Next Article in Journal
Torque Ripple Reduction and Efficiency Enhancement of Flared-Type Consequent-Pole Motors via Asymmetric Air-Gap and Structural Optimization
Previous Article in Journal
Advancing YOLOv8-Based Wafer Notch-Angle Detection Using Oriented Bounding Boxes, Hyperparameter Tuning, Architecture Refinement, and Transfer Learning
Previous Article in Special Issue
Application of Comprehensive Geophysical Methods in the Exploration of Fire Area No. 1 in the Miaoergou Coal Field, Xinjiang
 
 
Font Type:
Arial Georgia Verdana
Font Size:
Aa Aa Aa
Line Spacing:
Column Width:
Background:
Article

Optimization of Vane Number for Coal Loading in Shearer Drums (1400 mm and 2240 mm) via Discrete Element Modeling

by
Weipeng Xu
1,2,3,4,
Qiulai Huang
1,3,
Wenhe Zhang
2,4,
Shengru Zhang
2,4,*,
Ziyao Ma
1,3,
Kuidong Gao
2,4 and
Ning Jiang
1,3
1
China Coal Technology & Engineering Group Shanghai Co., Ltd., Shanghai 200030, China
2
College of Mechanical and Electronic Engineering, Shandong University of Science and Technology, Qingdao 266590, China
3
State Key Laboratory of Digital Intelligent Technology for Unmanned Coal Mining, Shanghai 200030, China
4
Shandong Key Laboratory of Collaborative Mining Technology for Intelligent Mine Equipment, Shandong University of Science and Technology, Qingdao 266590, China
*
Author to whom correspondence should be addressed.
Appl. Sci. 2025, 15(21), 11522; https://doi.org/10.3390/app152111522
Submission received: 4 September 2025 / Revised: 23 October 2025 / Accepted: 24 October 2025 / Published: 28 October 2025

Featured Application

Adopting the discrete element method, simulation analyses were carried out on shearer drums with diameters of 1400 mm and 2240 mm (equipped with different vanes), and the vane selection scheme for drums of different diameters was optimized.

Abstract

The loading rate of coal is significantly influenced by the number of vanes on shearer drums. However, in actual production, 1400 mm diameter drums feature two-vane and three-vane designs, while 2240 mm diameter ones have three-vane and four-vane designs, with the vane number corresponding to the optimal coal-loading rate remaining unclear. To reveal the correlation between vane number and coal-loading rate for such drums, parameters were calibrated through multiple physical tests in this study. Supported by field data, simulation analyses were conducted via the discrete element method to investigate the effect of the vane number on the drum coal-loading rate under different moisture contents and traction speeds. The results indicated that particle adhesion initially increases and then decreases with the moisture content, with the peak characteristics influenced by the particle size. Particle movement during drum coal mining is jointly governed by multiple factors. For 1400 mm drums, two or three vanes should be selected depending on moisture fluctuations and coal transportation requirements, whereas for 2240 mm drums, three or four vanes are recommended based on the balance between coal-cutting volume, conveying capacity, and traction speed.

1. Introduction

The shearer drum is a key piece of equipment in underground fully mechanized coal mining, and its operational performance directly affects coal mine production efficiency. Owing to its continuous and efficient mining capability, it is widely used in coal mines. A core structure of the shearer, the drum, cuts coal from the coal wall via picks and conveys the cut coal into the scraper conveyor by means of helical vanes. Currently, shearer drums can be directly applied to mining coal seams with a thickness of 0.5–10 m; however, coal seams within this thickness range are often accompanied by complex geological conditions such as large dip angles, gangue inclusions, and faults [1]. Under complex working conditions, an insufficient coal-loading performance of the drum will lead to an accumulation of ineffectively transported coal at the rear of the ranging arm, leaving loose coal on the machine road. This further hinders the shearer’s traction movement and working face advancement. Therefore, ensuring and improving the drum’s coal-loading performance is crucial for enhancing coal-mining efficiency.
Against this backdrop, a series of exploratory studies have been conducted by researchers focusing on improving the drum coal-loading rate. However, restricted by factors such as complex on-site working conditions and high difficulty in collecting various types of data, relevant studies mostly focus on the discrete element method (DEM) for simulation analysis. To ensure the reliability of DEM simulation results, parameter calibration of DEM simulation software is usually performed by researchers through calibration tests such as the angle-of-repose test. Comparison and verification between simulation results and data measured on-site are carried out. This has laid an important research foundation for in-depth revelation of the drum coal-loading mechanism and optimization of coal-loading technical schemes.
Research on coal mine cutting and mining mainly focuses on optimizing cutting component performance, dynamic energy changes in coal seams, and coal mechanical properties. These explorations not only solve specific technical problems in mining but also lay a theoretical and experimental foundation for subsequent key tasks, such as improving the drum coal-loading rate and optimizing mining schemes. In 2020, to address core cutting component pain points, Lu et al. [2] focused on conical picks’ “high wear, low efficiency” in roadway excavation. By combining numerical simulation and experiments, they revealed the pick–rock interaction mechanism, providing direct support for pick optimization and cutting parameter design. In the same year, Wang et al. [3] used numerical simulation from a mining safety perspective. It was found that mining redistributes coal seam energy, with higher peak strain energy density near goafs, making the rock-burst risk there much higher than in coal pillars. This offers a key reference for regional cutting risk prediction. In 2022, research shifted to the influence of coal’s mechanical properties on cutting. Guo et al. [4] experimentally confirmed that the axial compressive loading rate induces nonlinear growth of coal’s peak strength, logarithmic growth of the elastic strain energy conversion rate, and a brittle-to-ductile failure mode transition and clarified their correlations. In 2025, research was further deepened. Wang et al. [5] noted that the loading rate reduces coal micro-cracks (concentrated around 90°), shifts the failure mode from shear to tensile, and accelerates elastic strain energy storage/release. Li et al. [6] experimentally validated that the “loading rate correlates positively with coal parameters like fracture toughness,” together improving the impact mechanism of the loading rate on coal properties.
In the field of drum coal-loading rate optimization research, the influence of drum structural parameters on coal-loading efficiency is one of the core directions. Relevant studies mostly target coal-loading pain points in different coal seams (especially thin coal seams), with the discrete element method (DEM) the main analysis tool. The action mechanism of each drum structural parameter is systematically explored, providing key theoretical and technical support for the structural design optimization of shearer drums and improvement in coal-loading efficiency. In 2020, to address the common issue of a low coal-loading efficiency of shearer drums in thin coal seams, Xu et al. [7] took the spherical envelope drum as the research object. Via the DEM, the influence of the drum cone half-angle on the coal-loading rate was systematically explored, and the correlation law between this parameter and coal-loading efficiency was clarified. In the same year, Gao et al. [8] also focused on this issue: the influence mechanism of the hub shape, hub cone angle, and spiral blade angle on the coal-loading rate was analyzed in depth via the DEM, further improving the optimization basis for core structural parameters of thin coal seam drums. In 2021, Tian et al. [9] focused on the shearer drum coal-loading process itself. The dynamic characteristics of drum coal loading were studied via DEM numerical simulation. The goal was to provide targeted solutions for improving drum coal-loading efficiency by analyzing the inherent laws of the coal-loading process. In 2022, Sun et al. [10] found via the DEM that changes in drum blade angle directly affect the coal particle mass flow state and particle velocity. This conclusion was provided as a reference basis for drum blade angle design, clarifying the specific effect of blade angle adjustment on coal-loading performance. In 2024, relevant research further expanded the related dimensions of drum optimization. Biały et al. [11] moved beyond single structural parameter research; based on three key indicators (coal extractability index, uniaxial compressive strength of coal, and theoretical energy consumption), a selection method for longwall shearers was established. Indirectly, this method achieved the goals of an improved mining concentration, increased output, and reduced equipment failure rate. In the same year, Xu et al. [12] focused on coal hood parameters of thin coal seam shearers. Combining DEM and modeling analysis, the influence laws of coal hood parameters were revealed: coal hood offset showed a monotonic negative correlation with the coal-loading rate; the coal hood angle had a negative impact on the projectile coal-loading volume but a “first rise then fall” trend on the push coal-loading volume; the coal hood wrap angle had a weak influence; and the most significant parameters were the “angle (for projectile coal loading)” and “offset (for push coal loading),” providing a clear direction for the precise design of coal hoods.
In the research on the influence of the moisture content on the drum coal-loading rate, the core direction is to explore how the moisture content indirectly affects coal-loading efficiency by changing the particle fluidity, adhesion, and mechanical properties of coal. Relevant studies are mostly carried out by combining experiments and the discrete element method (DEM). They provide theoretical support for coal-loading optimization under different moisture content conditions. In 2021, Wang et al. [13] found through angle-of-repose measurement tests that within a certain range, increasing the coal moisture content increases the angle of repose. This directly reflects the influence law of the moisture content on coal particle fluidity. In 2025, Gao et al. [14] confirmed by combining metal plate lifting tests and DEM analysis that the adhesion strength of wet coal increases with an increasing moisture content. Vibration can adjust adhesion friction: lower adhesion with a larger amplitude, and higher adhesion with a higher frequency. A new adhesion control method was thus proposed. In the same year, Zhang et al. [15] conducted Mode I fracture tests on coal samples with different moisture contents in a low-temperature environment. It was found that the fracture toughness of coal is positively correlated with the moisture content at low temperatures, and the higher the moisture content, the more significant the toughness improvement.
In the research on the influence of the traction speed on the drum coal-loading rate, the core is to explore how the traction speed affects the coal-loading efficiency by changing coal particle flow characteristics, equipment operation resistance, and particles’ initial speed. Relevant studies are conducted by combining the discrete element method (DEM) and experiments. Some studies also improve the adaptability of the traction speed through equipment optimization, providing references for coal-loading efficiency regulation. In 2018, Wang et al. [16] focused on the relationship between the speed and efficiency of scraper conveyors in coal transportation. The influence mechanism of the traction speed on coal particle flow behavior, the coal-loading rate, and energy consumption was revealed via the DEM. In 2021, Liu et al. [17] adjusted the traction speed and calculated the coal-loading rate. It was found that the coal-loading rate decreases as the traction speed increases; when the speed reaches 4.23 m/min, the coal-loading rate drops to 41.65%. In 2024, Zhou et al. [18] pointed out that an increased cutting depth increases the shearer’s traction resistance. This causes the full-load speed to decrease by 25% (from 8 m/min to 6 m/min), which adversely affects the balance of coal-loading efficiency. In the same year, Zhang et al. [19] conducted single-factor and full-factor experiments. It was found that with a constant drum speed and cutting depth, the initial speed of coal–rock particles shows a “first increases then decreases” trend with traction speed. In 2025, Li et al. [20] designed a tenon-mortise two-stage planetary reducer, deep-carburized traveling wheels, and high-wear-resistance sliding shoes. A high-power compact frequency converter was also developed. With these improvements, a traction speed of over 12 m/min was achieved, and the reliability and efficiency of the traction system were enhanced.
To adapt to coal mining in seams of different thicknesses, the diameter of shearer drums must be adjusted as needed, and the corresponding number of vanes must be matched to ensure the cutting and coal-loading performance. The number of vanes directly affects the coal-holding space and cutting efficiency of the drum, while the amount of coal discharged is jointly determined by the drum rotational speed and haulage speed; specifically, the reasonable matching of these three factors—vane number, drum rotational speed, and haulage speed—is the core of ensuring effective coal loading. In conventional configurations, drums with a diameter <1400 mm (for thin seams) mostly use two vanes; 1400 mm drums are designed with two or three vanes; those with a diameter of 1400~2240 mm (for medium-thickness seams) usually adopt three vanes; 2240 mm drums feature two designs (three or four vanes); and four vanes can be used for drums with diameters >2240 mm (for thick seams). When geological conditions are favorable, the coal-loading performance of drums is stable. However, under complex working conditions such as gangue inclusions, faults, and hard coal, cutting resistance increases sharply, resulting in a limited haulage speed. Meanwhile, the pick load and heat generation are increased, and wear is aggravated. To alleviate pick wear, the amount of spray cooling water must be increased. Yet excessive water changes the cohesion of coal and rock, which instead reduces the coal-loading efficiency. Existing studies have focused on the influence of the haulage speed, coal moisture content, and drum structure on the coal-loading rate. However, vane number selection for intermediate-sized drums remains largely empirical and based on production experience. For 1400 mm drums (used in thin-to-medium seam transitions) and 2240 mm drums (used in medium-to-thick seam transitions), the choice is still primarily determined by operational practice rather than systematic study.
This study focuses on shearer drums with diameters of 1400 mm and 2240 mm, investigating the influence of the vane number on the coal-loading rate. The analysis applies to transition coal seams, specifically thin-to-medium and medium-to-thick seam transitions, under different moisture content and haulage speed conditions. After completing parameter calibration via a series of calibration tests, DEM simulations were carried out with the Johnson–Kendall–Roberts (JKR) contact model. Simulation analyses were carried out under different haulage speeds and moisture contents for the two- and three-vane 1400 mm drums of Tiandi MG2X160/710-WD4 shearers in Shanghai, China, as well as the three- and four-vane 2240 mm drums of Tiandi MG500/1130-WD3 shearers in Shanghai, China. The simulation results were verified against field-collected data to ensure reliability. Based on these results, the applicable working conditions for two- and three-vane 1400 mm drums and three- and four-vane 2240 mm drums were clarified, providing a theoretical reference for vane number selection in transition coal seam mining.

