A. Obtaining and Characterization of Natural Extracts from Mango (Mangifera indica) Peel and Its Effect on the Rheological Behavior in New Mango Kernel Starch Hydrogels. Food Chem. 2025, 462, 140949. [Google Scholar] [CrossRef] [PubMed]
- Sarraf, M.; Naji-Tabasi, S.; Beig-Babaei, A.; Moros, J.E.; Carrillo, M.C.S.; Tenorio-Alfonso, A. Developing Edible Oleogels Structure Prepared with Emulsion-Template Approach Based on Soluble Biopolymer Complex. Food Chem. X 2024, 24, 101917. [Google Scholar] [CrossRef]
- Tanislav, A.E.; Pușcaș, A.; Păucean, A.; Mureșan, A.E.; Semeniuc, C.A.; Mureșan, V.; Mudura, E. Evaluation of Structural Behavior in the Process Dynamics of Oleogel-Based Tender Dough Products. Gels 2022, 8, 317. [Google Scholar] [CrossRef]
- Trujillo-Ramírez, D.; Lobato-Calleros, C.; Jaime Vernon-Carter, E.; Alvarez-Ramirez, J. Cooling Rate, Sorbitan and Glyceryl Monostearate Gelators Elicit Different Microstructural, Viscoelastic and Textural Properties in Chia Seed Oleogels. Food Res. Int. 2019, 119, 829–838. [Google Scholar] [CrossRef]
- Zhu, T.; Cui, W.; Jiang, H.; Zhang, T.; Zhang, L.; Yang, C.; Guo, X.; Chen, F. Characterization of Soybean Protein Isolate-Chitosan-Based Emulsion Template-Oleogel as Fast-Frozen Special Fat Substitute and Its Mechanism on the Quality Improvement of Fast-Frozen Food. LWT 2024, 205, 116485. [Google Scholar] [CrossRef]
- Gutiérrez-Luna, K.; Astiasaran, I.; Ansorena, D. Fat Reduced Cookies Using an Olive Oil-Alginate Gelled Emulsion: Sensory Properties, Storage Stability and in Vitro Digestion. Food Res. Int. 2023, 167, 112714. [Google Scholar] [CrossRef] [PubMed]
- Gattuso, A.; Piscopo, A.; Santacaterina, S.; Imeneo, E.; De Bruno, A.; Poiana, M. Fortification of Vegetable Fat with Natural Antioxidants Recovered by Bergamot Pomace for Use as an Ingredient for the Production of Biscuits. Sustain. Food Technol. 2023, 1, 951–961. [Google Scholar] [CrossRef]
- Zhao, M.; Yang, Z.; Rao, J.; Chen, B. Effects of Antioxidants on the Oxidative Stability of Expeller-Pressed High Oleic Soybean Oil (EPHOSO) Oleogel and Cookie. Food Chem. 2025, 470, 142613. [Google Scholar] [CrossRef]
- Feng, Z.; He, D.; Zhang, L.; Li, Q.; Xue, C.; Yi, X.; Liao, L.; Pei, Z.; Shen, X. Preparation of Myofibrillar Protein Oleogels by Emulsion Template Method: Application of Fat Substitute for Sponge Cakes. LWT 2025, 216, 117350. [Google Scholar] [CrossRef]
- Chen, X.; Wang, W. The Lipid-Amylose Complexes Enhance Resistant Starch Content in Candelilla Wax-Based Oleogels Cookies. Int. J. Biol. Macromol. 2024, 278, 134804. [Google Scholar] [CrossRef]
- Grzelczyk, J.; Drożdżyński, P.; Budryn, G.; Czarnecki, A.; Paprocka, Z.; Gałązka-Czarnecka, I. High-Fiber Cookies with Bamboo Flour and Edible Flowers: Evaluation of Structural Properties, Phenolic Content, Antioxidant Activity and Nutritional Value. LWT 2025, 216, 117321. [Google Scholar] [CrossRef]
- Onacik-Gür, S.; Zbikowska, A. The Effect of Green Tea Extract and Oleogels on the Physico-Chemical Properties and Oxidative Stability of Short-Dough Biscuits during Storage. LWT 2022, 172, 114197. [Google Scholar] [CrossRef]