2. DEM Contact Models

2.1. Hertz–Mindlin Contact Model

In the commonly available commercial DEM software, such as EDEM v.2022, the Hertz–Mindlin contact model combines high computational efficiency with good accuracy. It can effectively couple the elastic properties of materials with the shear–slip behavior between particles, making it one of the most widely used nonlinear contact models at present [21]. To further enhance the engineering applicability of this model, researchers have continuously improved it. For instance, they have introduced micro-frictional energy dissipation mechanisms to improve the model, or incorporated inter-particle bonding–fracture mechanisms to simulate the dynamic failure of brittle materials [22,23]. The schematic diagram of the basic principle of the Hertz–Mindlin model is shown in Figure 1.
In this contact model, the inter-particle normal force Fn is given by Equation (1):
F n = 4 3 E * R * δ n 3 2
wherein E* is the equivalent Young’s modulus of particles with the unit of GPa; R* is the equivalent radius of particles with the unit of m; and δn is the normal overlap with the unit of m. Among them, the values of the equivalent Young’s modulus E* and equivalent particle radius R* are obtained from Equations (2) and (3):
1 E * = ( 1 v 1 2 ) E 1 + ( 1 v 2 2 ) E 2
1 R * = 1 R 1 + 1 R 2
wherein E1, v1, R1 and E2, v2, R2 are, respectively, Young’s modulus, Poisson’s ratio, and the radius of the mutually contacting particles in Figure 1.
The tangential damping force in the contact model can be given by Equation (4):
F t d = 2 5 6 β ( S t m * v t r e l ) 1 / 2
wherein vtrel is the relative tangential velocity with the unit of m/s; β is the damping coefficient; and m* is the equivalent mass with the unit of kg. Among them, m* is given by Equation (5):
1 m * = 1 m 1 + 1 m 2
wherein m1 and m2 are the masses of the two particles, with the unit of kg.

2.2. Bonding Particle Contact Model

The bonding particle (BP) contact model is used to bond particles into integral bonds within a limited size. The bonding can resist tangential and normal movements until the maximum normal and tangential shear forces are reached, at which point the bonding is broken. After this, the particle contact model is switched from the BP model to the Hertz–Mindlin model [24]. The basic principles are presented by Figure 2 and Equation (6):
F n R n F t = R t
wherein Rn is defined as the normal bonding force for the normal bond, with the unit of N. Ft and Rt are defined as the tangential force and the tangential bonding force for the tangential bond, respectively, with the unit of N.

2.3. Johnson–Kendall–Roberts Contact Model

In the field of wet particle mechanical property research, in the 1970s, K. L. Johnson, K. Kendall, A. Roberts, et al. proposed a new contact model, namely the Johnson–Kendall–Roberts (JKR) contact model, based on the Hertz–Mindlin contact model. This model can characterize the normal cohesive force: it calculates the normal and tangential forces between particles to characterize the energy value per unit area, and further completes the modeling of particle surface energy. In simulating the mechanical behavior of water-containing particles, the JKR contact model has significant applicability and can accurately simulate the mechanical properties between wet coal particles. The schematic diagram of the JKR contact model is shown in Figure 3.
The normal cohesive force FJKR and normal overlap δ of the JKR model are, respectively, given by Equations (7) and (8):
F J K R = 4 π γ E * a 3 2 + 4 E * 3 R * a 3
δ = a 2 R * 4 π γ a E *
wherein R* refers to the equivalent particle radius with the unit of m; γ is the surface energy of particles with the unit of J·m2; and a is the contact radius of particles with the unit of m. The normal cohesive force of the JKR contact model follows the above equation in both unloading and loading phases. Specifically, when the surface energy γ = 0, the normal cohesive force of the JKR contact model is equal to the normal force in the Hertz–Mindlin contact model.

3. Parameter Calibration

3.1. Coal Particle Properties and Screening

In actual production, variations in the cutting thickness of shearer drum picks are caused by differences in shearer haulage speed, drum rotational speed, and number of picks, which in turn affect the particle size of coal–rock after cutting. The calculation formula for cutting thickness is given in Equation (9). Particle size correlates closely with the angle of repose: smaller particles lead to greater friction and adhesion between their surfaces, resulting in a larger angle of repose and poorer flowability. Additionally, under the influence of moisture content, smaller sizes of coal and rock particles result in a more significant inter-particle adhesion effect [6]. As an important parameter characterizing coal–rock particle flowability and inter-particle interaction, the static angle of repose is significantly affected by particle size, with the inter-particle contact force and friction characteristics being the core factors determining its magnitude. To ensure the accuracy and validity of subsequent parameter calibration results, the experiment adopted five grades of sieves, with sieve pore sizes of 1 mm, 3 mm, 6 mm, 9 mm, and 12 mm (as shown in Figure 4). Sieves of different specifications enable the precise classification and screening of coal particles by particle size. Coal particles collected on-site were screened through the above sieves, yielding coal particles in four particle size ranges: 1–3 mm, 3–6 mm, 6–9 mm, and 9–12 mm. Particles in each range were stored in empty buckets separately. The screened coal particles in each range were prepared according to the relevant calculation method, to obtain coal particle samples with moisture contents of 4%, 8%, 12%, and 16%, respectively. The calculation formula for the moisture content of coal particles is shown in Equation (10):
h = v n Z m l
wherein h denotes the cutting thickness, which is expressed in mm; v represents the shearer haulage speed, which is expressed in mm/min; n stands for the drum rotational speed, which is expressed in r/min; Z is the total number of uniformly distributed picks on the same cross-section of the drum circumference; and ml denotes the number of vanes.
ω = m s m × 100 %
wherein ω is the moisture content of coal; m is the mass of coal before drying with the unit of g; and ms is the mass loss of coal after drying with the unit of g.

3.2. Parameter Calibration Methods

3.2.1. Static Angle-of-Repose Test

Numerous methods are available for parameter calibration, and particle adhesion–friction characteristics are one of the physical foundations for parameter calibration [25]. Among these methods, the angle-of-repose test is widely used in particle parameter calibration. Under the same conditions, the larger the angle of repose, the better the particle adhesion–friction characteristics. Meanwhile, the angle-of-repose test is easy to operate and can effectively reflect the flow characteristics of particles. Furthermore, the mesoscopic parameters between particles can be obtained through simulation; thus, the angle-of-repose test is widely applied in the parameter calibration of granular materials [26].
The natural stacking method is a common approach for obtaining the static angle of repose. It refers to a process where particles are uniformly filled into a hollow cylindrical container with a through-hole; the container is then slowly lifted horizontally, allowing the internal particles to collapse uniformly and slowly to form an approximately conical accumulation body [27]. After the particles slide freely under gravity and form a stable accumulation, the internal angle between the conical surface and the horizontal plane is the angle of repose to be measured. The test bench for the static angle of repose is shown in Figure 5. First, particles are uniformly injected into a cylindrical hollow acrylic tube. Second, the stepper motor is controlled by a stepper motor controller, enabling the linear pusher to lift the linear pull rod upward. A 24 V power source ensures power supply throughout the entire experiment, and the motor controller can adjust the lifting speed and direction (the lifting speed is set to 5 mm/s in the experiment). When the hollow acrylic tube is lifted to a certain height, the coal particles previously contained inside will naturally fall downward under gravity. Finally, stacked coal particles are naturally formed at the bottom, and thus the static angle of repose is obtained.

3.2.2. Dynamic Angle-of-Repose Test

Certain similarities exist between the test procedures of the dynamic angle-of-repose test and the static angle-of-repose test, but differences lie in their research essences. The static angle-of-repose test is mainly used to investigate and simulate the effects of different particle sizes and moisture contents on the angle of repose; the dynamic angle-of-repose test, by contrast, focuses on investigating the stable inclination angle formed during the movement of granular materials and is mainly used to simulate the mechanism of action of the helical angle of vanes on coal particles when the shearer drum is in operation. Among them, the static angle-of-repose test serves as the foundation for the dynamic angle-of-repose test, while the dynamic angle-of-repose test is an on-site and specific extension of the static angle-of-repose test in engineering scenarios. The dynamic angle of repose is defined as the stable inclination angle formed by granular materials under the action of gravity, centrifugal force, or external disturbance. Compared with the static angle of repose, it can better reflect the movement characteristics of granular materials under stress [28].
The experimental setup for the dynamic angle of repose is illustrated in Figure 6. The experimental procedure is as follows: coal particles are first evenly placed in the acrylic bottom trough. Precise control of the module’s movement direction and stepping speed is accomplished via a movable linear module and its associated motion controller, which enables the module to perform linear motions with varying speeds and accelerations along the X, Y, and Z axes. Subsequently, a force–displacement sensor is fixed to the module through a connecting block, and a 5 mm thick aluminum plate is secured in front of the module by means of another connecting block with a preset angle. Finally, the controller is used to control the module with the fixed aluminum plate to move forward horizontally at a constant speed of 10 mm/s. Under the pushing of the aluminum plate, the coal particles form a stable pile, and the angle between the surface of this pile and the horizontal plane is the dynamic angle of repose.
The connecting blocks for attaching the front aluminum plate are designed in three specifications, enabling the aluminum plate to form fixed inclination angles of 10°, 14°, and 18° with the vertical plane (The thickness of the aluminum plate is 5 mm. Different angles can, to a certain extent, simulate the influence of the helical angle of vanes on the movement of coal particles, as shown in Figure 7). By changing the inclination angle of the aluminum plate, the flow characteristics of coal particles under multi-angle movement conditions can be more accurately reflected, and the inter-particle interaction relationships can be clarified, thereby improving the accuracy and validity of subsequent parameter calibration results. During the experiment, the azimuth remote control module can control the start–stop and movement direction of the module’s propulsion action; the fixed force–displacement sensor is used to record changes in the thrust force on the aluminum plate in real time, and a high-speed camera simultaneously captures the full-process movement state of the coal flow, thus achieving accurate measurement of the dynamic angle of repose.

3.2.3. Granular Contact Mechanical Property Test

The friction coefficients between coal–rock particles include the sliding friction coefficient and the rolling friction coefficient, by both of which the angle of repose of coal–rock particles is directly affected. To accurately calibrate these parameters in discrete element software, the angle-of-repose test is required: the angle of repose of coal–rock particles measured in the test is compared with the simulation results from EDEM v.2022 software, and the sliding friction coefficient and rolling friction coefficient are adjusted in the software. After the matching relationship and value range of the two coefficients are determined through simulation, precise calibration is then conducted. When the angles of repose from the test and simulation are consistent, the sliding friction coefficient and rolling friction coefficient at this point can be determined as the actual parameters of coal–rock [29].
To simulate the movement of coal–rock particles on the drum surface in discrete element software, the static friction coefficient needs to be calibrated through the inclined plane lifting experiment. As shown in Figure 8, coal particles are uniformly spread on the surface of a movable iron plate, and the iron plate is lifted by moving the cushion block to increase the angle between the plate and the horizontal plane. Lifting is stopped when the coal particles just show a tendency to slide or start sliding. The inclination angle of the slope (i.e., the static friction angle) at this moment is measured with a level, and the tangent value of this angle is the static friction coefficient.
During the cutting process of the drum, collisions and ejections occur between coal particles and between particles and components such as the drum, and their coefficient of restitution directly affects the motion state of particles during transportation. This coefficient is defined as the ratio of the relative separation velocity of two objects along the normal direction after collision to the relative approach velocity along the same direction before collision. To ensure the accuracy of numerical simulation, this coefficient needs to be calibrated via an inclined plate collision test bench, whose working principle and numerical model are shown in Figure 9. In the experiment, coal particles fall freely from the release point O, collide with the upper surface of the inclined plate (with an inclination angle of 45°) at point P, then perform a projectile motion, and finally, fall on the base or coal bed. The final position of the particles is recorded, and the horizontal distance S and vertical distance H between the particles and the collision point P are measured; then, the horizontal component velocity vx and vertical component velocity vy of the particles after collision are deduced inversely using kinematic equations, and the coefficient of restitution is further obtained.
Through the above-mentioned calibration experiments—including those for the static angle of repose, dynamic angle of repose, particle shape, dynamic inclined plate lifting, and coefficient of restitution—the corresponding mesoscopic parameters related to the moisture content of coal–rock particles, as well as for coal particle–coal particle and coal particle–wall, were obtained.