- Sereti, V.; Kotsiou, K.; Biliaderis, C.G.; Lazaridou, A. Emulsion Gel Enriched with a Barley β-Glucan Concentrate for Reducing Saturated Fat in Biscuits. Food Hydrocoll. 2023, 145, 109163. [Google Scholar] [CrossRef]





| No. | Sample Code | Starch % | Extract % | 
|---|---|---|---|
| 1. | OG_S0.5_E0.00 | 0.5 | 0.00 | 
| 2. | OG_S0.5_E0.25 | 0.5 | 0.25 | 
| 3. | OG_S0.5_E0.50 | 0.5 | 0.50 | 
| 4. | OG_S1.0_E0.00 | 1.0 | 0.00 | 
| 5. | OG_S1.0_E0.25 | 1.0 | 0.25 | 
| 6. | OG_S1.0_E0.50 | 1.0 | 0.50 | 
| No. | Sample Code | Oleogels | Butter % | |
|---|---|---|---|---|
| Type | % | |||
| 1. | Control | -- | 0 | 44 | 
| 2. | C_OG_S0.5_E0.00 | OG_S0.5_E0.00 | 22 | 22 | 
| 3. | C_OG_S0.5_E0.25 | OG_S0.5_E0.25 | 22 | 22 | 
| 4. | C_OG_S0.5_E0.50 | OG_S0.5_E0.50 | 22 | 22 | 
| 5. | C_OG_S1.0_E0.00 | OG_S1.0_E0.00 | 22 | 22 | 
| 6. | C_OG_S1.0_E0.25 | OG_S1.0_E0.25 | 22 | 22 | 
| 7. | C_OG_S1.0_E0.50 | OG_S1.0_E0.50 | 22 | 22 | 
| No. | Sample Code | pH | a* | b* | L* | 
|---|---|---|---|---|---|
| 1. | OG_S0.5_E0.00 | 7.50 ± 0.00 d | 0.41 ± 0.22 b | 21.27 ± 0.14 a | 86.37 ± 0.17 c | 
| 2. | OG_S0.5_E0.25 | 7.30 ± 0.01 c | −1.07 ± 0.13 a | 33.18 ± 1.32 b | 62.92 ± 2.84 b | 
| 3. | OG_S0.5_E0.50 | 6.48 ± 0.01 a | −2.32 ± 0.27 c | 23.37 ± 1.43 a | 32.14 ± 1.14 a | 
| 4. | OG_S1.0_E0.00 | 6.37 ± 0.03 c | 0.48 ± 0.59 b | 15.19 ± 2.15 a | 74.34 ± 9.98 b | 
| 5. | OG_S1.0_E0.25 | 6.25 ± 0.01 b | −1.24 ± 0.02 a | 34.82 ± 0.19 b | 72.79 ± 0.92 c | 
| 6. | OG_S1.0_E0.50 | 5.51 ± 0.01 a | −3.05 ± 0.45 c | 32.94 ± 1.67 b | 34.11 ± 2.73 a | 
| No. | Sample Code | λ (s) | n | a | R2 | ||
|---|---|---|---|---|---|---|---|
| 1. | OG_S0.5_E0.00 | 0.16 ± 0.01 a | 60,341.06 ± 0.01 a | 491.75 ± 3.86 a | 0.01 ± 0.00 a | 1.76 ± 0.04 c | 0.99 | 
| 2. | OG_S0.5_E0.25 | 0.15 ± 0.01 bc | 28,584.29 ± 0.01 c | 256.88 ± 2.66 c | 0.01 ± 0.00 a | 1.98 ± 0.06 b | 0.99 | 
| 3. | OG_S0.5_E0.50 | 0.12 ± 0.01 bc | 27,261.68 ± 0.01 d | 177.18 ± 2.94 d | 0.01 ± 0.00 a | 1.54 ± 0.01 d | 0.99 | 
| 4. | OG_S1.0_E0.00 | 0.14 ± 0.01 c | 16,277.37 ± 0.01 f | 198.04 ± 1.80 d | 0.01 ± 0.00 a | 1.19 ± 0.02 e | 0.99 | 
| 5. | OG_S1.0_E0.25 | 0.05 ± 0.00 e | 44,938.55 ± 0.01 b | 313.99 ± 3.08 b | 0.01 ± 0.00 a | 2.00 ± 0.06 a | 0.99 | 
| 6. | OG_S1.0_E0.50 | 0.09 ± 0.01 d | 24,247.58 ± 0.01 e | 117.29 ± 1.80 f | 0.01 ± 0.00 a | 0.92 ± 0.02 f | 0.99 | 
| No. | Sample Code | Acidity | Moisture % | Ash % | Fat % | Protein % | CHO % | 
|---|---|---|---|---|---|---|---|
| 1. | Control | 0.008 ± 0.00 b | 3.70 ± 0.16 c | 0.66 ± 0.33 b | 35.22 ± 2.21 d | 7.02 ± 0.03 a | 52.39 ± 0.01 a | 
| 2. | C_OG_S0.5_E0.00 | 0.009 ± 0.00 c | 2.59 ± 0.28 a | 1.24 ± 0.04 d | 33.88 ± 1.92 d | 7.60 ± 0.06 c | 53.53 ± 0.01 b | 
| 3. | C_OG_S0.5_E0.25 | 0.012 ± 0.00 d | 4.67 ± 0.82 e | 1.27 ± 0.10 d | 4.65 ± 0.47 b | 8.79 ± 0.08 f | 76.37 ± 0.01 e | 
| 4. | C_OG_S0.5_E0.50 | 0.007 ± 0.00 a | 5.00 ± 0.11 f | 1.28 ± 0.66 d | 10.3 ± 0.01 c | 8.42 ± 0.01 e | 72.82 ± 0.01 d | 
| 5. | C_OG_S1.0_E0.00 | 0.015 ± 0.00 e | 2.46 ± 0.70 a | 0.44 ± 0.19 a | 33.05 ± 1.43 d | 7.38 ± 0.05 b | 55.15 ± 0.01 c | 