3.3. Parameter Calibration Results

3.3.1. Particle Geometric Model

In discrete element software, there are many selectable particle shape types, including single spheres, double spheres, triple spheres, and tetrahedrons; particle shapes can also be customized and constructed according to research needs. The particle shape has a certain impact on the static angle of repose, but during the geometric model construction process, due to the irregular shape and diverse forms of coal particles, it is difficult to construct geometric models one by one for the specific shape of each coal particle. In 2022, Sun et al. [10] pointed out that more accurate results can be obtained when using pyramid-shaped particles for parameter calibration, and their research results confirmed the advantages of pyramid-shaped particles in terms of modeling efficiency and calibration accuracy.

3.3.2. DEM Calibration of Static Angle of Repose

The static angle-of-repose test calibrates discrete element simulation parameters based on experimental measurement results: First, a level gauge is used to measure four sets of angles of repose at 90° intervals, and the average value is taken to obtain the measured static angle-of-repose values of coal particles with different particle sizes. Meanwhile, the experimental process is reproduced in DEM software; by adjusting mesoscopic parameters such as particle density and friction coefficient, the error between the simulated angle of repose and the measured value is controlled within 3%, and a benchmark parameter system related to particle size is initially established.
On this basis, aiming at the key physical property of moisture content, the JKR contact model in discrete element software is introduced for in-depth analysis. This model is constructed based on surface energy parameters and can realize the quantitative characterization of particle moisture content. By systematically adjusting the JKR value and comparing it with experimental data under different moisture content working conditions, a quantitative corresponding relationship between the JKR value and moisture content is established. The experimental and simulation results of coal particles with different particle sizes under multiple moisture content conditions are shown in Figure 10, Figure 11, Figure 12 and Figure 13.
To quantitatively analyze the experimental and simulation results accurately, the experimental values, simulation values, and error rates of the angle of repose are presented in Figure 14. It can be observed that the error between them does not exceed ±3%; that is, when the JKR values are 2, 3, 4, and 5, they correspond to moisture contents of 4%, 8%, 12%, and 16%, respectively. This confirms the effectiveness of the JKR model in characterizing the influence of coal–rock particles with different moisture contents on stacking behavior, and it provides methodological support for parameter calibration in the subsequent investigation of the influence of the moisture content on the drum coal-loading rate. Meanwhile, it can be analyzed from the images that when the coal–rock particles are small, both the experimental and simulation values of the static angle of repose increase with the increase in moisture content; when the coal–rock particles are large, both the experimental and simulation values of the static angle of repose first increase and then decrease with the increase in moisture content. This is because under the same moisture content, the smaller the particle size of coal–rock particles, the more significant the inter-particle adhesion effect; meanwhile, the particle adhesion reaches a peak at a specific moisture content, and it will be reduced when the moisture content is too low or too high. This is reflected in the images as follows: within the moisture content range of 4–16%, the angle of repose of small particles increases with the increase in moisture content; when the particle size increases to a certain extent, the angle of repose first increases and then decreases with the increase in moisture content [5,6,30].

3.3.3. DEM Calibration of Dynamic Angle of Repose

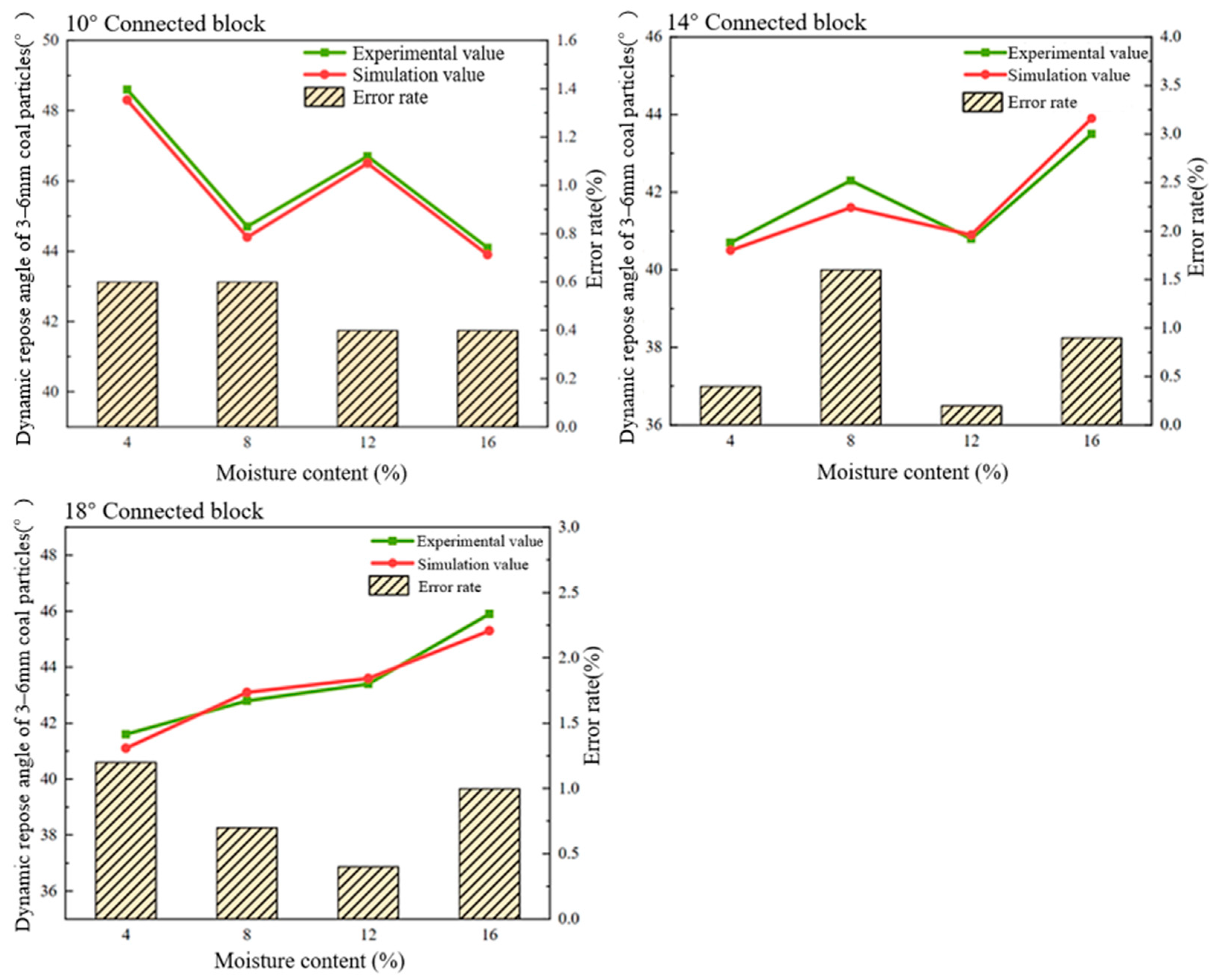
The procedure of the dynamic angle-of-repose test is similar to that of the static angle-of-repose test. By adjusting mesoscopic parameters such as the particle density and friction coefficient, the error between discrete element simulation results and experimental results is controlled within 5%. In this study, coal particle size ranges of 3–6 mm, 6–9 mm, and 9–12 mm are selected, and the single particle shape is set as pyramid-shaped for simulation. With reference to the static angle-of-repose simulation method, the JKR value in the software is adjusted so the simulated dynamic angle of repose gradually approaches the measured experimental results; when the two are consistent, the coal particle moisture content corresponding to this JKR value can be obtained. Some experimental comparison diagrams and experimental result tables are shown in Figure 15, Figure 16 and Figure 17 and Table 1.
By comparing the static angle-of-repose results in Figure 14 with the dynamic angle-of-repose results in Figure 18, it can be observed that the relationship between coal particle moisture content and dynamic angle of repose is not a simple linear relationship, but is jointly determined by the connected block angle, particle size, and moisture content. When this law is mapped to actual working conditions, the motion state of coal–rock particles is affected not only by the coal moisture content but also by multiple factors such as the helical angle of vanes, cutting thickness, and coal–rock particle size. Therefore, in the subsequent analysis of the drum coal-loading rate, the relevant phenomena cannot be explained solely by the single-variable analysis method, and need to be explained by combining comprehensive multi-factor analyses.
Through angle-of-repose tests, the adjustment of simulation parameters was completed, and the quantitative correspondence between coal particle moisture content and JKR values, as well as the contact parameters between coal particles and between coal particles and walls, were finally determined, as shown in Table 2 and Table 3.

4. Drum Coal-Loading Simulation Result Analysis

4.1. Establishment of Simulation Model

The coal-loading rate of shearers is affected by multiple factors, including geological conditions, coal–rock moisture content, number of vanes, helical angle, drum rotational speed, and drum diameter. Field tests are not only high in cost but also difficult for variable control; thus, it is challenging to conduct controlled-variable analysis relying solely on field-collected data. For this reason, calibrated simulation parameters are adopted to simulate the actual coal-mining environment under controlled-variable conditions, so as to obtain coal-loading rate data. The simulation results are verified using field-collected data, and finally, the analysis of factors influencing coal-loading rate is conducted based on the simulation data. The model adopted the three/four-vane drums with 2240 mm of the Tiandi MG500/1130-WD3 shearer and the two/three-vane drums with 1140 mm of the Tiandi MG2X160/710-WD4 shearer. Relevant parameters are shown in Table 4 and models in Figure 19.
The structural stability of the coal wall is ensured through the bonding force of particles in the bonding particle (BP) contact model. After constructing the coal wall model based on the discrete element method, to achieve accurate calculation of the coal-loading rate, it is necessary to divide the coal particle distribution areas and calculate the coal-loading rate by counting the mass of coal particles in each area. The specific schematic diagram is shown in Figure 20. In the figure, coal particles of different colors, respectively, indicate their different motion states.
When the shearer drum is cutting the coal wall, after coal particles are cut off, combined with the coal particle distribution characteristics, the coal particle statistical areas are divided into three parts: track goaf, the gap area between the coal wall and the scraper conveyor, and the effective loading area inside the scraper conveyor. The drum coal-loading rate is defined as the ratio of the mass of coal particles in the effective loading area to the total mined coal mass, and this ratio is calculated by Equation (11):
λ = M l o a d i n g M l o a d i n g + M g o a f + M g a p × 100 %
wherein λ refers to the coal-loading rate with the unit of %; Mloading refers to the mass of coal particles in the effective area with the unit of kg; Mgoaf refers to the mass of coal particles in the goaf with the unit of kg; and Mgap refers to the mass of coal particles in the gap area with the unit of kg.

4.2. Effect of Number of Vanes on Coal-Loading Rate Under Different Moisture Contents

Under four moisture content conditions (4%, 8%, 12%, and 16%), significant regularity is exhibited in the influence of the vane number on the coal-loading rate of two drum sizes (1400 mm and 2240 mm). For the 1400 mm drum of the Tiandi MG2X160/710-WD4 shearer, results from comparisons between the two-vane and three-vane drums are shown as follows: under the same moisture content, the coal-loading rate of the two-vane drum is higher than that of the three-vane drum. At the same haulage speed, a steady downward trend is shown in the coal-loading rate of the two-vane drum as the moisture content increases. Meanwhile, a trend of first decreasing and then increasing is exhibited in the coal-loading rate of the three-vane drum. For the 2240 mm drum of the Tiandi MG500/1130-WD3 shearer, results from comparisons between the three-vane and four-vane drums are indicated as follows: under the same moisture content, the coal-loading rate of the three-vane drum is higher than that of the four-vane drum. At the same haulage speed, a “steady fluctuation” trend is mostly shown in the coal-loading rate of the three-vane drum. The variation trend of the four-vane drum’s coal-loading rate is similar to that of the 1400 mm three-vane drum (both first decreasing and then increasing), but with a smaller variation range. Specific results are shown in Figure 21.
At the same haulage speed, the influence of the vane number on the coal-loading rate is essentially the result of the combined effect of different coal–rock particle sizes (caused by cutting thickness differences) and varying coal-holding spaces (determined by vane number and drum diameter). For the 1400 mm drum, the two-vane structure has fewer total picks due to having fewer vanes. According to the cutting thickness formula (Equation (9)), this increases the cutting thickness, resulting in coarser coal–rock particles formed by cutting. In contrast, the three-vane structure has more total picks due to an increased number of vanes. This reduces the cutting thickness and produces finer coal–rock particles. The difference in particle size, combined with the variation in coal-holding space, leads to distinctly different response trends. These trends refer to how the two drums’ coal-loading rates respond to moisture content: The two-vane drum has a larger coal-holding space, and the cohesion between coarse particles is weaker. The increase in particle cohesion caused by a higher moisture content has no significant interference with the coal-loading process; thus, the coal-loading rate only shows a steady downward trend. The fine particles of the three-vane drum are more sensitive to changes in moisture content, and the increased number of vanes limits the coal-holding space. At a low moisture content, the cohesion of coal–rock particles is low, and moisture content has little effect on their flowability. When the moisture content rises to a certain level, the cohesion of coal–rock particles increases—some particles adhere to the drum and rock wall surfaces, inter-particle adhesion is enhanced, and flowability decreases, leading to a drop in coal-loading rate. When the moisture content is further increased, cohesion promotes agglomerated transportation of particles, and the coal-loading rate rises accordingly. Eventually, a trend of first decreasing and then increasing is exhibited in the graph. When comparing the three-vane drums of 1400 mm and 2240 mm, although they have the same number of vanes, the 2240 mm drum has significantly more total picks and a larger coal-holding space due to its larger diameter, resulting in a much higher coal-loading rate than the 1400 mm drum. Additionally, the larger coal-holding space can effectively buffer the transportation resistance caused by particle cohesion, weakening the impact of coal–rock particle cohesion on the coal-loading rate—thus, the corresponding trend is not exhibited in the graph. For the three-vane and four-vane structures of the 2240 mm drum, the four-vane structure has more vanes and total picks. This reduces the cutting thickness and produces finer coal–rock particles, which enhances the cohesive response of particles to the moisture content, and the coal-loading rate curve also shows a “first decreasing and then increasing” trend. However, compared with the 1400 mm three-vane drum, the larger coal-holding space of the 2240 mm drum reduces the response sensitivity of coal–rock particle cohesion, making this trend relatively gentle in Figure 21.
From the analysis results of the coal-loading rate of each type of drum at the same haulage speed, it can be concluded that for the 1400 mm drum shearer suitable for thin-to-medium-thickness transition coal seams, the two-vane structure is insensitive to the adhesion response of coal–rock particles and is suitable for working conditions with a large fluctuation range of coal–rock moisture content; and the three-vane structure, by contrast, is sensitive to the adhesion response of coal–rock particles and is suitable for working conditions where the coal–rock moisture content is too high or too low. For the 2240 mm drum shearer suitable for medium-to-thick transition coal seams, its large drum diameter ensures sufficient coal-holding space. Both structures (three-vane and four-vane) are insensitive to the adhesion response of coal–rock particles; thus, the coal-loading rate of the shearer mainly depends on the coal-holding space of the drum. Therefore, when selecting the number of drum vanes on-site, the requirement of geological conditions for coal-holding space must be mainly considered: the three-vane structure is preferred when the requirement for coal-holding space is high, while the four-vane structure is preferred when the requirement is low.