| 6. | C_OG_S1.0_E0.25 | 0.019 ± 0.00 f | 4.49 ± 0.88 d | 0.66 ± 0.33 b | 3.23 ± 0.69 a | 9.52 ± 0.02 g | 88.04 ± 0.01 f | 
| 7. | C_OG_S1.0_E0.50 | 0.009 ± 0.00 c | 3.01 ± 0.17 b | 1.23 ± 0.19 c | 2.18 ± 0.95 a | 8.30 ± 0.01 d | 82.74 ± 0.01 g | 
| No. | Sample Code | TPC g GAE/g Cookies | % ABTS Inhibit | 
|---|---|---|---|
| 1. | Control | 1.01 ± 0.03 a | 44.64 ± 0.01 c | 
| 2. | C_OG_S0.5_E0.00 | 1.30 ± 0.06 b | 47.06 ± 0.01 d | 
| 3. | C_OG_S0.5_E0.25 | 2.79 ± 0.08 e | 48.15 ± 0.01 e | 
| 4. | C_OG_S0.5_E0.50 | 2.42 ± 0.01 d | 40.64 ± 0.01 b | 
| 5. | C_OG_S1.0_E0.00 | 1.38 ± 0.05 b | 37.85 ± 0.01 a | 
| 6. | C_OG_S1.0_E0.25 | 3.52 ± 0.02 f | 66.56 ± 0.01 g | 
| 7. | C_OG_S1.0_E0.50 | 2.30 ± 0.01 c | 56.26 ± 0.01 f | 
| No. | Sample Code | a* | b* | L* | ΔE | 
|---|---|---|---|---|---|
| 1. | Control | 3.24 ± 0.01 c | 26.68 ± 0.28 a | 68.17 ± 0.58 e | - | 
| 2. | C_OG_S0.5_E0.00 | 3.98 ± 0.10 d | 25.87 ± 0.53 a | 65.85 ± 0.30 d | 2.13 ± 0.27 a | 
| 3. | C_OG_S0.5_E0.25 | 3.13 ± 0.27 c | 29.97 ± 1.01 b | 61.30 ± 0.76 b | 7.38 ± 1.14 c | 
| 4. | C_OG_S0.5_E0.50 | 2.74 ± 0.13 b | 32.67 ± 0.79 cd | 59.75 ± 1.37 a | 10.19 ± 1.46 d | 
| 5. | C_OG_S1.0_E0.00 | 3.22 ± 0.08 c | 25.13 ± 3.25 a | 65.54 ± 0.91 d | 3.67 ± 0.89 b | 
| 6. | C_OG_S1.0_E0.25 | 2.27 ± 0.06 a | 31.43 ± 0.23 bc | 62.78 ± 0.78 c | 7.17 ± 0.37 c | 
| 7. | C_OG_S1.0_E0.50 | 2.70 ± 0.04 b | 34.11 ± 0.26 d | 60.52 ± 0.44 ab | 10.60 ± 0.17 d | 
| Disclaimer/Publisher’s Note: The statements, opinions and data contained in all publications are solely those of the individual author(s) and contributor(s) and not of MDPI and/or the editor(s). MDPI and/or the editor(s) disclaim responsibility for any injury to people or property resulting from any ideas, methods, instructions or products referred to in the content. | 
© 2025 by the authors. Licensee MDPI, Basel, Switzerland. This article is an open access article distributed under the terms and conditions of the Creative Commons Attribution (CC BY) license (https://creativecommons.org/licenses/by/4.0/).
Share and Cite
Meza-Castellón, V.M.; Quintana, S.E.; García-Zapateiro, L.A. Oleogels Based on Starch and Natural Extracts from Cassava (Manihot esculenta) as a Fat Replacement in Cookies. Appl. Sci. 2025, 15, 11545. https://doi.org/10.3390/app152111545
Meza-Castellón VM, Quintana SE, García-Zapateiro LA. Oleogels Based on Starch and Natural Extracts from Cassava (Manihot esculenta) as a Fat Replacement in Cookies. Applied Sciences. 2025; 15(21):11545. https://doi.org/10.3390/app152111545
Chicago/Turabian StyleMeza-Castellón, Valeria M., Somaris E. Quintana, and Luis A. García-Zapateiro. 2025. "Oleogels Based on Starch and Natural Extracts from Cassava (Manihot esculenta) as a Fat Replacement in Cookies" Applied Sciences 15, no. 21: 11545. https://doi.org/10.3390/app152111545
APA StyleMeza-Castellón, V. M., Quintana, S. E., & García-Zapateiro, L. A. (2025). Oleogels Based on Starch and Natural Extracts from Cassava (Manihot esculenta) as a Fat Replacement in Cookies. Applied Sciences, 15(21), 11545. https://doi.org/10.3390/app152111545
 
        



 
       