4.3. Effect of Number of Vanes on Coal-Loading Rate Under Different Haulage Speeds

Under five haulage speed conditions (1 m/min, 2 m/min, 3 m/min, 4 m/min, 5 m/min), significant regularity is exhibited in the influence of the vane number on the coal-loading rate of two drum sizes (1400 mm and 2240 mm). For the 1400 mm drum of the Tiandi MG2X160/710-WD4 shearer, the comparison results between the two-vane and three-vane drums show that the coal-loading rates of both drums present a downward trend as the haulage speed increases. Generally, the coal-loading rate of the two-vane drum is slightly higher than that of the three-vane drum, and the difference in coal-loading rate between them first decreases and then increases with the rise in haulage speed. Meanwhile, when the moisture content is too high or too low, there is an overlapping part between the coal-loading rates of the two drums. For the 2240 mm drum of the Tiandi MG500/1130-WD3 shearer, the comparison between the three-vane and four-vane drums indicates that the coal-loading rate of the three-vane drum is relatively stable and shows no clear change with the increase in haulage speed. In contrast, the coal-loading rate of the four-vane drum presents a clear downward trend as the haulage speed increases. Different from the 1400 mm diameter drum, the difference in coal-loading rate between the three-vane and four-vane drums is the smallest at low haulage speeds, and it gradually increases as the haulage speed rises. Specific results are shown in Figure 22.
Under the same moisture content, the influence of the vane number on the coal-loading rate is essentially determined by the degree of matching between the coal-cutting amount per unit time and the coal-conveying capacity of the drum. Due to its smaller diameter, the 1400 mm drum has limited coal-holding space and a correspondingly weak coal-conveying capacity. When the haulage speed is low, the coal-cutting amount per unit time does not exceed its coal-conveying capacity, resulting in a high coal-loading rate. As the haulage speed increases, the coal-cutting amount per unit time increases and exceeds the coal-conveying capacity, and the coal-loading rate decreases accordingly. This is reflected in the graph as a decrease in the coal-loading rate of the 1400 mm drum with the increase in haulage speed. Compared with the three-vane structure, the two-vane structure has fewer vanes and picks. This results in a lower coal-cutting amount per unit time and a larger coal-holding space, so its coal-loading rate is slightly higher than that of the three-vane structure. Theoretically, the difference in coal-loading rate between the two should decrease with the increase in haulage speed. However, under the coupling effect of coal–rock particle adhesion, the difference in coal-loading rate is finally reflected in the graph as first decreasing and then increasing. When comparing the 1400 mm and 2240 mm drums, the latter has a much larger coal-cutting amount per unit time and coal-holding space than the former; therefore, the coal-loading rate of the 2240 mm drum is significantly higher than that of the 1400 mm drum. When comparing the three-vane and four-vane structures of the 2240 mm drum, the four-vane structure has more vanes and picks, leading to a larger coal-cutting amount per unit time and a smaller coal-holding space than the three-vane structure; thus, as the haulage speed increases, the coal-cutting amount per unit time further increases and exceeds its coal-conveying capacity, resulting in a downward trend of coal-loading rate. The three-vane structure has fewer vanes and picks, resulting in a smaller coal-cutting amount per unit time and a larger coal-holding space than the four-vane structure; therefore, as the haulage speed increases, although the coal-cutting amount per unit time increases, it does not exceed its coal-conveying capacity. Hence, the coal-loading rate of the drum shows little fluctuation and no clear fluctuation in the graph.
From the analysis results of the coal-loading rate of each type of drum under the same moisture content, it can be concluded that for the 1400 mm drum shearer suitable for thin-to-medium-thickness transition coal seams, due to its limited coal-holding space, the two-vane structure is preferred if the drum’s coal-conveying capacity is mainly determined by the coal-holding space; if the coal-conveying capacity is jointly determined by multiple factors such as the vane structure, drum rotational speed, and coal-holding space, the three-vane structure—with a higher coal-cutting amount per unit time—should be considered for selection. For the 2240 mm drum shearer suitable for medium-to-thick transition coal seams, the three-vane structure is suitable for working conditions with a large fluctuation in haulage speed or where continuous adjustment of the haulage speed is required, as it is less affected by the haulage speed. The four-vane structure, by contrast, has a larger coal-cutting amount per unit time due to the increased number of vanes and picks; it is suitable for working conditions with a low haulage speed, stable haulage speed, or where the drum’s coal-conveying capacity can be improved through other means.

4.4. Field Data Verification

To verify the reliability of the simulation results, post-cutting floating coal trajectories were collected on-site at the coal mine for the Tiandi MG2X160/710-WD4 shearers (1400 mm two-vane without water spray, 1400 mm three-vane with water spray) and Tiandi MG500/1130-WD3 shearers (2240 mm three-vane without water spray, 2240 mm four-vane with water spray). The collected trajectories were visualized, and cross-sections perpendicular to the shearer’s advancing direction were established at positions A, B, and C. Subsequently, the floating coal trajectories in the track at each cross-section were graphically represented. Based on the characteristics of floating coal trajectories in the figures, the post-cutting coal accumulation state was determined, and the shearer’s coal-loading rate was further evaluated: the higher the floating coal accumulation height, the poorer the drum coal-loading rate, and the lower the actual coal-loading rate.
Figure 21 and Figure 22 were compared and analyzed with Figure 23. Through the comparison of on-site floating coal trajectories between the 1400 mm two-vane shearer without water spray and the 1400 mm three-vane shearer with water spray, it was found that the floating coal height of the two-vane drum under the condition of a low coal moisture content was slightly lower than that of the three-vane drum under the condition of a high coal moisture content, which was consistent with the simulation results in Figure 21. Meanwhile, observation of the floating coal trajectory graph group in the track from Figure 23 showed that with the increase in the shearer’s haulage speed, the amount of floating coal accumulated in the track gradually increased for both two-vane and three-vane drums, and the shearer’s coal-loading rate decreased accordingly, which was consistent with the simulation results in Figure 22. Figure 24 was compared and analyzed with Figure 21 and Figure 22, and it was found that the on-site floating coal trajectory characteristics of the 2240 mm three-vane shearer without water spray and the 2240 mm four-vane shearer with water spray were essentially consistent with those of the 1400 mm specification shearer, with only overlap in some areas. Meanwhile, from the on-site working pictures of the 2240 mm specification shearer, it could be seen that with the increase in haulage speed, the spalled coal was thrown out from the side of the ranging arm, which further confirmed the simulation-derived phenomenon that “the increase in haulage speed leads to the decrease in drum coal-loading rate.” All the above results verified the credibility of the simulation results.

5. Conclusions

Based on the discrete element method, the mechanical parameters of coal–rock particles were calibrated through static angle-of-repose tests, dynamic angle-of-repose tests, and granular contact mechanical property tests. The JKR contact model was adopted, and a simulation study was conducted. The study aimed to investigate the influence of the vane number on the drum coal-loading rate under different moisture content and haulage speed conditions, targeting two types of shearer drums: the 2240 mm three/four-vane drums of the Tiandi MG500/1130-WD3 shearer, and the 1400 mm two/three-vane drums of the Tiandi MG2X160/710-WD4 shearer. The simulation results were verified with field data. This study revealed the relationship between the vane number and drum coal-loading rate in thin-to-medium seam transitions and medium-to-thick seam transitions. The following conclusions were obtained:
  • Particle adhesion is revealed by static angle-of-repose tests to first increase and then decrease with an increasing particle moisture content, peaking at a certain intermediate moisture content. A decrease in particle adhesion is caused by either an excessively high or low moisture content. Dynamic angle-of-repose analysis indicates that the motion state of particles during drum coal mining is jointly determined by multiple factors (vane number, vane helical angle, particle moisture content, particle size, drum rotational speed, and haulage speed) rather than a single variable. This also indirectly confirms that the drum coal-mining process is relatively complex: the law of the coal-loading rate cannot be easily summarized using field data under complex working conditions, and variable control needs to be implemented via discrete element simulation.
  • For thin-to-medium transition coal seams, the laws of the drum coal-loading rate under different moisture content and haulage speed conditions indicate that if the coal–rock moisture content fluctuates significantly and a high drum coal-conveying capacity is required, the 1400 mm diameter two-vane drum shearer is recommended; if the coal–rock moisture content fluctuates slightly (either excessively high or low), or if a high coal-cutting amount per unit time is required with the available auxiliary coal-conveying conditions, the three-vane drum of the same diameter is recommended. For medium-to-thick transition coal seams, the 2240 mm diameter drum has sufficient coal-holding space, so particle adhesion is not the dominant factor affecting the coal-loading rate. The vane number should be selected based on the matching relationship between coal-cutting amount per unit time and drum coal-conveying capacity: if the haulage speed fluctuates significantly or continuous adjustment of the haulage speed is required, the three-vane design is recommended; if the haulage speed is stable and low, or if a high coal-cutting amount per unit time is required with the available auxiliary coal-conveying conditions, the four-vane structure is recommended.
Theoretical support and scientific guidance are provided by the research conclusions for the vane number selection of 1400 mm/2240 mm drum shearers used in transition coal seams at coal mine sites. Meanwhile, research ideas are also provided for investigating the influence of a single variable on the drum coal-loading rate. Although some variables have been controlled in the discrete element simulation process, variables such as the pick number, helical angle, and drum rotational speed have not yet been included in the control scope. The extent of their influence on the drum coal-loading rate still needs to be further studied and verified.

Author Contributions

Conceptualization, K.G., W.X., and S.Z.; methodology, W.Z. and Q.H.; validation, Z.M. and N.J.; writing—original draft preparation, S.Z. and W.Z.; writing—review and editing, S.Z., W.Z., and K.G.; supervision, K.G.; project administration, W.X. and Q.H.; funding acquisition, K.G. All authors have read and agreed to the published version of the manuscript.

Funding

This work was supported by the National Natural Science Foundation of China (grant no. 52174146).

Institutional Review Board Statement

Not applicable.

Informed Consent Statement

Not applicable.

Data Availability Statement

The data that support the finds of this study are available from the corresponding author on request.

Acknowledgments

The authors gratefully acknowledge the editorial office and anonymous reviewers for their constructive feedback and thoughtful suggestions, which helped improve the scientific rigor, structure, and clarity of the manuscript.

Conflicts of Interest

Authors Weipeng Xu, Qiulai Huang, Ziyao Ma and Ning Jiang were employed by the company China Coal Technology & Engineering Group Shanghai Co., Ltd. The remaining authors declare that the research was conducted in the absence of any commercial or financial relationships that could be construed as a potential conflict of interest.

Abbreviations

The following abbreviations are used in this manuscript.
DEMdiscrete element method
FEMfinite element method
JKRJohnson–Kendall–Roberts
BPbonded particle

References

  1. Jun, W. Technology development and application of medium and thin coal seam shearer. China Min. Mag. 2024, 33 (Suppl. 2), 200–203. (In Chinese) [Google Scholar] [CrossRef]
  2. Lu, Z.; Zeng, Q.; Meng, Z.; Wang, Z.; Gao, G. Numerical research on cutting force and fracture morphology of rock plate with two sides fixed and two sides free. Math. Probl. Eng. 2020, 2020, 8652637. [Google Scholar] [CrossRef]
  3. Wang, J.; Qiu, P.; Ning, J.; Zhuang, L.; Yang, S. A numerical study of the mining-induced energy redistribution in a coal seam adjacent to an extracted coal panel during longwall face mining: A case study. Energy Sci. Eng. 2020, 8, 817–835. [Google Scholar] [CrossRef]
  4. Guo, H.; Sun, Z.; Ji, M.; Liu, D.; Nian, L.; Wu, Y. A study on the effects of loading axial pressure rate on coal mechanical properties and energy evolution law. Geofluids 2022, 2022, 5593173. [Google Scholar] [CrossRef]
  5. Wang, D.; Ju, F.; Xu, J.; Yan, C.; Xiao, M.; Ning, P.; Wang, T.; Si, L.; Wang, Y. Effects of Moisture Content and Loading Rate on Coal Samples: Mechanical Properties and Failure Mechanisms. Rock Mech. Rock Eng. 2025, 58, 3391–3416. [Google Scholar] [CrossRef]
  6. Li, X.; Feng, G.; Xiao, M.; Wang, G.; Bi, J.; Gao, C.; Liu, H. Experimental Study on the Effects of Loading Rates on the Fracture Mechanical Characteristics of Coal Influenced by Long-Term Immersion in Mine Water. Appl. Sci. 2025, 15, 8222. [Google Scholar] [CrossRef]
  7. Xu, P.; Liu, S.; Liu, Y. Research on coal loading performance of globoid drum in thin coal seam shearer. Coal Sci. Technol. 2020, 48, 93–99. (In Chinese) [Google Scholar] [CrossRef]
  8. Gao, K.; Zhang, X.; Sun, L.; Zeng, Q.; Jiang, K. Complex effects of drum hub forms and structural parameters on coal loading performance. Complexity 2020, 2020, 7036087. [Google Scholar] [CrossRef]
  9. Tian, Z.; Jing, S.; Zhao, L.; Liu, W.; Gao, S. Numerical simulation on coal loading process of shearer drum based on discrete element method. Energy Explor. Exploit. 2021, 39, 1919–1938. [Google Scholar] [CrossRef]
  10. Sun, L.; Zhang, X.; Zeng, Q.; Gao, K.; Jiang, K.; Zhou, J. Application of a screw conveyor with axial tilt blade on a shearer drum and investigation of conveying performance based on DEM. Particuology 2022, 61, 91–102. [Google Scholar] [CrossRef]
  11. Biały, W.; Prostański, D.; Bołoz, Ł. Selection of longwall shearers based on the results of research on the mechanical properties of coal. Sci. Rep. 2024, 14, 18606. [Google Scholar] [CrossRef] [PubMed]
  12. Xu, W.; Zhang, X.; Gao, K.; Ma, S. Influence of coal cowl parameters on the coal loading process of thin coal seam shearer drum. Sci. Rep. 2024, 14, 7006. [Google Scholar] [CrossRef] [PubMed]
  13. Wang, S.; Shen, Y. CFD-DEM modelling of raceway dynamics and coke combustion in an ironmaking blast furnace. Fuel 2021, 302, 121167. [Google Scholar] [CrossRef]
  14. Gao, K.; Zhang, W.; Zhang, Y.; Xu, W.; Sun, L. The Study of Water Content on the Coal Loading Performance of Thin Coal Seam Shearer Drum by Discrete Element Method (DEM). Eng. Rep. 2025, 7, e13046. [Google Scholar] [CrossRef]
  15. Zhang, H.; Geng, J.; Sun, Q.; Jia, H.; Li, M.; Li, S.; Dai, J. Effect mechanisms of low temperature on fracture toughness of coal with different water contents. Theor. Appl. Fract. Mech. 2025, 139, 105093. [Google Scholar] [CrossRef]
  16. Wang, X.; Li, B.; Yang, Z. Analysis of the Bulk Coal Transport State of a Scraper Conveyor Using the Discrete Element Method. J. Mech. Eng./Stroj. Vestn. 2018, 64, 37–46. [Google Scholar] [CrossRef]
  17. Liu, X.; Du, C.; Fu, X.; Zhao, H.; Zhang, J.; Yang, X. Wear analysis and performance optimization of drum blade in mining coal gangue with shearer. Eng. Fail. Anal. 2021, 128, 105542. [Google Scholar] [CrossRef]
  18. Zhou, C.; Liu, Y. Research and application of large cutting depth mining technology for thin coal seam shearers. China Min. Mag. 2024, 33 (Suppl. 2), 204–207. (In Chinese) [Google Scholar] [CrossRef]
  19. Zhang, M.; Zhao, L.; Shi, B. Coal falling trajectory and strength analysis of drum of shearer based on a bidirectional coupling method. Sci. Rep. 2024, 14, 9438. [Google Scholar] [CrossRef]
  20. Li, Q. Research and application of key technologies for high-efficiency intelligent electric-haul shearer in thin coal seams. J. Phys. Conf. Ser. 2025, 3060, 012030. [Google Scholar] [CrossRef]
  21. Cundall, P.A.; Strack, O.L. A discrete numerical model for granular assemblies. Geotechnique 1979, 29, 47–65. [Google Scholar] [CrossRef]
  22. Jiang, M.J.; Yu, H.S.; Harris, D. A novel discrete model for granular material incorporating rolling resistance. Comput. Geotech. 2005, 32, 340–357. [Google Scholar] [CrossRef]
  23. Ma, G.; Zhou, W.; Chang, X.L. Modeling the particle breakage of rockfill materials with the cohesive crack model. Comput. Geotech. 2014, 61, 132–143. [Google Scholar] [CrossRef]
  24. Li, B.; Gao, Y.; Xia, R.; Wang, X.; Shao, Y. Calibration of discrete element parameters for multi—Particle bonding model of bulk coal. Meas. Sci. Technol. 2025, 36, 045005. [Google Scholar] [CrossRef]
  25. Ucgul, M.; Fielke, J.M.; Saunders, C. Three-dimensional discrete element modelling(DEM) of tillage: Accounting for soil cohesion and adhesion. Biosyst. Eng. 2015, 129, 298–306. [Google Scholar] [CrossRef]
  26. Zhang, X.; Jiang, H.; Tian, M.; Li, H.; Chen, H. Rock cutting performance and wear characteristics of undercutting disc cutter: Based on experiment and DEM. Wear 2023, 528, 204976. [Google Scholar] [CrossRef]
  27. Zhang, J.; Chang, Z.; Niu, F.; Chen, Y.; Wu, J.; Zhang, H. Simulation and validation of discrete element parameter calibration for fine-grained iron tailings. Minerals 2022, 13, 58. [Google Scholar] [CrossRef]
  28. Zhou, P.; Li, Y.; Liang, R.; Zhang, B.; Kan, Z. Calibration of contact parameters for particulate materials in residual film mixture after sieving based on EDEM. Agriculture 2023, 13, 959. [Google Scholar] [CrossRef]
  29. Chai, J.; Wang, S.; Zhou, Z.; Li, G.; Liu, X. Determination of the friction coefficient of coal particles by discrete element simulation and experimentation. Res. Sq. 2020. [Google Scholar] [CrossRef]
  30. Ai, T.; Wu, S.; Zhang, R.; Gao, M.; Zhou, J.; Xie, J.; Ren, L.; Zhang, Z. Changes in the structure and mechanical properties of a typical coal induced by water immersion. Int. J. Rock Mech. Min. Sci. 2021, 138, 104597. [Google Scholar] [CrossRef]
Figure 1. Schematic diagram of the Hertz–Mindlin model.
Figure 1. Schematic diagram of the Hertz–Mindlin model.
Applsci 15 11522 g001
Figure 2. Schematic diagram of the bonding particle contact model.
Figure 2. Schematic diagram of the bonding particle contact model.
Applsci 15 11522 g002
Figure 3. Schematic diagram of the JKR contact model.
Figure 3. Schematic diagram of the JKR contact model.
Applsci 15 11522 g003
Figure 4. Sieves and coal particle size classification: (a) Five types of sieves. (b) Screened coal particles. (c) Screening equipment. (d) Screening process.
Figure 4. Sieves and coal particle size classification: (a) Five types of sieves. (b) Screened coal particles. (c) Screening equipment. (d) Screening process.
Applsci 15 11522 g004
Figure 5. Schematic diagram of static angle of repose.
Figure 5. Schematic diagram of static angle of repose.
Applsci 15 11522 g005
Figure 6. Experimental bench for dynamic angle of repose.
Figure 6. Experimental bench for dynamic angle of repose.
Applsci 15 11522 g006
Figure 7. Aluminum plate forming an angle with the vertical plane via connecting blocks.
Figure 7. Aluminum plate forming an angle with the vertical plane via connecting blocks.
Applsci 15 11522 g007
Figure 8. Dynamic inclined plate lifting experiment.
Figure 8. Dynamic inclined plate lifting experiment.
Applsci 15 11522 g008
Figure 9. Calibration device for coefficient of restitution.
Figure 9. Calibration device for coefficient of restitution.
Applsci 15 11522 g009
Figure 10. Static angles of repose of 1–3 mm coal particles with different moisture contents.
Figure 10. Static angles of repose of 1–3 mm coal particles with different moisture contents.
Applsci 15 11522 g010
Figure 11. Static angles of repose of 3–6 mm coal particles with different moisture contents.
Figure 11. Static angles of repose of 3–6 mm coal particles with different moisture contents.
Applsci 15 11522 g011
Figure 12. Static angles of repose of 6–9 mm coal particles with different moisture contents.
Figure 12. Static angles of repose of 6–9 mm coal particles with different moisture contents.
Applsci 15 11522 g012
Figure 13. Static angles of repose of 9–12 mm coal particles with different moisture contents.
Figure 13. Static angles of repose of 9–12 mm coal particles with different moisture contents.
Applsci 15 11522 g013
Figure 14. Comparison between experiment and simulation of static angles of repose for coal particles with different particle sizes.
Figure 14. Comparison between experiment and simulation of static angles of repose for coal particles with different particle sizes.
Applsci 15 11522 g014
Figure 15. Dynamic angles of repose of 3–6 mm coal particles with different moisture contents under 10° connecting blocks.
Figure 15. Dynamic angles of repose of 3–6 mm coal particles with different moisture contents under 10° connecting blocks.
Applsci 15 11522 g015
Figure 16. Dynamic angles of repose of 6–9 mm coal particles with different moisture contents under 12° connecting blocks.
Figure 16. Dynamic angles of repose of 6–9 mm coal particles with different moisture contents under 12° connecting blocks.
Applsci 15 11522 g016
Figure 17. Dynamic angles of repose of 9–12 mm coal particles with different moisture contents under 18° connecting blocks.
Figure 17. Dynamic angles of repose of 9–12 mm coal particles with different moisture contents under 18° connecting blocks.
Applsci 15 11522 g017
Figure 18. Comparison between experiment and simulation of particle dynamic angle of repose.
Figure 18. Comparison between experiment and simulation of particle dynamic angle of repose.
Applsci 15 11522 g018
Figure 19. Drum models: (a) MG2X160/710-WD4 drum model. (b) MG500/1130-WD3 drum model.
Figure 19. Drum models: (a) MG2X160/710-WD4 drum model. (b) MG500/1130-WD3 drum model.
Applsci 15 11522 g019
Figure 20. Simulation area division of coal-conveying process.
Figure 20. Simulation area division of coal-conveying process.
Applsci 15 11522 g020
Figure 21. Relationship between number of vanes and coal-loading rate under different moisture contents.
Figure 21. Relationship between number of vanes and coal-loading rate under different moisture contents.
Applsci 15 11522 g021aApplsci 15 11522 g021bApplsci 15 11522 g021c
Figure 22. Relationship between number of vanes and coal-loading rate under different haulage speeds.
Figure 22. Relationship between number of vanes and coal-loading rate under different haulage speeds.
Applsci 15 11522 g022aApplsci 15 11522 g022b
Figure 23. Floating coal trajectories and on-site working of shearer with 1400 mm diameter drum.
Figure 23. Floating coal trajectories and on-site working of shearer with 1400 mm diameter drum.
Applsci 15 11522 g023
Figure 24. Floating coal trajectories and on-site working of shearer with 2240 mm diameter drum.
Figure 24. Floating coal trajectories and on-site working of shearer with 2240 mm diameter drum.
Applsci 15 11522 g024
Table 1. Experimental–simulation result comparison of dynamic angle-of-repose test.
Table 1. Experimental–simulation result comparison of dynamic angle-of-repose test.
Angles of ReposeMoisture Content(%)JKR
4%8%12%16%2345
Particle Radius3–6 mm48.6°44.7°46.7°44.1°48.6°44.4°46.5°43.9°
6–9 mm37.2°38.2°38.8°43.9°36.5°37.9°39.1°44.9°
9–12 mm40.7°42.8°44.2°40.7°40.3°42.2°43.5°40.8°
Table 2. Correspondence between coal particle moisture content and JKR values.
Table 2. Correspondence between coal particle moisture content and JKR values.
Moisture content4%8%12%16%
JKR2 J·m23 J·m24 J·m25 J·m2
Table 3. Relevant parameters of coal particles.
Table 3. Relevant parameters of coal particles.
MaterialDensity/kg·m−3Poisson’s RatioYoung’s Modulus/GPa
Coal1.4 × 1030.284.4
Iron7.8 × 1030.292.7 × 102
ContactRestitution CoefficientSliding Friction CoefficientRolling Friction Coefficient
Coal–Coal0.50.80.05
Coal–Iron0.50.60.02
Normal Stiffness per Unit/N·m−3Tangential Stiffness per Unit/M·m−3Normal Pressure/PaTangential Pressure/Pa
9.5 × 1095.5 × 1091.2 × 1061.2 × 106
Table 4. Relevant parameters of studied drums.
Table 4. Relevant parameters of studied drums.
ModelNumber of VanesDrum Diameter Hub DiameterRake AngleRotational Speed
MG2X160/710-WD421400 mm700 mm12°/15°46.7 rpm
316°
MG500/1130-WD332240 mm1070 mm13°/16°28 rpm
414°
Disclaimer/Publisher’s Note: The statements, opinions and data contained in all publications are solely those of the individual author(s) and contributor(s) and not of MDPI and/or the editor(s). MDPI and/or the editor(s) disclaim responsibility for any injury to people or property resulting from any ideas, methods, instructions or products referred to in the content.

Share and Cite

MDPI and ACS Style

Xu, W.; Huang, Q.; Zhang, W.; Zhang, S.; Ma, Z.; Gao, K.; Jiang, N. Optimization of Vane Number for Coal Loading in Shearer Drums (1400 mm and 2240 mm) via Discrete Element Modeling. Appl. Sci. 2025, 15, 11522. https://doi.org/10.3390/app152111522

AMA Style

Xu W, Huang Q, Zhang W, Zhang S, Ma Z, Gao K, Jiang N. Optimization of Vane Number for Coal Loading in Shearer Drums (1400 mm and 2240 mm) via Discrete Element Modeling. Applied Sciences. 2025; 15(21):11522. https://doi.org/10.3390/app152111522

Chicago/Turabian Style

Xu, Weipeng, Qiulai Huang, Wenhe Zhang, Shengru Zhang, Ziyao Ma, Kuidong Gao, and Ning Jiang. 2025. "Optimization of Vane Number for Coal Loading in Shearer Drums (1400 mm and 2240 mm) via Discrete Element Modeling" Applied Sciences 15, no. 21: 11522. https://doi.org/10.3390/app152111522

APA Style

Xu, W., Huang, Q., Zhang, W., Zhang, S., Ma, Z., Gao, K., & Jiang, N. (2025). Optimization of Vane Number for Coal Loading in Shearer Drums (1400 mm and 2240 mm) via Discrete Element Modeling. Applied Sciences, 15(21), 11522. https://doi.org/10.3390/app152111522

Note that from the first issue of 2016, this journal uses article numbers instead of page numbers. See further details here.

Article Metrics

Back to TopTop